JBCS



14:52, sáb out 25

Acesso Aberto/TP



Artigo


Avaliação de diferentes métodos para a determinação de cobre em óleo mineral isolante por espectrometria de absorção atômica com forno de grafite
Evaluation of different methods for copper determination in insulating oils by graphite furnace atomic absorption spectrometry

Luiz Fernando S. CaldasI, II; Carlos Eduardo R. de PaulaI, III; Daniel M. BrumI; Fábio G. LepriI; Ricardo J. CassellaI,*

IDepartamento de Química Analítica, Universidade Federal Fluminense, Outeiro de São João Batista s/n, Centro, 24020-141 Niterói - RJ, Brasil
IIDepartamento de Química, Instituto Federal de Educação, Ciência e Tecnologia do Rio de Janeiro, Rua Lúcio Tavares, 1045 - Centro, 26530-060 Nilópolis - RJ, Brasil
IIIDepartamento de Química, Universidade Federal Rural do Rio de Janeiro, BR-465, Km 7, 23.890-000 Seropédica - RJ, Brasil

Recebido em 18/07/2013
Aceito em 14/02/2014
Publicado na web em 08/05/2014

Endereço para correspondência

*e-mail: cassella@vm.uff.br

RESUMO

This aim of this work was to compare two methods for copper determination in insulating oils from power transformers by GFAAS. The first method was extraction induced by emulsion breaking, which determined the preconcentration of copper in an aqueous solution and exhibited a limit of quantification of 0.27 µg L-1. Also, a second method based on the direct introduction of samples into GFAAS in the form of detergent emulsions, prepared with Triton X-114 and HNO3, was investigated. In this case, the limit of quantification was 1.7 µg L-1. Seven samples of used oils were successfully analyzed by both methods.

Palavras-chave: insulating oil; copper; GFAAS.

INTRODUÇÃO

Os transformadores de potência são equipamentos importantes para o sistema de distribuição elétrica. Nestes equipamentos, as altas tensões transmitidas pela rede elétrica de distribuição são convertidas nas tensões usualmente empregadas em residências, estabelecimentos comerciais e indústrias.1

Os transformadores modernos apresentam grande eficiência. As perdas - transformação de energia elétrica em calor - ocorrem, principalmente, devido à histerese e às correntes parasitas. O calor gerado pelas perdas é absorvido pelo óleo mineral isolante, no qual todo o núcleo do transformador deve estar submerso.2 Um dos problemas mais graves no que diz respeito à manutenção dos transformadores elétricos está relacionado à deterioração do óleo mineral isolante utilizado, que ocorre devido às condições severas de operação do transformador.

O óleo, quando em serviço, pode sofrer oxidação devido à presença de oxigênio, água e elementos metálicos, que atuam como catalisadores das reações de oxidação.3 O correto acompanhamento e a manutenção da qualidade do óleo isolante são etapas essenciais para assegurar uma operação confiável dos transformadores de potência. Deste modo, os óleos minerais isolantes devem ter suas propriedades constantemente avaliadas, de modo rápido e seguro, a fim de que medidas preventivas e/ou corretivas possam ser efetuadas em um tempo adequado, evitando prejuízos às empresas do setor e aos consumidores em geral.4

A determinação de elementos metálicos nos óleos minerais isolantes deve ser realizada regularmente a fim de acompanhar a possível deterioração, por corrosão, das partes metálicas dos transformadores, bem como avaliar a qualidade dos mesmos no que diz respeito à presença de possíveis agentes catalisadores de sua degradação, o que levaria a uma rápida diminuição do seu tempo de vida útil.

A etapa de preparação de amostras talvez seja a etapa mais crítica de um processo analítico. Em geral, ela envolve uma grande manipulação das amostras, sendo sujeita a erros devido à contaminações e/ou perdas do(s) analito(s) durante o processo.5 Estes problemas são particularmente críticos quando se trata da determinação de qualquer espécie em nível traço. No caso de amostras derivadas do petróleo, diversos procedimentos vem sendo empregados para o pré-tratamento visando a determinação de elementos traços tais como a extração induzida por quebra da emulsão,6-8 a digestão ácida,9-11 a diluição com solventes adequados,12-13 a conversão das amostras em emulsões ou microemulsões14-18 que possam, posteriormente, ser introduzidas em diferentes instrumentos.

O objetivo desse trabalho foi avaliar a possibilidade de utilização de diferentes métodos para a determinação de cobre por espectrometria de absorção atômica com forno de grafite (GF AAS) em amostras de óleo mineral isolante. Os métodos de determinação testados foram o método de extração induzida por quebra de emulsão e a introdução direta da amostra na forma de emulsão.

 

PARTE EXPERIMENTAL

Instrumentação

Todos os experimentos foram realizados em um espectrômetro de absorção atômica com atomização eletrotérmica em forno de grafite Varian (Mulgrave, Austrália), modelo AA240Z, equipado com um amostrador automático Varian PSD 120, um forno de grafite GTA 120 e corretor de fundo por efeito Zeeman. A atomização foi realizada a partir da parede de tubos de grafite, também fornecidos pela Varian.

