JBCS



14:54, sáb out 25

Acesso Aberto/TP



Artigo


Obtenção de nanocelulose da fibra de coco verde e incorporação em filmes biodegradáveis de amido plastificados com glicerol
Obtaining nanocellulose from green coconut fibers and incorporation in biodegradable films of starch plasticized with glycerol

Bruna A. S. MachadoI,II,*; Joao H. O. ReisII; Jania B. da SilvaIII; Lindaiá S. CruzI; Itaciara L. NunesIV; Fabiano V. PereiraV; Janice I. DruzianII

IÁrea Tecnológica de Alimentos e Bebidas, Faculdade de Tecnologia SENAI CIMATEC, Serviço Nacional de Aprendizagem Industrial, Av. Orlando Gomes, 1845, 41650-010 Salvador - BA, Brasil
IIDepartamento de Análises Bromatológicas, Faculdade de Farmácia, Universidade Federal da Bahia, Rua Barão de Geremoabo, s/n, 40171-970 Salvador - BA, Brasil
IIICentro de Ciência e Tecnologia, Universidade Federal do Recôncavo da Bahia, Rua Rui Barbosa, 710, 44380-000 Cruz das Almas - BA, Brasil
IVDepartamento de Ciência de Alimentos, Escola de Nutrição, Universidade Federal da Bahia, Av. Araújo Pinho, 32, 40110-150 Salvador - BA, Brasil
VDepartamento de Química, Instituto de Ciências Exatas, Universidade Federal de Minas Gerais, Av. Antônio Carlos, 6627, 31270‑901, Belo Horizonte - MG, Brasil

Recebido em 26/11/2013
Aceito em 01/07/2014
Publicado na web em 01/08/2014

Endereço para correspondência

*e-mail: brunamachado17@hotmail.com

RESUMO

Composites strengthened with nanocellulose have been developed with the aim of improving mechanical, barrier, and thermal properties of materials. This improvement is primarily due to the nanometric size and the high crystallinity of the incorporated cellulose. Cassava starch films plasticized with glycerol and incorporated with nanocellulose from coconut fibers were developed in this study. The effect of this incorporation was studied with respect to the water activity, solubility, mechanical properties, thermal analysis, and biodegradability. The study demonstrated that the film properties can be significantly altered through the incorporation of small concentrations of nanocellulose.

Palavras-chave: nanocellulose; coconut fiber; composites.

INTRODUÇAO

Atualmente, na busca pela sustentabilidade, várias pesquisas e trabalhos na área de materiais poliméricos e compósitos foram, e estao sendo, realizados para garantir a preservaçao ambiental e proporcionar uma melhor qualidade dos materiais desenvolvidos, bem como melhor padrao de vida a sociedade.1-4 Dentre as pesquisas nesta área, as que buscam a aplicaçao de recursos naturais na preparaçao dos materiais vêm crescendo, podendo-se destacar o uso de matrizes poliméricas renováveis e de fibras naturais e seus derivados.4,5

A incorporaçao de uma pequena quantidade de aditivo em escala nanométrica pode produzir compósitos com propriedades melhoradas e que podem ter diferentes aplicaçoes industriais e tecnológicas.6,7 Já está bem descrito na literatura que o termo nanocompósito descreve uma classe de materiais de duas fases, em que uma das fases tem pelo menos uma dimensao inferior a 100 nm.8 Alguns trabalhos evidenciam que o interesse comercial na obtençao de nanopartículas para serem utilizadas como aditivos e incorporadas em compósitos tem se concentrado principalmente em fontes como argila, sílica9 e outros materiais inorgânicos, como os nanotubos de carbono.10 Entretanto, nas últimas décadas, os polímeros reforçados com nanofibras de celulose ou seus derivados têm atraído a atençao de muitos pesquisadores devido às questoes ambientais,8 e ainda devido a melhoria das propriedades mecânicas, térmicas e de biodegradabilidade, em virtude principalmente do tamanho nanométrico e da alta cristalinidade da celulose incorporada. Os nanocompósitos com nanocelulose incorporada podem ter suas propriedades mecânicas e de barreira melhoradas quando comparados a polímeros sem a presença do aditivo.11-15

A fibra de coco é um material lignocelulósico, caracterizado por elevada resistência e durabilidade, devido principalmente ao seu alto teor de lignina quando comparado com outras fibras naturais.16,17 A grande disponibilidade no Brasil de fontes de fibras vegetais ricas em celulose, como o coco, e seu baixo custo, justificam a utilizaçao destas fibras como fontes de matéria-prima para a obtençao de nanomateriais biodegradáveis reforçados com nanocelulose extraída da fibra de coco. Como vantagens da utilizaçao deste tipo de material destacam-se: seu caráter renovável, biodegradabilidade, propriedades mecânicas melhoradas e baixo custo quando comparados com nanofibras sintéticas.

A produçao de filmes a partir de amido de mandioca tem sido estudada pelo fato desse material ser facilmente encontrado, possuir baixo custo e também devido as suas propriedades filmógenas.18,19 Filmes flexíveis obtidos a partir de amido de mandioca foram desenvolvidos com sucesso em diversos estudos.12,13,20-23 O uso do plastificante, como por exemplo, o glicerol, possibilita uma maior porcentagem de alongamento aos filmes,13,21 melhorando a viabilidade do material, além de representar um grande impacto científico devido a capacidade atual de produçao global de glicerina vegetal e, por isso foi utilizado para o desenvolvimento dos nanobiocompósitos neste estudo. A dispersao e incorporaçao dos nanocristais de celulose de diferentes fontes em filmes de amido têm sido relatadas,12,13,24-26 obtendo-se, assim, nanobiocompósitos com propriedades melhoradas.

Neste trabalho, nanobiocompósitos obtidos a partir de fontes renováveis foram preparados em concentraçoes apropriadas e previamente estabelecidas a partir de testes preliminares27 utilizando uma matriz polimérica de amido de mandioca, plastificada com glicerol e com baixos teores de nanocelulose obtida a partir da fibra de coco verde. Tendo em vista que a incorporaçao de nanopartículas de celulose pode melhorar as propriedades de filmes a base de matrizes biodegradáveis, o objetivo deste trabalho foi obter por hidrólise ácida a nanocelulose da fibra de coco verde e investigar a influência da incorporaçao destas nanopartículas nas propriedades mecânicas, térmicas, de barreira e na biodegradabilidade dos nanobiocompósitos obtidos.

