JBCS



14:52, sáb out 25

Acesso Aberto/TP



Artigo


Terpanos pentacíclicos como indicadores de heterogeneidades composicionais em reservatório de petróleo biodegradado
Pentacyclic terpanes as indicators of compositional heterogeneities in biodegraded oil reservoir

Laercio Lopes Martins; Gabriel Clemente Franklin; Eliane Soares de Souza; Georgiana Feitosa da Cruz*

Laboratório de Engenharia e Exploração de Petróleo, Centro de Ciências e Tecnologia, Universidade Estadual do Norte Fluminense, Rodovia Amaral Peixoto, km 163, 27925-535 Macaé - RJ, Brasil

Recebido em 06/11/2013
Aceito em 19/06/2014
Publicado na web em 01/08/2014

Endereço para correspondência

*e-mail: geofec@gmail.com

RESUMO

Reservoir geochemistry has been effectively used to evaluate compositional heterogeneity in petroleum reservoirs by employing oil fingerprinting technique to assess reservoir continuity, primarily in paraffin oil accumulations. In-reservoir biodegradation has resulted in vast deposits of heavy oils globally; therefore, the application of reservoir geochemistry to such accumulations becomes necessary. We recommend the use of pentacyclic terpanes instead of lower molecular compounds, which are less resistant to biodegradation. Using oil fingerprinting technique in this novel way enabled the differentiation of oil composition among sedimentary facies of tar sands (Pirambóia Formation, Paraná Basin).

Palavras-chave: reservoir geochemistry; tar sands; pentacyclic terpane.

INTRODUÇAO

A composiçao química do petróleo depende, principalmente, do tipo de matéria orgânica do qual foi originado, da evoluçao térmica e de processos de alteraçoes primárias e/ou secundárias ocorridos antes e após sua acumulaçao em reservatório.1,2 De maneira geral, óleos nao alterados possuem em média 57% de hidrocarbonetos saturados (compreendendo parafinas e naftênicos), 29% de hidrocarbonetos aromáticos (incluindo as moléculas aromáticas puras e naftenoaromáticos) e 14% de resinas e asfaltenos (fraçao de alto peso molecular contendo nitrogênio, enxofre e oxigênio), além de quantidades traço de organometálicos.1,3

O petróleo contém, ainda, classes de compostos denominados de biomarcadores (saturados, aromáticos e ácidos), os quais sao originados de organismos vivos contendo estruturas básicas quimicamente estáveis durante os processos de sedimentaçao e soterramento mantendo preservado o seu esqueleto carbônico básico.1 Dentre os biomarcadores saturados, os terpanos pentacíclicos tem sido extensivamente usados em correlaçoes óleo/óleo e óleo/rocha geradora, na avaliaçao do paleoambiente deposicional, na análise do grau de maturaçao térmica e como indicadores do nível de biodegradaçao devido à maior resistência quando comparado a outras classes de compostos do petróleo.2

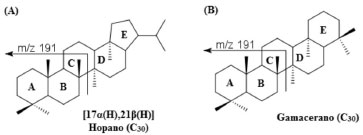
Os terpanos pentacíclicos englobam compostos com esqueleto tipo hopano e nao-hopanóides. Os hopanos comumente apresentam de C27-C35 átomos de carbonos em uma estrutura de hidrocarbonetos cíclicos composta de 4 anéis de 6 carbonos e 1 anel de 5 carbonos, sendo que a principal configuraçao estrutural dos hopanos encontrada em petróleo é a 17α(H),21β(H), 22S (chamada de configuraçao geológica por ser preferencialmente adotada após a matéria orgânica passar por processos térmicos) e 22R (chamada de biológica por manter a configuraçao naturalmente presente nos seres vivos que formaram a matéria orgânica). Dentre os nao-hopanóides destacam-se o gamacerano e o oleanano, cuja estrutura apresenta 5 anéis de 6 carbonos.1,3 A Figura 1 mostra as estruturas representativas de hopanos e nao-hopanóides com o principal íon-fragmento.

