JBCS



14:54, sáb out 25

Acesso Aberto/TP



Artigo


Otimização e validação da extração sólido-líquido e purificação em baixa temperatura de HPAs em lodo de esgoto
Optimization and validation of solid-liquid extraction and purification at low temperature of PAHs in sewage sludge

Érica Soares Barbosa; Gabriela Fonseca Evangelista; Emanuella Mesquita Pimenta; Flaviano Oliveira Silvério*; Gevany Paulino de Pinho

Instituto de Ciências Agrárias, Universidade Federal de Minas Gerais, 39404-547 Montes Claros - MG, Brasil

Recebido em 04/06/2013
Aceito em 27/10/2013
Publicado na web em 03/02/2014

Endereço para correspondência

*e-mail: flavianosilverio@ufmg.br

RESUMO

In this study, a method of solid-liquid extraction and purification at low temperature (SLE-PLT) to determine 16 polycyclic aromatic hydrocarbons (PAHs) in sewage sludge was optimized and validated. The analyses were performed by HPLC-UV. The extraction phase, homogenization procedure, influence of pH, ionic strength and clean-up of the extracts were optimized. Recoveries were higher than 63.4% for 11 PAHs. The correlation coefficients were greater than 0.99 and limits of detection and quantitation were less than 0.060 and 0.15 µg g-1, respectively. These values were lower than the maximum residue limits of PAHs established by European legislation. SLE-PLT proved a more practical, economical method with fewer steps compared to Soxhlet extraction (reference method) for PAHs in sewage sludge.

Palavras-chave: biosolids; SLE-PLT; extraction methods.

INTRODUÇÃO

Lodo de esgoto é o resíduo sólido gerado após o tratamento das águas residuárias nas Estações de Tratamento de Esgoto (ETEs).1,2 Este material pode ser utilizado na agricultura como complemento de fertilizantes ou condicionador de solos agrícolas, pois apresenta elevado conteúdo de material orgânico, bem como elementos essenciais às plantas como nitrogênio e fósforo.3 No entanto, quando utilizado de forma arbitrária pode causar problemas ambientais, devido à presença de patógenos, metais de alta densidade (pesados) e contaminantes orgânicos como os Hidrocarbonetos Policíclicos Aromáticos (HPAs).4,5

Estes compostos apresentam elevada persistência no solo, baixa biodegradabilidade e alta lipofilicidade. São considerados prejudiciais à biota e carcinogênicos para os seres humanos.6 Apesar de existirem centenas de HPAs, a Agência de Proteção Ambiental Americana (EPA) classifica 16 HPAs como prioritários. Essa classificação inclui os HPAs potencialmente cancerígenos ou mutagênicos e também alguns HPAs que aumentam as respostas dos HPAs carcinogênicos.6-8

Entre as normas internacionais de monitoramento destes compostos, a mais adotada é a da União Europeia que define 6 mg kg-1 de massa seca, a concentração máxima aceitável de 11 HPAs em lodo de esgoto.9-11 No Brasil, a resolução 375 do Conselho Nacional do Meio Ambiente (CONAMA, 2006)5 estabelece concentrações máximas toleráveis para seis HPAs em solos condicionados com lodo de esgoto: benzo[a]antraceno (0,025 mg kg-1), benzo[a]pireno (0,052 mg kg-1), benzo[k]fluoranteno (0,38 mg kg-1), indeno[1,2,3-c,d]pireno (0,031 mg kg-1), naftaleno (0,12 mg kg-1) e fenantreno (3,3 mg kg-1).

Diante disso, o primeiro passo para análises dessas substâncias em lodo de esgoto é o desenvolvimento da técnica de extração. Esta etapa visa remover seletivamente e pré-concentrar os HPAs do lodo de esgoto.10,12 As principais técnicas existentes são a extração em Soxhlet (método de referência),1,2,12 ultrassom,13-15 agitação mecânica,15 fluido supercrítico,16 solvente pressurizado10,17 e micro-ondas.2,12

Apesar do elevado número de técnicas existentes, a extração sólido-líquido e purificação em baixa temperatura (ESL-PBT) tem se apresentado como uma alternativa para extração de contaminantes em diversas matrizes e ainda não foi avaliada para análises de HPAs em lodo de esgoto.18 Esta técnica consiste na adição de uma fase orgânica extratora à amostra sólida, homogeneização do sistema e o abaixamento da temperatura (-18 ºC) para congelamento da matriz. A principal vantagem dessa técnica é a remoção de interferentes pelo congelamento da amostra com a fase aquosa, enquanto os contaminantes de interesse são extraídos pela fase orgânica líquida.18-20

As análises desses extratos são realizadas por cromatografia líquida de alta eficiência (CLAE) com detecção no ultravioleta (UV) e fluorescência,6 conforme recomendado pela Agência de Proteção Ambiental Americana (EPA) (método 8310).