 

PARTE EXPERIMENTAL

Material

Como materiais foram utilizados o amido de mandioca (Cargill Agrícola SA), Glicerol (Synth®), fibra de coco verde obtida em feiras livres (Salvador - Bahia - Brasil), reagentes como hidróxido de sódio, hipoclorito de sódio, ácido sulfúrico (98,08%) e ácido acético Vetec® e Membrana de celulose para diálise D9777 - 100 FTO (cut-off 12.000 Da), da Sigma-Aldrich.

Extraçao da celulose da fibra de coco verde

As fibras de coco verde foram secas em estufa (100 ºC) e posteriormente trituradas em liquidificador para obtençao de um fino particulado e peneirado em peneira de malha 40. Em seguida 30 g da amostra foram lavados com 1200 mL de soluçao de NaOH a 2%, durante 4 horas sob agitaçao constante (80 ºC). A soluçao resultante foi filtrada a vácuo utilizando funil de Büchner e Kitassato e lavada com água destilada para a obtençao da polpa. O processo de lavagem e filtraçao foi repetido por quatro vezes para a remoçao completa dos agentes solúveis em água. Após a lavagem das fibras, foi realizado o processo de deslignificaçao da polpa, por meio do branqueamento utilizando uma mistura de 300 mL de hipoclorito de sódio 1,7% e 300 mL de soluçao tampao. A soluçao resultante foi colocada sob agitaçao (80 ºC) por 6 horas, filtrada e seca em estufa (40 ºC), obtendo-se assim o resíduo ou polpa de celulose, que posteriormente foi pulverizado em moinho. A metodologia utilizada foi adaptada de Rosa et al.17 e Samir et al.28

Obtençao na nanocelulose da fibra de coco verde

Os nanocristais de celulose foram preparados por hidrólise ácida utilizando H2SO4 64%, conforme metodologia adaptada de Rosa et al.17 Um total de 12 mL g-1 de celulose foi submetido à agitaçao constante durante 10 a 15 minutos, a 50 ºC. Após o tratamento de hidrólise ácida, as amostras foram filtradas, avolumadas com água destilada em tubos Falcon de 40 mL e centrifugadas durante 10 min a 4400 rpm a 10 ºC com o objetivo de separar os cristais da suspensao. Este procedimento foi repetido até nao apresentar mais sobrenadante (média de 6 a 7 vezes). Em seguida, as suspensoes foram submetidas à diálise utilizando membranas de celulose, e após atingir o pH entre 6 a 7 as amostras foram colocadas em banho de ultrassom por 5 minutos para a dispersao dos nanocristais.

Microscopia eletrônica de transmissao (TEM)

A suspensao de nanocelulose de fibra de coco foi analisada por TEM a fim de determinar o comprimento das fibras (L), diâmetro (D) e para indicar o estado de agregaçao dos cristais. A suspensao de nanocelulose foi misturada em volumes iguais com acetato de uranila aquosa a 2% (UA) e 10 mL da mistura UA-nanocelulose foram dispensados em uma grade de cobre (400 mesh) e deixada em repouso durante 30-60 segundos. A grade foi seca e visualizada em microscópio eletrônico de transmissao FEI Tecnai G2-Spirit com 120 kV de voltagem de aceleraçao. Os comprimentos e diâmetros dos cristais foram medidos diretamente das micrografias eletrônicas de transmissao usando Image Tool 6.3 (Media Cybernetics, Inc., Bethesda, MD) realizando-se 30 mediçoes para determinar os valores médios e desvios padrao.

Desenvolvimento dos nanobiocompósitos por casting

Os nanobiocompósitos foram processados segundo a técnica de casting, que consistiu na preparaçao de uma soluçao filmogênica, dissolvendo-se amido de mandioca em água destilada (3,6; 4,5; e 6,0%, g/100 g), utilizado glicerol como agente plastificante (0,5; 0,9; 1,5%, g/100 g) e suspensao de nanocelulose (0,18 e 0,30%, g/100 g), que posteriormente foi aquecida até a temperatura de gelatinizaçao do amido (70 ºC), sob constante agitaçao manual. A soluçao filmogênica (40 g) foi pesada em Placas de Petri de poliestireno e desidratada em estufa com circulaçao de ar (35 ± 2 ºC) por 18 a 20 horas. Os nanobiocompósitos obtidos foram acondicionados (60% UR, 23 ºC) em dessecadores contendo soluçao saturada de cloreto de sódio, por 10 dias, antes de serem caracterizados, conforme adaptaçao da metodologia proposta por Veiga-Santos e Scamparini.29 As 3 formulaçoes preparadas (F1, F2 e F3) foram obtidas a partir de um estudo preliminar27 realizado a partir de um planejamento composto central rotacional (DCCR 23) (Tabela 1), que culminou com a obtençao de 17 formulaçoes. As 3 formulaçoes estudadas foram selecionadas tendo em vista as ótimas propriedades mecânicas apresentadas. Para cada formulaçao estudada, os resultados identificados foram comparados com um filme controle (C1 - 4,5% de amido e 0,9% de glicerol, g/100 g) sem a adiçao de nanocelulose para análise comparativa das propriedades de barreira e mecânicas. O controle foi elaborado com base nos valores intermediários de amido (X1) e glicerol (X2) obtido no delineamento.