 


Figura 1. Estruturas representativas dos terpanos pentacíclicos com esqueleto hopano (A) e nao-hopanóide (B)

 

Os processos de alteraçoes primárias, as quais o petróleo fica suscetível, ocorrem antes da sua acumulaçao na rocha reservatório e dizem respeito ao tipo de matéria orgânica, ambiente deposicional, grau de maturaçao da rocha geradora e migraçao primária e secundária, tais como a geocromatografia.4 Por outro lado, os processos de alteraçoes secundárias, tais como solubilizaçao dos componentes mais leves na fase da acumulaçao de petróleo (water washing), biodegradaçao, evaporaçao, oxidaçao, segregaçao gravitacional (arranjo dos fluidos dentro do reservatório de acordo com suas respectivas densidades) e desasfaltaçao (precipitaçao de asfaltenos de óleo pesados a médios), ocorrem após a acumulaçao e sao influenciados pelas condiçoes de reservatório.5-8

Como consequência desses processos, tem-se variabilidade das características físicas e químicas do petróleo, levando a uma diminuiçao de sua qualidade. Por exemplo, a ocorrência de biodegradaçao e a circulaçao de águas meteóricas no reservatório pode levar a transformaçao de óleos leves (maior conteúdo de hidrocarbonetos saturados) em pesados (maior conteúdo de resinas e asfaltenos).5 A alteraçao térmica os leva a condensados e gás, acompanhados do desasfaltamento natural e da formaçao de pirobetume. Todos estes processos influenciam na definiçao da viabilidade econômica de uma descoberta de petróleo, sendo entao de grande importância entendê-los para poder estimar o valor do petróleo em um campo.9

O entendimento adequado dessas alteraçoes na composiçao do petróleo ajuda na sua produçao eficaz através da definiçao da melhor locaçao de um poço produtor, e é auxiliado pela análise das diversas classes de compostos utilizados na Geoquímica Orgânica, com recursos da Geoquímica de Reservatório.10-14

A aplicabilidade da Geoquímica de Reservatório no estudo de alteraçoes composicionais de petróleo, ganhou importância a partir da publicaçao do método de Kaufman et al.,15 cujo objetivo é comparar cromatogramas gasosos obtidos de amostras de óleo de diferentes partes do reservatório, visando encontrar diferenças entre compostos como cicloalcanos, aromáticos e parafinas ramificadas,13 com o intuito de verificar se uma regiao do reservatório de petróleo está ou nao conectada verticalmente (indicando compartimentaçao do reservatório), e horizontalmente (indicando direçao do fluxo de água em óleos biodegradados, barreiras de fluxo e/ou direçao de preenchimento de um reservatório).16 Portanto, esta técnica foi proposta para ser aplicada em óleos crus com perfil de hidrocarbonetos preservados.

No entanto, com o aumento do volume de óleo pesado que tem sido produzido ao redor do mundo, tem-se a necessidade de avaliar a presença de heterogeneidades composicionais tembém nesses reservatórios na tentativa de indicar melhor locaçao de possíveis poços futuros.16

Arenitos asfálticos da Formaçao Pirambóia

Afloramentos de rochas reservatório ao longo da borda leste da Bacia do Paraná, no estado de Sao Paulo, referentes às acumulaçoes petrolíferas de arenitos asfálticos (arenitos com óleo pesado, de alto teor de asfaltenos) eólicos da Formaçao Pirambóia, oferecem uma excelente oportunidade de se estudar heterogeneidades em reservatórios com óleo severamente biodegradado, visto que esta formaçao é composta por diferentes tipos de fácies sedimentares. Fácies sedimentares sao basicamente unidades de rocha definida com base em suas distintas características litológicas, incluindo composiçao química, tamanho dos graos, e estruturas sedimentares.17 A classificaçao das fácies sedimentares eólicas da Formaçao Pirambóia (foreset de duna, cauda de foreset de duna, interduna seca e interduna úmida) deste trabalho foi baseada na classificaçao estabelecida por Caetano-Chang.18

