JBCS



14:54, sáb out 25

Acesso Aberto/TP



Artigo


Cinética e caracterização de ramnolipídeos produzidos por Pseudomonas aeruginosa MSIC02 utilizando glicerol como fonte de carbono
Kinetic and characterization of rhamnolipid produced by Pseudomonas aeruginosa MSIC02 using glycerol as carbon source

Juliana R. SousaI,*; Jéssyca A. C. CorreiaII; Vânia M. M. MeloIII; Luciana R. B. GonçalvesII; Antonio J. G. CruzI

I Departamento de Engenharia Química, Universidade Federal de São Carlos, 13565-905 São Carlos - SP, Brasil
II Departamento de Engenharia Química, Universidade Federal do Ceará, 60455-760 Fortaleza - CE, Brasil
III Departamento de Biologia, Universidade Federal do Ceará, 60455-760 Fortaleza - CE, Brasil

Recebido em 24/06/2013
Aceito em 17/10/2013
Publicado na web em 03/12/2013

Endereço para correspondência

*e-mail: julianarabello@yahoo.com.br

RESUMO

Glycerol, a co-product of biodiesel production, was used as a carbon source for the kinetics studies and production of biosurfactants by P. aeruginosa MSIC02. The highest fermentative parameters (YPX = 3.04 g g-1; YPS = 0.189 g g-1, PB = 31.94 mg L-1 h-1 and PX = 10.5 mg L-1 h-1) were obtained at concentrations of 0.4% (w/v) NaNO3 and 2% (w/v) glycerol. The rhamnolipid exhibited 80% of emulsification on kerosene, surface tension of 32.5 mN m-1, CMC = 28.2 mg L-1, C20 (concentration of surfactant in the bulk phase that produces a reduction of 20 dyn/cm in the surface tension of the solvent) = 0.99 mg L-1, Γm (surface concentration excess) = 2.4 x 10-26 mol Å-2 and S (surface area) = 70.4 Å2 molecule-1 with solutions containing 10% NaCl. A mathematical model based on logistic equation was considered to representing the process. Model parameters were estimated by non-linear regression method. This approach was able to give a good description of the process.

Palavras-chave: rhamnolipid; kinetics; micellization.

INTRODUÇÃO

O crescente interesse em desenvolver materiais capazes de substituir produtos de origem petroquímica tem sido impulsionado pela expectativa de esgotamento do petróleo.1 Neste contexto, os biossurfactantes apresentam-se como uma alternativa promissora e interessante do ponto de vista ambiental. Os biossurfactantes constituem uma classe de compostos tensoativos que são produzidos a partir de organismos vivos, podendo ser encontrados em superfícies de células microbianas ou excretados extracelularmente. Estes compostos são alternativa aos tensoativos sintéticos, apresentando inúmeras vantagens em relação a estes: biodegradabilidade, baixa toxidade aquática e emprego em condições mais drásticas de temperatura, pH e salinidade.2 Entretanto, os surfactantes de origem microbiana ainda não são produzidos em escala industrial devido aos altos custos de produção, custos estes associados ao uso de substratos caros, à baixa produtividade e às etapas de downstream.1,3 Uma estratégia para minimizar este problema consiste na utilização de substratos oriundos de fontes alternativas, de origem renovável e de baixo custo, os quais levem à obtenção de concentrações elevadas de biossurfactantes no meio reacional.4

A utilização de substratos de origem renovável e de grande disponibilidade para a produção de ramnolipídeos, como óleos vegetais, açúcares e glicerol, tem sido investigada.5 Dentre estes, a glicerina, principal co-produto da produção de biodiesel, tem sido avaliada como substrato para a produção de ramnolipídeos.6,7 Fatores como a geração de um excedente de glicerina no mercado nacional, consequência do aumento da produção de biodiesel, e o fato do glicerol ser uma fonte de carbono altamente assimilável por bactérias e leveduras o tornam uma fonte de carbono renovável com grande potencial para uso em processos bioquímicos na obtenção de produtos de alto valor agregado.8 Pesquisas atuais têm mostrado o potencial de agregação de valor ao glicerol por meio da sua utilização como substrato para a produção de ácido cítrico,9,10 biossurfactantes,6,9,11 acroleína12 e gás de síntese13 mostrando que a valorização deste co-produto pode ocorrer através de rotas biotecnológicas e químicas.

Ramnolipídeos são surfactantes de origem microbiana pertencentes à classe dos glicolipídeos. Pseudomonas aeruginosa produz até seis tipos de ramnolipídeos, que possuem estrutura química e atividade superficial similares, podendo reduzir a tensão superficial da água de 72 mN m-1 para 30 mN m-1 com uma concentração micelar crítica de 27 a 54 mg L-1.14 P. aeruginosa é uma linhagem bem estudada e produtora, principalmente, de monoramnolipídeos do tipo Rha-C10-C10 e diramnolipídeos do tipo Rha2-C10-C10. 15 Estes biossurfactantes apresentam crescente interesse por parte da comunidade científica devido às suas propriedades físico-químicas e tensoativas que lhes conferem um amplo espectro de aplicação, incluindo áreas como a biorremediação, recuperação terciária do petróleo, aditivos em alimentos, fármacos (antimicóticos e antibióticos) e tintas, produtos de limpeza e cosméticos.5

Diversas estratégias de processo têm sido avaliadas com a finalidade de aumentar a produtividade de ramnolipídeos. Dentre estas, a manipulação genética de linhagens novas ou já estudadas de P. aeruginosa, a utilização de ferramentas de planejamento experimental e a produção recombinante de ramnolipídeos. Além dessas estratégias, estudos que avaliam o efeito de nutrientes sobre a produção de ramnolipídeos por espécies novas de Pseudomonas tem sido relatado na literatura, demonstrando o crescente interesse na prospecção destas linhagens.6,7,16-18 A disponibilidade de nutrientes influencia diretamente a biossíntese de ramnolipídeos por P. aeruginosa, visto que sua limitação promove o aumento da produção destes glicolipídeos.15 A influência de fontes de nitrogênio e da razão carbono/nitrogênio (C/N) sobre a biossíntese de ramnolipídeos mostrou resultados inerentes à linhagem utilizada.19 Dentre as fontes de nitrogênio utilizadas, o nitrato de sódio tem apresentado maiores produtividades de ramnolipídeos sendo este resultado atribuído à capacidade de P. aeruginosa em utilizar nitrato como aceptor final de elétrons em condições anaeróbias ou microaeróbias ou devido à simulação de uma condição limitante de nitrogênio através de redução do nitrato à amônio que é assimilado posteriormente pelo metabolismo glutamina-glutamato.16,19-22

Dentro deste contexto, este trabalho teve como objetivo avaliar a cinética de produção de biossurfactantes pela linhagem Pseudomonas aeruginosa MSIC02, previamente identificada como potencial produtora de ramnolipídeos a partir da bioconversão da glicerina, co-produto do processo de produção de biodiesel.7 Também avaliou-se a estabilidade, capacidade emulsificante e micelização de soluções de ramnolipídeos frente à condições variadas de pH, força iônica e temperatura. A caracterização estrutural das frações de ramnolipídeo purificadas apresentaram, cada uma, três homólogos saturados, cujas principais estruturas foram L-ramnosil-ß-hidroxidecanoil-ß-hdroxidecanoato (Rha-C10-C10) e L-ramnosil-L-ramnosil-ß-hidroxidecanoil-ß-hidroxidecanoato (Rha-Rha-C10-C10).7 Modelo matemático não estruturado foi avaliado para descrever o processo. Os parâmetros cinéticos deste modelo foram estimados por regressão não linear.

