JBCS



12:01, sáb out 25

Acesso Aberto/TP



Artigo


Síntese, liofilização e caracterização de acetato de 57Fe(III)
Synthesis, freeze-drying and characterization of 57Fe(III) acetate

Antônio O. de SouzaI,*; Valdecir BiondoI; Paulo Willian C. SarvezukI; Jusmar V. BelliniI; Pedro R. AnizelliII; Dimas A. M. ZaiaII; Andrea Paesano JrI

IDepartamento de Física, Universidade Estadual de Maringá, 87020-900 Maringá - PR, Brasil
IIDepartamento de Química, Universidade Estadual de Londrina, 86057-970 Londrina - PR, Brasil

Recebido em 25/10/2013
Aceito em 22/04/2014
Publicado na web em 03/07/2014

Endereço para correspondência

*e-mail: aodes.fisico@yahoo.com.br

RESUMO

Iron(III) acetate was synthesized by the reflux method using iron enriched in the 57Fe isotope and the compound processed by freeze-drying. The as-synthesized and freeze-dried acetates were characterized regarding their structural, thermal, vibrational and hyperfine properties. Similar diffractometric and spectroscopic results were found for both materials and also for an industrial acetate made with natural iron. However, the microstructures differed: the as-synthesized compound showed flake morphology with micrometric dimensions, whereas the freeze-dried showed flake morphology with sub-micrometric dimensions. The activation energies for thermal decomposition, calculated from the exothermic events occurring in differential scanning calorimetry measurements, were 100.9 kJ/mol (as-synthesized) and 114.7 kJ/mol (freeze-dried).

Palavras-chave: iron acetate; freeze-drying; Mössbauer spectroscopy.

INTRODUÇÃO

Acetatos são sais solúveis em água e podem se decompor facilmente em óxidos ultrafinos através de adequados tratamentos térmicos. A decomposição térmica de acetatos, sob diferentes condições de tratamento térmico, tem atraído a atenção de pesquisadores1-3 devido à grande aplicabilidade envolvendo a síntese de compostos cerâmicos. Essas características os tornam excelentes precursores para a produção de compostos óxidos dopados com alta pureza.

Em trabalhos desenvolvidos anteriormente por nosso grupo de pesquisa,4,5 foram realizados recobrimentos de agregados do semicondutor ZnO (finamente pulverizado) com acetatos de ferro, cobalto ou manganês. Para tal, utilizamos um processamento de liofilização da mistura heterogênea do pó de ZnO com os acetatos dissolvidos em água. A técnica de liofilização tem sido empregada para a desidratação de misturas aquosas, resultando num produto final onde o sal, neste caso, apresenta-se recobrindo homogeneamente o agregado, o que o torna quimicamente mais reativo com o óxido, devido ao aumento de sua área superficial.6-8

Uma vez liofilizada, a mistura é submetida a diferentes tratamentos térmicos, objetivando promover a difusão de metais como o ferro, cobalto ou o manganês na rede do ZnO (zincita). Ao substituir uma pequena fração dos cátions de zinco, que são não-magnéticos, por cátions daqueles metais (i.e., Fe3+ / Co2+ / Mn2+), foi possível diluir momentos magnéticos na rede da zincita. Há um grande interesse nestes materiais porque eles representam uma nova classe de semicondutores denominados semicondutores magnéticos diluídos (SMD),9 que podem exibir, plausivelmente, ferromagnetismo à temperatura ambiente.10 Estes compostos seriam de alta aplicabilidade tecnológica em spintrônica.11

Aproveitando-se as características supracitadas dos acetatos, pode-se igualmente processar (i.e., liofilizar e tratar termicamente) uma mistura de dois (ou mais) acetatos para formar uma cerâmica nanométrica, de composição estequiométrica ou, eventualmente, com os cátions de um metal em solução sólida na matriz óxida de outro metal.

