JBCS



14:54, sáb out 25

Acesso Aberto/TP



Artigo


Remoção de compostos fenólicos de soluções aquosas utilizando carvão ativado preparado a partir do aguapé (Eichhornia crassipes): estudo cinético e de equilíbrio termodinâmico
Removal of phenolic compounds from aqueous solutions using activated carbon prepared from water hyacinth (Eichhornia crassipes): kinetic and thermodynamic equilibrium studies

Charles S. Barbosa; Sirlane Aparecida Abreu Santana*; Cícero Wellington Brito Bezerra; Hildo Antonio dos Santos Silva

Departamento de Química, Universidade Federal do Maranhão, Av. dos Portugueses, 1966, Campus do Bacanga, 65080-805 São Luís - MA, Brasil

Recebido em 04/07/2013
Aceito em 06/11/2013
Publicado na web em 03/02/2014

Endereço para correspondência

*e-mail: sirlane@ufma.br

RESUMO

Activated carbon was produced from the water hyacinth (CAA) by impregnation with ZnCl2 (1:2), followed by pyrolysis at 700 ºC, under N2. CAA was used for the adsorption of phenol, m-cresol and o-cresol from aqueous solutions, using batch adsorption. The effects of contact time, pH, temperature and concentration on sorption were investigated. Adsorption capacity, calculated using the Langmuir model proved to be dependent on temperature, reaching values of 163.7, 130.2 and 142.3 mg g-1 for phenol, m-cresol and o-cresol, respectively, at 45 ºC. Thermodynamic data at the solid-liquid interface suggests an endothermic, spontaneous and environmentally-friendly process.

Palavras-chave: activated carbon; adsorption; phenol.

INTRODUÇÃO

Dentre as várias formas de contaminação do meio ambiente, resultantes das diversas atividades industriais, a contaminação da água com compostos orgânicos, tais como os compostos fenólicos, é uma das que tem trazido mais preocupação aos pesquisadores e órgãos governamentais envolvidos no controle de poluição.1

Compostos fenólicos estão presentes em efluentes de diversas indústrias, tais como: refinarias, processamento de carvão de coque, produtos farmacêuticos, plásticos, bem como indústrias de pesticidas, tintas e papel.1,2 Por serem solúveis em água e altamente móveis, podem atingir com rapidez as fontes de água, causando problemas de toxicidade para espécies aquáticas, bem como gosto e odor desagradáveis em águas de abastecimento público, mesmo quando presentes em baixas concentrações. Por esse motivo, estes compostos foram incluídos na lista dos poluentes de risco pela Agência de Proteção Ambiental (EPA).3-5

A fim de abrandar os impactos ambientais causados pelo descarte de fenóis nos corpos receptores, faz-se necessário encaminhar os efluentes contendo esses compostos para o devido processo de tratamento.6 As tecnologias para a remoção de fenóis dos efluentes podem ser divididas em três categorias: biológicas, químicas e físicas.3,7 O processo de adsorção, na categoria de método físico, é geralmente considerado de baixo custo, eficaz e amplamente utilizado para a remoção de poluentes em efluentes industriais. Algumas outras metodologias físicas são também aplicáveis, entretanto com maior eficiência para a remoção de particulados. À adsorção acresce-se a vantagem da remoção de substâncias dissolvidas, como é o caso dos compostos fenólicos.8-10

Diferentes materiais, tais como carvão ativado,11 zeólitos,4,7 argilas12 e outros, têm sido estudados nos processos de adsorção de contaminantes orgânicos. Atualmente, os materiais que apresentam maior capacidade de adsorção, sendo amplamente utilizados para o tratamento de efluentes, são os carvões ativados,13 pois são materiais conhecidos por sua complexa estrutura de poros, elevada área superficial e por apresentarem diversos grupos funcionais na superfície, contendo oxigênio, que favorecem a adsorção.14,15 No entanto, o custo elevado das matérias-primas utilizadas na produção de carvões ativados tem limitado o uso extensivo destes adsorventes.16

Nesse sentido, existe um crescente interesse na busca de materiais alternativos de baixo custo que possam ser utilizados na produção de carvão ativado. Algumas biomassas, tais como resíduos florestais, agrícolas, sólidos urbanos e plantas, que podem ser utilizados como precursores de carvão ativado, vêm se destacando na literatura.17,18 A escolha do material a ser ativado depende, sobretudo, da sua pureza, preço, disponibilidade e potencial de ativação.19

Neste trabalho, o carvão ativado foi produzido a partir do aguapé (Eichhornia crassipes), utilizando o método de ativação química com cloreto de zinco. O ZnCl2 foi escolhido por ser um dos ativantes mais empregados, capaz de conferir maior rendimento ao processo, inibindo a formação do alcatrão, de imprimir uma menor temperatura de pirólise e uma maior área específica, devido às suas ações desidratante e eletrolítica, contribuindo para a quebra das ligações laterais da celulose, maior espaçamento estrutural e melhor formação porosa.20-22 Após a caracterização da superfície foi investigada a habilidade do material produzido para a remoção de compostos fenólicos em meio aquoso, em diferentes condições de pH, tempo, concentração e temperatura.