 

PARTE EXPERIMENTAL

Microrganismo

A linhagem P. aeruginosa MSIC02 foi isolada a partir de uma amostra de solo contaminado com óleo bruto no litoral do Nordeste do Brasil. Sua sequencia rRNA 16S foi depositada no Genbank com o número de acesso FJ876297. A linhagem foi mantida em slants contendo meio agar nutriente (extrato de carne 3,0 g L-1, peptona 5,0 g L-1 e ágar 15,0 g L-1) a 4 ºC e repicadas mensalmente.

Matéria-prima

A glicerina hidrolizada utilizada neste trabalho foi o co-produto da produção de biodiesel, resultante da transesterificação do óleo de mamona em meio alcalino (solução de NaOH). Foi fornecida pela Empresa Brasileira de Bioenergia Indústria e Comércio Ltda (EBB, Ceará, Brasil).

Propagação do inóculo

P. aeruginosa MSIC02 foi transferida a partir da cultura estoque para uma placa de Petri contendo meio ágar nutriente e incubada a 35,5 ºC por 24 horas. Após esse período, três alçadas da cultura foram transferidas para 50 mL de caldo nutritivo (extrato de carne 3,0 g L-1, peptona 5,0 g L-1) contido em frasco de Erlenmeyer (250 mL). Este foi mantido sob agitação de 150 rpm a 30 ºC por 18 horas em mesa agitadora. A densidade óptica foi determinada a 600 nm em espectrofotômetro UV-VIS (Spectronic® 20 GENESYS) e ajustada, quando necessário, para 1,25.

Condições experimentais

As fermentações foram realizadas em frascos de Erlenmeyer (250 mL) contendo 50 mL de meio de cultivo. Os frascos foram incubados em mesa agitadora a 37 ºC e 150 rpm por 72 horas. Amostras foram retiradas nos intervalos de 0, 5, 8, 24, 48 e 72 horas, sendo submetidas à centrifugação (10.000 g por 15 min). O sobrenadante foi utilizado nas determinações analíticas. Os experimentos foram realizados em duplicata.

Recuperação do ramnolipídeo

O meio fermentado foi submetido à centrifugação a 10.000 g por 10 min. O sobrenadante foi acidificado a pH 2,0 com solução de H2SO4 6 N e mantido sob refrigeração (5 ºC) por 12 horas. Após esse período o meio foi centrifugado a 3.500 rpm por 20 min e o precipitado resultante foi lavado três vezes com água destilada (pH 2,0). Após este procedimento as soluções de biossurfactante foram obtidas através da dissolução do precipitado em água destilada (pH 7,0).

Meio de fermentação

As Tabelas 1 e 2 mostram, respectivamente, as razões carbono/nitrogênio (C/N) e a composição do meio de fermentação empregada nos ensaios cinéticos.

 

 

 

 

Determinação dos parâmetros de fermentação

A produtividade volumétrica de biomassa (PX), expressa como mgX L-1 h-1, foi calculada a partir da Equação 1.

 

 

na qual: X0 e Xmax são os valores inicial e máximo da concentração celular (biomassa), respectivamente; t é o tempo necessário para atingir Xmax.

A produtividade volumétrica de biossurfactante (PB), expressa como mgP L-1 h-1, foi calculada de acordo com a Equação 2.

 

 

na qual: P0 e Pmax são as concentrações inicial e máxima de biossurfactante, respectivamente; t é o tempo necessário para atingir Pmax.

Os fatores de conversão de substrato em biomassa (YXS) e biomassa em produto (YPX) foram calculados a partir das Equações 3 e 4.

 

 

 

 

As velocidades específicas de crescimento celular (µx), consumo de substrato (µs) e formação de biossurfactante (µp) foram expressas, respectivamente, como h-1, gs gx-1 h-1 e gp gx-1 h-1, e determinadas segundo as Equações 5 a 7.

 

 

 

 

 

 

Modelagem do crescimento celular, formação de produto e consumo de substrato

O crescimento celular foi modelado matematicamente empregando modelo logístico, Equação 8.

 

 

na qual: X é a concentração celular (biomassa) ao longo do tempo; Xmáx é a concentração celular (biomassa) na fase estacionária de crescimento (g L-1); µmax é a velocidade específica máxima de crescimento celular (h-1).

Para a modelagem da produção de biossurfactante utilizou-se a Equação 9.23

 

 

na qual: Pr é a razão entre a taxa volumétrica inicial de formação do produto (rp0) e a concentração inicial de produto P0 (h-1); Pmax é a concentração máxima de produto (g L-1).

O comportamento do consumo de glicerol foi descrito considerando-se que este foi consumido apenas para crescimento celular.24 A Equação 10 apresenta o balanço de massa para o processo descontínuo que foi utilizado.

 

 

O modelo proposto teve seus parâmetros ajustados empregando o método de regressão não-linear25 com 95% de intervalo de confiança. O ajuste dos modelos foi avaliado a partir do desvio padrão dos parâmetros.

Efeito do pH, NaCl e temperatura sobre a atividade do ramnolipídeo

O efeito de condições físico-químicas sobre a atividade do ramnolipídeo foi realizado no meio de cultivo livre de células, cuja concentração de ramnose foi 1,5 g L-1, e em soluções aquosas de ramnolipídeo bruto, obtido por precipitação ácida de acordo com metodologia proposta na literatura.26 A concentração de NaCl variou de 0 a 20% (m/v) para o meio livre de células e de 0 a 12% para o biossurfactante bruto. Na solução aquosa de biossurfactante bruto, a faixa de concentração de NaCl foi limitada pela precipitação, que ocorreu em concentração acima de 12% (m/v). O pH foi avaliado na faixa de 6,0 a 11,0, sendo essa faixa função do efeito do pH sobre a redução da solubilidade do bissurfactante. O efeito de diferentes tratamentos térmicos foi realizado submetendo o meio de cultivo livre de células ou a solução de biossurfactante bruto à uma faixa de temperatura entre 20 e 120 ºC durante 15 min e à temperatura fixa de 100 ºC durante 15, 30, 60 e 120 min.

Métodos analíticos

Determinação do crescimento celular

O crescimento celular foi determinado através de medidas da densidade ótica de amostras utilizando um espectrofotômetro UV-visível (20 Genesis, BR) a 600 nm. A concentração celular, em g L-1, foi quatificada através de curva de calibração da massa seca versus densidade óptica.