O volume total do óleo presente na Formaçao Pirambóia, já caracterizado como pesado e de alta viscosidade, foi estimado em 5,7 milhoes de barris de petróleo19 e a rocha geradora deste óleo biodegradado devido a processos pós-acumulaçao foi definida como sendo os folhelhos negros da Formaçao Irati.20

Neste contexto, o objetivo deste trabalho foi utilizar o método de Kaufman et al.15 na identificaçao de heterogeneidades composicionais em amostras de arenitos asfálticos da Formaçao Pirambóia, Bacia do Paraná, de acordo com a localizaçao geográfica da amostra dentro do reservatório e com as fácies sedimentares a que ela pertence. A originalidade do trabalho está associada ao fato de que o óleo extraído dos arenitos asfálticos é caracterizado como pesado (aproximadamente 5º API), de alta viscosidade e com médio a alto teor de enxofre (2 a 3% em peso)20-22 e, portanto o método de Kaufman et al.15 nao seria apropriado. Para isso, adaptou-se o método utilizando os compostos terpanos pentacíclicos, mais resistentes ao processo de biodegradaçao, para o cálculo das razoes diagnósticas usadas na investigaçao da variabilidade composicional.

 

PARTE EXPERIMENTAL

Amostras

Os óleos avaliados neste estudo foram extraídos de rochas reservatório provenientes da Formaçao Pirambóia, coletadas na borda lesta da Bacia do Paraná no Estado de Sao Paulo. Foi selecionado um grupo de 20 amostras de rocha reservatório retiradas de afloramentos (Guareí e Fazendas da Mina, Betumita e Bofete), sendo cinco amostras de cada uma das seguintes fácies sedimentares: foreset de duna, cauda de foreset de duna, interduna úmida e interduna seca, conforme mostra a Figura 2.

 


Figura 2. (A) Mapa da Bacia do Paraná; (B) localizaçao geográfica das localidades (afloramentos) onde as amostras foram coletadas; (C) arenito eólico da Formaçao Pirambóia com as fácies sedimentares avaliadas

 

Extraçao do óleo

As amostras de rocha foram pulverizadas e cerca de 60 g foram colocadas em um extrator Soxhlet com 400 mL de diclorometano por 72 horas. O extrato oleoso obtido foi concentrado por evaporaçao do solvente, pesado (obtendo-se cerca de 8 g) e submetido à precipitaçao dos asfaltenos.

Precipitaçao dos asfaltenos

A metodologia para precipitar os asfaltenos foi modificada de Azevedo et al..23 Foram retirados cerca de 500 mg do extrato oleoso, e estes foram misturados a 20 mL de n-pentano. O sistema foi agitado por 30 segundos, sendo entao deixado em repouso por 24 h. As fraçoes de asfaltenos e maltenos foram separadas por filtraçao. O asfalteno precipitado foi lavado 8 vezes, nas mesmas condiçoes descritas anteriormente, para obter uma extraçao máxima da fraçao maltênica.

Cromatografia líquida dos maltenos

A fraçao maltênica obtida (cerca de 40 mg) foi fracionada em coluna de sílica gel 60 (20 g de sílica; 230-400 mesh; Merck), previamente ativada em estufa a 120 ºC durante 12 h, obtendo-se as fraçoes de hidrocarbonetos saturados (S), eluída com 30 mL de n-hexano, hidrocarbonetos aromáticos (A), eluída com 30 mL de n-hexano/diclorometano (8:2 v/v) e resinas (R), eluída com 30 mL de diclorometano/metanol (9:1 v/v).23 As fraçoes obtidas foram transferidas para frascos de cor âmbar, pesadas e armazenadas para posterior análise por cromatografia gasosa.

Cromatografia gasosa por detecçao por ionizaçao em chama (CG-DIC)

Após fracionamento cromatográfico a fraçao de hidrocarbonetos saturados (S) foi analisada por CG-DIC em um cromatógrafo em fase gasosa Agilent 6890N, com o detector do tipo ionizaçao em chama com uma coluna capilar de sílica fundida HP-5 (30 m x 0,32 mm x 0,25 µm). A programaçao de temperatura do forno foi de 40 ºC a 320 ºC, 2,5 ºC/min e mantido em isoterma a 320 ºC por 18 min. A temperatura do injetor foi de 280 ºC e do detector de 300 ºC. O gás de arraste utilizado foi o hélio, com injeçao sem divisao de fluxo. Foi injetado 1 µL da amostra diluída em n-hexano na concentraçao de 0,02 mg/µL.