Os ensaios cinético e de equilíbrio termodinâmico foram realizados em batelada. Esse regime permite avaliar isoladamente a influência de diversos parâmetros e, no caso de sistemas multicomponentes, a partir das isotermas, a competição dos contaminantes por sítio ativo do adsorvente. Estudos iniciais em regime de batelada são úteis para simulação das melhores condições operacionais de uma coluna de adsorção em leito fixo, bem como para a definição das melhores condições de dessorção, a qual com a promove a regeneração do leito e permite a sua reutilização.23,24 Alguns experimentos em reatores batelada, tais como o estudo da influência do pH, das melhores proporções de reagentes que garantam a melhor dessorção, devem ser realizados antes de partir para os ensaios de regeneração na coluna.23

 

PARTE EXPERIMENTAL

Adsorvatos

Soluções estoque (1000 mg L-1) de fenol, m-cresol e o-cresol, (Merck), foram preparadas em água destilada. As soluções de diferentes concentrações dos fenóis usadas nos experimentos foram obtidas a partir de diluições da solução estoque.

Preparação do material a ser carbonizado

O aguapé utilizado como adsorvente nos experimentos foi obtido no município de São Luís (MA). Após procedimento de moagem, lavagem para retirada de compostos solúveis em água e secagem em estufa a 60 ºC, as partículas foram peneiradas e separadas na faixa granulométrica compreendida entre 0,088 < x < 0,590 mm, sendo este o material in natura.

Preparação do carvão

O adsorvente in natura foi impregnado com ZnCl2 na proporção de 1:2 (massa do cloreto de zinco por massa de material) e mantido sob agitação por 24 h numa mesa agitadora orbital modelo OXY-305 na rotação de 120 rpm. Neste processo ocorrem as reações entre a matéria-prima e o agente ativante modificando a estrutura do material. O material impregnado, após filtração e secagem em estufa à 110 ºC, foi colocado em um forno rotativo elétrico da EDG-Equipamentos modelo EDG10P-S e a temperatura foi elevada até 700 ºC, numa taxa de aquecimento de 7 ºC min-1, com tempo de residência de 60 min, sob fluxo de nitrogênio gasoso (N2) durante todo o processo de carbonização. Após este processo, o material obtido foi lavado com solução de HCl (2,0 %) para retirar o excesso de reagente,20,21 passando a ser denominado carvão ativado de aguapé (CAA).

Caracterização do carvão ativado

A área superficial foi determinada em um porosímetro da MICROMERITICS, modelo ASAP 2010.25 Teores de C, H e N foram detectados em um aparelho Perkin Elmer, modelo 2400, em função das condutividades térmicas, convertidas, por cálculos estequiométricos, em porcentagens de C, H, e N na amostra.26 A identificação dos grupos funcionais foi feita por espectroscopia na região do infravermelho, em pastilhas de KBr, com transformada de Fourier (FTIR) em aparelho da marca IRPrestige-21, SHIMADZU.27

Determinação do pHPZC

Quantidades de 100,0 mg do adsorvente foram adicionadas a 25 mL de solução de KCl (0,1 mol L-1), com valores de pH variando de 1 a 12, ajustados com soluções diluídas de HCl ou NaOH. Os sistemas foram mantidos sob agitação constante durante 24 h, a 25 ºC. Em seguida foram centrifugados e determinados os valores de pH final com um pHmetro TECNAL, modelo TEC - 3MP. A diferença entre o pH inicial e final foi calculada (ΔpH= pHi - pHf) e um gráfico da ΔpH em função do pHi foi construído. O valor de pH onde ΔpH=0 é chamado ponto zero de carga (pHPZC).28