Determinação de ramnose

A determinação de ramnose, uma forma direta de quantificação de ramnolipídeos, foi realizada através do método orcinol-sulfúrico.27 A solução de orcinol, a 0,19% (p/v), foi preparada dissolvendo este reagente em uma solução de ácido sulfúrico a 53% (v/v). O método consistiu em adicionar 0,9 mL desta solução a uma alíquota de 0,1 mL de amostra, seguido de aquecimento a 80 ºC durante 30 min. Após este período, o meio reacional permaneceu em repouso durante 15 min, determinou-se a absorbância em espectrofotômetro UV-VIS a 421 nm. A curva padrão foi obtida com soluções de ramnose com concentrações conhecidas, entre 5 e 50 mg L-1.

Determinação de glicerol

A concentração de glicerol foi determinada a partir do kit enzimático para análise de triglicerídeos (Laborlab®, Guarulhos, SP). O princípio do método quantifica o teor de glicerol através da enzima glicerolquinase. A metodologia consistiu em adicionar 10 µL de amostra e 1 mL do reativo enzimático a um tubo de ensaio que foi incubado em banho-maria a 37 ºC durante 10 min. Após este período, a absorbância da amostra foi determinada a 505 nm em espectrofotômetro UV-VIS. A curva padrão foi obtida com soluções de glicerol PA na faixa de concentração de 0,05 a 0,80 g L-1.

Cromatografia em camada delgada

Para realização de cromatografia em coluna o extrato obtido a partir da extração líquido-líquido descrita anteriormente foi utilizado para separação dos constituintes. Na cromatografia em coluna, Sílica Gel 60 foi utilizada como fase estacionária e uma mistura clorofórmio-metanol, cuja razão variou de 20:1 a 1:1 (v/v), foi utilizada como eluente. Os compostos isolados foram purificados em cromatografia em camada delgada (TLC) sobre sílica (cromatofolhas), sendo o eluente composto por uma mistura de clorofórmio, metanol e ácido acético (65:15:2).15 A presença de glicolipídeos foi identificada por solução de vanilina/ácido perclórico, após aquecimento a 100 ºC.

Caracterização das propriedades tensoativas e micelização do biossurfactante bruto

Índice de emulsificação (E24)

A capacidade emulsificante foi avaliada através de metodologia previamente descrita.28 À um tubo de fundo chato, adicionaram-se 2 mL de solução aquosa de biossurfactante ou meio de cultivo livre de células e 2 mL de querosene. O tubo foi submetido à agitação em velocidade máxima em agitador tipo vortex durante 2 min. Após agitação, o tubo permaneceu em repouso durante 24 horas. O índice de emulsificação (E24) foi determinado pela razão entre a altura da fase emulsionada (HFE) e a altura do volume total (Htotal), de acordo com a Equação 11.14

 

 

Tensão superficial

A tensão superficial, uma medida indireta da produção de biossurfactantes, foi determinada no meio livre de células utilizando um Tensiômetro (Krüss K6) a 25 ºC. As medidas foram realizadas em triplicata.

Concentração micelar crítica (CMC)

A CMC foi obtida a partir da determinação da tensão superficial de soluções de concentração conhecida do biossurfactante bruto. Para tanto, foram realizadas diluições sucessivas de uma solução concentrada do surfactante. A tensão superficial foi determinada em tensiômetro Kruss K6 pelo método do anel de du Nouy, sendo as medidas realizadas à temperatura ambiente e em triplicata. A CMC foi determinada pelo ponto de inflexão da curva obtida plotando-se a tensão superficial versus o log 10 da concentração de ramnose.

Concentração Superficial de Excesso (Γ)

A concentração superficial de excesso do biossurfactante, uma medida da eficiência de adsorção na interface ar/líquido, foi calculada a partir da equação de Gibbs (Equação 12).

 

 

na qual: Γm é a concentração superficial de excesso (mol Å-2); CRL é concentração de biossurfactante expressa como ramnose (g L-1); γ é tensão superficial (mN m-1); MM é massa molecular (g mol-1); T é a temperatura (K); R é a constante dos gases ideais (8,314 J mol-1 K-1).

A concentração superficial de excesso (Γm) foi determinada através da inclinação da curva obtida plotando-se γ versus CRL. O valor de x foi atribuído de acordo com a estrutura do biossurfactante e das condições do meio. Assim, para surfactante aniônico na presença de contraíon não tensoativo, x é equivalente a 1.29

 

RESULTADOS E DISCUSSÃO

Cinética de cultivos em batelada para a produção de ramnolipídeo por P. aeruginosa MSIC02

Os ensaios cinéticos realizados neste trabalho consistiram em verificar a influência da razão C/N sobre a cinética e os parâmetros de fermentação de cultivos em frascos agitados da linhagem P. aeruginosa MSIC02 em meio sintético com glicerina como substrato. Para tanto, foram realizados experimentos variando-se a concentração de NaNO3 de 1,0 a 4,0 g L-1 com concentração de glicerina de 42,0 g L-1, obtendo-se razões C/N de 86 a 21, e variando-se a concentração de glicerina, de 42,0 g L-1 a 23,14 g L-1, obtendo-se razões C/N de 21 e 12, respectivamente, com 4,0 g L-1 de NaNO3. A Tabela 3 mostra estes parâmetros para os diferentes ensaios realizados.

 

 

A partir dos dados da Tabela 3 verifica-se que a variação da razão C/N afetou significativamente os parâmetros referentes a produção de biossurfactante. O fator de conversão biomassa em produto (Ypx) aumentou por um fator de 5 quando se reduziu a razão CN de 86 para 12. Aumento significativo também foi obtido na concentração máxima (Pmax) e na produtividade volumétrica (PB) de ramnolipídeos. Os parâmetros referentes ao crescimento celular foram menos influenciados, observando-se que a concentração máxima (Xmax) e a produtividade volumétrica (PX) de biomassa aumentaram em torno de 1,4 vezes e 2,0 vezes, respectivamente, com a redução da razão CN (Tabela 3).

Além da concentração de nitrogênio, a concentração inicial de glicerina também exerceu influência sobre o crescimento celular, sendo que a fase estacionária se iniciou com 72 horas de crescimento para o ensaio realizado com concentração inicial de glicerol de 24 g L-1 (Figura 1A), enquanto que para os ensaios em que se utilizou uma concentração de glicerol maior (42 g L-1) a fase estacionária de crescimento foi atingida entre 24 horas e 48 horas de cultivo. As curvas de crescimento celular mostraram que a fase de desaceleração do crescimento iniciou em 24 horas para os ensaios C/N 59 e 86 e 48 horas para os ensaios com maior concentração de nitrogênio (Figura 1A), mostrando que o nitrogênio foi o elemento estequiometricamente limitante ao crescimento celular.