Uma lâmpada de catodo oco monoelementar de cobre foi empregada como fonte de radiação. Os parâmetros instrumentais utilizados nas medições foram: comprimento de onda de 324,8 nm, corrente da lâmpada de 10 mA e largura da fenda de 0,5 nm. Todas as medições foram efetuadas em valores de absorbância integrada e o gás de proteção utilizado foi o argônio (99,999%), fornecido pela Linde Gases (Macaé, Brasil).

Neste trabalho também foram utilizados um misturador orbital Biomixer (São Paulo, Brasil), modelo MR-II, para homogenização das emulsões; e um banho-maria com controle de temperatura Nova Técnica (São Paulo, Brasil), modelo NT 247, para induzir a quebra das emulsões.

Um forno de microondas Berghof, modelo Speedwave Four, equipado com frascos de PFA, foi utilizado para a digestão total das amostras de óleo mineral isolante.

Reagentes e soluções

Todas as soluções foram preparadas com água ultrapurificada, produzida em um sistema Direct-Q 3, fornecido pela Millipore (Milford, EUA). A água utilizada apresentou resistividade sempre igual ou superior a 18,2 MΩ cm.

As soluções analíticas de cobre utilizadas no trabalho foram preparadas a partir da diluição adequada das soluções estoque de 1000 mg L-1 fornecidas pela SPEX (Metuchen, NJ, EUA).

As soluções padrão de cobre em óleo foram preparadas a partir da diluição, com hexano, de um padrão organometálico de cobre 1000 µg g-1, fornecido pela Conostan (Houston, EUA).

As soluções ácidas dos tensoativos, utilizadas para a emulsificação do óleo mineral isolante, foram preparadas pela dissolução de uma massa adequada de tensoativo (Triton X-114, Triton X-100 ou Tween 20) em soluções de HNO3, HCl ou HNO3/HCl, com concentrações conhecidas. Os ácidos concentrados (grau suprapuro) utilizados para a preparação destas soluções foram fornecidos pela Tedia (São Paulo, Brasil).

Todas as amostras de óleo mineral isolante (novo e usados) utilizadas neste trabalho foram fornecidas pelo Centro de Pesquisas de Energia Elétrica - Eletrobrás. As amostras foram armazenadas em frascos âmbar e mantidas ao abrigo da luz durante o desenvolvimento das metodologias.

Procedimentos

Extração induzida por quebra de emulsão

O procedimento de extração induzida por quebra de emulsão consistiu na formação de uma emulsão pela mistura de 5 mL de amostra e 1 mL de uma solução aquosa contendo ácido nítrico 30% (v/v) e Triton X-114 5% (m/v), em tubo de polietileno com capacidade de 15 mL. As emulsões foram formadas após vigorosa agitação manual e homogenizadas com o auxílio de um misturador orbital (15 min). Logo após a formação e homogenização das emulsões, os tubos foram transferidos para um banho-maria com temperatura controlada em 90 0C, até a quebra das emulsões, o que ocorreu após cerca de 10 min de aquecimento. Uma alíquota de 500 µL da fase aquosa foi retirada com o auxilio de uma micropipeta para a determinação de Cu. Esta alíquota, quando necessário, foi diluída com água purificada. A determinação de cobre nos extratos aquosos foi realizada por GF AAS empregando o método da curva analítica, construída com soluções padrão preparadas em água. Em todas as medições, um volume de 20 µL de solução foi introduzido dentro do tubo de grafite e o programa de temperatura mostrado na Tabela 1 (Programa A) foi utilizado.

 

 

Introdução direta da amostra na forma de emulsão

Para a determinação de cobre em óleo mineral isolante por introdução direta na forma de emulsão, as emulsões foram preparadas do mesmo modo que no procedimento de extração induzida por quebra de emulsão. Entretanto, neste caso, as emulsões obtidas foram diretamente introduzidas no espectrômetro de absorção atômica com forno de grafite para a medição dos sinais de Cu. Neste caso, a quantificação foi realizada pelo método da adição de analito. Neste procedimento, o Cu foi previamente incorporado ao óleo, na forma de um padrão organometálico, diluído em hexano. Assim como no caso das soluções aquosas, 20 µL das emulsões foram introduzidos no tubo de grafite e nenhum modificador químico foi utilizado. Um programa de temperatura otimizado neste trabalho foi utilizado (Tabela 1, Programa B).

