JBCS



12:05, sáb out 25

Acesso Aberto/TP



Artigo


Determinação do coeficiente de atividade na diluição infinita em sistemas etanol-água-sal por microextração em fase sólida-GC-FID
Determination of infinite dilution activity coefficient in ethanol-water-salt systems using spme-GC-FID

Andrew Milli Elias; Filipe Arantes Furtado; Gerson Luiz Vieira Coelho*

Departamento de Engenharia Química, Instituto de Tecnologia, Universidade Federal Rural do Rio de Janeiro, Rod. BR 465, km 7, 23890-000 Seropédica - RJ, Brasil

Recebido em 14/01/2014
Aceito em 06/05/2014
Publicado na web em 03/07/2014

Endereço para correspondência

* e-mail: coelho@ufrrj.br

RESUMO

ABSTRACT

A new method using the headspace solid phase microextraction (HS-SPME) technique was used to evaluate the infinite dilute activity coefficient (γ1) in an alcohol/water/salt system. The studied systems were ethanol and water with NaCl and NH4Cl at salt concentrations of 5, 10, 15, and 30% m/v and temperatures of 303.15 and 313.15 K. The method was used to investigate the salt effect on vapor/liquid equilibrium in an ethanol/water system, yielding satisfactory results. The study focused on the rich side in ethanol. The data were compared with the literature infinite dilution data determined by other methods such as differential ebulliometry (EBUL), differential static cell equilibrium (STAT), and gas-liquid chromatography with no gas phase correction (GC). In this study, NaCl showed better separation rates than NH4Cl.

Palavras-chave: solid-phase microextraction (SPME); activity coefficients; salt effect; gas chromatography; phase equilibrium.

INTRODUÇÃO

A separação de misturas em seus componentes puros é de grande importância na indústria química. A maior parte das plantas em uma indústria tem como objetivo separar materiais brutos e intermediários. A demanda por componentes com grau de pureza mais elevado e que não cause danos à natureza, está cada vez maior. Isso faz com que o estudo do equilíbrio de fases em sistemas multicomponentes tenha uma importância significativa no desenvolvimento de equipamentos de separação. Para a obtenção de componentes com alto grau de pureza normalmente é necessário a utilização de equipamentos multiestágios além da determinação precisa das propriedades termodinâmicas do sistema. A determinação errônea destas propriedades pode superestimar ou subestimar o projeto do equipamento, inviabilizando a obtenção do produto pretendido.1

A avaliação do potencial de separação de um sistema pode ser definida de maneira simples pelos coeficientes de atividade na diluição infinita (γ). Nesta conformação, normalmente a não idealidade do soluto é máxima, já que uma molécula do soluto está completamente envolvida pelas moléculas do solvente. Os pesquisadores sempre deram muita atenção ao coeficiente de atividade já que é utilizado em processos de separação, tais como destilação azeotrópica, extrações líquido-líquido entre outros.2

Em sistemas que formam azeótropos, o coeficiente de atividade ganha uma importância ainda maior, tendo em vista o forte afastamento da idealidade. O processo de obtenção dos componentes com um grau de pureza elevada neste sistema requer um alto consumo energético além de apresentar um rendimento muito baixo. A otimização é necessária e pode ser feita através da introdução de um novo componente no sistema. O equilíbrio liquido-vapor (ELV) do sistema é modificado, o que pode facilitar a separação da mistura azeotrópica. O componente introduzido pode ser um sal inorgânico ou um líquido. O sal apresenta vantagens sobre o líquido, pois não condensa ou vaporiza durante o processo de destilação, com menor consumo de energia, embora deva-se considerar a possibilidade de corrosão e a consequente necessidade de se utilizar matérias especiais na construção dos equipamentos. Outro fator importante é que geralmente não é tóxico e pode ser totalmente reaproveitado. Alguns sais ainda possuem um alto poder de separação, ou seja, pequenas quantidades promovem grandes alterações no ELV.3

A introdução de um componente eletrólito forte pode alterar o ponto de ebulição do sistema. A alteração do equilíbrio de fases em misturas não eletrolítica devido a presença de um sal e conhecido como "efeito sal", normalmente é referenciado como salting in ou salting out, efeito que é acompanhado usualmente de uma queda na pressão de vapor, que é mais intensa à medida que aumenta a concentração do sal.4

Moléculas e íons, quando unidos, formam uma solução aquosa com um comportamento diferente da solução não eletrolítica. Comumente, as moléculas de água solvatam os íons e moléculas do soluto, ocorrendo interações entre íons de cargas opostas e entre íons e moléculas neutras.5,6 Assim, a interação entre água e etanol diminui, alterando o equilíbrio, aumentando a separação.