 


Figura 1. Cinética do crescimento celular (A) e da produção de ramnolipídeos (B) em cultivo em frascos agitados de P. aeruginosa MSIC02 em meio sintético contendo glicerina como fonte de carbono

 

O comportamento cinético da produção de ramnolipídeos pode ser observado na Figura 1B. A redução da razão C/N e da concentração inicial de glicerol acarretou uma maior produção de ramnolipídeos, expresso em termos de ramnose, atingindo 2,3 g L-1 para a razão C/N 12. A redução da razão C/N de 60 para 22 em cultivos de P. nitroreducens utilizando glicose e NaNO3 como fontes de carbono e nitrogênio, respectivamente, acarretou um aumento da produção de ramnolipídeos de 1,5 vezes.16 Comparativamente ao ensaio com mesma concentração de nitrogênio, C/N 21, obteve-se uma produção de ramnolipídeo de 1,27 g L-1, cerca de 50% menor que a obtida anteriormente. O efeito inibidor do glicerol em concentrações elevadas sobre a produção de ramnolipídeos também foi verificado com a linhagem de P. aeruginosa S2.19 Os resultados mostraram baixa produtividade de biossurfactante utilizando 4% de glicerol, ocorrendo aumento de 5 vezes na produção deste bioproduto ao reduzir a concentração de glicerol para 2%.19

O comportamento do pH está apresentado na Figura 2 para os ensaios avaliados. As curvas de pH mostraram que houve, inicialmente, aumento do pH com posterior redução deste para os ensaios C/N 86 a 36. No ensaio C/N 21 e C/N 12 o pH manteve-se constante de 48 a 72 horas. Observou-se também que o pH final aumentou com o aumento da concentração de nitrogênio no meio. Comportamento semelhante foi observado em cultivos da linhagem P. aeruginosa E03-40 em frascos agitados contendo meio com sais minerais suplementado com extrato de levedura e peptona na presença de nitrato e glicerol.30 Foram obtidos valores de pH entre 8,0 e 8,5 após 40 horas de cultivo, sendo este aumento atribuído à denitrificação em condições microaeróbias.

 


Figura 2. Comportamento do pH ao longo do tempo para os ensaios avaliados

 

Modelos cinéticos para o crescimento celular, formação de produto e consumo de substrato durante a produção de ramnolipídeos por P. aeruginosa MSIC02 em meio contendo glicerina e nitrato de sódio como fontes de carbono e nitrogênio foram avaliados.

Os ajustes obtidos pelos modelos propostos (Figuras 1S a 5S, material suplementar) e os parâmetros estimados das variáveis de fermentação são mostrados na Tabela 4.

 

 

Pode-se observar a partir dos desvios obtidos para os parâmetros de crescimento celular que o modelo logístico forneceu descrição cinética adequada para todos os ensaios (Tabela 4). Este modelo, comparado a outros modelos cinéticos não estruturados, como os propostos por Monod, Tessier e Contois, não considera a presença de um substrato limitante, mas relaciona o crescimento celular a um fator de inibição, que é proporcional à concentração celular (X). Esta consideração permitiu a modelagem do crescimento de P. aeruginosa MSIC02, visto que o substrato limitante, neste caso, foi a fonte de nitrogênio.

O modelo matemático avaliado para a produção de ramnolipídeos foi capaz de descrever a cinética da produção deste bioproduto para todos os ensaios obtendo-se desvio padrão aceitável para todos os parâmetros (Tabela 4). Este modelo foi desenvolvido para descrever a biossíntese de lactato de amônio a partir de uma bactéria homofermentativa, a Lactobacillus amylophilus, sendo obtido por analogia ao modelo logístico para crescimento celular.23 Os autores observaram comportamento semelhante entre a velocidade específica de produção de ácido lático versus concentração de ácido lático e a velocidade específica de crescimento celular versus concentração celular. O modelo apresentou, portanto, uma abordagem simplificada para a produção de ramnolipídeos, sem fornecer parâmetros que esclareçam seu mecanismo de biossíntese. Este modelo tem sido apresentado na literatura como um modelo adequado para descrever a cinética de síntese de biossurfactantes para descrever a produção de biossurfactantes por bactéria probiótica, obtendo ajustes aceitáveis (R2 > 0,91).31

O consumo de substrato foi explicado pelo crescimento celular. Os valores de Yxs foram semelhantes aos valores obtidos experimentalmente (Tabela 3) para todos os ensaios. Durante as simulações não foi possível ajustar os parâmetros Yps e mS, pois estes não apresentaram valores significativos para a minimização dos resíduos, bem como desvio padrão aceitável.

A Figura 3 mostra o comportamento das velocidades específicas de crescimento celular ao longo do tempo, síntese de ramnolipídeo e consumo de substrato durante a fermentação por P. aeruginosa MSIC02. As curvas de velocidades específicas apresentaram relação direta entre o crescimento celular e o consumo de substrato (Figura 3). A curva de síntese de biossurfactante não apresentou qualquer relação com o crescimento celular ou com o consumo de substrato, indicando que o ramnolipídeo produzido por P. aeruginosa MSIC02 comportou-se como um metabólito secundário. Este resultado está de acordo com dados da literatura reportados para a síntese de ramnolipídeos por diferentes espécies de Pseudomonas.16,18,32

 


Figura 3. Comportamento das velocidades específicas de crescimento celular (μx), consumo de substrato (μs) e produção de biossurfactante (μp) durante cultivo em frascos agitados de P. aeruginosa MSIC02 a 37 ºC e 150 rpm

 

Caracterização e efeito de condições ambientais sobre a estabilidade do biossurfactante

Os estudos cinéticos realizados mostraram que a linhagem P. aeruginosa MSIC02 é potencial produtora de biossurfactantes ramnolipídeos a partir da glicerina, co-produto da síntese de biodiesel, como única fonte de carbono e energia. Os parâmetros fermentativos apresentados na Tabela 3 mostram que, com uma razão C/N = 12, foram atingidas a maior produtividade volumétrica (PB = 31,94 mg L-1 h-1) e maior conversão de substrato em produto (YPS = 0,189 g g-1) nos cultivos em frascos agitados. Desta forma, esta condição foi utilizada para a produção de ramnolipídeos pela linhagem de Pseudomonas avaliada neste trabalho com o objetivo de avaliar suas propriedades tensoativas e estabilidade frente a diferentes condições ambientais. Para tanto, avaliou-se o meio de cultivo livre de células e soluções aquosas do biossurfactante bruto.

As propriedades tensoativas do ramnolipídeo produzido por P. aeruginosa MSIC02 foram, inicialmente, avaliadas no meio de cultivo livre de células. A tensão superficial e a capacidade emulsificante comprovaram que este glicolipídeo possui boa atividade superficial, obtendo-se uma tensão superficial mínima de 32,0 mN m-1, além de apresentar capacidade emulsificante de 63,5% com querosene comercial. Estes resultados demonstram o potencial deste bioproduto em apresentar importantes propriedades de aplicabilidade industrial, tais como detergência, emulsificação, umectação, complexação de metais, biorremediação, melhoramento do crescimento microbiano, dentre outras.17