Nos trabalhos de nosso grupo de pesquisa, temos usado mais extensivamente o acetato de ferro, objetivando preparar um material potencialmente tido como um SMD e que possa ser caracterizado por espectroscopia Mössbauer no 57Fe, técnica esta bem consolidada em nosso laboratório. Seguindo a principal vertente desta área de investigação, as matrizes hospedeiras12-19 (semicondutores usados para serem dopados) são óxidos, nitretos, teluretos ou arsenetos. No entanto, a maioria destes sistemas são muito blindantes em relação à radiação gama usada no efeito Mössbauer. Aliado a isto, ainda existe o fator da baixa concentração de ferro que, normalmente, é uma condição apontada para, possivelmente, ocorrer ferromagnetismo.20 Assim, existe uma grande dificuldade na obtenção de espectros Mössbauer de boa estatística e, consequentemente, na obtenção confiável e precisa dos parâmetros hipefinos dos sistemas dopados. Em outras palavras, a rigorosa determinação de quantos sítios de ferro existe no SMD ou se, efetivamente, existe algum grau de ordem magnética, requer medidas por tempos muito longos. Mesmo utilizando amostras com espessuras otimizadas e fontes radioativas de grande atividade, uma medida pode levar vários dias, o que torna muito demorada qualquer investigação sistemática onde se aplique a espectroscopia Mössbauer.

Um recurso frequentemente utilizado por alguns investigadores - não só da área de SMD - para superar esta dificuldade é dopar os compostos com ferro enriquecido no isótopo 57Fe. Esta é a sonda nuclear especificamente utilizada para caracterizar compostos contendo ferro. Isto possibilita um aumento na taxa temporal de absorção nuclear ressonante, conferindo espectros Mössbauer de excelente estatítisca, em tempos de medida ordinários (i.e., 1 ou 2 dias) mesmo em amostras com baixa concentração molar de átomos de ferro.21-24

Assim, com o intuito de acelerar as medidas de espectroscopia Mössbauer, obtendo espectros bem resolvidos para SMD's dopados pelo método que vimos empregando, sintetizamos o acetato de ferro enriquecido no isótopo 57Fe. Neste artigo, reportamos o método desenvolvido para a síntese deste composto isotópico, o qual não está disponível comercialmente.

Para verificar o comportamento do composto sob uma rotina semelhante à empregada em processos de dopagem, o acetato sintetizado foi diluído em água e posteriormente liofilizado (i.e., individualmente, sem misturá-lo com óxidos). Os acetatos (sintetizado e liofilizado) foram caracterizados por espectroscopia Mössbauer, Difratometria de Raios X (DRX), Termogravimetria (TG)/Calorimetria Exploratória Diferencial (DSC), Microscopia Eletrônica de Varredura (MEV) e Espectroscopia de Infravermelho.

 

PARTE EXPERIMENTAL

Síntese do acetato de 57Fe

O método aplicado na preparação do acetato de ferro foi aquele proposto por Nandi, para síntese do composto em sua forma anidra, representado pela equação abaixo:25

 

 

Os precursores da reação foram o ferro metálico em pó, enriquecido a 96% no isótopo 57Fe - adquirido da Isoflex - e o ácido acético glacial, CH3COOH (P.A.). Para a síntese em questão, foi usado um aparelho de refluxo acoplado a um balão. Pesou-se 20 mg do pó de ferro metálico enriquecido no isótopo 57Fe e transferiu-se o mesmo para o balão. A esse material sólido, adicionou-se 0,5 ml do ácido acético glacial. Montado o sistema, manteve-se a temperatura em torno de 120 ºC por 6 h, sem nenhum controle especial da atmosfera da reação. A secagem do material foi conduzida em um forno (tipo mufla), na temperatura de 60 ºC, até a secagem completa (aproximadamente 6 horas). O produto final foi um líquido vermelho-acastanhado que, quando seco ou desidratado, resultou em um pó, a partir daqui designado abreviadamente por Ac57Fe, da mesma cor do líquido.