Sob esta premissa, a determinação do coeficiente de atividade se torna extremamente importante para o entendimento do comportamento das soluções, que pode ser obtido através de técnicas já consolidadas, como a cromatografia gás-liquido, a cromatografia gasosa entre outras. Outra técnica é a micro extração em fase sólida (SPME, Solid Phase Microextraction). Este trabalho teve como objetivo desenvolver um método alternativo, sob uma nova abordagem termodinâmica, para a determinação do coeficiente de atividade em diluição infinita para sistemas pseudo-binários usando a SPME.

Uma das premissas deste trabalho foi a determinação de γ para sistemas em que as técnicas convencionais não são aplicáveis, desenvolvendo um método simples, de fácil implementação e de baixo custo.

 

TEORIA

Para o cálculo do coeficiente de atividade utilizando a modelagem que será proposta a seguir, foram realizadas as seguintes considerações: i) A fase vapor se comporta como gás ideal (φ = 1), hipótese válida para baixas pressões e espécies não-associáveis; ii) O sal é pouco solúvel na espécie infinitamente diluída, sendo a pressão de vapor do líquido, P1sat usada como fugacidade de referencia (f10P1sat ⇒ ΔP1 ≈ 0), ΔP1 é a variação de pressão de vapor; iii) Não ocorre condensação na fibra de SPME; iv) A variação do volume da solução é desprezível.

Um dos efeitos do sal é baixar a pressão de vapor do líquido no qual é solúvel. Para a água, a redução da pressão de vapor é quase uma função linear da concentração do sal. Portanto, o modelo aqui proposto não serve para sais que possuem médiaalta solubilidade na espécie infinitamente diluída, pois nesse caso a fugacidade de referência seria f10 = P1sat - ΔP1, e como não é possível estimar a variação da pressão de vapor pela adição de sal, o modelo aqui proposto só valerá para sais pouco solúveis na espécie infinitamente diluída, no caso o etanol. A solubilidade dos sais em compostos orgânicos pode ser encontrada na literatura.7

A abordagem termodinâmica do problema, mostrada pela Equação 1, expressa de forma matemática a coexistência entre a fase liquida e a fase vapor.8 Então, para o soluto (1), no caso etanol, solvente (2), no caso a água, e o composto inorgânico (NaCl ou NH4Cl), tem-se:

 

 

sendo que: γ é o coeficiente de atividade; é o coeficiente de fugacidade; x fração molar na fase líquida; y é a fração molar na fase vapor; T é a temperatura do sistema; R a constante dos gases; P é a pressão do sistema; Psat é a pressão de saturação em uma dada temperatura.

Nos casos estudados a relação entre o termo exponencial, designado por correção de Poynting, o coeficiente de fugacidade na saturação e o coeficiente de fugacidade na fase vapor é igual a 1, o que reduz a Equação 1 em:

 

 

Rearranjando a Equação 2, tem-se:

 

 

Da definição de fração molar e do balanço de massa para o sistema fechado em equilíbrio, tem-se:

 

 

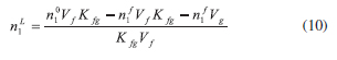
sendo nLé o número de mols na fase liquida; n0número de mols iniciais; ng número de mols na fase gasosa; nf número de mols na fase da fibra.

Substituindo n1L da Equação 5 na Equação 4:

 

 

Considerando a fase vapor ideal:

 

 

sendo Vg o volume de gás da amostra.

Substituindo a Equação 7 na Equação 3, tem-se:

 

 

Em que ng1 pode ser determinado por experimentos de SPME utilizando o coeficiente de partição na temperatura desejada.

 

 

No método utilizado, a fase da fibra foi considerada líquida.9 Sendo Kfg o coeficiente de partição fibra-gás e Vf o volume do revestimento da fibra que é determinado para cada tipo de fibra e depende da sua espessura.

Substituindo a Equação 9 no balanço de massa (Equação 5), obtém-se:

 

 

Substituindo a Equação 9 na Equação 8:

 

 

Substituindo a Equação 10 na Equação 4:

 

 

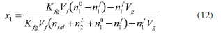
Substituindo a Equação 12 na Equação 11 obtém-se:

 

 

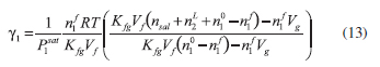
A partir da Equação 13 é possível determinar o coeficiente de atividade utilizando a SPME. O coeficiente de atividade será na diluição infinita se o componente 1, i.e, etanol estiver infinitamente diluído.