Digestão total das amostras de óleo mineral isolante

A digestão total das amostras de óleo mineral isolante foi realizada em forno de microondas com frasco fechado. Para tal, 3 mL de amostra (cerca de 250 mg) foram adicionados diretamente aos frascos do equipamento. Em seguida, 5 mL de HNO3 concentrado (grau suprapuro) foram adicionados, o frasco foi selado e transferido para a cavidade do forno de microondas onde um programa de temperatura adequado foi aplicado. Após o resfriamento dos frascos, estes foram abertos e o seu conteúdo foi transferido, quantitativamente, para um balão volumétrico de 25 mL, cujo volume foi completado até a marca com água ultrapurificada. A determinação de cobre na solução final foi realizada por GF AAS, empregando as mesmas condições operacionais (programa de temperatura, volume de solução introduzido, condições instrumentais) utilizadas para a determinação de cobre nos extratos aquosos obtidos na extração induzida por quebra de emulsão.

 

RESULTADOS E DISCUSSÃO

Os resultados obtidos neste estudo são apresentados em três partes: (i) a primeira trata da otimização dos programas de temperatura para determinação de cobre utilizando a técnica GF AAS das duas metodologias; (ii) a segunda trata da otimização dos parâmetros para formação e quebra da emulsão e; (iii) a terceira mostra os parâmetros analíticos dos métodos e a sua aplicação em amostras reais.

Extração induzida por quebra de emulsão

Otimização do programa de temperatura para determinação de Cu nos extratos por GF AAS

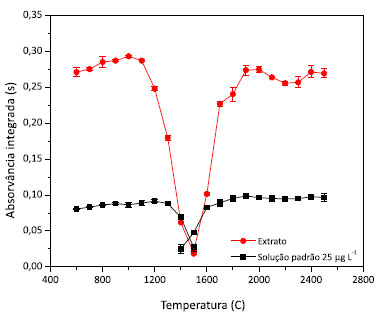
A otimização do programa de temperatura para determinação de Cu nos extratos oriundos da extração induzida por quebra da emulsão foi realizada por meio da construção das curvas de temperatura de pirólise e atomização. Em todos os experimentos foi utilizado um extrato oriundo da aplicação da extração induzida por quebra de emulsão à amostra S1.

Primeiramente, as curvas de pirólise foram construídas variando-se a temperatura de pirólise de 600 a 1600 ºC, com a temperatura de atomização fixada em 2300 ºC. Posteriormente, na construção das curvas de atomização, a temperatura ótima de pirólise foi fixada e a temperatura de atomização foi variada de 1500 a 2500 ºC. Similarmente, curvas de pirólise e atomização foram construídas utilizando-se uma solução padrão de Cu em meio aquoso com concentração de 25 µg L-1. Os resultados obtidos podem ser vistos na Figura 1.

 


Figura 1. Curvas de pirólise e atomização de cobre no extrato obtido da extração induzida por quebra de emulsão (●) e em solução padrão 25 μg L-1 (■)

 

Os perfis observados para as curvas de pirólise e atomização para o Cu no extrato e em solução aquosa foram muito similares. Os resultados obtidos mostram que o comportamento térmico do analito não se altera quando este se encontra em solução aquosa ou no extrato obtido a partir da quebra das emulsões, e indica, preliminarmente, que a calibração do método para quantificação de Cu nos extratos poderia ser feita com soluções padrão preparadas em meio aquoso. Vale destacar, ainda, que os sinais de fundo observados quando o extrato foi medido foram praticamente nulos, evidenciando que, de fato, a transferência do Cu do óleo para a fase aquosa resultou em uma enorme simplificação da matriz em que ele está inserido, facilitando sua medição por GF AAS. As temperaturas de pirólise e atomização otimizadas foram 900 e 2300 ºC, respectivamente. As demais etapas do programa (Tabela 1, Programa A) seguiram as condições recomendadas pelo fabricante já que os extratos aquosos obtidos a partir da quebra das emulsões foram, em alguns casos, diluídos, em razão das elevadas concentrações de Cu encontradas nos mesmos.

Otimização do processo de extração induzida por quebra de emulsão

Um dos aspectos chave do processo de extração induzida por quebra de emulsão é o estabelecimento de condições operacionais apropriadas para a transferência quantitativa do analito presente na fase orgânica (óleo mineral isolante) para a fase aquosa. Neste contexto, o estudo das variáveis que influenciam o processo de extração (natureza e concentração do ácido utilizado na solução extratora, natureza e concentração do tensoativo empregado como emulsificante) é de fundamental importância.

Efeito da concentração e da natureza do ácido

Tanto o efeito da concentração quanto o da natureza do ácido utilizado na solução extratora podem ser vistos na Figura 2. Menores sinais analíticos foram observados para os extratos obtidos a partir das emulsões que não continham ácido, ratificando a ideia de que o ácido participa do processo de extração do analito da fase orgânica para a fase aquosa. A eficiência da extração aumentou com o aumento da concentração de ácido nítrico até 5% (v/v) quando o HNO3 foi utilizado e até 10% (v/v) quando soluções contendo HCl ou HNO3/HCl foram empregadas. Após estas concentrações, a extração permaneceu constante, não sendo verificada variação significativa do sinal analítico do cobre. Adicionalmente, pode-se perceber que a eficiência de extração é maior quando o ácido nítrico é utilizado, possivelmente devido ao seu maior caráter oxidante em relação ao ácido clorídrico.