Liofilização

Parte do acetato sintetizado foi, na seqüência, liofilizado. Neste processo, a mistura homogênea (acetato + água) foi colocada em um frasco de vidro, próprio do equipamento de liofilização (i.e., liofilizador da marca Liotop - modelo L101) e congelada em nitrogênio líquido. Em seguida, o frasco foi acoplado ao liofilizador e a solução feita secar por sublimação, sob baixa pressão (~250 µmHg) e temperatura (-58 ºC). O tempo para secagem completa da amostra durou, aproximadamente, 24 horas, após o qual a amostra retornou naturalmente à temperatura ambiente. O acetato liofilizado é a partir daqui denominado Ac57Fe-L.

Técnicas de caracterização

A estrutura/cristalinidade dos acetatos como-sintetizado, liofilizado e tratado termicamente, foi determinada por DRX. As medidas foram conduzidas à temperatura ambiente, em um difratômetro Shimadzu (modelo XRD-6000), operando na geometria convencional (i.e., Bragg-Brentano, θ-2θ). A radiação utilizada foi a Kα do tubo de cobre (λ = 1,5406 Å), com tensão de 40 kV e corrente de filamento de 30 mA. Os difratogramas foram tomados num intervalo de 5º << 80º, com passo de 0,02º e tempo de contagem de 6 s por passo.

O aspecto morfológico dos materiais produzidos (i.e., do Ac57Fe e Ac57Fe-L) foi analisado por MEV, em um microscópio Shimadzu (SS 550 Superscan), por meio da imagem formada por elétrons secundários.

A decomposição térmica dos acetatos Ac57Fe e Ac57Fe-L foi estudada pelas técnicas de TG/DSC (amostras com massa de ~9 mg, contidas em um cadinho de alumina), realizadas em um analisador térmico Netzsch (modelo STA 409 PG/4/G Luxx), em atmosfera de ar sintético (N2 = 80%, com fluxo 40 ml/min; O2 = 20%, com fluxo 10 ml/min). Para a referência da linha de base (tanto para TG como para DSC) foi usada a medida do cadinho vazio. A temperatura foi elevada desde a ambiente até 600 ºC, com cinco diferentes taxas de aquecimento: β = 4, 8, 12, 16 e 20 ºC/min. Uma vez resfriadas, algumas dessas amostras foram, também, caracterizadas por DRX e espectroscopia Mössbauer.

Os espectros infravermelhos foram obtidos utilizando-se um espectrofotômetro Shimadzu 8300 FT-IR. As pastilhas foram preparadas com 200 mg de KBr (PA), com 10 mg de amostra. Os espectros foram obtidos na região de 400 a 2000 cm-1, com uma resolução de 2 cm-1 e com 98 scans.

Os espectros Mössbauer do 57Fe foram obtidos à temperatura ambiente, utilizando-se um espectrômetro convencional, com os raios gama emitidos por uma fonte de 57Co(Rh), movimentada na horizontal com aceleração constante. Os absorvedores foram preparados para conterem cerca de 20 mg/cm2 de acetato de ferro. Para calibração do equipamento foi utilizado um espectro de α-Fe, tomado à temperatura ambiente.

 

RESULTADOS E DISCUSSÃO

A Figura 1 exibe os difratogramas de raios X para os acetatos Ac57Fe e Ac57Fe-L. Ambos os difratogramas apresentam os picos mais intensos em baixos ângulos, como característico deste tipo de composto.26 O Ac57Fe-L revela um padrão de difração (Figura 1.b) muito parecido com o anterior (Figura 1.a), diferindo na largura, relativamente maior, de alguns picos. Isto indica uma redução na cristalinidade do acetato liofilizado, quando comparado à do acetato como-sintetizado.