Aplicaçao do método de Kaufman

Para realizar a comparaçao entre cromatogramas de amostras representativas do reservatório, como sugerido por Kaufman et al.,15 foram realizadas as seguintes etapas: i) numeraçao dos picos referentes aos compostos nos cromatogramas gasosos (os compostos escolhidos estavam presentes em todas as amostras e tinham boa resoluçao cromatográfica); ii) calculou-se a razao entre as alturas de terpanos pentacíclicos adjacentes (estereoisômeros dos homopanos, C31R/C31S, C32R/C32S, C33R/C33S, C34R/C34S, C35R/C35S e a razao hopano C30/gamacerano) e iii) plotou-se os valores obtidos em um diagrama estrela, utilizando o Microsoft Office Excel, para melhor visualizaçao e comparaçao dos perfis de cada amostra.

A Figura 3 apresenta as etapas do procedimento realizado na aplicaçao do método de Kaufman para amostras severamente biodegradadas.

 


Figura 3. Etapas do procedimento adotado na aplicaçao do método de Kaufman para as amostras selecionadas. A) obtençao dos cromatogramas por CG-DIC; B) escolha dos terpanos pentacíclicos (picos adjacentes); C) cálculo das razoes diagnósticas; D) diagrama estrela plotado com as razoes calculadas

 

RESULTADOS E DISCUSSAO

Análise SARA

A análise SARA pode ser utilizada como uma avaliaçao preliminar dos componentes predominantes no petróleo para diferenciar grupos de amostras em relaçao ao nível de biodegradaçao, considerando-se amostras menos biodegradadas aquelas que possuem alto conteúdo de compostos saturados e baixo conteúdo de resinas e asfaltenos.3,5 Esta análise foi, entao, utilizada neste trabalho com o intuito de visualizar diferenças composicionais entre as amostras. Assim, determinou-se o teor dos hidrocarbonetos saturados, aromáticos e das resinas e asfaltenos para as vinte amostras estudadas e os resultados estao apresentados na Tabela 1 e no gráfico ternário da Figura 4.

 

 

 


Figura 4. Diagrama ternário (em porcentagem) das fraçoes de hidrocarbonetos saturados (F1), aromáticos (F2) e compostos NSO (incluindo resinas e asfaltenos) para as 20 amostras de óleo

 

A partir dos resultados obtidos com a análise SARA (Tabela 1 e Figura 4) pode-se inferir que todas as amostras avaliadas apresentam elevados níveis de biodegradaçao, visto que possuem alto conteúdo de compostos polares (representando os compostos gerados durante o processo de biodegradaçao), variando de 43 a 93%, e baixo conteúdo de saturados (representando os compostos consumidos durante o processo de biodegradaçao), variando de 3 a 22%, podendo considerá-las como severamente biodegradadas.2 Dentre as amostras avaliadas, as pertencentes à fácies de interduna seca apresentaram as maiores porcentagens de compostos NSO (variando de 69 a 73%) e, portanto, o óleo presente nesta fácies é o mais biodegradado, em contraste com as amostras de óleo da fácies de cauda de foreset de duna, o qual possui as menores porcentagens desses compostos (variando de 43 a 80%). As amostras pertencentes às demais fácies apresentaram porcentagens intermediárias de compostos saturados e de asfaltenos, sendo a fácies de interduna úmida aquela que contém o óleo com maior porcentagem de asfaltenos em relaçao à fácies de foreset de duna.