Determinação dos grupos ácidos

O método de titulação Boehm foi usado para identificar e quantificar os grupos funcionais oxigenados da superfície do carvão ativado.29 Inicialmente, 0,5 g do CAA foi colocado, separadamente, em 25 mL de solução de hidróxido de sódio (0,1 mol L-1), de carbonato de sódio (0,05 mol L-1) e de bicarbonato de potássio (0,05 mol L-1). Os frascos fechados foram agitados à temperatura ambiente durante 24 h. Em seguida, cada solução foi filtrada e o excesso de base foi titulado com HCl (0,1 mol L-1). O número de grupos ácidos foi calculado sob o pressuposto de que o NaOH reage com grupos carboxílicos, lactônicos e fenólicos, Na2CO3 reage com os grupos carboxílicos e lactônicos e KHCO3 reage apenas com grupos carboxílicos.16,30

Estudos de adsorção

Foram realizados estudos variando o pH inicial das soluções fenólicas, com o objetivo de avaliar o efeito deste parâmetro na adsorção. Amostras de 100 mg do CAA foram colocadas em contato com 25 mL das soluções dos adsorbatos a 500 mg L-1, com valores de pH ajustados numa faixa de 2 a 11 com soluções diluídas de HCl ou NaOH, sob agitação constante de 120 rpm a 25 ºC, por 24 h, em um agitador modelo OXY-305.

Conhecido o melhor pH, o estudo cinético foi realizado com o objetivo de determinar o tempo de equilíbrio, variando-se o tempo de contato entre 5 a 900 min para soluções fenólicas de concentrações 300 mg L-1. Os dados experimentais obtidos foram ajustados às equações cinéticas de pseudo-primeira ordem, pseudo-segunda ordem e Elovich.

A verificação da concentração no equilíbrio foi realizada pela adição de 100,0 mg do adsorvente em 25 mL de solução dos compostos fenólicos, com concentrações iniciais variando entre 150 a 1000 mg L-1, em agitação constante, pH 10 e nos respectivos tempos de equilíbrio. A fim de avaliar o efeito da temperatura no processo de adsorção, as isotermas foram realizadas a 10, 25, 35 e 45 ºC. Os dados das isotermas foram aplicados aos modelos de Langmuir e Freundlich.31

Todos os ensaios foram realizados em bateladas, em triplicata e, após centrifugação, as concentrações residuais foram determinadas em um espectrofotômetro UV-visível Shimadzu 2550 nos comprimentos de onda de λ = 270, λ = 272 e λ = 272 para fenol, m-cresol e o-cresol, respectivamente. As quantidades adsorvidas por grama de adsorvente foram obtidas pela equação 1:

 

 

onde qe (mg g-1) é a quantidade adsorvida pelo carvão, Ci e Cf (mg L-1) são as concentrações inicial e final do composto fenólico em equilíbrio na fase aquosa, respectivamente, V (L) é o volume desta solução e m (g) é a massa do material utilizado (CAA).

 

RESULTADOS E DISCUSSÃO

Área superficial BET

O carvão ativado obtido a partir de aguapé apresentou área superficial (BET) igual a 640 m2 g-1, podendo ser comparado a outros tipos de carvão encontrados na literatura, como mostra a Tabela 1.

 

 

Os valores de área superficial de carvões ativados encontrados na literatura estão na faixa de 200 a 1500 m2 g-1. Como pode ser observado, o valor de área superficial do CAA utilizado é relativamente alto e pode ter grande influencia na adsorção, pois, normalmente, grandes áreas superficiais significam alta adsorção de compostos orgânicos.

A adsorção de compostos fenólicos em carvão ativado, então, está usualmente relacionada à área superficial dos carvões e, assim, ela é um importante atributo na seleção de adsorvente para os processos de separação.

Análise elementar

Os resultados obtidos por análise elementar para amostras de aguapé in natura (C: 39,58%, H: 5,48%, N: 1,06%) e na forma de carvão ativado (C: 68,77%, H: 2,07%, N: 3,50%) indicam que houve um aumento acentuado no percentual de carbono. Isso se deve ao fato da carbonização do material, processo que consiste no tratamento térmico (pirólise) do precursor a temperatura de 700 ºC, ser uma etapa da produção do carvão ativado onde ocorre a liberação de compostos voláteis ricos em oxigênio e hidrogênio, produzindo com isso um material com alto teor de carbono.35

Ponto zero de carga (pHPZC)

A determinação do ponto zero de carga (pHPZC) do material fornece uma significante contribuição no estudo de adsorção, pois é uma informação útil sobre o comportamento das cargas na superfície do adsorvente em função do pH do meio, bem como o grau de ionização das espécies do adsorvato.3 A superfície do CAA é protonada em pH menor que o pHPZC, que é de 5,4, favorecendo a adsorção de compostos com carga negativa, e desprotonada para pH maior que o pHPZC, favorecendo o comportamento oposto.28 Desta forma, espera-se que a adsorção dos fenóis se dê em pH acima do pHPZC, pois nessa faixa as interações entre os fenóis e a superfície do CAA podem estar sendo favorecidas pela contribuição dos grupos desprotonados devido ao efeito de ressonância.