 


Figura 1. Difratogramas de raios X para as amostras de acetato: (a) Ac57Fe; (b) Ac57Fe-L; (c) Ac57Fe-D e (d) Ac57Fe-L-D. Em (c) encontram-se indexados os picos de difraçao para a hematita (α-Fe2O3), de acordo com a ficha PDF 084-0307 do ICDD. Onde: o observado, - calculado e | posiçoes de Bragg

 

Embora seja conhecido que o acetato de ferro(III) possui uma estrutura trinuclear oxocentrada,27 não se encontram catalogadas nos mais acessados bancos de dados de difração de raios X, como o ICDD (International Center For Diffraction Data),28 ficha(s) PDF (Powder Diffraction File) para este acetato. Isto impossibilita a comparação direta entre as medidas da Figura 1 com um padrão difratométrico reportado na literatura. Assim, estes difratogramas foram analisados e refinados pelo método de Rietveld (i.e., programa FullProf.29/ rotina de Le Bail.30 Concluiu-se que o grupo espacial que melhor refina o difratograma do composto é o C2/c. Até onde é do conhecimento dos autores, este resultado é inédito. Os resultados obtidos nos refinamentos estão na Tabela 1.

 

 

As Figuras 1.c e 1.d apresentam os difratogramas das amostras resultantes dos tratamentos térmicos dinâmicos dos acetatos Ac57Fe e Ac57Fe-L (amostras aqui designadas por 57Hem. e 57Hem.-L, respectivamente) conduzidos no analisador térmico até 600 ºC (para β = 12 ºC/min, com resfriamento natural). A fase majoritária identificada em ambos os difratogramas foi a hematita (α -Fe2O3), revelando uma completa transformação do acetato em um composto inorgânico. Os difratogramas de amostras termicamente caracterizadas com outras taxas de aquecimentos (resultados não apresentados), basicamente, reproduzem este resultado.

A Figura 2 reúne micrografias em diferentes magnificações dos acetatos Ac57Fe (Figura 2.a e 2.b) e Ac57Fe-L (Figura 2.c e 2.d). É possível observar que a microestrutura de ambas as amostras apresenta um aspecto bastante irregular, i.e., na forma de flocos,31 com espessuras em escala micrométrica para o acetato Ac57Fe e escala submicrométrica para o Ac57Fe-L.

 


Figura 2. Microestrutura dos acetatos: (a) e (b) Ac57Fe; (c) e (d) Ac57Fe-L

 

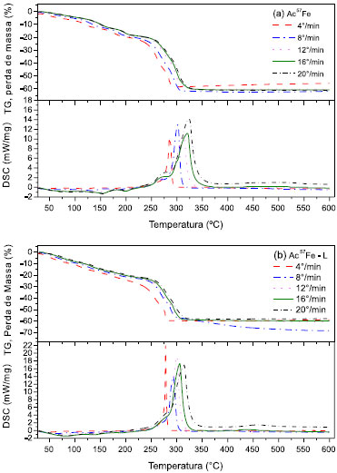
A Figura 3 apresenta os resultados de TG/DSC para os acetatos Ac57Fe e Ac57Fe-L. Infere-se (baseado em dados de DRX, não apresentados aqui, obtidos para o material tratado termicamente em 250 ºC) que os eventos endotérmicos (no DSC), ocorridos na faixa de 22 ºC - 250 ºC estão associados à decomposição do Ac57Fe. O evento exotérmico, com picos agudos bem definidos (no DSC), ocorridos na faixa de 250 ºC - 600 ºC, corresponde à decomposição térmica do composto, a qual, posteriormente, leva à formação da hematita.

 


Figura 3. Curvas de TG/DSC obtidas com diferentes taxas de aquecimento, para os acetatos: (a) Ac57Fe e (b) Ac57Fe-L

 

Uma inspeção das curvas de TG/DSC da Figura 3 indica, ainda, que os picos se deslocam para temperaturas mais altas, quando aumenta a taxa de aquecimento, o que está de acordo com a lei de taxa geral.32 Esse deslocamento para a direita, conforme a taxa de aquecimento aumenta, também é observado nas curvas de TG.