A análise do extrato metanólico do biossurfactante bruto por cromatografia em camada delgada (CCD) mostrou a presença de dois componentes majoritários, o diramnolipídeo (RL2) e o monoramnolipídeo (RL1) (Figura 4). A linha A contém o spot referente ao RL1 cujo Rf (fator de retardamento) foi 0,66. Na linha B, o spot referente ao RL2 apresentou Rf inferior ao RL1, com valor de 0,37. Frações ramnolipídicas sintetizadas por P. aeruginosa MSIC02 foram constituídas, principalmente, por L-ramnosil-β-hidroxidecanoil-β-hidroxidecanoato (Rha-C10-C10) e L-ramnosil-L-ramnosil-ß-hidroxidecanoil-β-hidroxidecanoato (Rha-Rha-C10-C10).7 Além destas estruturas, dois homólogos saturados foram identificados em cada fração por espectrometria de massa7. Na fração de monoramnolipídeos foram observados homólogos com massa molecular de 476 g mol-1, correspondente às estruturas Rha-C10-C8 ou Rha-C8-C10, e 532 g mol-1, correspondente às estruturas Rha-C10-C12 ou Rha-C12-C10, como compostos minoritários. De forma equivalente, a fração diramnolipídica apresentou homólogos com massas moleculares de 622 g mol-1, correspondente às estruturas Rha-Rha-C10-C8 ou Rha-Rha-C8-C10, e 678 g mol-1, correspondente às estruturas Rha-Rha-C10-C12 ou Rha-Rha-C12-C10.7 A maior proporção de RL2 para RL1, visualizada qualitativamente através da intensidade dos spots obtidos na CCD (Linha C, Figura 4), foi comprovada através da determinação das massas das frações dos respectivos ramnolipídeos obtidas por cromatografia em coluna. Obteve-se uma proporção de 30:70 (RL1:RL2), cujas massas das frações foram 7,9 mg de RL1 e 18,7 mg de RL2. A predominância de RL2 sobre seu congênere RL1 tem sido apresentada por diversos autores a partir de diferentes linhagens de Pseudomonas sp.17,20,33,34

 


Figura 4. Cromatografia em camada delgada dos ramnolipídeos produzidos por P. aeruginosa MSIC02 com glicerol como substrato e cultivo de 72 horas a 37 ºC sob agitação de 150 rpm. (A) Monoramnolipídeo; (B) Diramnolipídeo; (C) Biossurfactante bruto

 

Além da elevada compatibilidade ambiental e biodegradabilidade dos biossurfactantes comparativamente aos surfactantes sintéticos, estes possuem a característica de interagir com microrganismos, causando alguns efeitos biológicos, como a regulação da hidrofobicidade da superfície celular.35 Esta característica influencia o processo de biorremediação de solos contaminados por compostos orgânicos hidrofóbicos, pois o aumento da hidrofobicidade da superfície celular permite uma maior absorção destes substratos por microrganismos. Ramnolipídeos estão entre os biossurfactantes que possuem maior afinidade por células, cuja intensidade da adsorção na superfície celular é função da natureza química e estrutural da molécula de ramnolipídeo.36 Este efeito foi verificado ao identificar que o RL2 exibiu maior capacidade em aumentar a hidrofobicidade da superfície celular comparado ao RL1.35 Portanto, a maior proporção de RL2 sobre RL1 obtida na mistura de ramnolipídeos sintetizada por P. aeruginosa MSIC02 indicou o seu grande potencial para aplicação em biorremediação de solos.

A partir das propriedades tensoativas promissoras do biossurfactante produzido por P. aeruginosa MSIC02 e da elevada produtividade (Tabela 3) obtida em cultivos em frascos agitados foram realizados estudos sobre a sua estabilidade frente à salinidade, pH e temperatura do meio livre de células e do ramnolipídeo bruto obtido por precipitação ácida. Tais estudos foram realizados a fim de avaliar o potencial de aplicação deste biossurfactante em processos cujas condições físico-químicas sejam drásticas, como em biorremediação e Recuperação Terciária do Petróleo.

Efeito da concentração de NaCl

Os resultados referentes à influência da concentração de NaCl sobre a tensão superficial e emulsificação de querosene utilizando o meio livre de células e o biossurfactante bruto estão apresentados nas Figuras 5A a 5D. Nas Figuras 5A e 5B observou-se uma redução na tensão superficial com o aumento da concentração de NaCl tanto para o meio de cultivo livre de células, de 32 mN m-1 para 29,5 mN m-1, como para o biossurfactante bruto, de 31 mN m-1 para 30 mN m-1 (Figuras 5A e 5B). Resultados semelhantes foram obtidos previamente em estudos do efeito da concentração de NaCl, na faixa de 0 a 1,0 M, sobre as propriedades tensoativas dos ramnolipídeos RL1 e RL2.39 A tensão superficial para o RL1 foi reduzida de 30,0 para 28,6 mN m-1, e para o RL2 a redução da tensão superficial foi de 31,2 para 31,0 mN m-1. Este efeito foi atribuído à neutralização que os íons sódio exercem sobre a carga negativa líquida ocasionada pelos íons carboxilato dissociados na interface líquido/gás, em pH neutro, através do seu efeito de blindagem na dupla camada elétrica. Isto ocasiona a redução das forças repulsivas dos íons carboxilato, causando a formação de uma monocamada mais compacta e reduzindo a tensão superficial.37

 


Figura 5. Efeito da salinidade sobre a tensão superficial do meio de cultivo livre de células (A) e solução aquosa do biossurfactante bruto (B) e sobre a capacidade emulsificante do meio de cultivo livre de células (C) e da solução aquosa de biossurfactante bruto (D)

 

A capacidade de emulsificar querosene da solução aquosa de ramnolipídeo bruto aumentou com o aumento da salinidade até 10% de NaCl, atingindo valor máximo de 80%, ocorrendo uma redução do IE24 para 66,7%, com uma concentração de 12% de NaCl (Figura 5D). Para o meio livre de células, o IE24 foi um pouco menor (60 - 68%). Analogamente, a capacidade emulsificante do biossurfactante produzido por P. aeruginosa Bs20 com querosene foi de 65% e 60% para o meio de cultivo livre de células e a solução de biossurfactante bruto, respectivamente.26 Em cultivos em frascos agitados de P. aeruginosa MA01 utilizando óleo de soja como única fonte de carbono obteve-se IE24 de 70% com o meio de cultura livre de células após 11 dias de cultivo.18 Portanto, os valores obtidos neste trabalho foram semelhantes ou superiores aos reportados na literatura.

A excelente estabilidade frente à concentração de NaCl do biossurfactante produzido por P. aeruginosa MSIC02 para o meio livre de células e para o biossurfactante bruto mostrou seu elevado potencial de uso em biorremediação de ambientes salinos, como por exemplo, na recuperação de ambientes marinhos impactados por derramamentos de petróleo, pois observou-se que é possível a utilização direta do meio livre de células para fins de biorremediação, sem uma etapa de pré-purificação. A etapa de purificação pode atingir valores de até 60% do custo total da produção de biossurfactantes.6 Resultado semelhante foi obtido com o biossurfactante produzido por P. aeruginosa Bs20 que mostrou potencial de aplicação em ambientes marinhos.26 Entretanto, a maior concentração de NaCl utilizada pelos autores foi de 6%, enquanto que neste trabalho o efeito da salinidade foi avaliado até uma concentração de 20%, para o meio livre de células, e 12% para o biossurfactante bruto. Ressalta-se ainda que concentrações salinas acima de 3% são suficientes para inativar surfactantes convencionais.38