 

 

Determinaçao da espessura e propriedades mecânicas

A espessura dos nanobiocompósitos e controle pré-acondicionados (60% UR, 25 ºC) foi avaliada por meio da espessura média, de 6 mediçoes em posiçoes aleatórias, por meio de micrômetro digital Mitutoyo de ponta plana (com resoluçao de 1 µm), em triplicata. Os ensaios de traçao foram realizados em uma máquina universal de ensaios EMIC, modelo DL2000/700, com carga máxima de 20 KN, seguindo a norma ASTM D-882,30 com velocidade de 12,5 mm min-1 e temperatura de 25 ºC, nos quais foram determinados a tensao máxima, módulo de Young (elasticidade) e percentual de deformaçao. Foram realizados ensaios de traçao em 8 corpos de prova para cada amostra, com dimensoes de 50 mm de comprimento e 25 mm de largura. As propriedades mecânicas dos nanobiocompósitos foram monitoradas ao logo de 90 dias para avaliar a estabilidade dos nanocristais como aditivo de reforço. As formulaçoes ficaram acondicionadas em dessecadores contendo soluçao saturada de cloreto de sódio (60% UR, 23 ºC) e avaliadas nos dias 0, 30, 60 e 90.

Determinaçao da atividade de água (aw), solubilidade, umidade e sólidos totais

As mediçoes de aw dos nanobiocompósitos e controle foram realizadas com um decágono, LabMaster (Novasina), com controle de temperatura (25 ºC) utilizando o Software Novalog MC. A umidade e sólidos totais dos filmes foram obtidos por secagem no infravermelho, em equipamento Balança Infravermelho Shimadzu, com intensidade da radiaçao emitida de modo que a amostra atingisse 110 ºC. A solubilidade em água das formulaçoes e controle foi determinada de acordo com Gontard et al.31 Todas as determinaçoes foram realizadas em triplicata.

Análise termogravimétrica (TGA) e de calorimetria exploratória diferencial (DSC)

As análises termogravimétricas dos nanobiocompósitos foram realizadas em um analisador térmico DTG-60 Shimadzu. Nos ensaios foram usadas massas de aproximadamente 8 mg, cadinho de platina, atmosfera inerte de nitrogênio de 30 mL min-1, com taxa de aquecimento de 10 ºC min-1, no intervalo de temperatura de 25 a 600 ºC. Os resultados foram expressos por meio das curvas de TGA e pela sobreposiçao da curva de DTG (Derivative Thermogravimetry), derivada da primeira curva. Para a análise de Calorimetria Exploratória Diferencial (DSC) foi utilizado um instrumento universal Perkin Elmer, modelo DSC 7. Cerca de 8-10 mg de amostras pré-condicionadas (60% UR, 25 ºC) foram hermeticamente seladas em cadinhos de alumínio, para prevenir a evaporaçao da água durante a varredura. Um cadinho de alumínio vazio serviu como referência. A varredura foi realizada, nas temperaturas de -50 ºC a 250 ºC, com uma taxa de 10 ºC min-1 e 10 mm de N2 min-1. As amostras foram avaliadas conforme metodologia proposta por Sobral.32 Foram calculadas a Tonset (menor temperatura do evento de gelatinizaçao), Tp (Temperatura de pico da gelatinizaçao) e a ΔH (variaçao de entalpia no evento de gelatinizaçao) a partir do termograma gerado na varredura.

Avaliaçao da biodegradabilidade

A avaliaçao da biodegradabilidade dos nanobiocompósitos e de uma amostra sem a presença de nanocelulose (C2 - 4,5% de amido e 1,5% de glicerol) foi realizada de acordo com Leite et al..33 O solo simulado utilizado foi preparado misturando-se partes iguais de solo fértil com baixo teor de argila e areia de praia seca e peneirada (40 mesh), e esterco de cavalo seco ao sol por dois dias, seguindo a norma ASTM G-160-03.34 Os filmes foram acondicionados em sistemas diferentes para serem retirados após 2, 4, 12, 15 e 17 semanas, sendo que cada sistema continha uma amostra de cada formulaçao (F1, F2, F3) e do controle C2. O sistema foi formado por Placas de Petri, nas quais foram adicionados o solo preparado e as amostras. As placas contendo os filmes foram colocadas em estufa (cultura bacteriológica com circulaçao de ar) e mantida a 30 ºC (± 2 ºC), e os sistemas foram retirados após o período estipulado, quando foram limpos e pesados.

Análise estatística

Os resultados determinados no trabalho foram tratados pelo Teste de Tukey para identificar a existência de diferenças significativas entre as formulaçoes, e formulaçoes e controle, com nível de significância de 95%, para cada parâmetro avaliado.

 

RESULTADOS E DISCUSSAO

Para cada 10 g de fibra submetidos ao processo de lavagem e branqueamento, foram obtidos aproximadamente 1,25 g de polpa de celulose, sendo o rendimento da extraçao de 12,5% (Figura 1S). Os difratogramas da fibra de coco verde in natura, da polpa de celulose obtida após o processo de branqueamento e dos nanocristais de celulose liofilizados estao representados na Figura 2S. A suspensao, quando visualizada através de polarizadores, apresentou uma fase nemática, que resulta em birrefringêngia da luz, considerada uma indicaçao de presença de nanocristais na suspensao (fase líquido-cristalina) (Figura 3S). Na Figura 1 sao apresentadas as micrografias obtidas por TEM dos nanocristais de celulose da fibra de coco verde em suspensao aquosa (0,66 g/10 mL). Estas imagens evidenciam a eficiência do tratamento de hidrólise ácida para a obtençao da nanocelulose da fibra do coco verde, confirmando a presença dos nanaocristais nas suspensoes, que consistem principalmente de fibrilas individuais e alguns agregados. Isto é consistente com o modelo estrutural proposto por Battista & Smith35 e com os resultados obtidos por Samir et al.,28 Rosa et al.,17 e Mesquita et al..36,37 Os comprimentos (L) mínimos e máximos identificados foram de 98 nm e 430 nm, respectivamente, apresentado uma média de 201±57 nm. Os nanocristais apresentaram lagura (D) de 5,6 ± 0,98 nm. A média da relaçao (L/D) determinada foi de 38,9 ± 4,7 a partir de um intervalo de 18,2 a 75,4, que está na faixa da nanocelulose que têm grande potencial para ser usada como reforço em nanocompósitos ou nanobiocompósitos.17,37

 


Figura 1. Micrografias obtidas por microscopia eletrônica de transmissao da soluçao de nanocelulose da fibra de coco verde (Escala 200 e 500 nm)