Especificamente, para as taxas de aquecimento de 4, 8, 12, 16 e 20 ºC/min, o evento exotérmico para o Ac57Fe apresentou picos máximos em Tβ = 285 ºC, 302 ºC, 313 ºC, 320 ºC e 324 ºC, respectivamente. Para o Ac57Fe-L, caracterizado com as mesmas taxas de aquecimento, os picos máximos ocorreram em Tβ = 278 ºC, 293 ºC, 300 ºC, 306 ºC e 315 ºC, respectivamente. As temperaturas de pico para o Ac57Fe-L, para os eventos exotérmicos, foram sempre menores em comparação com o Ac57Fe, independentemente da taxa de aquecimento. Isso pode ser atribuído à maior energia de superfície do Ac57Fe-L, o que levaria a uma progressiva estruturação de partículas menores de óxido de ferro em mais baixas temperaturas.6,33

A perda de massa observada em 500 ºC na curva de TG do Ac57Fe foi de 63% (Figura 3.a). Considerando-se um acetato de ferro(III) anidro estequiométrico, Fe(CH3COO)3, decompondo-se para a hematita,34 a perda teórica de massa seria de 66%. Por outro lado, considerando-se um acetato hidratado do tipo [Fe3O(CH3COO)6(H2O)3]CH3COO também decompondo-se para hematita, chega-se ao valor de 62%. Portanto, pode-se inferir que o Ac57Fe não é o acetato de ferro(III) anidro, mas, sim, o acetato de ferro(III) hidratado, que tem o CH3COO - como contra-íon.

Assim, conclui-se que a reação química efetivamente ocorrida na síntese do Ac57Fe é dada por:

 

 

Fatores como excesso de ácido acético disponível para a reação e umidade do ar, entre outros, podem ter favorecido a formação deste acetato hidratado ao invés do acetato anidro previsto pela equação 1.

O dado de TG da Figura 3.b, medido em 500 ºC, mostra que o evento de decomposição térmica (225 ºC - 600 ºC) ocorreu com uma perda de massa de 58% para o Ac57Fe-L. Este valor é menor que o determinado para a amostra Ac57Fe, o que pode ser atribuído à menor quantidade de água adsorvida na amostra liofilizada, comparativamente à amostra como-preparada.

A Figura 4 mostra as retas que permitem calcular a energia de ativação (Ea) dos acetatos, respectiva à transformação em hematita. As energias de ativação calculadas para os eventos exotérmicos apresentados, segundo a norma ASTM E698-11,32 foram obtidas usando os valores dos coeficientes angulares, com o auxílio da equação de Arrhenius.35 O valor obtido para a energia de ativação do Ac57Fe foi de Ea = 100,9 kJ/mol. Este valor é próximo do obtido por Jewur e Kuriacose34 para o acetato férrico (Ea = 94,98 kJ/mol). Para o Ac57Fe-L a energia de ativação obtida foi Ea = 114,7 kJ/mol. O fato da energia de ativação para o Ac57Fe-L ser maior do que para o Ac57Fe poderia significar uma maior sensibilidade da constante de velocidade a mudanças de temperatura.35

 


Figura 4. Gráfico de Arrhenius da equaçao K = Ae-Eα/RTβ, onde K = β é a constante de velocidade, A = T2β é o fator de frequência,Eα é a energia de ativaçao, R é a constante dos gases ideais e Tβ é a temperatura dos picos exotérmicos expressa na escala Kelvin. As retas sao ajustes numéricos dos pontos experimentais, obtidas por regressao linear

 

Esta constatação está de acordo com os resultados observados para os picos exotérmicos do DSC: para o Ac57Fe-L foram observadas transformações de fase em mais baixas temperaturas. Comprova-se, assim, que o material liofilizado é mais reativo,6 para conversão dos produtos que surgem ao longo da excursão de temperatura.