Garcia et al.24 também encontraram as mais altas concentraçoes de compostos NSO (resinas e asfaltenos) para os óleos presentes nas fácies de interduna e atribuiu isso ao fato destas fácies provavelmente possuírem uma maior quantidade de partículas de argilominerais. Assim, os argilominerais, que sao partículas polares, atraem moléculas dos compostos NSO também polares, por um processo de adsorçao, retendo-as na rocha. Martins25 considera uma segunda hipótese para esta alta porcentagem de compostos NSO: a de que os óleos presentes nestas fácies tenham sofrido mais intensamente os processos de biodegradaçao, devido à maior permoporosidade (comum à esta fácies) que contribui para uma maior percolaçao de água, nutrientes e microrganismos.

Análise da fraçao de hidrocarbonetos saturados e aplicaçao do método de Kaufman

As amostras de óleos avaliadas neste trabalho sao todas severamente biodegradadas, como já demonstrado pela porcentagem dos compostos saturados, aromáticos e polares (análise SARA). Para complementar os resultados já obtidos, avaliou-se também o perfil cromatográfico (fingerprint) de todas as amostras, conforme Figura 5.

 


Figura 5. Cromatogramas obtidos da análise por CG-DIC da fraçao de hidrocarbonetos saturados: (A) fácies de interduna seca; (B) fácies de foreset de duna; (C) fáceis de interduna úmida e (D) fáceis de cauda de foreset de duna

 

Os perfis cromatográficos da Figura 5 revelaram a ausência de n-alcanos de baixo a médio peso molecular, com predominância de compostos de maior massa molecular que favorece a elevaçao da linha de base (UCM - unresolved complex mixture). A remoçao de n-alcanos com o aumento da biodegradaçao resulta, como o nome sugere, em uma mistura muito complexa de compostos, em grande parte desconhecidos, que nao podem ser facilmente resolvidos por cromatografia gasosa convencional.3-4,26 Brient et al.27 sugerem, a partir da análise do óleo total, que alguns destes compostos desconhecidos sao ácidos naftênicos, tais como os ácidos ciclopentil e ciclohexil substituídos. Neste trabalho, observou-se que todas as amostras avaliadas apresentaram elevada UCM, com maior evidência para as amostras da fácies interduna seca, mesmo a análise tendo sido feita a partir da fraçao de hidrocarbonatos saturados. Isto mostra que compostos cíclicos/ramificados presentes nesta fraçao também contribuem para a elevaçao da UCM e nao somente os compostos polares.

Os resultados obtidos com a análise SARA e com os perfis cromatográficos da fraçao de hidrocarbonetos saturados permitiu diferenciar as amostras quanto ao nível de biodegradaçao, mostrando que aquelas pertencentes à fácies de interduna seca possuem o maior nível de biodegradaçao comparada com as demais amostras analisadas. A partir desses resultados fica evidente que o método de Kaufman, o qual identifica heterogeneidades composicionais em óleos crus com hidrocarbonetos preservados, nao pode ser aplicado para estas amostras sem que haja uma modificaçao prévia.

Assim, o método de Kaufman foi aplicado neste trabalho utilizando os compostos terpanos pentacíclicos (mais resistentes à biodegradaçao) para o cálculo das razoes diagnósticas usadas na investigaçao da variabilidade composicional. As amostras pertencentes à fácies de interduna seca foram classificadas como sendo as mais severamente biodegradadas quando comparadas com as das outras fácies e, por isso, nao foi possível a aplicaçao do método para avaliar a presença de heterogeneidades composicionais nem utilizando os terpanos pentacíclicos para estas amostras, visto que até estes compostos mais resistentes foram consumidos durante o processo de biodegradaçao.

Para análise da variabilidade composicional das demais amostras, inicialmente, comparou-se as pertencentes à mesma fácies sedimentar (foreset de duna, interduna úmida e cauda de foreset de duna), e depois fez-se uma comparaçao daquelas de mesma localidade (ver Tabela 1) e diferentes fácies sedimentar. Os resultados obtidos foram plotados em diagramas estrela e ao lado de cada diagrama plotou-se o gráfico ternário da análise SARA para as amostras correspondentes a cada fácies analisada. A Figura 6 mostra os diagramas estrela plotado a partir das razoes de hopano C30/gamacerano e homopanos de C31-C35 R/S para todas as amostras avaliadas.