 

Destaca-se que as condiçoes de hidrólise utilizadas para a preparaçao dos nanocristais sao responsáveis pelas propriedades dimensionais dessas partículas,36,38 pois o ataque ácido prolongado pode nao apenas destruir as partes amorfas da celulose, mas também destruir as zonas parcialmente cristalinas das fibras, resultando portanto em uma reduçao do comprimento dos nanocristais. Mesquita et al.,36 por meio das imagens de TEM, obtiveram valores médios de comprimento (L) e largura (D) da nanocelulose de eucalipto de 145 ± 25 nm e 6,0 ± 1,5 nm, respectivamente, dando uma proporçao de aspecto (L/D) de cerca de 24. Os resultados encontrados neste estudo também sao consistentes com os encontrados por outros autores que caracterizaram as dimensoes da nanocelulose obtidos de diferentes fontes.11,38-40

As três formulaçoes de nanobiocompósitos obtidas a partir de um planejamento composto central rotacional (DCCR 23) preliminar27 e filme controle (C1) foram investigados quanto às propridades de barreira (espessura, aw, solubilidade em água e umidade), propriedades mecânicas (tensao máxima, módulo de Young e percentual de deformaçao) e a biodegradabilidade em solo preparado (formulaçoes e controle C2). Buscou-se avaliar a influência da adiçao da soluçao de nanocelulose da fibra de coco sobre estes parâmetros. Foram também avaliadas as propriedades térmicas dos nanobiocompósitos preparados através das análises de TGA e DSC.

As variaçoes nos teores de sólidos totais foram significativas entre as diferentes formulaçoes dos nanobiocompósitos, e entre as formulaçoes e o controle (C1) (p < 0,05), com limites de 80,61% (C1) e 84,39% (F3), conforme demostrado na Tabela 2. Os valores de espessura dos filmes variaram de 0,096 mm para a formulaçao F1 (3,6% de amido) a 0,147 mm para a formulaçao F2 (6,0% de amido). Apesar dos nanobiocompósitos terem sido elaborados a partir de valores pré-estabelecidos (40 g de massa de soluçao filmogênica), foram constatadas diferenças significativas (p < 0,05) entre as formulaçoes de nanobiocompósitos (Tabela 2). Observa-se que as formulaçoes com os maiores perecentuais de amido apresentam os maiores valores de espessura. Para filmes formulados com a mesma matriz e adiçao de diferentes concentraçoes de polpa de manga e acerola,23 cacau e extrato de café,41 e com nanocelulose de coco com extrato de erva-mate,13 as espessuras variaram de 0,123 a 0,141 mm, de 0,113 a 0,143 mm e de 0,100 a 0,150 mm, respectivamente, com diferenças significativas entre as formulaçoes (p > 0,05).

 

 

Um dos parâmetros mais importantes utilizados para a conservaçao de alimentos é o controle da atividade de água (aw). A aw é considerada como um parâmetro inteiramente ligado à umidade do alimento, o que permite determinar sua capacidade de conservaçao, de propagaçao microbiana e de acontecimento de reaçoes químicas.42 A reduçao da quantidade de água livre em embalagens para produtos alimentícios tem como consequência a minimizaçao da disponibilidade de água para o crescimento de microorganismos, evitando assim alteraçoes químicas indesejáveis ​​para o armazenamento dos produtos.43 Destaca-se, ainda, que produtos que possuem valores de aw inferiores a 0,600 sao relativamente protegidos contra a contaminaçao microbiana, enquanto que a proliferaçao de microorganismos específicos pode ocorrer com valores de aw superiores a 0,600.43 Considerando-se que a água migra de áreas com altos valores de aw para áreas de baixos valores de aw, é importante ter valores baixos para este parâmetro quando se usa embalagens para produtos alimentares, tais como películas de base biológica.11,13,22,44 Comparando os nanocompósitos desenvolvidos com o filme controle, pode-se observar que a adiçao dos nanocristais de celulose da fibra de coco diminui os valores de aw (p < 0,05) (Tabela 2). Os valores de aw variaram de 0,638 a 0,686 e os de umidade de 81,13 a 84,39% entre as formulaçoes, sendo assim considerados como produtos de umidade intermediária. Silva et al.12 formularam e caracterizaram filmes de amido contendo nanocelulose de eucalipto e encontraram valores de aw que variaram de 0,461 a 0,630, e constataram que as formulaçoes contendo maiores percentuais de nanocelulose possuíam menores aw.

A solubilidade dos filmes em água é uma importante propriedade, podendo atuar como proteçao para alimentos em que a aw é alta, quando o alimento tem contato com a água durante a cocçao31 ou mesmo quando os filmes sao ingeridos (comestíveis).45 Todos os nanobiocompósitos estudados depois de ficarem imersos em água por 24 horas sob constante agitaçao, apresentaram-se inteiros e aparentemente íntegros quanto à forma, e ainda permaneceram com boa flexibilidade e dobráveis durante ao manuseio. No aspecto visual, os filmes perderam a transparência e apresentaram-se opacos. Resultados semelhantes ao deste estudo foram encontrados por Matta et al..45 As maiores solubilidades foram encontradas para a amostra controle, seguida da formulaçao F1, 42,55 e 23,11%, respectivamente. Os nanobiocompósitos F2 e F3, com as mesmas concentraçoes de nanocelulose incorporada (0,30%), apresentaram solubilidade em água de 12,05 e 12,76%, respectivamente, sem diferenças significativas entre as amostras (p > 0,05), indicando assim que a presença dos nanocristais em maior concentraçao diminui a solubilidade dos biopolímeros em água.11