Espectroscopia vibracional na região do infravermelho (FTIR) e determinação de grupos ácidos pelo Método de Boehm

O espectro de infravermelho do carvão ativado e os resultados da análise pelo método de Boehm estão apresentados na Figura 1 e Tabela 2, respectivamente. De acordo com a Figura 1, as principais bandas foram observadas nos seguintes números de onda: entre 3500 e 3300 cm-1, associadas a grupos OH ligados intermolecularmente, podendo ser provenientes de umidade, e uma banda na faixa de 1650 a 1500 cm-1, em associação com a presença de grupos CH2 e CH3 e/ou referente à deformação de OH proveniente de grupos fenólicos.18

 


Figura 1. Espectro de infravermelho do CAA em pastilha de KBr

 

 

 

A associação de bandas com a presença de grupos contendo oxigênio confirma as determinações pela titulação de Boehm (Tabela 2), onde se verificou que os grupos funcionais presentes em maior quantidade na superfície do CAA foram os fenólicos (1,175 mmol g-1) e os lactônicos (0,450 mmol g-1). Tais resultados confirmam o caráter anfótero do carvão ativado produzido por ativação por cloreto de zinco a partir do aguapé, que apresentou pHPZC de 5,4.

De acordo com os resultados da titulação de Boehm (Tabela 2), a amostra de CAA apresenta as percentagens relativas aos grupos ácidos de acordo com a ordem fenólicos > lactônicos > carboxílicos.

Estudo do pH

A Figura 2 mostra que a adsorção é favorecida pelo aumento do pH até 10, enquanto que para pH 11 ocorre uma queda significativa de qe. O mesmo foi observado por Guilarduci et al.,36 que propuseram uma explicação com base nos efeitos da carga superficial do CAA na interação com o fenol em meio aquoso, na qual tanto as interações π-π como a formação de complexos tipo doador-receptor entre o fenol e o CAA podem ser afetadas pelas cargas superficiais.

 


Figura 2. Influência do pH na adsorção de fenol, m-cresol, o-cresol por carvão ativado obtido de aguapé em meio aquoso

 

A carga da superfície do adsorvente e o grau de ionização dos adsorbatos são fortemente afetados pelo pH das soluções aquosas, por isso a adsorção dos fenóis pelo CAA depende do pH da solução. Em pH abaixo do pHPZC, cargas positivas vão se formando na superfície devido à protonação dos grupos básicos e ácidos, enfraquecendo as interações e aumentando a afinidade com o solvente. Os grupos ácidos identificados pela titulação de Boehm e pelo espectro de infravermelho encontram-se protonados, aumentando o caráter hidrofílico da superfície. Em pH acima do pHPCZ os grupos ácidos da superfície do CAA vão se tornando ionizados e ficam disponíveis para formar complexos do tipo doador-receptor com os fenóis. Além disso, o aumento do pH provoca a ionização do grupos lactonas (pH ≈ 7,0) e fenólicos (pH ≈ 10) e o plano basal é desprotonado, liberando sítios para a ligação π-π entre Fenóis e CAA.36 Esta análise corrobora com aquela feita por Liu et al.,8 que estabelece que as principais formas de interação entre fenol e CAA são por meio da ligação entre os elétrons do sistema-ϖ, das camadas grafíticas do carvão e do anel aromático dos fenóis e através da formação de um complexo do tipo doador-receptor, ocorrendo entre os grupos superficiais do carvão e o grupo OH do fenóis.

Cinética de adsorção

A análise da Figura 3 indica que a adsorção é mais rápida nos estágios iniciais e mais lenta próxima ao equilíbrio e que cerca de 88 % dos compostos são adsorvidos no período de 2 h. Isto se verifica porque, no início, há uma grande quantidade de sítios vazios para a adsorção. Com o decorrer do tempo, o número de sítios vazios diminui e começa a haver também a presença das forças repulsivas das moléculas dos fenóis já adsorvidas, o que dificulta o processo de adsorção nos sítios restantes.3 O tempo de equilíbrio é na ordem de 400 min para todos os compostos.