 


Figura 6. Diagrama estrela para avaliaçao de heterogeneidades composicionais: (A) fácies de foreset de duna; (B) fácies de inteduna úmida; (C) fácies de cauda de foreset de duna. Razoes diagnósticas utilizadas: 1- hopano C30/gamacerano, 2- C31R/C31S, 3- C32R/C32S, 4- C33R/C33S, 5- C34R/C34S, 6- C35R/C35S

 

De posse dos resultados analíticos da Figura 6 verificou-se uma boa correlaçao dos perfis no diagrama estrela e, consequentemente, a existência de similaridades na composiçao química dos óleos das amostras 26, 28, 34 e 35, pertencentes à fácies de foreset de duna (Figura 6A), e em todas as amostras da fácies de cauda de foreset de duna mostrada por meio dos perfis no diagrama estrela da Figura 6C. Este resultado sugere que todas essas amostras apresentam características semelhantes, indicando pertencerem a um reservatório contínuo, sem barreira ao fluxo de fluidos entre os pontos amostrados. Por outro lado, a amostra 23 mostra um perfil diferente no diagrama estrela da Figura 6A indicando uma possível barreira ao fluxo de fluidos neste ponto ou, essa diferença pode ser atribuída à maior exposiçao desta amostra aos processos de alteraçao secundária no reservatório, levando também à biodegradaçao dos terpanos pentacíclicos usado no cálculo das razoes diagnósticas. A análise SARA e o perfil cromatográfico obtido por CG-DIC, mostraram que essa amostra é a que apresentou maior nível de biodegradaçao, corroborando com a diferença observada no diagrama estrela.

A diferença composicional das amostras pertencentes à fácies de cauda de foreset de duna mostrada no diagrama ternário da Figura 6C também é atribuída aos processos de alteraçao secundária, assim como ocorreu com a amostra 23 (Figura 6A), no entanto essas alteraçoes foram menos severas, nao afetando os terpanos pentacíclios e, por isso, a diferença nao foi observada no diagrama estrela.

Diferentemente das fácies de foreset de duna e cauda de foreset de duna, as amostras da fácies de interduna úmida sao de afloramentos distintos (ver Tabela 1). A análise da Figura 6B revelou que as amostras 03 e 04 do Morro do Bofete possuem semelhantes composiçoes químicas e, portanto, boa correlaçao no perfil do diagrama estrela com diferença composicional quando comparadas à amostra 24 da Fazenda Betumita, a qual apresentou uma maior concentraçao de compostos polares, o que acompanha um perfil estrela distinto. Por outro lado, a amostra 09 da Fazenda da Mina representa um afloramento que constantemente sofre com o processo de water washing devido à proximidade com a represa de Barra Bonita, favorecendo, com isso, a alta concentraçao de compostos polares e um perfil estrela distinto das demais amostras desta fácies. Neste caso, sugere-se que a presença de heterogeneidades composicionais seja ocasionada pelas diferentes características dos afloramentos de onde as amostras foram retiradas.

Após a análise individual de cada amostra pertencente às diferentes fácies, resolveu-se verificar a existência ou nao de similaridades fazendo uma comparaçao entre as fácies plotando-se um diagrama estrela com uma amostra da Fazenda Betumita de cada fácies: foreset de duna, cauda de foreset de duna e interduna úmida. Escolheu-se a amostra mais preservada de cada fácies para minimizar a interferência dos processos de alteraçao secundária na avaliaçao das diferenças composicionais (Figura 7).