Os nanocristais de celulose podem proporcionar uma barreira física por meio da interaçao com a matriz polimérica de amido e com o plastificante, dificultando, portanto, a permeaçao de água, observando-se como consequência a reduçao de sua absorçao. Como a interaçao da matriz de amido com moléculas de água sao dificultadas, observa-se, portanto, uma diminuiçao da solubilidade em água dos nanobiocompósitos quando comparada com o controle. O comportamento dos nanocristais de celulose como uma barreira física à penetraçao de água pode ser explicado pelo elevado grau de cristalinidade dessas nanopartículas (índice de cristalinidade de 69,1%). Resultados semelhantes ao deste estudo foram encontrados por Rodriguez et al.,46 Paralikara et al.47 e Saxena e Ragauskas.48 Destaca-se ainda que a adiçao de plastificante, em particular o glicerol, tem grande influência sobre a solubilidade de filmes de amido, devido ao seu caráter hidrofílico. O glicerol interage com a matriz do filme aumentando o espaço livre entre as cadeias, facilitando a entrada da água e, consequentemente, aumentado a solubilidade.49-51

A incorporaçao da soluçao de nanocelulose de coco aos filmes biodegradáveis de amido plastificados com glicerol, em diferentes concentraçoes, resultou em alteraçao das propriedades mecânicas das formulaçoes estudadas (Tabela 3). Os nanocristais de celulose foram eficazes para aumentar a tensao máxima em até 1.109% (F3) quando se compara com o controle (filme de amido sem nanocelulose - C1). Destaca-se que esta propriedade foi significativamente alterada (p < 0,05) com a incorporaçao de nanocelulose em todas as concentraçoes estudadas. Na Tabela 3 sao apresentados os resultados para a determinaçao das propriedades mecânicas dos nanobiocompósitos em comparaçao com o controle estudado, evidenciando o aumento do módulo e tensao máxima e, consequentemente, a diminuiçao do percentual de deformaçao.

 

 

Foram monitoradas as formulaçoes F2 e F3, que apresentaram excelentes resultados para módulo e tensao, e a formulaçao F1, que apesar de possuir menores valores nestes parâmetros, apresentou um elevado percentual de deformaçao quando comparada com as outras formulaçoes (Tabela 3). Foi constatado que as propriedades mecânicas destas formulaçoes nao foram signicativamente alteradas (p>0,05) durante 90 dias de armazenamento (60% UR, a 23 ºC), e, portanto, os nanobiocompósitos apresentam uma grande estabilidade com relaçao às propriedades mecânicas (Tabela 1S), podendo, por exemplo, ser utilizados como embalagens para diversos tipos de produtos que necessitam de um armazenamento prolongado, como produtos com alto teor de gordura.13

Cao et al.15 relatam tendência semelhante ao deste estudo, quando formularam e caracterizaram mecanicamente filmes biodegradáveis de amido termoplástico e nanocelulose de fibras de cânhamo como material de reforço. A resistência (tensao máxima) aumentou de 3,9 MPa para 111,5 MPa quando o teor de nanocelulose passou de 0% para 30%. Para as mesmas concentraçoes de nanocelulose, o módulo de Young passou de 31,9 MPa para 823,9 MPa, respectivamente. Benini52 incorporou fibras de coco branqueada (celulose) em poliestireno de alto impacto (HIPS) como matriz termoplástica, e a tensao máxima e o módulo de Young foram de 23,7 MPa e 3,0 MPa, respectivamente, para os compósitos contendo 30% de fibras. Os valores relatados sao semelhantes aos encontrados neste estudo para as formulaçoes F1 e F2, e bastante inferiores para a formulaçao F3. Isso pode indicar que a celulose do coco, mesmo quando incorporada a uma matriz de HIPS, nao consegue promover o aumento da resistência mecânica tao eficientemente quanto os nanocristais obtidos desta fonte de celulose. Ressalta-se ainda que os nanocristais de celulose foram incorporados em uma matriz menos resistente, o amido, que foi a matriz utilizada neste estudo.

Paiva et al.,53 prepararam e caracterizaram nanocompósitos de polipropileno e montmorilonita organofílica comercial em diferentes concentraçoes (2,5 a 10%) pela técnica de intercalaçao do fundido em extrusora de dupla rosca, e encontraram valores de 371,4 MPa para o módulo e 29,9 MPa para a tensao máxima em nanocompósitos contendo 10% de montmorilonita organofílica. Apesar da matriz utilizada no estudo ser uma matriz sintética, os resultados obtidos neste estudo para módulo e tensao máxima, na formulaçao F3, que contém 0,30% de nanocelulose incorporadas em uma matriz biodegradável de amido, sao semelhantes, sendo encontrado para este filme valores de 470,9 MPa para o módulo e 14,09 MPa para a tensao (Tabela 3).

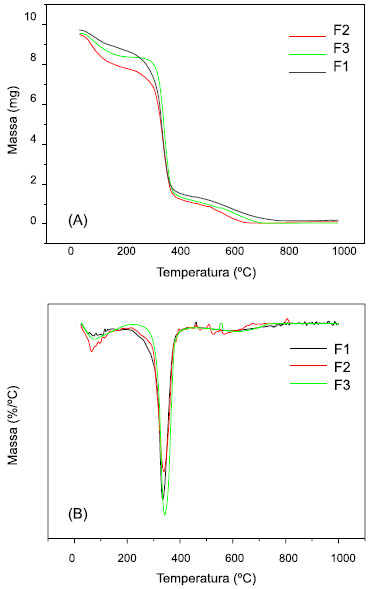
A análise termogravimétrica é uma análise fundamental na caracterizaçao de filmes biodegradáveis. Com a caracterizaçao por termogravimetria foi possível estabelecer as temperaturas de degradaçao térmica, o efeito da adiçao dos nanocristais de celulose de coco e a estabilidade térmica dos nanobiocompósitos. As curvas de TGA e DTG (derivada) das diferentes formulaçoes estao apresentadas na Figura 2, e revelam a perda de massa do material quando aquecido.