 


Figura 2. Avaliação do efeito da natureza e da concentração do ácido sobre a extração de cobre utilizando o procedimento de extração induzida por quebra de emulsão

 

Outro aspecto avaliado no estudo desta variável foi o efeito da concentração de ácido sobre tempo de aquecimento necessário para a quebra das emulsões. Triton X-114 foi utilizado como agente emulsificante, a uma concentração de 5% (m/v), e a temperatura empregada para quebra das emulsões foi de 90 ºC. Os resultados obtidos indicaram que o tempo de aquecimento necessário para alcançar a quebra das emulsões diminui com o aumento da concentração de ácido adicionado à emulsão, sendo que este efeito é mais pronunciado para o HNO3 do que para o HCl. Assim, com o intuito de alcançar máxima extração de cobre das amostras no menor tempo possível (controlado pelo tempo de aquecimento), uma concentração de HNO3 de 30% (v/v), na solução extratora, foi escolhida para o método.

Efeito da concentração e da natureza do tensoativo

A fim de avaliar a influência da concentração e da natureza do agente emulsificante, três diferentes tensoativos não iônicos foram testados: Triton X-100, Triton X-114 e Tween 20. As concentrações dos tensoativos nas soluções foram variadas na faixa de 1 a 10% m/v. Em todos os experimentos, a concentração de ácido nítrico foi mantida constante em 30% (v/v) e a temperatura empregada para induzir a quebra das emulsões foi de 90 ºC.

Não foi verificada qualquer influência da concentração ou da natureza do tensoativo sobre a eficiência de extração. Este comportamento já era esperado, uma vez que o tensoativo adicionado à solução extratora apenas deve agir como agente emulsificante, de modo a permitir um contato mais efetivo entre a amostra orgânica e a fase extratora aquosa.6 Por outro lado, tanto a concentração como a natureza do tensoativo utilizados exerceram forte influência sobre os tempos de aquecimento necessários para a quebra das emulsões (Figura 3). Para quaisquer dos tensoativos testados foi observado um aumento do tempo requerido para a quebra da emulsão com o aumento da concentração. Isto ocorre devido ao aumento da estabilidade das emulsões como resultado do aumento da concentração do agente emulsificante, que aumenta a solubilidade da fase aquosa no óleo.

 


Figura 3. Avaliação do efeito da natureza e da concentração do tensoativo sobre o tempo de aquecimento necessário para atingir a quebra da emulsão. Temperatura de aquecimento = 90 ºC e concentração de HNO3 = 30% v/v

 

Outra consideração que se pode fazer está relacionada à natureza do tensoativo. Pode-se perceber que o uso do Triton X-114 levou à formação de emulsões menos estáveis, uma vez que o tempo de aquecimento requerido para a quebra das emulsões formadas com este tensoativo foi menor que o tempo requerido para a quebra das emulsões preparadas com Triton X-100 e Tween 20. Assim, uma concentração de Triton X-114 de 5% (m/v) foi selecionada para o método.

Avaliação da eficiência de extração

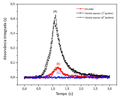
Depois de estabelecer as condições ótimas de extração, um teste foi realizado para verificar a eficiência de extração do cobre utilizando o procedimento proposto. Neste experimento, uma amostra de óleo mineral isolante, fortificada com 50 µg L-1 do analito, foi emulsificada (nas condições otimizadas) e uma alíquota desta emulsão foi separada para ser introduzida diretamente no GF AAS antes da aplicação do procedimento de extração induzida por quebra de emulsão. Tanto a emulsão (separada no início do experimento) quanto a fase aquosa obtida após a quebra da emulsão foram introduzidas separadamente no espectrômetro. A fase orgânica (óleo) recuperada após a quebra da emulsão foi separada e novamente emulsificada. A nova emulsão foi submetida à quebra por aquecimento e o novo extrato aquoso obtido também foi introduzido no equipamento (GF AAS). Os sinais analíticos obtidos para o cobre estão mostrados na Figura 4.

 


Figura 4. Perfis dos sinais analíticos obtidos nas medições de Cu por GF AAS injeções em: (I) extrato aquoso obtido após a primeira extração, (II) emulsão e (III) extrato aquoso obtido após a segunda extração

 

Como pode ser observado, os sinais analíticos para cobre obtidos após a introdução dos extratos aquosos na primeira extração foram bem maiores (5 vezes) do que os sinais observados para emulsão, evidenciando que o cobre estava presente em concentração muito mais elevada no extrato do que na emulsão. Isto se deu pois o metal foi eficientemente transferido do óleo para a solução ácida após a quebra da emulsão, que apresenta volume bem inferior, o que acabou por promover uma concentração do analito na fase aquosa. Vale ressaltar que a razão entre os sinais obtidos na fase aquosa e na emulsão foi exatamente igual à razão entre os volumes de amostra (5 mL) e fase aquosa extratora (1 mL) empregados no procedimento, indicando que a transferência do analito de uma fase à outra foi quantitativa. Por sua vez, os sinais registrados para o cobre na fase aquosa obtida após a segunda extração não apresentaram diferença significativa em relação ao ruído instrumental, indicando que quantidades adicionais de cobre não foram extraídas na segunda etapa de extração, reforçando a ideia de que a extração do cobre da amostra para a solução aquosa foi eficiente.