 


Figura 3. Efeito do tempo de contato na adsorção dos fenóis sobre CAA. Concentração inicial = 300 mg L-1; massa de carvão = 0,100 g; agitação = 120 rpm; volume = 25 mL

 

Para avaliar a cinética de adsorção, os dados experimentais foram ajustados aos modelos de pseudoprimeira ordem,32,37 pseudo-segunda ordem32,38 e de Elovich,39,40 representados pela equações 2, 3 e 4, respectivamente.

 

 

 

 

 

 

nas quais qe e qº são a capacidade de adsorção (mg g-1), no equilíbrio e no tempo t, respectivamente, e k1 é a constante de velocidade (L min-1) do modelo cinético de pseudoprimeira ordem; k2 é a constante de velocidade de pseudo-segunda ordem (g mg-1 min-1), α (mg g-1 min-1) é a taxa de adsorção inicial e o parâmetro β (g mg-1) está relacionada com a extensão da cobertura da superfície e da energia de ativação para quimissorção.

Na Tabela 3 são apresentados os parâmetros obtidos a partir da aplicação dos modelos cinéticos aos resultados experimentais, bem como os valores da quantidade dos compostos fenólicos adsorvido no equilíbrio (qe).

 

 

Correlacionando os dados experimentais aos modelos cinéticos citados anteriormente observa-se que os valores de qe calculados (qe,cal) tiveram uma boa concordância com os valores de qe experimentais (qe,exp), para ambos os modelos de pseudoprimeira e pseudo-segunda ordem. Apesar disso, o modelo de pseudo-segunda ordem se ajustou melhor aos dados experimentais para os três compostos, uma vez que o coeficiente de correlação foi o maior (R2 > 0,94). Schneider et al. 41 realizaram testes cinéticos com os compostos p-cresol, m-cresol, hidroquinona e fenol em meio aquoso e mostraram que a cinética de adsorção desses compostos sobre carvão ativado do endocarpo do coco foi melhor representado pelo modelo de pseudo-segunda ordem.

Isotermas de adsorção

As isotermas de equilíbrio traduzem a relação entre a quantidade de um soluto adsorvido a uma temperatura constante e a sua concentração na solução de equilíbrio. O estudo também visa à determinação da capacidade máxima de adsorção do adsorvente utilizado.42

As isotermas de adsorção do fenol, m-cresol e o-cresol foram determinadas construindo-se o gráfico da concentração de equilíbrio em função das quantidades adsorvidas (Figura 4), a partir dos resultados obtidos em quatro temperaturas diferentes (10, 25, 35 e 45 ºC), empregando-se soluções com concentrações que variaram de 150 a 1000 mg L-1.

 


Figura 4. Curvas de adsorção de fenol (a), m-cresol (b) e o-cresol (c) frente ao CAA em meio aquoso, em pH= 10

 

Para estabelecer a correlação mais adequada para as curvas de equilíbrio e estimar os parâmetros das isotermas, os dados experimentais foram ajustados aos modelos de Langmuir e Freundlich, usando as equações não lineares. A isoterma de Langmuir propõe um mecanismo de adsorção em superfícies homogêneas, assumindo a uniformidade da superfície dos adsorventes e que todos os sítios ativos de adsorção são energeticamente idênticos. O modelo de Langmuir6,42 é descrito pela Equação 5:

 

 

sendo qe a quantidade de soluto adsorvido por unidade de massa de adsorvente (mg g-1), Ce a concentração no equilíbrio do soluto em solução (mol L-1), qmáx o parâmetro que representa capacidade de adsorção na monocamada (mg g-1) e KL a constante de Langmuir, parâmetro relacionado com a energia de adsorção e dependente da temperatura (L mol-1).

A isoterma de Freundlich5,43 foi obtida empiricamente e tem apresentado bons resultados em superfícies heterogêneas como os carvões ativados. A forma não linearizada é expressa pela Equação 6:

 

 

na qual KF e n são constantes relacionadas à capacidade de adsorção e intensidade de adsorção, respectivamente, e são características para cada sistema. O expoente n, quando no intervalo de 1 a 10, representa condições favoráveis de adsorção.

A Tabela 4 apresenta os parâmetros das isotermas e a qualidade do ajuste para a adsorção dos compostos fenólicos em todas as temperaturas estudadas.

 

 

Para o cálculo da capacidade máxima de adsorção dos compostos fenólicos foi utilizado o modelo de isoterma de Langmuir, que apresentou as quantidades máximas de adsorção na monocamada de 163,7, 130,2 e 142,3 mg g-1 para o fenol, m-cresol e o-cresol respectivamente, obtidos a 45 ºC.