 


Figura 2. Curvas de TGA (A) e sua derivada DTG (B) das formulaçoes F1, F2 e F3

 

Identificou-se que as formulaçoes estudadas sao termicamente estáveis no intervalo aproximado de temperatura entre 50 ºC e 180 ºC. A partir desta temperatura teve início o processo de decomposiçao térmica, que aconteceu em apenas um estágio, entre 330 ºC a 380 ºC, e está associado à decomposiçao da matriz, que neste caso se apresenta bastante uniforme (ótima interaçao entre a matriz, plastificante e nanocelulose). Nao foi considerado um pequeno evento térmico que ocorre a aproximadamente 100 ºC em todas as formulaçoes, visto que este evento é devido à perda de água dos nanobiocompósitos. Para evitar a formaçao deste evento, os filmes podem ser secos em estufa antes da análise. Rosa et al.17 relatam que o evento térmico de perda de massa por TGA para a nanocelulose de coco feita isoladamente ocorre no intervalo de 120 a 200 ºC. De acordo com Bona,54 na curva de TGA característica do amido de mandioca ocorre a presença de dois estágios de decomposiçao, sendo o primeiro em torno de 60 a 70 ºC e se encerra à temperatura em torno de 183,8 ºC, característico da umidade presente na amostra. A partir desta temperatura inicia-se o segundo estágio, que consiste na variaçao de massa, que é concluído na faixa de temperatura de 595,2 ºC, quando a curva apresenta praticamente uma fase constante de nao variaçao de massa. A temperatura da taxa máxima de decomposiçao térmica do amido é em torno de 354,0 ºC. Silva et al.12 avaliaram, por TGA, filmes de amido de mandioca contendo nanocelulose de eucalipto e relatam que a presença de elevadas concentraçoes desses nanocristais (3,0 a 5,0%) promove a ocorrência de mais um evento térmico, quando comparado aos filmes contendo menores percentuais dos nanocristais (0,1 a 2,0%) e ainda sugerem que a estabilidade térmica dos filmes diminuiu com o aumento da incorporaçao destas nanopartículas. Tomasik et al.,55 analisando o comportamento térmico do amido, comentou que muitos produtos voláteis podem estar presentes em temperaturas acima de 250 ºC, entre eles CO2, alguns aldeídos menores e cetonas, assim como os metilfuranos, os quais podem ser identificados e separados da água na análise de DSC. Desta maneira, os valores da temperatura inicial de decomposiçao térmica sao importantes à medida que eles indicam o limite máximo da temperatura de processo ou manufatura térmica dos materiais.

A estrutura cristalina do amido é perdida quando este é aquecido a temperaturas entre 70-90 ºC na presença de plastificantes como água ou glicerol.56 Esse processo é chamado de gelatinizaçao e está associado com a quebra de ligaçoes intermoleculares, diminuindo o tamanho e número das regioes cristalinas no material, permitindo a formaçao de novas ligaçoes de hidrogênio, absorvendo mais água e dissolvendo os grânulos de amido.57

A temperatura de gelatinizaçao depende, entre outros fatores, da fonte de amido, do pH do meio, do conteúdo de umidade e da quantidade e tipo de plastificantes usados, como o glicerol.56 A técnica de DSC permite, quando aplicada ao amido, medidas quantitativas do fluxo de calor associado à gelatinizaçao, o qual produz um sinal endotérmico no termograma de DSC.58 Na Tabela 4 estao descritos os dados extraídos das curvas de DSC (Figura 4S): a temperatura inicial da gelatinizaçao (Tonset), a temperatura de pico para esse evento térmico (Tp) e a variaçao de entalpia (ΔH) associada ao mesmo evento.

 

 

Os valores de Tp para a gelatinizaçao, sem a presença de glicerol para diferentes tipos de amido, tipicamente situam-se entre 65-75 ºC. No entanto, esses valores aumentam significativamente quando da adiçao de um plastificante com maior massa molar, comparado com a água, como é o caso do glicerol.59 Foi proposto que esse efeito (de aumento da temperatura de gelatinizaçao com a quantidade de glicerol) ocorre pois a natureza hidrofílica do glicerol interfere na absorçao de umidade do amido e, consequentemente, diminui a umidade efetiva do amido, disponível para ajudar na gelatinizaçao.56,59 Observa-se, de fato, que a Tp foi menor para os nanobiocompósitos que apresentaram menor concentraçao de glicerol.

A Tonset variou de 31,81 a 37,44 ºC, enquanto que a Tp teve uma variaçao de 86,28 a 91,80 ºC. A formulaçao F3 foi a que apresentou a menor Tonset (31,81 ºC) (Tabela 4), podendo isso estar relacionado ao menor conteúdo de glicerol presente nessa formulaçao, quando comparada com as demais. A energia necessária para a desorganizaçao da ordem molecular difere de acordo com a formulaçao do filme, sendo maior na formulaçao F3, ΔH = 371,7 J g-1, que apresenta valores intermediários de amido, menor percentual de plastificante e maior valor de nanocelulose incorporados, e menor para formulaçao F1, ΔH = 275,2 J g-1, que apresenta as menores concentraçoes de plastificante e de nanocelulose.

O processo de biodegradaçao neste estudo foi acompanhado por 17 semanas, em solo preparado a 30 ºC, conforme as normas da ASTM G 160-0334 (Tabela 5). A viabilidade do solo preparado foi testada conforme a Norma NBR 11912.60 O resultado do teste de viabilidade do solo preparado foi satisfatório, pois ocorreu a perda de 85% da resistência mecânica da lona de algodao crua.

 

 

Como esperado, foi observado que a perda de massa durante o ensaio de biodegradaçao aumentou com o passar do tempo. Verificou-se que todas as formulaçoes estudadas sofreram degradaçoes semelhantes ao longo das 17 semanas, independentemente do percentual de nanocelulose adicionada na matriz de amido plastificada com glicerol (Figura 5S). A degradaçao do controle (C2) foi semelhante ao das amostras, indicando assim que a presença dos cristais de nanocelulose de coco nao influencia no processo de biodegradabilidade dos nanocompósitos. Todas as formulaçoes e o controle (C2) apresentaram uma perda de massa de aproximadamente 80%, com massa residual de 20% após 119 dias. De acordo com Jayasekara et al.,61 a principal mudança que um polímero degradável sofre é a diminuiçao no peso molecular a medida que produtos menores vao sendo formados. O amido pode ser degradado por fungos e/ou bactérias por açao de enzimas, resultando na formaçao de CO2, água e açúcares. No caso de blendas (amido/plásticos), o amido degrada mais rapidamente, favorecendo a degradaçao da matriz sintética por facilitar o acesso de microrganismos, ou aos outros componentes desta mistura, podendo ser totalmente ou parcialmente biodegradável.62 Neste estudo todos os componentes adicionados na matriz polimérica de amido sao biodegradáveis, isto é, o plastificante glicerol e as nanopartículas obtidas da celulose do coco.