Por isso, este trabalho teve como objetivos otimizar e validar a técnica de extração sólido-líquido com purificação em baixa temperatura (ESL-PBT) de 16 HPAs em amostras de lodo de esgoto. Esses compostos foram analisados por cromatografia líquida de alta eficiência com detector de ultravioleta (CLAE-UV).

 

PARTE EXPERIMENTAL

Amostras de lodo

Amostras de lodo de esgoto utilizadas para otimizar a técnica foram obtidas do leito de secagem da estação de tratamento de esgoto de Juramento (MG, Brasil), que recebe apenas águas residuais de origem urbana. As amostras foram peneiradas em tamis com tela de 1 mm e, em seguida, armazenadas na geladeira em frascos de vidro com tampa.

A umidade do lodo de esgoto foi determinada por gravimetria após secagem de 2,0000 g da amostra em estufa a 105 ºC até massa constante. O teste foi realizado com cinco repetições.

Reagentes e soluções

Soluções padrão estoque, de concentração 500 mg L-1, foram preparadas individualmente. Entre os 16 HPAs, sete com grau de pureza superior a 91,4% (m/m) foram preparados em acetonitrila: acenafteno (Ace), acenaftileno (Aceti), antraceno (Ant), fenantreno (Fen), fluoranteno (Flt), naftaleno (Naf) e pireno (Pir), e nove com grau de pureza superior a 96,0% (m/m) foram preparados em diclorometano: benzo[a]antraceno (BaA), benzo[a]pireno (BaP), benzo[b]fluoranteno (BbF), benzo[g,h,i]perileno (BghiP), benzo[k]fluoranteno (BkF), criseno (Cri), dibenzo[a,h]antraceno (DBA), fluoreno (Fluo) e indeno[1,2,3-c,d]pireno (InP).

As soluções estoques foram diluídas com acetonitrila para preparar a solução de trabalho contendo 5,0 mg L-1 de acenafteno e 25,0 mg L-1 para os demais HPAs. Soluções padrão foram estocadas em frascos âmbar a 4 ºC no refrigerador para evitar fotodegradação.4

Os 16 padrões de HPAs foram obtidos da Sigma-Aldrich (St. Louis, USA). Acetonitrila, metanol, isopropanol, diclorometano e acetato de etila grau CLAE-UV foram obtidos da Vetec (Rio de Janeiro, Brasil). Cloreto de sódio anidro (> 99%) também foi adquirido da Vetec (Rio de Janeiro, Brasil). Na etapa de clean up foram avaliados os adsorventes: florisil da Mallinckrodt Chemicals (Estados Unidos), carvão ativo da Vetec (Rio de Janeiro, Brasil), C-18 da Fluka (Estados Unidos) e sílica-gel de Carvalhaes (Alemanha).

Equipamentos

Foi utilizado um sistema de cromatografia líquida de alta eficiência (CLAE) ProStar 325 da Varian, equipado com duas bombas ProStar 210-218, injetor manual com alça de injeção de 20 µL e detector de UV-visível. Para a separação dos HPAs, utilizou-se coluna analítica de fase reversa da Varian C-18 (150 mm x 4,60 mm e partículas de 5 µm). Acetonitrila (ACN) e água ultrapura (Milli-Q, Millipore) foram utilizadas como fase móvel para as análises cromatográficas. Após avaliação de diferentes condições cromatográficas, o gradiente de eluição iniciou com 78% de ACN e fluxo de 1 mL min-1 durante oito minutos. Em sequência, entre oito e 12 minutos houve uma rampa linear até 100% de ACN e rampa decrescente de fluxo para 0,5 mL min-1. A condição permaneceu até 18 minutos, e seis minutos seguintes foram necessários para estabelecer o equilíbrio da coluna na condição inicial. A temperatura de análise foi mantida a 22 ºC e o detector foi programado para operar em 224 nm.