Introdução direta da amostra na forma de emulsão

Otimização do programa de temperatura

Assim como no caso dos extratos gerados a partir da extração induzida por quebra de emulsão, o primeiro estudo realizado para a otimização do procedimento foi o estabelecimento de um programa de temperatura adequado para a medição de cobre por GF AAS. É importante destacar que, no caso da introdução direta da amostra na forma de emulsão, esta etapa é muito mais importante, uma vez que uma carga muito maior de matéria orgânica é introduzida no tubo de grafite junto com o analito.

Diferentes parâmetros do programa de temperatura foram avaliados: temperaturas de pirólise e atomização, temperatura final de secagem e taxa de aquecimento na etapa de secagem. Os ensaios foram realizados com uma amostra de óleo mineral isolante usado e uma amostra de óleo mineral isolante novo, fortificado com 40 µg L-1 de cobre (adicionado na forma de padrão organometálico). Em todos os experimentos, as emulsões foram preparadas pela mistura de 8 mL de óleo isolante com 2 mL de uma solução 7% (m/v) de Triton X-114 contendo 10% (v/v) de HNO3. O programa inicial de temperatura foi elaborado com base em um programa de temperatura utilizado anteriormente na determinação de cobre em óleo mineral.19 Uma lenta etapa inicial de secagem (aquecimento de 85 a 100 ºC em 35 s), foi adicionada ao programa de temperatura inicial com o intuito de evitar a projeção da amostra (emulsão) dentro do tubo, que se mostrou pronunciada devido à quebra da emulsão dentro do tubo de grafite durante o aquecimento. O programa inicial pode ser visto na Tabela 1 (Programa B).

Primeiramente, as temperaturas de pirólise e atomização foram avaliadas, cujos valores ótimos foram obtidos a partir respectivas curvas de pirólise e atomização. Para construção da curva de pirólise a temperatura de pirólise foi variada de 600 a 1500 ºC, mantendo-se a temperatura de atomização em 2200 ºC. Por sua vez, a curva de atomização foi construída utilizando-se a temperatura ótima de pirólise determinada experimentalmente e variando-se a temperatura de atomização na faixa de 1500 a 2500 ºC. As curvas de pirólise e atomização obtidas para o óleo novo e o óleo usado estão mostradas na Figura 5.

 


Figura 5. Curvas de pirólise e atomização de cobre nas emulsões preparadas com óleo mineral isolante usado (●) e óleo mineral isolante novo (■)

 

Os perfis de temperatura para o cobre em óleo novo e usado foram muito similares, indicando que o grau de degradação do óleo mineral isolante não influencia de maneira significativa o comportamento térmico do analito durante a sua medição por GF AAS. Outro aspecto relevante observado nas medições foi a ausência de sinais de fundo significativos, tanto em um caso quanto em outro, o que indica que a matriz oleosa pode ser eficientemente eliminada sem a necessidade de utilização de temperaturas de pirólise mais elevadas. Tomando como base as curvas de temperatura obtidas foi possível estabelecer as temperaturas de pirólise e atomização para o programa de aquecimento do tubo de grafite que foram 1000 e 2200 ºC, respectivamente.

Após a determinação das temperaturas de pirólise e atomização, um estudo foi realizado com o intuito de verificar a influência de outros parâmetros do programa de temperatura como a taxa de aquecimento na etapa de secagem e a temperatura final de secagem, que foram avaliados nas faixas de 120 a 350 ºC e 0,5 a 8 ºC s-1, respectivamente. Nenhuma destas variáveis apresentou efeito significativo sobre a magnitude dos sinais de cobre, nas faixas estudadas. Assim, outros aspectos foram considerados para estabelecer os valores destas variáveis no programa final de temperatura.

Durante a etapa de secagem do óleo mineral isolante pode-se perceber, nitidamente, a volatilização do óleo durante o aquecimento pela evolução de gases através do orifício do tubo de grafite. Este processo foi iniciado, sempre, em temperaturas próximas a 150 ºC e finalizado em temperaturas próximas a 240 ºC. Assim, a fim de garantir a total eliminação da matriz do óleo já na etapa de secagem, a temperatura final da etapa de secagem foi ajustada em 240 ºC, sob a qual o forno foi ainda mantido por mais 10 s (patamar). Adicionalmente, a fim de evitar qualquer projeção da amostra dentro do tubo de grafite, a etapa de secagem foi dividida em dois estágios. No primeiro estágio o tubo de grafite foi lentamente aquecido de 85 até 100 ºC em 40 s (taxa de aquecimento de aproximadamente 0,4 ºC s-1) para eliminar a água presente. Posteriormente, a temperatura foi elevada de 100 a 240 ºC, também em 40 s (taxa de aquecimento de 3,5 ºC s-1), para promover a volatilização da matriz orgânica. O programa final de temperatura otimizado para a determinação de cobre nas emulsões de óleo mineral isolante pode ser visto na Tabela 1 (Programa C).