Comparando-se as energias de ativação obtidas para ambos os acetatos percebe-se que, embora Ea seja calculada apenas para o evento exotérmico,32 os eventos endotérmicos que precedem o evento exotérmico podem ter influência no resultado final do cálculo da energia de ativação. Os eventos endotérmicos observados até 250 ºC, para o Ac57Fe (Figura 3.a), são mais pronunciados do que para o Ac57Fe-L (Figura 3.b), o que indica que o Ac57Fe absorveu mais energia do que o Ac57Fe-L. Logo, o composto intermediário formado até 250 ºC, para o Ac57Fe, precisa de uma energia de ativação menor para a sua decomposição para o óxido de ferro. Esta constatação também indica que o Ac57Fe-L é mais reativo, porque o material não absorveu energia em eventos endotérmicos anteriores e está em um estado de desequilíbio maior (baixa cristalinidade ou amorfização), o que faz com que as temperaturas de início da transformação exotérmica sejam menores do que para o Ac57Fe.

Os espectros Mössbauer correspondentes aos acetatos Ac57Fe e Ac57Fe-L estão apresentados nas Figuras 5.a e 5.b. Os parâmetros hiperfinos respectivos a essas e outras amostras estão relacionados na Tabela 2. Tanto para o Ac57Fe (Figura 5.a) como para o Ac57Fe-L (Figura 5.b), o ajuste dos espectros Mössbauer foi feito considerando um dubleto discreto. A boa qualidade estatística dos ajustes confirma a existência de apenas um sítio (paramagnético) para o ferro e, indiretamente, a homogeneidade dos compostos como-sintetizado e liofilizado, quanto a fases contendo ferro. Os valores de deslocamento isomérico e desdobramento quadrupolar são característicos do Fe+3 e reproduzem, aproximadamente, os valores obtidos para acetatos de ferro(III) comerciais (i.e., não-enriquecidos no 57Fe) em estudos anteriores.36 Os aumentos ocorridos na largura de linha e no desdobramento quadrupolar para o Ac57Fe-L podem estar associados - como indicado pelos resultados de MEV, DRX, TG/DSC - com o menor tamanho de partícula do material e, consequentemente, com maior área superficial e desequilíbrio na coordenação dos cátions férricos, após o processamento por liofilização.

 


Figura 5. Espectros Mössbauer: (a) Ac57Fe; (b) Ac57Fe-L; (c) Hem. e (d) Hem.-L

 

 

 

As Figuras 5.c e 5.d mostram os espectros Mössbauer para as amostras 57Hem. e o 57Hem.-L, respectivamente. Ambos os espectros revelam um sexteto discreto bem definido, com parâmetros hiperfinos consistentes com os reportados para a hematita.37-39

Este resultado comprova qual é, especificamente, o composto resultante da decomposição térmica do acetato de ferro, na ausência de suporte ou matriz para reação química em tratamentos térmicos até 600 ºC.

A Figura 6 mostra os espectros de FTIR obtidos para as amostras Ac57Fe e Ac57Fe-L. Basicamente, os espectros reproduzem o resultado para o acetato [Fe3O(CH3COO)6(H2O)3]CH3COO, como obtido por Santos et al..40 As atribuições das bandas aqui identificadas foram feitas de acordo com aquele trabalho, isto é: em 1583 e 1431 cm-1 são características do estiramento assimétrico (νas) e simétrico (νs) do grupo carboxilato (COO-); em 1342 e 1033 cm-1 podem ser atribuídas à deformação (δ) e "rocking" (ρ) do grupo CH3, e em 945, 664 e 615 cm-1 resultam do estiramento ν(CC), deformação δ(OCO) e π(COO).