Beltrao et al.63 avaliaram filmes biodegradáveis de amido vazados com adiçao de argila nas concentraçoes 1, 3 e 5%, submetidos a estudo de biodegradaçao em solo enriquecido com humos. Os filmes apresentaram boa degradabilidade mesmo com a adiçao de argila (5%) e tiveram massa residual de 29% após 30 dias. Paula et al.64 avaliaram a influência de nanocristais de eucalipto sobre a degradaçao hidrolítica do polilactídeo utilizando um meio de tampao e observaram que a presença das nanoparticulas induziu um forte atraso na degradaçao hidrolítica do polímero. Este efeito foi relacionado com a barreira física criada pelas nanopartículas de eucalipto altamente cristalinas que inibiram a absorçao de água, retardando a degradaçao hidrolítica.

 

CONCLUSAO

Os resultados encontrados no estudo confirmam que a nanocelulose da fibra do coco, o amido de mandioca e o glicerol se apresentam como materiais promissores para o desenvolvimento de compósitos biodegradáveis. A obtençao da nanocelulose da fibra do coco por hidrólise ácida é vantajosa, pois deste processo resulta nanocristais que apresentam grande potencial para serem utilizados como reforço de matrizes poliméricas biodegradáveis, devido ao seu tamanho nanométrico e alto grau de cristalinidade. A aplicaçao dessas nanocargas em filmes de amido plastificados com glicerol resultou na obtençao de um material homogêneo com características mecânicas, de barreira e térmicas apropriadas e com o diferencial de serem biodegradáveis. Verificou-se que a concentraçao de nanocelulose foi a responsável por alterar significativamente as propriedades mecânicas, de atividade de água e solubilidade. As nanocargas foram responsáveis por aumentar o módulo de Young e a traçao máxima, e diminuir a solubilidade e atividade de água, sendo estes resultados consistentes com a literatura. Foi verificado também que a biodegradaçao dos nanobiocompósitos foi elevada em solo preparado, e que a presença dos nanocristais de celulose de coco nao interfere na decomposiçao do biomaterial elaborado.

 

MATERIAL SUPLEMENTAR

Algumas imagens dos sistemas utilizados neste trabalho estao disponíveis em http://quimicanova.sbq.org.br, na forma de arquivo PDF, com acesso livre.

 

AGRADECIMENTOS

A Fundaçao de Amparo à Pesquisa do Estado da Bahia - FAPESB pelo finaciamento da Bolsa de Pesquisa e a Rede NANOBIOTEC BRASIL que este trabalho está inserido (CAPES 04/CII-2008).

 

REFERENCIAS

1. Packham, D. E.; Int. J. Adhes. Adhes. 2009, 29, 248.

2. Siddique, R.; Khatib, J.; Kaur, I.; Waste Manage. 2008, 28, 1835.

3. Mariam, I.; Cho, K. Y.; Rizvi, S. S. H.; Int. J. Food Prop. 2008, 11, 415.

4. Silva, R.; Haraguchi, S. K.; Muniz, E. C.; Rubira, A. F.; Quim. Nova 2009, 32, 661.

5. Bordes, P.; Pollet, E.; Avérous, L.; Prog. Polym. Sci. 2009, 34, 125.

6. Whitesides, G. M.; Small 2005, 1, 172.

7. Mandal, A.; Chakrabarty, D. J. Ind. Eng. Chem., no prelo.

8. Abraham, E.; Thomas, M. S.; John, C.; Pothen, L. A.; Shoseyov, O.; Thomas, S.; Ind. Crop. Prod. 2013, 51, 415.

9. Pavlidou, S.; Papaspyrides, C. D.; Progr. Polym. Sci. 2012, 33, 1119.

10. Lau, K. T.; Gu, C.; Hui, D.; Composites, Part B 2006, 37, 425.

11. Lu, Z.; Zheng, F. H.; Lu, Q.; Liao, Y.; Huang, B.; Bioresour. Technol. 2013, 146, 82.

12. Silva, J. B. A.; Pereira, F. V.; Druzian, J. I.; J. Food Sci. 2012, 77, 14.

13. Machado, B. A. S.; Nunes, I. L.; Pereira, F. V.; Druzian, J. I.; Cienc. Rural 2012, 42, 2085.

14. Machado, B. A. S.; Silva, J. B.; Druzian, J. I.; Br PI 0.111.000.011-22, 2010.

15. Cao, X.; Chen, Y.; Chang, P.; Stumborg, M.; Huneault, M.; J. Appl. Polym. Sci. 2008, 1, 3804.

16. Rosa, M. F.; Chiou, B.; Medeiros, E. S.; Wood, D. F.; Williams, T. G.; Mattoso, L.; Bioresour. Technol. 2009, 100, 5196.

17. Rosa, M. F.; Medeiros, E. S.; Malmonged, J. A.; Gregorskib, K. S.; Wood, D. F.; Mattoso, L. H. C.; Glenn, G.; Orts, W. J.; Imam, S. H.; Carbohydr. Polym. 2010, 81, 83.

18. Vicentino, S. L.; Floriano, P. A.; Dragunski, D. C.; Caetano, J.; Quim. Nova 2011, 34, 1309.

19. Parra, D. F.; Tadini, C. C.; Ponce P.; Lugao A. B.; Carbohydr. Polym. 2004, 58, 475.

20. Veiga-Santos, P.; Oliveira, L.; Cereda, M.; Scamparini, A. R. P.; Food Chem. 2007, 103, 255.

21. Veiga-Santos, P.; Oliveira, L. M.; Cereda, M. P.; Alves, A. J.; Scamparini, A. R. P.; Food Hydrocolloids 2005, 19, 341.