 

PARTE EXPERIMENTAL

Os reagentes utilizados foram obtidos da Vetec Química Fina Ltda sendo: etanol, cloreto de sódio e cloreto de amônio, todos com pureza superior a 99,4%. A fibra de PDMS (polidimetilsiloxano) de espessura 100 µm foi obtida da Supelco. O cromatógrafo a gás utilizado no experimento foi um GC-2010 Shimadzu equipado com detector de ionização em chama (DIC; FID = Flame Ionization Detector), uma coluna capilar HP-Innowax (polietileno glicol reticulado; crosslinked PEG) de dimensões 60 m x 0,32 mm x 0,25 µm, um liner da SGE Analytical Science Pty Ltd, de diâmetro interno 0,75 mm (próprio para SPME) e hélio ultrapuro (99,999%) como gás de arraste. Frascos âmbar de 40 mL com septo de PTFE/silicone serviram para o confinamento e estudo das misturas líquidas.

Soluções padrão de etanol em orto-xileno (obtido da Vetec Química Fina Ltda, pureza 99,7%) foram preparadas com concentrações distintas. A curva de calibração para o etanol foi construída injetando-se volumes precisos de 1 µL de solução padrão no injetor do cromatógrafo a gás. A pressão no injetor foi mantida constante a 123,6 kPa em todo o período de análise, o injetor foi mantido em modo splitless por 4 minutos e em seguida uma razão de split igual a 1:8, a temperatura no injetor e detector foram mantidas a 250 ºC. A temperatura inicial da coluna foi de 50 ºC, sendo mantida por 5 minutos, e posteriormente elevando-se a 80 ºC, a uma taxa de aquecimento de 10 ºC min-1, mantendo-se nesta temperatura por mais 1 minuto.

O tempo de extração foi determinado por meio do preparo de amostra gasosa pela injeção de 1 µL de solução em orto-xileno do analito em recipientes de 40 mL vedados com septo PTFE/silicone. A temperatura foi controlada por um banho termostático (LAUDA, modelo RM 6B). Depois de preparada a amostra, a temperatura foi mantida constante e a fibra de PDMS foi exposta por determinado tempo, sendo então levada ao injetor do cromatógrafo a gás para a quantificação de material extraído. O cromatógrafo foi mantido nas mesmas condições da construção da curva de calibração. Os experimentos foram realizados aumentando-se o tempo de exposição até que a massa extraída não mais variasse, alcançando o equilíbrio.

De forma análoga ao tempo de extração, foram preparadas amostras gasosas de concentração conhecida, pela injeção de solução de etanol em orto-xileno (1 µL) no interior de recipientes âmbar de 40 mL vedados com septo PTFE/silicone. A temperatura no interior do frasco foi mantida constante por um banho termostático e a fibra foi exposta durante o tempo de extração previamente determinado. Em seguida a fibra foi levada ao injetor do cromatógrafo para a dessorção térmica e quantificação do material extraído, permitindo a determinação do coeficiente de partição (Kfg), a partir da Equação 9, nas temperaturas de 30 e 40 ºC. O cromatógrafo foi mantido nas mesmas condições da construção da curva de calibração.

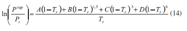
As pressões de vapor (saturação) do etanol foram determinadas utilizando a equação de Wagner (Equação 14). Os valores para as constantes A, B, C e D podem ser encontrados na literatura.10

 

 

sendo Tr a temperatura reduzida e Pc a pressão crítica.

O coeficiente de atividade na diluição infinita foi determinado a partir do preparo de solução de etanol em água com fração molar de 5x10-5 (1,5 µL de etanol em 10 mL de água). Uma alíquota de 10 mL foi posta em um frasco âmbar de 40 mL, que foi posteriormente vedado com tampa e septos de PTFE/silicone. O frasco foi agitado por 45 minutos com temperatura controlada por banho térmico de maneira a homogeneizar a solução e seguida repouso por 45 minutos, para entrar completamente em equilíbrio. A fibra de SPME foi exposta à amostra durante o tempo de extração previamente determinado e, então, levada ao injetor do cromatógrafo a gás para quantificação do material extraído.

De forma semelhante à descrita acima, o coeficiente de atividade em diluição infinita foi determinado para soluções de etanol-água-sal. Soluções padrão foram preparadas em temperatura ambiente (25 ºC), a partir da diluição do sal inorgânico (cloreto de sódio ou cloreto de amônio) em água, com concentrações de 0.05, 0.1, 0.15 e 0.3 g L-1.