Efeito da concentração e natureza do ácido

O efeito da concentração e da natureza do ácido utilizado para preparação da solução empregada na emulsificação do óleo mineral isolante foi avaliado. Os resultados obtidos demonstraram que o sinal analítico para o cobre aumenta com o aumento da concentração de ácido na solução usada para a emulsificação até uma concentração de 15% (v/v) (Figura 6). Em concentrações de ácido superiores a 15% (v/v) não houve aumento adicional de sinal. Isto ocorre, pois a presença do ácido deve auxiliar a transferência do analito presente no óleo, na forma orgânica, para as gotículas da fase aquosa dispersa, onde ele deve estar presente na forma inorgânica (íon metálico). Uma vez que a volatilidade da forma inorgânica é menor do que a da forma orgânica, deve haver diminuição da perda do analito na etapa de pirólise. Comportamento similar a este já havia sido observado anteriormente na determinação de Cu e Fe em amostras de querosene de aviação por GF AAS, empregando a técnica de introdução de amostra na forma de emulsão.15

 


Figura 6. Efeito da concentração de ácido (ou mistura) sobre o sinal analítico de cobre na medição das emulsões

 

Os resultados obtidos evidenciaram, ainda, que o ácido nítrico parece ser mais eficiente no processo de transferência, possivelmente devido ao seu caráter oxidante, uma vez que as soluções contendo ácido clorídrico apresentaram sinais sistematicamente mais baixos do que os observados na presença de ácido nítrico. Com base nestes resultados, a condição adotada para a quantificação de cobre nas amostras foi a de 30% (v/v) de ácido nítrico.

Efeito da concentração e natureza do tensoativo

Diferentes tensoativos (Triton X-100, Triton X-114 e Tween 20) em diferentes concentrações (1 a 15% m/v) foram testados para a formação das emulsões. Não foi observada variação significativa dos sinais analíticos do cobre quando a concentração dos tensoativos foi variada dentro da faixa estudada. Entretanto, outros aspectos foram considerados para a seleção do tensoativo.

A facilidade de formação das emulsões foi consideravelmente maior quando as soluções contendo Triton X-100 e Triton X-114 foram utilizadas para a emulsificação. Nestes casos, uma simples agitação manual do sistema permitiu a rápida dispersão da água no óleo sem a necessidade de qualquer agitação mecânica adicional. Deste modo, o uso de Triton X-100 ou Triton X-114 tornou o procedimento mais simples e rápido. Adicionalmente, o uso de soluções contendo Tween 20 causou uma elevação dos sinais do branco, provavelmente devido à contribuição do próprio reagente, o que poderia prejudicar os limites de detecção e quantificação. Assim, o uso de Tween 20 foi descartado e uma solução de Triton X-114 a uma concentração de 5% (m/v) foi empregada para emulsificação do óleo no método proposto.

Avaliação da estabilidade da emulsão

Um dos aspectos mais importantes nos procedimentos em que emulsões são utilizadas para fins analíticos é a sua estabilidade, uma vez que emulsões estáveis favorecem a obtenção de sinais analíticos repetitivos. A fim de avaliar a estabilidade das emulsões formadas, um experimento foi realizado medindo-se o sinal de cobre de uma mesma emulsão ao longo do tempo. Emulsões preparadas com Triton X-100 e Triton X-114 a 5% (m/v), na presença de HNO3 30% (v/v), foram testadas. Os sinais foram medidos entre 0 (logo após a formação da emulsão) e 120 min após a formação da emulsão. Os resultados obtidos mostraram que as emulsões formadas com quaisquer dos dois tensoativos são estáveis por pelo menos 120 min, tempo suficiente para a realização da medição do analito nas amostras.

 

APLICAÇÃO DAS METODOLOGIAS DESENVOLVIDAS NA DETERMINAÇÃO DE COBRE EM AMOSTRAS DE ÓLEOS MINERAIS ISOLANTES USADOS

Como mencionado anteriormente, o objetivo deste trabalho foi desenvolver e avaliar metodologias alternativas para o preparo de amostras visando a determinação de cobre em óleos minerais isolantes utilizados em transformadores elétricos. Apesar das condições ótimas para cada metodologia já terem sido alcançadas, a aplicação das mesmas ficou condicionada à verificação da melhor estratégia de calibração. Assim, um teste foi realizado com o intuito de avaliar se a calibração dos métodos poderia ser executada pelo método da curva analítica ou pelo método da adição de analito.