 


Figura 7. Diagrama estrela para avaliaçao de heterogeneidades composicionais entre as fácies: foreset de duna; inteduna úmida e cauda de foreset de duna utilizando as seguintes razoes diagnósticas: 1- hopano C30/gamacerano, 2- C31R/C31S, 3- C32R/C32S, 4- C33R/C33S, 5- C34R/C34S, 6- C35R/C35S

 

De acordo com os resultados já apresentados, as fácies de foreset e cauda de foreset de duna apresentam perfis estrela semelhantes e, em geral, composiçao com maior concentraçao de saturados e aromáticos que as amostras da fácies de interduna. Na amostra coletada da Fazenda Betumita, a fácies de Interduna úmida apresentou um perfil estrela distinto do observado para as outras duas fácies, sugerindo a existência de variabilidade composicional. Este resultado corrobora com as observaçoes feitas por Araújo et al.,28 que identificaram a fácies de interduna rica em argilominerais como uma barreira de fluxo ao óleo. De forma semelhante, Rangel et al.29 estudando os perfis cromatográficos de amostras do campo de Cicuco-Boquete na Colômbia identificaram subgrupos de heterogeneidades composicionais em um reservatório associadas às barreiras sedimentares.

 

CONCLUSAO

Os resultados da avaliaçao da composiçao das fraçoes de compostos do petróleo por meio do método SARA permitiram diferenciar as amostras avaliadas pelo nível de biodegradaçao e isso foi importante para auxiliar na aplicaçao do método de Kaufman.

A análise qualitativa dos cromatogramas obtidos por CG-DIC mostrou que as amostras da fácies de Interduna apresentaram maior nível de biodegradaçao, comprovada pela ausência de hidrocarbonetos de baixo a alto peso molecular, incluindo os terpanos pentacíclios, o que dificultou a aplicaçao do método de Kaufman proposto neste trabalho para as amostras pertencentes a esta fácies.

A aplicaçao do método de Kaufman modificado mostrou que as amostras das fácies de foreset e cauda de foreset de duna podem ser correlacionadas como pertencentes à um reservatório contínuo, com exceçao da amostra 23 que apresentou um perfil anômalo devido à severa biodegradaçao, enquanto que a fácies de interduna úmida apresentou perfis cromatográficos distintos atribuídos aos diferentes afloramentos de onde as mesmas foram retiradas. Além disto, esta fácies também mostrou nao se correlacionar com os perfis das amostras do depósito de duna. Portanto, os resultados obtidos apontam que as fácies de foreset e cauda de foreset de duna compoem um reservatório contínuo com similaridades composicionais, que pode ser diferenciado da fácies de interduna, considerada como uma barreira de fluxo deste sistema petrolífero.

Os resultados obtidos neste trabalho demonstraram ainda que o método de Kaufman modificado para análise de amostras com elevado nível de biodegradaçao foi adequado e pode ser utilizado para ajudar a identificar heterogeneidades composicionais em reservatórios de óleos pesados que mantenham os terpanos pentacíclicos preservados de processos de alteraçao secundária.

 

REFERENCIAS

1. Tissot, B. P.; Welte, D. H.; Petroleum Formation and Occurrence, 2nd ed., Springer-Verlag, Berlim Heidelberg: New York, 1978, cap. 5.

2. Peters, K. E.; Walters, C. C.; Moldowan, J. M.; The biomarker guide: Biomarkers and Isotopes in the Environment and Human History, 2nd ed., Cambridge University Press: United Kington, 2005, cap. 6.

3. Zilio, E.; Pinto, U.; Boletins Técnicos Petrobras 2002, 45, 21.

4. Krooss, B. M.; Brothers, L.; Engel, M. H. Em Petroleum Migration; England, W. A.; Fleet, A. J., eds.; Geological Society Special Publication Classics: London, 1991, p. 149.

5. Da Cruz, G. F.; Marsaioli, A. J.; Quim. Nova 2012, 35, 1628.

6. Palmer, S. E. Em Effect of biodegradation and water washing on crude oil composition; Engel, M. H.; Macko, S. A., eds.; Plenum Press: New York, 1993, p. 511.

7. Blanc, P.; Connan, J. Em The Petroleum System - From Source to Trap; Magoon, L. B.; Dow, W. G., eds.; Tulsa: Oklahoma, 1994, p. 237.

8. Larter, S.; Bowler, B.; Clarke, E.; Wilson, C.; Moffatt, B.; Bennett, B.; Yardley, G.; Carruthers, D.; Geochem. Trans. 2000, 9.