22. Souza, C. O.; Silva, L. T.; Silva, J. R.; Lopez, J. A.; Veiga-Santos, P.; Druzian, J. I.; J. Agr. Food Chem. 2011, 59, 2248.

23. Souza, C. O.; Silva, L. T.; Druzian, J. I.; Quim. Nova 2012, 35, 262.

24. Lu, Y.; Weng, L.; Cao, X.; Carbohydr. Polym. 2006, 63, 198.

25. Mathew, A. P.; Thielemans, W.; Dufresne, A.; J. Appl. Polym. Sci. 2008, 109, 4065.

26. García, N. L.; Ribba, L.; Dufresne, A.; Aranguren, M.; Goyanes, S.; Carbohydr. Polym. 2011, 84, 203.

27. Machado, B. A. S.; Dissertaçao de Mestrado, Universidade Federal da Bahia, Brasil, 2011.

28. Samir, M. A. S. A.; Aloin, F.; Dufresne, A.; Biomacromolecules 2005, 6, 612.

29. Veiga-Santos, P.; Scamparini, A. R. P.; Br PI 0.403.610-7, 2004.

30. ASTM - American Society for Testing and Materials - D-882-02; Annual Book of ASTM Standards, ASTM: Philadelphia, 2002.

31. Gontard, N.; Duchez, C.; Cuq, J. L.; Guilbert, S.; Int. J. Food Sci. Technol. 1994, 29, 39.

32. Sobral, P. J. A.; Thermochim. Acta 2001, 376, 83.

33. Leite, M. C. A. M; Furtado, C.; Couto, L.; Oliveira, L.; Correia, T.; Polímeros 2010, 2, 324.

34. ASTM - American Society for Testing and Materials - G-160-03; Annual Book of ASTM Standards, ASTM: Philadelphia, 2003.

35. Battista, O. A.; Smith, P. A.; Ind. Eng. Chem. 1962, 54, 20.

36. Mesquita, J.; Donnici, C.; Pereira, F.; Biomacromolecules 2010, 11, 473.

37. Mesquita, J.; Patricio, P.; Donnici, C.; Petri, D.; Oliveira, L.; Pereira, F.; Soft Matter 2011, 7, 4405.

38. Bondeson, D.; Mathew, A.; Oksman, K.; Cellulose 2006, 13, 171.

39. Souza-Lima, M. M.; Wong, J. T.; Paillet, M.; Borsali, R.; Pecora, R.; Langmuir 2003, 19, 24.

40. Oksman, K.; Mathew, A. P.; Bondeson, D.; Kvien, I.; Compos. Sci. Technol. 2006, 66, 2776.

41. Silva, L. T.; Dissertaçao de Mestrado, Universidade Federal da Bahia, Brasil, 2009.

42. Lewicki, P. P.; J. Food Eng. 2004, 61, 483.

43. Mathlouthi, M.; Food Control 2001, 12, 409.

44. Santana, M. C. C. B.; Machado, B. A. S.; Silva, T. N.; Nunes, I. L.; Druzian, J. I.; Cienc. Rural 2013, 43, 544.

45. Matta Jr., M. D.; Sarmento, S. B. S.; Sarantopoulos, L.; Zocchi, S. S.; Polímeros 2011, 21, 67.

46. Rodriguez, N. L. G.; Thielemans, W.; Dufresne, A. Cellulose 2006, 13, 261.

47. Paralikara, S. A.; Simonsen, J.; Lombardi, J.; J. Membr. Sci. 2008, 320, 248.

48. Saxena, A.; Ragauskas, A. J.; Carbohydr. Polym. 2009, 78, 357.

49. Mehyar, G. F.; Han, J. H.; J. Food Sci. 2004, 69, 449.

50. Garcia, M. A.; Pinotti, A.; Zaritzky, N. E.; Starch/Stärke 2006, 58, 453.

51. Zhang, Y.; Han, J. H.; J. Food Sci. 2006, 71, 253.

52. Benini, K.; Dissertaçao de Mestrado, Universidade Estadual de Guarantinguetá, Brasil, 2011.

53. Paiva, L. B.; Mendes, A. R.; Guimaraes, T. R.; Polímeros 2006, 16, 136.

54. Bona, J. C.; Dissertaçao de Mestrado, Florianópolis, Brasil, 2007.

55. Tomasik, P.; Baczkowicz, M.; Wiejak, S.; Starch/Stärke 1986, 38, 410.

56. Ata, T.; Basil, D. F.; Carbohydr. Polym. 2013, 92, 1799.

57. Otey, F. H.; Westhoff, R. P.; Doane, W. M.; Ind. Eng. Chem. Prod. Rd. 1980, 19, 4.

58. Zanoni, B.; Schiraldi, A.; Simonetta, R.; J. Food Eng. 1995, 24, 25.

59. Rulande, P. G.; Rutgers, G. N.; Peter, A. S.; Resumos do 3rd International Symposium on Food Rheology and Structure, Zurique, Suíça, 2003.

60. ABNT - Associaçao Brasileira de Normas Técnicas - NBR 11912; Materiais têxteis, ABNT: Brasil, 2001.

61. Jayasekara, R.; Harding, H.; Bowater, I.; Lonergan, G.; Chistie, G.; J. Polym. Environ. 2005, 13, 231.

62. Franchetti, S. M. M.; Marconato, J. C.; Quim. Nova 2006, 29, 811.

63. Beltrao, I. B.; Gonçalves, R. D.; Nasser, R. O.; Lima, M. C. P.; Resumos do Congresso Brasileiro de Engenharia e Ciências dos Materiais, Campos do Jordao, 2010.

64. Paula, E. L.; Mano, V.; Pereira, F. V.; Polym. Degrad. Stab. 2011, 96, 1631.

On-line version ISSN 1678-7064 Printed version ISSN 0100-4042
Qu�mica Nova
Publica��es da Sociedade Brasileira de Qu�mica
Caixa Postal: 26037 05513-970 S�o Paulo - SP
Tel/Fax: +55.11.3032.2299/+55.11.3814.3602
Free access

GN1