 

RESULTADOS E DISCUSSÃO

A curva de resposta para o etanol forneceu coeficiente angular de 9731,8 e coeficiente linear de -12046 representando a relação entre a área do pico de etanol no cromatograma e a massa de etanol extraída, com um coeficiente de determinação (R2) de 0,99996, como pode ser observado na Figura 1. O tempo de extração utilizado nos experimentos foi de 20 minutos para garantir o completo equilíbrio. O tempo de dessorção foi de 5 minutos para garantir uma completa dessorção na fibra de SPME.

 


Figura 1. Curva de resposta do etanol em orto-xileno obtida por cromatografia gasosa

 

As Figura 1 e 2 mostram os valores dos coeficientes de partição determinados para o etanol nas temperaturas de 303,15 e 313,15 K e, a partir destes valores, determinou-se os coeficientes de atividade na diluição infinita utilizando o método proposto.

O uso da técnica de SPME para o cálculo do coeficiente de atividade já foi utilizado em trabalhos anteriores com sucesso para sistemas binários, como soluções de tolueno, etil-benzeno e xileno (TEX) em metanol e soluções de hidrocarbonetos (n-hexano, n-heptano e ciclohexano) em furfural.2,11,12

Neste trabalho os coeficientes de atividade em diluição infinita foram determinados para o sistema etanol-água em duas temperaturas, 303,15 e 313,15 K. Para os cálculos foram utilizados dois métodos: o modelo desenvolvido anteriormente a partir de equacionamentos termodinâmicos e já publicados2,11 e o novo modelo proposto. Os resultados são mostrados na Tabela 3 e confrontados com outras técnicas da literatura.13 Verificou-se que os valores são consistentes e que apresentam desvios aceitáveis, validando o método adotado. Nota-se que os valores dos coeficientes de atividade têm forte influência da técnica empregada.

 

 

 

 

 

 

Na adição de um sal inorgânico em um sistema binário, como etanol-água, ocorre a modificação da pressão de vapor das especies em que o sal é mais soluvel.5 Isto impossibilita o uso da equação proposta em trabalhos anteriores,2,11 pois ainda não é possivel a determinação da variação da pressão de vapor utilizando a SPME como técnica de análise, que é baseada na igualdade das fugacidades.9

Os resultados mostrados nas Tabelas 4 e 5 são para os coeficientes de atividade para os sistemas etanol-água-sal. A abordagem proposta leva em consideração apenas a pressão de vapor do etanol, que não é alterada quando o sal inorgânico possuir baixa solubilidade no soluto, que é o caso dos sais utilizados neste trabalho. No sistema estudado, apenas a pressão de vapor da água é alterada pois os sais utilizados possuem uma maior afinidade. Mesmo em condições de diluição temos uma solução e como explicado o sal atua mais diretamente com a água. Isso pode ser verificado com a modelagem termodinâmica, pois as interações água-sal são maiores que as etanol-sal, ou etanol-íons.

 

 

 

 

É possível verificar a variação no coeficiente de atividade. Isso ocorre porque a introdução do eletrólito no sistema etanol-água faz com que se atinja um novo ponto de equilíbrio líquido-vapor, gerando assim, um novo coeficiente de atividade. Este fato ocorre porque os íons formam complexo preferencialmente com a água, formando espécies de alto peso molecular, se comparados com a espécie sem sal. O complexo formado tem uma pressão de vapor menor que a do etanol, o que facilita a separação do etanol.5

A abordagem proposta para o cálculo da fração molar do etanol e, consequentemente, do coeficiente de atividade leva em consideração o número de moles de todos os componentes presentes. Existem outras abordagens para a definição da concentração nas quais é possível considerar o efeito do cátion, devido ao campo eletrostático causado pelo tamanho do raio iônico, resultando em fortes forças intermoleculares.14

Nota-se também uma grande variação no coeficiente de atividade na diluição infinita para a solução de cloreto de sódio a 30% m/v. Uma provável causa para este efeito é a proximidade com o ponto de saturação da solução, principalmente na temperatura mais baixa. Neste ponto, a maior parte das moléculas de água está solvatada, permitindo a liberação de uma maior parcela do etanol presente no sistema. O fato não é observado na solução de cloreto de amônio já que o seu ponto de saturação na solução ainda está distante.15

Este comportamento facilita o processo de separação. A escolha do composto inorgânico pode ser baseada na solubilidade no solvente (no caso a água), pois quanto maior a afinidade, melhor a separação obtida. A adição do composto altera o fator de separação, o que é de extrema importância na operação de separação na indústria química. Uma maior volatilidade relativa facilita a separação dos componentes na sua forma pura, diminuindo custos.5,16

Assim como foi observado no coeficiente de atividade, próximo ao ponto de saturação, a separação do etanol é alta, o que pode significar uma grande variação ou quebra do ponto de azeótropo.