Contudo, a julgar pelos valores do coeficiente de determinação (R2 > 0,97) apresentados na Tabela 4, o modelo de Freundlich foi o que apresentou o melhor ajuste aos dados experimentais de equilíbrio, sugerindo que a adsorção dos três compostos fenólicos estudados ocorreu em sítios heterogêneos e não específicos do carvão ativo.

O mesmo foi observado por Ayranci Erol,6 que realizou testes de adsorção dos compostos, p-nitrofenol, p-cresol, m-cresol, hidroquinona e fenol sobre carvão ativo em meio aquoso e observou que a isoterma de Freundlich foi a que melhor se ajustou aos dados experimentais.

Embora os compostos fenólicos sejam de ocorrência natural, a grande maioria destes compostos presente nos recursos hídricos é de origem antropogênica. Diversos são os níveis de ocorrência e as fontes de contaminação destes compostos fenólicos, e dentre estas fontes podemos destacar as refinarias de petróleo, as indústrias de tintas, poupas e papel, as indústrias de plásticos e sintéticos, as indústrias farmacêuticas e de fundição, os pesticidas, os laboratórios de análises, processos de queima de madeira, combustíveis fósseis, etc.44

As capacidades de adsorção aqui observadas (144 mg g-1; 123 mg g-1 e 124 mg g-1 para o fenol, o m-cresol e o o-cresol, respectivamente), a 25 ºC, sugerem o emprego destes materiais a uma série de efluentes, como é o caso das industrias de fundição, cuja quantidade máxima permitida de compostos fenólicos nas areias dispensadas45 é de 80 mg g-1, e em efluentes de industrias de resinas fenólicas, cujo nível de ocorrência do fenol é da ordem de 122 mg L-1, conforme determinado por Rengaraj et al. 46 Para este último caso os autores empregaram um carvão preparado a partir de tegumento da semente de palma, além de uma amostra de carvão comercial, para o tratamento deste efluente e de uma amostra padrão de fenol. Para ambos os casos o carvão produzido foi mais efetivo que o disponível comercialmente. Concluíram também que capacidade dos sólidos removerem o fenol era maior na amostra padrão que para o efluente, em função da concorrência pelos sitios disponíveis dos adsorventes de outros compostos presentes na matriz. Considerando os valores numéricos apresentados pelos autores para o máximo de adsorção do fenol da amostra padrão e em condições otimizadas, 72 mg g-1 para o carvão preparado e 27 mg g-1 para o carvão ativo comercial, observa-se que o sólido aqui preparado apresenta uma capacidade relativa de remoção maior, implicando em uma maior eficiência na remoção.

Parâmetros termodinâmicos

Os parâmetros termodinâmicos para os processos de adsorção, tais como energia de Gibbs (ΔGº), entalpia (ΔHº) e entropia (ΔSº) de adsorção foram determinados a partir dos experimentos realizados em quatro diferentes temperaturas, usando-se as equações 7, 8 e 9:47

 

 

 

 

 

 

nas quais qe é a quantidade adsorvida (mg g-1), qemáx representa a quantidade máxima adsorvida em cada temperatura (mg g-1), Ceq é a concentração de equilíbrio do adsorbato (mol L-1), T é a temperatura do sistema adsortivo (K), Keq e R são as constantes de equilíbrio derivada das isotermas a 10, 25, 35 e 45 ºC e dos gases (8,314 J K-1 mol-1), respectivamente.

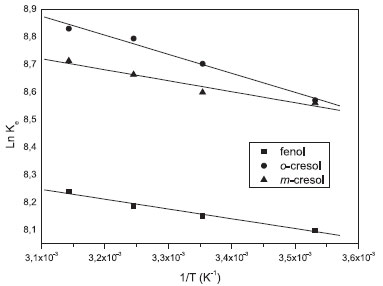
Os valores de ΔHº e ΔSº foram obtidos a partir da inclinação e do intercepto da reta lnKeq x 1/T (Figura 5), fazendo-se uso da Equação de van't Hoff. Os valores de ΔGº foram calculados a partir dos resultados obtidos nas isotermas de adsorção nas várias temperaturas (10, 25, 35 e 45 ºC).