 


Figura 6. Espectros de FTIR: (a) Ac57Fe e (b) Ac57F - L

 

Entretanto, o espectro não mostrou bandas respectivas somente ao acetato livre (contra íon) como aparece em 470, 978, 1412 cm-1, no trabalho de Santos et al. Esses dados sugerem que ocorreu a formação do complexo, mas não é óbvio que o acetato esteja atuando como contra íon. Pode ser que as bandas características do acetato livre estejam encobertas pelas intensas bandas do complexo.

 

CONCLUSÃO

Acetato de ferro(III) hidratado, [Fe3O(CH3COO)6(H2O)3]CH3COO, foi sintetizado com sucesso, utilizando-se ferro enriquecido no isótopo 57Fe. O composto apresenta microestrutura com morfologia na forma de flocos e cristaliza com grupo espacial C2/c. A decomposição desse material, ocorrida em análise térmica com excursão de temperatura até 600 ºC, evidencia a volatilização da fração orgânica e a conversão total do mesmo em hematita.

A liofilização do acetato sintetizado ocasionou uma alteração morfológica no particulado do composto, dando origem a estruturas submicrométricas na forma de folhas. Os padrões difratométricos e espectroscópicos resultam semelhantes para o acetato liofilizado, quando comparado ao acetato original. Entretanto, o acetato liofilizado começa a se decompor em temperaturas mais baixas, quando comparado com as do acetato original, o que indica que a liofilização torna o material potencialmente mais reativo. As energias de ativação para os eventos exotérmicos observados no DSC foram calculadas em 100,9 kJ/mol e 114,7 kJ/mol, para os acetatos como-sintetizado e liofilizado, respectivamente.

 

AGRADECIMENTOS

Os autores gostariam de agradecer à agência CAPES pelo apoio financeiro.

 

REFERÊNCIAS

1. Bellini, J. V.; Pineda, E. A. G.; Rocha, R. A.; Ponzoni, A. L. L.; Paesano Jr., A.; Thermochim. Acta 2006, 441, 111.

2. Mansour, S. A.A.; Hussein, G. A. M.; Zaki, M. I.; React. Solids 1990, 8, 197.

3. Mansour, S. A. A.; Hussein, G. A. M.; Zaki, M. I.; Thermochim. Acta 1989, 150, 153.

4. de Souza, A. O.; Dissertação de Mestrado, Universidade Estadual de Maringá, Brasil, 2011.

5. Longen, F. R.; Dissertação de Mestrado, Universidade Estadual de Maringá, Brasil, 2010.

6. Bellini, J.V.; de Medeiros, S.N.; Ponzoni, A.L.L.; Longen, F.R; de Melo, M.A.C.; Paesano Jr., A.; Mater. Chem. Phys. 2007, 105, 92.

7. Rey, L. Em Freeze Drying/Lyophilization of pharmaceutical and Biological products; Rey, L.; May, J. C., eds.; Informa Healthcare: London, 2010, cap.3.