No caso da metodologia de extração induzida por quebra de emulsão, a quantificação de cobre nos extratos foi realizada utilizando-se curvas analíticas preparadas em água, uma vez que as inclinações observadas para tais curvas não apresentaram diferenças estatísticas significativas (a 95% de confiança) em relação às curvas de adição de analito preparadas com os próprios extratos. Este resultado já era esperado, já que em outros trabalhos também foi observado que os extratos aquosos se comportam exatamente da mesma maneira que as soluções padrão aquosas, tanto no que diz respeito ao transporte quanto no que diz respeito ao comportamento térmico do analito durante o aquecimento.6,7

Já para a metodologia em que as amostras foram introduzidas no espectrômetro na forma de emulsões, o método da curva analítica não pode ser aplicado. Neste caso, as inclinações das curvas analíticas construídas com emulsões preparadas a partir de um óleo mineral isolante novo (0,0036 L µg-1 em média), isento de cobre, apresentaram grandes diferenças em relação às curvas de adição do analito preparadas com as amostras, cujos valores de inclinação variaram de 0,0029 a 0,0067 L µg-1. Estas diferenças podem estar relacionadas às diferenças entre as propriedades físicas (principalmente viscosidade) das emulsões obtidas com cada amostra de óleo mineral, que fez com que os volumes de amostra introduzidos no tubo de grafite pelo amostrador automático fossem significativamente diferentes, evidenciando uma espécie de interferência de transporte. Vale lembrar que o analito, neste experimento, foi sempre adicionado na forma de um padrão organometálico diluído em hexano.

Diante dos resultados obtidos na avaliação dos métodos de calibração optou-se por realizar a quantificação de cobre nos extratos da extração induzida por quebra de emulsão pelo método da curva analítica e, no caso da metodologia de introdução direta da amostra na forma de emulsão, optou-se por realizar a quantificação pelo método de adição de analito. Os resultados obtidos na determinação de cobre nas amostras de óleos minerais isolantes usados, pelas duas metodologias, são apresentados na Tabela 2. Como pode ser visto, não houve diferença estatística significativa (a 95% de confiança, teste t-pareado) entre as concentrações de cobre determinadas pelas duas metodologias.

 

 

A fim de avaliar a exatidão das metodologias os resultados obtidos na determinação de cobre nas amostras S3 e S6 foram comparados com os resultados obtidos após a mineralização destas amostras com HNO3 concentrado, em forno de microondas, que foi tomado como método de referência. Outras amostras não foram incluídas neste experimento, devido às baixas concentrações de cobre encontradas, que não poderiam ser determinadas após a mineralização, por causa da alta diluição imposta às amostras neste procedimento (100 vezes). Os resultados obtidos também estão mostrados na Tabela 2. Como pode ser visto, não houve diferença significativa entre os resultados obtidos pelas metodologias desenvolvidas e o método tomado como referência. Este fato indica que as metodologias desenvolvidas podem ser empregadas, nas condições otimizadas, para a determinação de cobre em óleos minerais isolantes usados.

Finalmente, os limites de detecção (LD) e quantificação (LQ) foram estimados conforme proposto por Miller e Miller.20 Neste caso, o LD e o LQ são calculados pela razão entre três vezes (para o LD) e dez vezes (para o LQ) o desvio padrão de dez medições consecutivas da solução do branco e a sensibilidade. Para o caso do método baseado na extração induzida por quebra de emulsão, a sensibilidade da curva analítica preparada em água foi utilizada. Adicionalmente, levou-se em consideração o fator de pré-concentração obtido no procedimento, que foi igual a 5. Neste caso, o LD e o LQ foram iguais a 0,08 µg L-1 e 0,27 µg L-1, respectivamente. O desvio padrão relativo das dez medições foi igual a 3,9%.

Já para a metodologia de introdução direta da amostra na forma de emulsão, o LD e o LQ foram calculados da mesma forma, mas utilizando a sensibilidade da curva analítica preparada com o óleo mineral isolante novo, isento de óleo. Neste caso, os limites foram mais elevados, LD = 0,52 µg L-1 e LQ = 1,7 µg L-1, provavelmente devido ao fato do procedimento não promover a pré-concentração do analito. O desvio padrão relativo para dez medições do branco foi 5,1%. O método baseado na digestão total das amostras apresentou LD e LQ de 41 e 136 µg L-1, respectivamente.

 

CONCLUSÕES

Os resultados obtidos neste estudo indicaram que a determinação de cobre em óleos minerais isolantes usados, por GF AAS, pode ser efetuada pelos dois procedimentos propostos, um baseado na extração induzida por quebra de emulsão e outro na introdução direta das amostras na forma de emulsões, preparadas com tensoativos não iônicos em meio ácido (HNO3). Os limites de quantificação atingidos com ambas as metodologias foram suficientes para a quantificação do analito nas sete amostras testadas.