Efeito do pH

A Figura 6A mostra o resultado da variação da tensão superficial com o pH no meio livre de células e no biossurfactante bruto. Observou-se que, para ambos os meios, houve uma redução da atividade superficial com o aumento do pH (Figura 6A), variando de 29,2 a 32,5 mN m-1 para o meio livre de células, e de 30,0 para 36,0 mN m-1 para o biossurfactante bruto. O ramnolipídeo produzido por P. aeruginosa Bs20 foi estável em uma faixa de pH de 2,0 a 13,0, apresentando redução da atividade superficial para valores de pH mais altos (pH > 9,0).26 Comportamento semelhante foi observado no biossurfactante produzido por P. aeruginosa UCP0992 em meio mineral com glicerol como fonte de carbono e energia, em que a tensão superficial variou de de 24,0 mN m-1 em pH 2 para 29,0 mN m-1 em pH 10.6 Moléculas de ramnolipídeos são afetados pelo pH através da protonação dos íons carboxilato em soluções ácidas, comportando-se como um surfactante não-iônico em solução, acarretando uma redução na tensão superficial.29 Em soluções neutras ou levemente alcalinas, o ramnolipídeo adquire um comportamento aniônico.39

 


Figura 6. Efeito do pH sobre a atividade superficial (A) e índice de emulsificação (B) do meio livre de células e da solução aquosa do biossurfactante bruto

 

O índice de emulsificação do meio livre de células variou de 62% para 68% com o aumento do pH, sendo que no biossurfactante bruto obteve-se 76% de capacidade emulsificante em pH 7, indicando que apesar do aumento da tensão superficial, a capacidade de emulsificação do biossurfactante não foi afetada (Figura 6B). Este resultado pode ser esperado, visto que a capacidade de surfactantes formarem emulsões estáveis não é sempre associada com a atividade superficial.40 A avaliação do efeito do pH sobre a estabilização de emulsões formadas por ramnolipídeos mostrou que a capacidade emulsificante deste glicolipídeo com diferentes tipos de óleo aumentou em meio alcalino (pH entre 8,0 e 9,0).41 Em pH acima de 5,6, valor do pKa do ramnolipídeo,42 ocorre a ionização dos grupos carboxílicos da molécula de ramnolipídeo, blindada por contraíons (Na+) na dupla camada elétrica. Com isso, as micelas tornam-se mais carregadas aumentando a repulsão entre elas e, consequentemente, diminuindo o fenômeno da coalescência.43 A obtenção de maior capacidade emulsificante em pH 7,0 possibilita o uso deste biossurfactante como estabilizante de emulsões utilizadas nas indústrias farmacêutica e cosmética.43 O aumento do pH da solução do biossurfactante bruto até 11,0 pouco afetou a capacidade emulsificante do ramnolipídeo, cujo valor ainda permaneceu em 72%. Desta forma, a sua utilização como agente emulsificante em processos desenvolvidos sob condições drásticas, como na recuperação melhorada de petróleo, apresentou potencial para remoção de filmes de óleo a partir de rochas e na redução da viscosidade do petróleo.2

Efeito da temperatura

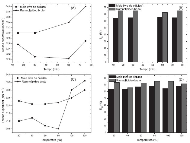
A Figura 7 apresenta os resultados do efeito de diversos tratamentos térmicos sobre a atividade superficial e capacidade emulsificante do meio de cultivo livre de células e das soluções de biossurfactante bruto produzido por P. aeruginosa MSIC02. Quando exposto a 100 ºC, Figura 7A, a tensão superficial do meio de cultivo livre de células mostrou uma discreta elevação, de 33,0 mN m-1 para 33,4 mN m-1 em 60 minutos de exposição, atingindo 34,0 mN m-1 após 80 minutos. Da mesma forma, a tensão superficial da solução aquosa do biossurfactante bruto apresentou uma pequena variação, ocorrendo uma redução de 32,6 mN m-1 para 32,0 mN m-1 após 60 minutos de exposição a 100 ºC e retornando ao valor inicial (32,6 mN m-1) em 80 minutos de exposição (Figura 7A). A capacidade emulsificante apresentou uma ótima faixa de emulsão, superior a 70%, para a solução aquosa de ramnolipídeo bruto e 65% para o meio de cultivo livre de células (Figura 7B).

 


Figura 7. Efeito de diferentes tratamentos térmicos sobre a estabilidade do biossurfactante: efeito do tempo de exposição a 100 ºC para o meio livre de células (A) e para a solução aquosa do biossurfactante bruto (B) e efeito do aumento da temperatura sobre a estabilidade térmica (C) e capacidade emulsificante (D) para o meio livre de células e o biossurfactante bruto

 

A Figura 7 mostra, ainda, a estabilidade da tensão superficial frente a variações na temperatura. Obteve-se menor tensão superficial para o meio livre de células a 80 ºC (30 mN m-1) ocorrendo aumento para 34 mN m-1 a 120 ºC (Figura 7C). A tensão superficial na solução aquosa de biossurfactante bruto manteve-se constante de 20º a 80 ºC (30 mN m-1) atingindo um valor de 33 mN m-1 a 120 ºC (Figura 7C). A capacidade emulsificante foi pouco afetada pela variação de temperatura, permanecendo em torno de 75% com a solução aquosa de ramnolipídeo (Figura 7D). A variação da temperatura de 4 ºC a 120 ºC do meio livre de células contendo biossurfactante produzido por P. aeruginosa UCP0992 promoveu um aumento da tensão superficial de 28,0 a 30,0 mN m-1, que consistiu em comportamento semelhante ao obtido neste trabalho.6 A termoestabilidade do ramnolipídeo contido no meio de cultivo livre de células, a partir de diferentes linhagens de P. Aeruginosa, foi reportada em outros trabalhos.17,26 Os resultados obtidos neste trabalho quando comparados aos relatados na literatura mostraram que, independente da linhagem e das condições de cultivo, o ramnolipídeo apresentou-se como um biossurfactante de elevada estabilidade térmica.

Efeito da concentração de NaCl, pH e temperatura sobre a micelização do ramnolipídeo