 


Figura 5. Gráfico de Van't Hoff

 

Os resultados para os parâmetros termodinâmicos da adsorção dos compostos fenólicos em CAA são listados na Tabela 5. Valores negativos de ΔGº são obtidos em todas as temperaturas, revelando a natureza espontânea da adsorção, sendo que quanto mais negativo o valor de ΔGº, mais energeticamente favorável é o processo. Além disso, o aumento da temperatura de 10 para 45 ºC provocou a diminuição de ΔGº para processo, ou seja, favoreceu a adsorção e, consequentemente, aumentou a quantidade adsorvida. O sinal positivo de ΔHº indica que a adsorção dos fenóis em CA obtido a partir de aguapé é um processo endotérmico, os valores são da ordem de uma adsorção física. Os valores positivos de ΔSº encontrados representam um aumento na aleatoriedade do sistema durante o processo de adsorção.42

 

 

CONCLUSÃO

A área superficial do material ativado com cloreto de zinco foi elevada (640 m2 g-1) e sua superfície caracteriza-se especialmente por grupos fenólicos e lactonas, concordante com uma superfície anfótera, pHPZC = 5,4. O processo de adsorção mostrou-se dependente do pH do meio, apresentando o melhor valor em pH 10,0, podendo estar sendo favorecida pela contribuição dos grupos desprotonados devido ao efeito de ressonância, porém, em geral, o mecanismo de adsorção de fenóis em meio alcalino é complexo, podendo envolver outros fatores. A cinética de adsorção segue a um mecanismo de pseudo-segunda ordem e o modelo teórico de Freundlich foi o mais adequado aos resultados das isotermas descritas, indicando possivelmente adsorções do tipo fisissorção. As capacidades máximas de adsorção do CAA, segundo o modelo de isoterma de Langmuir, foram 163,7, 130,2 e 142,3 mg g-1 para o fenol, m-cresol e o-cresol respectivamente, a 45 ºC. Os parâmetros termodinâmicos apresentados indicaram que a adsorção dos compostos fenólicos sobre o carvão ativado aqui preparado é um processo espontâneo, endotérmico e tem tendência à desordem. Os resultados experimentais indicaram que o carvão ativado preparado a partir da biomassa aguapé apresenta-se como uma alternativa viável para o tratamento de efluentes contendo fenóis, possuindo vantagens como disponibilidade, alta capacidade adsortiva, baixo custo e por ser renovável.

 

AGRADECIMENTOS

C. S. Barbosa agradece à CAPES pela concessão da bolsa de mestrado, e os demais autores agradecem à FAPEMA pelo suporte financeiro.

 

REFERÊNCIAS

1. Beker, U.; Batchimeg, G; Halil, D.; Dilek, D. G.; Energy Convers. Manage. 2010, 51, 235.

2. Girods, P.; Dufour, A.; Fierro, V.; Rogaume, Y.; Rogaume, C.; Zoulalian, A.; Celzard, A.; J. Hazard. Mater. 2009, 166, 491.