A aplicação do método da extração induzida por quebra de emulsão apresentou algumas vantagens sobre o método de introdução direta de emulsão, apesar de requerer um tratamento mais trabalhoso das amostras. Na extração induzida por quebra de emulsão os limites de quantificação obtidos foram bem melhores do que aqueles observados quando o método da introdução direta de emulsões foi empregado. Isto se deu por causa da pré-concentração efetuada no processo. Adicionalmente, a possibilidade de calibração com soluções aquosas e a possibilidade de uso do método da curva analítica tornaram este procedimento mais atrativo do que o que utiliza a introdução direta de emulsão.

 

AGRADECIMENTOS

Os autores agradecem ao CNPq (Conselho Nacional de Desenvolvimento Científico e Tecnológico), à CAPES (Coordenação de Aperfeiçoamento de Pessoal de Nível Superior) e à Faperj (Fundação Carlos Chagas Filho de Apoio à Pesquisa do Estado do Rio de Janeiro) pelas bolsas de estudo e pesquisa concedidas e pelos auxílios financeiros que tornaram possível a realização deste estudo.

 

REFERÊNCIAS

1. Myers, S.D.; Kelly, J.J.; Parrish, R.H.; A guide to transformer maintenance. Ohio Transformer Institute: Akron, 1981.

2. N'cho, J.S.; Fofana, I.; Beroual, A.; Aka-Ngnui, T; Sabau, J.; IEEE Trans. Dielectr. Electr. Insul. 2012, 19, 1583.

3. Thomson, C.N.; J. Inst. Pet. 1958, 44, 295.

4. Paillat, T.; Zelu, Y.; Morin, G.; IEEE Trans. Dielectr. Electr. Insul. 2012, 19, 1537.

5. Oliveira, E.; J. Braz. Chem. Soc. 2003, 14, 174.

6. Cassella, R.J.; Brum, D.M.; de Paula, C.E.R.; Lima, C.F.; J. Anal. Atom. Spectrom. 2010, 25, 1704.

7. Cassella, R.J.; Brum, D.M.; Lima, C.F.; Caldas, L.F.S.; de Paula, C.E.R.; Anal. Chim. Acta 2011, 690, 79.

8. Cassella, R.J.; Brum, D.M.; Lima, C.F.; Caldas, L.F.S.; de Paula, C.E.R.; J. Anal. Atom. Spectrom. 2012, 27, 364.

9. Sant'Ana, F.W.; Santelli, R.E.; Cassella, A.R.; Cassella, R.J.; J. Hazard. Mater. 2007, 149, 67.

10. Gonzálvez, A.; Ghanjaoui, M.E.; El-Rhazi, M.; de la Guardia, M.; Food Sci. Technol. Int. 2010, 16, 65.

11. Bettinelli, M.; Spezia, S.; Baroni, U.; Bizzarri, G.; J. Anal. Atom. Spectrom. 1995, 10, 555.

12. Sanz-Segundo, C.; Hernandez-Artiga, M.P.; Cisneros, J.L.H.H.; Bellido-Milla, D.; Naranjo-Rodriguez, I.; Mikrochim. Acta 1999, 132, 89.

13. Botto, R.I.; Can. J. Anal. Sci. Spectrosc. 2002, 47, 1.

14. Bettinelli, M.; Tittarelli, P.; J. Anal. Atom. Spectrom. 1994, 9, 805.

15. Cassella, R.J.; Brum, D.M.; Lima, C.F.; Fonseca, T.C.O.; Fuel 2011, 90, 1215.

16. Carballo-Paradero, S.; Soto-Ferreiro, R.M.; Amor-Pastoriza, S.; Carlosena-Zubieta, A.; Fernandez-Fernandez, E.; Muniategui-Lorenzo, S.; Lopez-Mahia, P.; Prada-Rodriguez, D.; At. Spectrosc. 2009, 30, 129.

17. Brandão, G.P.; Campos, R.C.; Luna, A.S.; Castro, E.V.R.; Jesus, H.C.; Anal. Bioanal. Chem. 2006, 385, 1562.

18. Reyes, M.N.M.; Campos, R.C.; Spectrochim. Acta Part B 2005, 60, 615.

19. Caldas, L.F.S.; de Paula, C.E.R.; Brum, D.M.; Cassella, R.J.; Fuel 2013, 105, 503.

20. Miller, J.C.; Miller, J.N.; Statistics for Analytical Chemistry, 3rd ed., Ellis Horwood PTR Prentice Hall: Chichester, 1993.

On-line version ISSN 1678-7064 Printed version ISSN 0100-4042
Qu�mica Nova
Publica��es da Sociedade Brasileira de Qu�mica
Caixa Postal: 26037 05513-970 S�o Paulo - SP
Tel/Fax: +55.11.3032.2299/+55.11.3814.3602
Free access

GN1