Moléculas de surfactantes possuem a capacidade de formar microestruturas altamente organizadas, cuja morfologia depende de fatores que incluem a fração relativa dos diferentes grupos que constituem a molécula do surfactante, a forma da molécula do surfactante, o pH e a força iônica da solução.44 O efeito destes fatores sobre o comportamento de ramnolipídeos em solução tem sido bastante estudado na literatura.37,39,44,45 Assim, o efeito do pH, força iônica e temperatura sobre a micelização e propriedades superficiais de soluções aquosas de ramnolipídeo bruto foi avaliado. A Tabela 5 mostra o efeito do aumento da força iônica sobre as propriedades superficiais do ramnolipídeo bruto em meio aquoso. A menor CMC (28,2 mg L-1) foi obtida na solução de biossurfactante formulada com 10% de NaCl, mostrando que o aumento da força iônica do meio promoveu aumento da eficiência do biossurfactante quando comparado ao valor obtido na solução sem eletrólito (Tabela 5). Nesta mesma concentração salina, obtiveram-se os melhores valores dos parâmetros que indicaram a eficiência desse biossurfactante em solução (C20 = 0,99 mg L-1, Γm = 2,4 x 10-26 mol Å-2, S = 70,4 Å-2 molécula-1) (Tabela 5). Em soluções aquosas purificadas dos ramnolipídeos R1 e R2, o aumento da concentração de NaCl acarretou em um incremento de Γm e, consequentemente, redução de S, obtendo-se 2,5 x 10-20 mol Å-2 e 66,1 Å2 molécula-1 para a solução de R1 e 2,4 x 10-20 mol Å-2 e 68,2 Å2 molécula-1 para a solução contendo R2 com 0,5 M de NaCl.37 Observou-se comportamento contrário neste trabalho, cujo aumento da concentração de NaCl até 6% promoveu uma redução de Γm e aumento de S (Tabela 5). O comportamento anômalo observado nas soluções de biossurfactante bruto produzido por P. aeruginosa MSIC02 pode estar relacionado à presença de impurezas, compostos tensoativos ou outros contraíons, provenientes do meio de cultivo que tenham atuado como interferentes no processo de adsorção na interface líquido-gás. Porém, a solução formulada com extrato bruto de ramnolipídeo sintetizado por P. aeruginosa MIG-N146 apresentou Γm = 2,4 x 10-26 mol Å-2 e S = 70 Å2 molécula-1,45 mostrando que os valores obtidos neste trabalho estão de acordo com dados apresentados na literatura.

 

 

O estudo do comportamento da CMC frente a variações no pH do biossurfactante bruto encontra-se na Tabela 6. Obteve-se menor CMC, equivalente a 31,6 mg L-1, na solução em pH 10 (Tabela 6). O efeito do pH sobre a CMC das frações purificadas dos ramnolipídeos R1 e R2 mostrou que, com a redução do pH de 6,8 para 5,0 a CMC foi reduzida de 50,4 mg L-1 para 26,0 mg L-1.39 Portanto, a CMC obtida a partir do precipitado bruto do ramnolipídeo produzido por P. aeruginosa MSIC02 apresentou resultados semelhantes aos obtidos com o ramnolipídeo puro. O efeito do pH sobre a eficiência de adsorção não foi tão expressiva quanto o efeito exercido pela força iônica (Tabela 5), sendo o maior valor de C20 (1,88 mg L-1) semelhante ao obtido para surfactantes químicos, entre 1 - 3 mg L-1.29

 

 

As Tabelas 7 e 8 mostram o efeito de diversos tratamentos térmicos sobre a atividade superficial e micelização das soluções de biossurfactante bruto. O aumento tempo de exposição a 100 ºC promoveu um aumento da CMC de, aproximadamente, 20%, bem como, da tensão superficial mínima que variou de 31,7 mN m-1 para 32,5 mN m-1 (Tabela 7). Já a temperatura atuou diferentemente do tempo de exposição sobre o comportamento da CMC e tensão superficial mínima. O aumento de 20 ºC para 60 ºC acarretou redução da CMC e da tensão superficial mínima, ocorrendo um aumento de ambas quando a temperatura foi elevada para 100 ºC e, posteriormente, para 120 ºC (Tabela 8). O efeito da temperatura sobre a CMC de surfactantes em meio aquoso é complexo e resultante de efeitos que favorecem a micelização, como a redução do grau de hidratação do grupo hidrofílico, e que desfavorecem este processo através da ruptura da estrutura da água que circunda o grupo hidrofóbico, sendo, portanto, a magnitude desses efeitos que determinam o comportamento da CMC com a temperatura.29 O efeito dos tratamentos térmicos sobre a adsorção na interface líquido-gás foi semelhante ao comportamento apresentado pela CMC, como pode ser observado nas Tabelas 7 e 8 através dos valores de C20, Γm e S.

 

 

 

 

CONCLUSÕES

A cinética e os parâmetros fermentativos da produção de ramnolipídeos por P. aeruginosa MSIC02 utilizando a glicerina, co-produto da produção de biodiesel, como fonte de carbono e energia foram maximizados com 0,4% de NaNO3 e 2% (p/v) de glicerina. Nesta condição os valores obtidos para os paramêtros foram: Ypx = 3,04 g g-1; Yps = 0,189 g g-1; PB = 31,94 mg L-1 h-1e PX = 10,5 mg L-1 h-1. O ramnolipídeo comportou-se como um metabólito secundário. O meio livre de células e a solução aquosa de ramnolipídeo bruto mostraram elevada estabilidade frente à variação de salinidade, pH e temperatura, apresentando tensão superficial mínima de 29,2 mN m-1 em pH 6,0 e 30 mN m-1 em 10% (p/v) NaCl, respectivamente. A capacidade de emulsificar querosene foi, em média, superior para a solução aquosa de ramnolipídeo em relação ao meio de cultivo livre de células, apresentando valor máximo de 80% com 10% NaCl. O biossurfactante apresentou elevada eficiência, atingindo CMC de 28,2 mg L-1, C20 = 0,99 mg L-1, Γm = 2,4 x 10-26 mol Å-2 e S = 70,4 Å2 molécula-1 em solução aquosa contendo 10% de NaCl. Portanto, o potencial de aplicação do ramnolipídeo produzido por P. aeruginosa MSIC02 em processos industriais que envolvem condições ambientais drásticas foi comprovado através da sua excelente estabilidade frente à elevada salinidade, valores extremos de pH e elevada temperatura. Portanto, pode-se inferir que este pode ser utilizado em processos de recuperação terciária de petróleo e biorremediação de ambientes salinos visto que não houve redução de sua atividade superficial e capacidade emulsificante nos ensaios realizados.

 

MATERIAL SUPLEMENTAR

Disponível na forma de material suplementar no sítio da SBQ (http://quimicanova.sbq.org.br), com acesso livre, são encontradas as Figuras 1S a 5S (ajuste do modelo matemático aos experimentos realizados nas diferentes razões C/N) citadas no texto. Os parâmetros ajustados estão na Tabela 4 do texto.

 

AGRADECIMENTOS

Os autores agradecem ao CNPq e CAPES pelo apoio financeiro para realização deste trabalho e à Profª. Dra. Otília Deusdênia Loiola Pessoa, coordenadora do Laboratório de Análise Fitoquímica de Plantas Medicinais, pela realização das análises cromatográficas.

 

REFERÊNCIAS

1. Müller, M. M.; Kügler, J. H.; Henkel, M.; Gerlitzki, M.; Hörmann, B.; Pöhnlein, M.; Syldatk, C.; Hausmann, R.; J. Biotechnol. 2012, 162, 366.

2. Banat, I. M.; Makkar, R. S.; Cameotra, S. S.; Appl. Microbiol. Biotechnol. 2000, 53, 495.

3. Heyd, M.; Kohnert, A.; Tan, T.H.; Nusser, M.; Kirschhöfer, F.; Brenner-Weiss, G.; Franzreb, M.; Berensmeier, S.; Anal. Bioanal. Chem. 2008, 391, 1579.