3. Srivastava, V. C.; Swamy, M. M.; Mall, I. D.; Basheswar, P.; Mishra, I. M.; Colloids Surf., A 2006, 272, 89.

4. Rushdi, I. Y; Bassam, El-E.; Ala'a, H. A.; J. Chem. Eng. 2011, 171, 1143.

5. Hameed, B.H.; Rahman, A. A.; J. Hazard. Mater. 2008, 160, 576.

6. Ayranci, E.; Duman, O.; J. Hazard. Mater. 2005, 124, 125.

7. Damjanovic, L.; Vesna, R.; Vladislav, R.; Dusan, S.; Auroux, A.; J. Hazard. Mater. 2010, 184, 477.

8. Liu, Q. S.; Zheng, T.; Wang, P.; Jiang, J. P.; Nan, L.; J. Chem. Eng. 2010, 157, 348.

9. Lin, S. H.; Juang, R. S.; J. Environ. Manage. 2009, 90, 1336.

10. Kunz, A.; Zamora, P.-P.; Moraes, S. G.; Durán, N.; Quim. Nova 2002, 25, 78.

11. Ozkaya, B.; J. Hazard. Mater. 2006, 129, 158.

12. Hameed, B. H.; Colloids Surf., A 2007, 307, 45.

13. Bahri, M. A.; Calvo, L.; Gilarranz, M.A.; Rodriguez, J. J.; J. Chem. Eng. 2012, 203, 348.

14. Yang, J.; Qiu, K.; J. Chem. Eng. 2011, 167, 148.

15. Shaarani, F. W.; Hameed, B. H.; Desalination 2010, 255, 159.

16. Fan, J.; Zhang, J.; Zhang, C.; Ren, L.; Shi, Q.; Desalination 2011, 267, 139.

17. Dursun, G.; Handan, C.; J. Hazard. Mater. 2005, 125, 175.

18. Tang, Y.; Qiang, L.; Fang-yan, C.; J. Chem. Eng. 2012, 203, 19.

19. Bahri, M. A.; Calvo, M. A.; Gilarranz, J. J.; J. Chem. Eng. 2012, 203, 348.

20. Uçar, S.; Erdem, M.; Tay, T.; Karagoz, S.; Appl. Surf. Sci. 2009, 255, 8890.

21. Zabihi, M.; Haghighi, A. A.; Ahmadpour, A.; J. Hazard. Mater. 2010, 174, 251.

22. Cruz Junior, O. F.; Dissertação de mestrado, Universidade Tecnológica Federal do Paraná, Brasil, 2010.

23. Luz, A. D.; Arruda, S. M.; Sousa, G. U.; Luz, C.; Rezende, R. V. P.; Souza, A. A. U.; Ind. Eng. Chem. Res. 2013, 52, 7896.

24. Vasques, A. R.; Souza, S. M. A. G. U.; Valle, J. A. B.; Souza, A. A. U.; J. Chem. Technol. Biotechnol. 2009, 84. 1146.

25. Wang, Z.; Nie, E.; Zhao, Y.; Luo, X.; J. Hazard. Mater. 2011, 188, 29.

26. Denga, H.; Guoxue, L.; Yang, H.; Tang, J.; Tang, J.; J. Chem. Eng. 2010, 163, 373.

27. Tang, Y.-B.; Qiang, L.; Chen, F.-B.; J. Chem. Eng. 2012, 203, 19.

28. Vieira, A. P.; Santana, S. A. A.; Bezerra, C. W. B.; Santos, H. A. S.; Melo, J. C. P.; J. Chem. Eng. 2010, 161, 99.

29. Boehm, H. P.; Carbon 1994, 32, 759.

30. Fierro, V.; Torne, V. F.; Montane, D.; Celzard, A.; Microporous Mesoporous Mater. 2008, 111, 276.

31. Santana, S. A. A.; Vieira, A. P.; Filho, E. C.; Melo, J. C. P.; Airoldi, C.; J. Hazard. Mater. 2010, 174, 714.

32. Altenor, S.; Carene, B.; Emmanuel, E.; Lambert, J.; Ehrhardt, J. J.; Gaspard, S.; J. Hazard. Mater. 2009, 165, 1029.

33. Rashwan, W. E.; Girgis, B. S.; Adsorpt. Sci. Technol. 2004, 22, 3.

34. Singh, K. P.; Malik, A.; Sinha, S.; Ojha, P.; J. Hazard. Mater. 2008, 150, 626.

35. Ramos, P. H.; Guerreiro, M. C.; Resende, E. C.; Gonçalves, M.; Quim. Nova 2009, 32, 1139.

36. Guilarduci, V. V. S.; Mesquita, J. P.; Martelli, P. B.; Gorgulho, H. F. Quim. Nova 2006, 29, 1226.

37. Rossiter, O. S. R.; Nascimento, G. E.; Campos, N. F.; Lins, V. S.; Menezes, M. M. B. D.; Quim. Nova 2012, 35, 1369.

38. Rahchamani, J.; Mousavi, H. Z.; Behzad, M.; Desalination 2011, 267, 256.

39. Debrassi, A.; Tonelli, M. C. L.; Rodrigues, C. A. Quim. Nova 2011, 34, 764.

40. Subramanyam, B.; Das, A.; Desalination 2009, 249, 914.

41. Schneider, E. L.; Dissertação de mestrado, Universidade Estadual do Oeste do Paraná, Brasil, 2008.

42. Yousef, R. I.; Bassam, E.-E.; Al-Muhtaseb, A. H.; J. Chem. Eng. 2011, 171, 1143.

43. Tavares, M. H. P.; Lemos, V. P.; Fernandes, K. G. D.; Quim. Nova 2013, 36, 272.

44. Michalowicz, J.; Duda, W.; Pol. J. Environ. Stud. 2007, 16, 347.

45. Cunha, A. B.; Dissertação de mestrado, Universidade Federal do Rio Grande do Sul, Escola de Engenharia, Brasil, 2005.

46. Rengaraj, S.; Moon, S.-H.; Sivabalan, R.; Arabindoo, B.; Murugesan, V.; Waste Manage. 2002, 22, 543.

47. Wang, L.; Li, J.; Ind. Crops Prod. 2013, 42, 153.

On-line version ISSN 1678-7064 Printed version ISSN 0100-4042
Qu�mica Nova
Publica��es da Sociedade Brasileira de Qu�mica
Caixa Postal: 26037 05513-970 S�o Paulo - SP
Tel/Fax: +55.11.3032.2299/+55.11.3814.3602
Free access

GN1