 

CONCLUSÕES

Estudou-se, por meio da técnica de SPME, o equilíbrio líquido-vapor para o sistema ternário etanol-água-sal nas temperaturas de 303,15 e 313,15 K. Os sais utilizados foram o NaCl e o NH4Cl, que possuem baixa solubilidade no soluto escolhido.

O equacionamento proposto permitiu o cálculo do coeficiente de atividade na diluição infinita para os sistemas estudados. O modelo proposto permite o cálculo do coeficiente de atividade em sistemas em que o sal inorgânico apresenta baixa solubilidade no soluto. O acréscimo da concentração de sal na solução fez com que o coeficiente de atividade aumentasse proporcionalmente, já que os dois sais possuem efeito salting out.

Para o sistema binário etanol-água, o novo modelo apresentou desvios que variaram de 5%, 7% a 31,7% com a literatura, dependendo do método utilizado. Estes resultados podem ser considerados válidos, pois na literatura é possível encontrar desvios maiores que 32%. Quando comparado o método empregado anteriormente10 com a abordagem nova verificou-se desvios menores. O NaCl, na maior concentração estudada (ponto próximo a saturação, 30% m/v) e a 303,15 K apresentou os maiores valores de coeficiente de atividade em diluição infinita, como esperado.

Com os resultados apresentados conclui-se que o método é válido para a determinação dos coeficientes de atividade na diluição infinita, porém requer mais estudos e mais dados para comparação com a literatura de modo a validá-lo para outros sistemas salinos de baixa solubilidade.

 

REFERÊNCIAS

1. Krummen, M.; Gruber, D.; Gmehling, J; J. Chem. Eng. Data 2000, 45, 771.

2. Furtado, F. A.; Coelho, G. L. V.; J. Chem. Thermodynamics 2012, 49, 119.

3. Banat, F. A.; Abu Al-Rub, F. A.; Simandl, J.; Chem. Eng. Technol. 1999, 9, 22.

4. Schmitt, D.; Vogelpohl, A.; Fluid Phase Equilib. 1982, 9, 167.

5. Morrison, J. F.; Baker, J. C.; Meredith, H. C.; Newman, K. E.; Walter, T. Massie, J. D.; Perry, R. L.; Cummings, P. T.; J. Chem. Eng. Data 1990, 35, 395.

6. Coelho, G. L. V.; Eckermann, B.; Vogelpohl, A.; Chem. Ing. Tech. 1990, 1, 62.

7. Rosseau, R. W.; Ashcraft, D. L.; Schoenborn, E. M.; AIChe J. 1972, 18, 825.

8. Gmehling, G.; Kolbe, B.; Thermodynamik, George Thieme Verlag: Sttutgart, 1988.

9. Zhang, Z.; Pawliszyn, J.; J. Phys. Chem. 1996, 100, 17648.

10. Reid, R. C.; Prausnitz, J. M.; Poling, B. E.; The Properties of Gases and Liquids, 4th ed., McGraw-Hill: New York, 1988.

11. Furtado, F. A.; Coelho, G. L. V.; Quim. Nova 2010, 33, 1905.

12. Fonseca, D. B.; Coelho, G. L. V.; Quim. Nova 2007, 30, 1606.

13. Kojima, K.; Zhang, S.; Hiaki, T.; Fluid Phase Equilibria 1997, 131, 145.

14. Black, C.; Ditsler, D. E.; In Extractive and Azeotropic Distillation, Advances in Chemistry, American Chemical Society: Washington, 1974, doi: 10.1021/ba-1972-0115.ch001.

15. Perry, R. H.; Green, D. W.; Chemical Engineers' Handbook, McGraw-Hill: New York, 1997.

16. Jaques, D.; Furter, W. F.; Ind. Eng. Chem. Fundam. 1974, 3, 238.

On-line version ISSN 1678-7064 Printed version ISSN 0100-4042
Qu�mica Nova
Publica��es da Sociedade Brasileira de Qu�mica
Caixa Postal: 26037 05513-970 S�o Paulo - SP
Tel/Fax: +55.11.3032.2299/+55.11.3814.3602
Free access

GN1