9. Hunt, J.; Petroleum geochemistry and geology, 2nd ed., W. H. Freeman: New York, 1996, cap. 7.

10. Holba, A. G.; Dzou, L.; Org. Geochem. 2004, 34, 441.

11. Brocks, J. J.; Buick, R.; Summons, R. E.; Logan, G. A.; Geochim. Cosmochim. Acta 2003, 67, 4321.

12. Killops, S. D.; Killops, V. J.; An Introduction to Organic Geochemistry, 2nd ed., Blackwell Publishing: New York, 2005, cap. 5.

13. Lopes, J. P.; Rangel, M. D.; Morais, E. T.; Aguiar, H. G. M.; Rev. Bras. Geocienc. 2008, 38, 03.

14. Cubitt, J. M.; England, W. A.; Larter, S. R. Em Understanding petroleum reservoirs: towards an integrated reservoir engineering and geochemical approach. Introduction; England, W. A.; Larter, S. R., eds.; Geological Society Special Publication 237: London, 2004, p. 1.

15. Kaufman R. L.; Ahmed A. S.; Elsinger R. J. Em Gas Chromatography as a development and production tool for fingerprinting oils from individual reservoirs: applications in the Gulf of Mexico; Schumaker D.; Perkins B. F., eds.; Annual Research Conference of the Society of Economic Paleontologists and Mineralogists: New Orleans, 1990, p. 263.

16. Larter, S. R.; Aplin, A. C. Em Reservoir geochemistry: methods, applications and opportunities; Cubitt, J. M.; England, W. A., eds.; Geological Society Special Publication 86: London, 1995, p.5.

17. Miall, E. D.; Principles of Sedimentary Basin Analysis, 3rd ed., Springer Verlag: New York, 2000.

18. Caetano-Chang, M. R.; Tese de Doutorado, Universidade Estadual Paulista, Brasil, 1997.

19. Thomaz Filho, A.; Resumos do Congresso Brasileiro de Geologia, Brasil, 1982.

20. Cerqueira, J. R.; Santos Neto, E. V.; Resumos do 3º Congresso Brasileiro de Petróleo, Brasil, 1986.

21. Trigüis, J. A.; Ph.D - Thesis, Organic Chemistry Unit, Department of Geology, University of Newcastle, 1986.

22. Thomaz Filho, A.; Mizusaki, A. M. P.; Antonioli, L.; Mar. Pet. Geol. 2008, 25, 143.

23. Azevedo, D. de A.; da Silva, T. F., da Silva, D. B.; Quim. Nova, 200932, 1770.

24. Garcia, M. de A.; Ribeiro, H. J. P. S.; Souza, E. S.; Trigüis, J. A.; Geociências, 2011, 3, 357.

25. Martins, L. L. Dissertaçao de Mestrado, Universidade Estadual do Norte Fluminense Darcy Ribeiro, Brasil, 2012.

26. Head, I. M.; Larter, S. R.; Gray, N. D.; Sherry, A.; Adams, J. J.; Aitken, C. M.; Jones, D. M.; Rowan, A. K.; Huang, H.; Roling, W. F. M. Em Hydrocarbon Degradation in Petroleum Reservoirs; Timmis, K. N., ed.; Springer-Verlag: Berlin Heidelberg, 2010, p. 3097.

27. Brient, J. A.; Wessner, P. J.; Doyle, M. N. Em Naphthenic acids; Kroschwitz, J. I., ed.; Wiley: New York, 1995, p. 1017.

28. Araújo, C. de; Yamamoto, J.; Rostirolla, S.; Madrucci, V.; Tankard, A.; Mar. Pet. Geol. 2005, 22, 671.

29. Rangel, A.; González, S.; Posada, C.; CT&F-Ciencia, Tecnología y Futuro, Instituto Colombiano del Petróleo (ICP)-ECOPETROL SA, 2004, 2, 69.

On-line version ISSN 1678-7064 Printed version ISSN 0100-4042
Qu�mica Nova
Publica��es da Sociedade Brasileira de Qu�mica
Caixa Postal: 26037 05513-970 S�o Paulo - SP
Tel/Fax: +55.11.3032.2299/+55.11.3814.3602
Free access

GN1