8. Oetjen, G.-W.; Haseley, P.; Freeze-Drying, 2th ed., Wiley-VCH: Weinheim, 2004.

9. Ohno, H.; Science 1998, 281, 951.

10. Dietl, T.; Ohno, H.; Matsukura, F.; Phys. Rev. B 2001, 63, 195205.

11. Zutic, I.; Fabian, J.; Das Sarma, S.; Rev. Mod. Phys. 2004, 76, 323.

12. Lu, Z. L.; Hsu, H. S.; Tzeng, Y. H.; Zhang, F. M.; Du, Y. W.; Huang, J. C. A.; Appl. Phys. Lett. 2009, 95, 102501.

13. Xia, C.; Hu, C.; Tian, Y.; Chen, P.; Wan, B.; Xu, J.; Solid State Sci. 2011, 13, 388.

14. Lu, J. J.; Lin, T. C.; Tsai, S. Y.; Mo, T. S.; Gan, K. J.; J. Magn. Magn. Mater. 2011, 323, 829.

15. Ramachandran, S.; Narayan, J.; Prater, J. T.; Appl. Phys. Lett. 2006, 88, 242503.

16. Hakeem, A. M. A.; J. Magn. Magn. Mater. 2010, 322, 714.

17. Liu, C.; Meng, D.; Pang, H.; Wu, X.; Xie, J.; Yu, X.; Chen, L.; Liu, X.; J. Magn. Magn. Mater. 2012, 324, 3356.

18. Yu, X.; Meng, D.; Liu, C.; He, X.; Wang, Y.; Xie, J.; Mater. Lett. 2012, 86, 112.

19. Toloman, D.; Mesaros, A.; Popa, A.; Raita, O.; Silipas, T.D.; Vasile, B.S.; Pana, O.; Giurgiu, L.M.; J. Alloys. Compd. 2013, 551, 502.

20. Xia, C.; Hu, C.; Tian, Y.; Chen, P.; Wan, B.; Xu, J.; Solid State Sci. 2011, 13, 388.

21. Lin, Y.; Jiang D.; Lin, F.; Shi, W.; Ma, X.; J. Alloy Compd. 2007, 436, 30.

22. Fan, L.; Dongmei, J.; Xueming, M.; Physica B 2010, 405, 1466.

23. Ahn, G. Y.; Park, S.-I.; Shim, I.-B.; Kim, C. S.; J. Magn. Magn. Mater 2004, 282, 166.

24. Ahn, G. Y.; Park, S.-I.; Kim, S. J.; Kim, C. S.; J. Magn. Magn. Mater 2006, 304, 498.

25. Nandi, P.; IOSRJEN 2013, 3, 51.

26. Tranqui, D.; Burlet, P.; Filhol, A.; Thomas, M.; Acta Crystallogr., Sect. B: Struct. Crystallogr. Cryst. Chem. 1977, 33, 1357.

27. Vrubel, H.; Hasegawa, T.; de Oliveira, E.; Nunes, F. S.; Inorg. Chem. Commun. 2006, 9, 208.

28. McClune, W. F.; Powder Diffraction Files, JCPD, International Center for Diffraction Data, Pensylvania: USA, 1984.

29. Young, R. A. Em Introduction to the Rietveld method, International Union of Crystallography; Young, R. A., eds.; Oxford University Press: New York, 1995, cap. 1.

30. Le Bail, B. A. ; Duroy, H.; Fourquet, J. L.; Mater. Res. Bull. 1988, 23, 447.

31. Gleiter, H.; Acta Mater. 2000, 48, 1.

32. STD - ASTM E698-ENGL, "Standard test method for Arrhenius kinetic constants for thermally unstable materials", ASTM International Standard, 1999.

33. Boldyrev, V. V.; J. Therm. Anal. 1993, 40, 1041.

34. Jewur, S. S.; Kuriacose, J. C.; Thermochim. Acta 1977, 19, 195.

35. Atkins, P. W.; Physical Chemistry, 7th ed., Oxford University Press: New York, 2002.

36. Music, S.; Ristic, M.; Popovic, S.; J. Radioanal. Nucl. Chem. 1988, 121, 61.

37. Zboril, R.; Mashlan, M.; Petridis, D.; Chem. Mater. 2002, 14, 969.

38. Gaviría, J. P.; Bohé, A.; Pasquevichc, A.; Pasquevicha, D. M.; Phys. B (Amsterdam, Neth.) 2007, 389, 198.

39. Vandenberghe, R. E.; De Grave, E.; De Geyter,, G.; Landuydt, C.; Clays Clay Miner. 1986, 34, 275.

40. Santos, R. S.; Jannuzzi, S. A. V.; Formiga, A. L. B.; Quim. Nova 2010, 33, 1815.

On-line version ISSN 1678-7064 Printed version ISSN 0100-4042
Qu�mica Nova
Publica��es da Sociedade Brasileira de Qu�mica
Caixa Postal: 26037 05513-970 S�o Paulo - SP
Tel/Fax: +55.11.3032.2299/+55.11.3814.3602
Free access

GN1