4. Kosaric, N.; Pure Appl. Chem. 1992, 64, 1731.

5. Henkel, M.; Müller, M. M.; Kügler, J. H.; Lovaglio, R. B.; Contiero, J.; Syldatk, C.; Hausmann, R.; Process Biochem. 2012, 47, 1207.

6. Silva, S. N. R. L.; Farias, C. B. B.; Rufino, R. D.; Luna, J. M.; Sarubbo; L.A.; Colloids Surf., B 2010, 79, 174.

7. Sousa, J. R.; Correia, J. A. C.; Almeida, J. G. L.; Rodrigues, S.; Pessoa, O. D. L.; Melo, V. M. M.; Gonçalves, L. R. B.; Process Biochem. 2011, 46, 1831.

8. Rivaldi, J. D.; Sarroub, B.F.; Fiorlio, R.; da silva, S. S.; Biotecnologia Ciência e Desenvolvimento 2007, 37, 44.

9. Amaral, P. F. F.; Ferreira, T. F.; Fontes, G. C.; Coelho, M. A. Z.; Food and Bioproducts Processing 2009, 87, 179.

10. Rywinska, A.; Rymowicz, W.; Zarowska, B.; Skrzypinski, A.; World J. Microbiol. Biotechnol. 2010, 26, 1217.

11. da Rosa, C.F.C.; Michelon, M.; Burkert, J.F.M.; Kalil, S.J.; Burkert, C.A.V.; African J. Biotechnol. 2010, 9, 9012.

12. Shiju, N. R.; Brown, D. R.; Wilson, K.; Rothenberg, G.; Top. Catal. 2010, 53, 1217.

13. Fernández, Y.; Arenillas, A., Díez, M. A.; Pis, J. J.; Menendez, J. A.; J. Anal. Appl. Pyrolysis 2009, 84, 145.

14. Wei, Y. H.; Chou, C. L.; Chang, J. S.; Biochem. Eng. J. 2005, 27, 146.

15. Syldatk, C.; Lang, S.; Matulovic, U.; Wagner, F. Z.; Z. Naturforsch., C: J. Biosci. 1985, 40, 61.

16. Onwosi, C. O.; Odibo, F. J. C.; World J. Microbiol. Biotechnol. 2012, 28, 937.

17. Aparna, A.; Srinikethana, G.; Smitha, H.; Colloids Surf., B 2012, 95, 23.

18. Abbasi, H.; Hamedi, M. M.; Lotfabad, T. B.; Hossein, S.; Zahiri, H. S.; Masoomi F.; Vi-Movahedi, A. A. M.; Ortiz, A.; Amanlou, M.; Noghabi, K. A.; J. Biosci. Bioeng. 2012, 113, 211.

19. Chen, S.; Lu, W.; Wei, Y.; Chen, W.; Chang, J.; Biotechnol. Prog. 2007, 23, 661.

20. Bharali, P.; Konwar, B. K.; Appl. Biochem. Biotechnol. 2011, 164, 1444.

21. Zhu, L.; Yang, X.; Xue, C.; Chen, Y.; Qu, L.; Lu, W.; Bioresour. Technol. 2012, 117, 208.

22. Barber, W. P.; Stuckey, D. C.; Water Resour. 2000, 10, 2413.

23. Mercier, P.; Yerushalmi, L.; Rouleau, D.; Dochain, D.; J. Chem. Technol. Biotechnol. 1992, 55, 111.

24. Biebl, H.; Zeng, A. P.; Deckwer, W. D.; Appl. Microbiol. Biotechnol. 1999, 52, 289.

25. Marquardt, D.; Journal of the Society for Industrial and Applied Mathematics, 1963, 11(2), 431.

26. Abdel-Mawgoud, A. M.; Aboulwafa, M. M.; Hassouna, N. A.; Appl., Biochem. Biotechnol. 2009, 157, 329.

27. Pham, T.H.; Webb, J.S.; Rehm, B.H.A.; Microbiology 2004, 150, 3405.

28. Cooper, D. G.; Goldenberg, B. G.; Appl. Environ. Microbiol. 1987, 53, 224.

29. Rosen, M. J.; Surfactants and interfacial phenomena, 3rd ed., John Wiley & Sons, Inc.: New Jersey, 2004.

30. Pinzon-Gamez, N. M.; Tese de Doutorado, University of Akron, Estados Unidos, 2009.

31. Rodrigues, L.R.; Teixeira, J.A.; Oliveira, R.; Biochemical Engineering Journal 2006, 32, 135.

32. Costa, S.G.V.A.O.; Nitschke, M.; Haddad, R.; Eberlin, M. N.; Contiero, J.; Process Biochem. 2006, 41, 483.

33. Mata-Sandoval, J. C.; Karns, J.; Torrents, A.; J. Chromatogr. A 1999, 864(2), 211.

34. Déziel, E.; Lépine, F.; Dennie, D.; Boismenu, D.; Mamer, O. A.; Villemur, R.; Biochim. Biophys. Acta 1999, 1440, 244.

35. Zhong, H.; Zeng, G. M.; Liu, J. X.; Xu, X. M.; Yuan, X. Z.; Fu, H. Y.; Huang, G. H.; Liu, Z. F.; Ding, Y.; Environ. Biotechnol. 2008, 79, 671.

36. Zhong, H.; Zeng, G. M.; Yuan, X. Z.; Fu, H. Y.; Huang, G. H.; Ren, F. Y.; Environ. Biotechnol. 2007, 77, 447.

37. Helvaci, S. S.; Peker, S.; Özdemir, G.; Colloids Surf., B 2004, 35, 225.

38. Nitschke, M.; Pastore, G. M.; Quim. Nova 2002, 25, 772.

39. Özdemir, G.; Peker, S.; Helvaci, S.S; Colloids Surf., A 2004, 234, 135.

40. Youssef, N.H.; Duncan, K.E.; Nagle, D.P.; Savage, K.N.; Knapp, R.M.; McInerney, M.J.; Journal of Microbiological Methods 2004, 56, 339.

41. Lovaglio, R. B.; Santos, F. J.; Jafelicci Jr., M.; Contiero, J.; Colloids Surf., B 2011, 85, 301.

42. Ishigami, Y.; Gama, Y.; Nagahora, H.; Yamaguchi, M.; Nakahara, H.; Kamata, T.; Chem. Lett. 1987, 16, 763.

43. Pornsunthorntawee, O.; Wongpanit, P.; Chavadej, S.; Abe, M.; Rujiravanit, R.; Bioresour. Technol. 2008, 99, 1589.

44. Raza, Z. A.; Khalid, Z. M.; Khan, M. S.; Banat, I. M.; Rehman, A.; Naeem, A.; Saddique, M. T.; Biotechnol. Lett. 2010, 32, 811.

45. Guo, Y.; Hu, Y.; Gu, R. R.; Lin, H.; J. Colloid Interface Sci. 2009, 331, 356.

On-line version ISSN 1678-7064 Printed version ISSN 0100-4042
Qu�mica Nova
Publica��es da Sociedade Brasileira de Qu�mica
Caixa Postal: 26037 05513-970 S�o Paulo - SP
Tel/Fax: +55.11.3032.2299/+55.11.3814.3602
Free access

GN1