Para confirmação dos resultados foi utilizado um cromatógrafo a gás da Agilent Technologies (GC 7890A) acoplado a um detector espectrômetro de massas (MS 5975C). Utilizou-se uma coluna capilar HP-5 MS (Agilent Technologies) com fase estacionária 5% fenil e 95% metilpolisiloxano (30 m comprimento × 0,25 mm diâmetro interno × 0,25 µm espessura do filme interno). Hélio (99,9999% de pureza) foi utilizado como gás de arraste a uma taxa de 2 mL min-1. O injetor split/splitless foi mantido a 320 ºC. O forno da coluna cromatográfica, inicialmente a 50 ºC, permanecendo por 4 min, foi aquecido a uma taxa de 25 ºC min-1 até 195 ºC permanecendo nesta temperatura por 1,5 min. Em seguida, a temperatura do forno foi elevada até 265 ºC a uma taxa de 8 ºC min-1, seguida de uma taxa de 20 ºC min-1 até 320 ºC permanecendo nesta temperatura por 20 min. O volume da amostra introduzido foi de 1 µL no modo de injeção com divisão de fluxo (split) a uma razão de 1:5, utilizando um injetor Combi PAL. O espectrômetro de massas foi operado com ionização por impacto de elétrons a 70 eV e um analisador de massas tipo quadrupolo. A interface foi mantida a 280 ºC e a fonte de íons a 230 ºC. A aquisição de dados foi realizada no modo de varredura total de íons (scan) na faixa de 50 a 550 (m/z).

Para o preparo de amostras utilizou-se: (1) banho ultrassônico da Unique (São Paulo, Brasil); (2) mesa agitadora da Nova Ética (São Paulo, Brasil) a 175 oscilações por minutos; (3) vórtex da Phoenix (São Paulo, Brasil); (4) pHmetro microprocessado da Quimis (São Paulo, Brasil); (5) purificador de água da Millipore (São Paulo, Brasil). Também foi utilizado um espectrofotômetro Cary 60 (Agilent Technologies, Austrália).

 

OTIMIZAÇÃO DA ESL-PBT

Parâmetros de otimização

Foram otimizadas as seguintes variáveis para o método proposto: composição da fase extratora, procedimento de homogeneização, influência do pH, alteração da força iônica e limpeza dos extratos como representado na Tabela 1.

 

 

Procedimento

Para a otimização da técnica de ESL-PBT, amostras de lodo de esgoto (4,0000 g) foram fortificadas com 100,0 µL da solução de trabalho contendo 16 HPAs e deixadas em repouso por três horas. À amostra fortificada foram adicionados 2,3 mL de fase aquosa e 8,0 mL de mistura extratora (Tabela 1). O sistema foi homogeneizado e, em seguida, mantido a -18 ºC por uma hora para o completo congelamento da fase aquosa.

A fase líquida do sistema bifásico foi vertida em uma coluna de vidro (20 cm x 1,5 cm diâmetro interno) contendo 2,0000 g de adsorvente (Tabela 1). O fluxo foi controlado para 0,5 mL min-1 e os extratos obtidos foram recuperados em balão de 5,0 mL utilizando acetonitrila como eluente. Em seguida, 0,3 mL foram filtrados em membrana de nylon 0,45 µm e armazenados a 4 ºC até o momento das análises por CLAE-UV.

Extração por Soxhlet

Amostras de 20,0000 g de lodo de esgoto foram fortificadas, deixadas em repouso e submetidas à dessulfuração com cobre metálico ativado em ácido clorídrico a 10% (v/v). A extração e a limpeza dos extratos foram realizadas segundo o protocolo da EPA (métodos 3540C e 3630).21,22 As amostras foram transferidas para cartuchos de celulose e submetidas à extração em Soxhlet durante 24 h com 250 mL de acetona/diclorometano (1:1, v/v) a 80,0 ºC. Os cartuchos foram previamente lavados seguindo o mesmo procedimento no Soxhlet.

Os extratos foram concentrados e recuperados em 5,00 mL no evaporador rotatório (Quimis, São Paulo) a 55,0 ºC. Para a limpeza dos extratos, o concentrado foi vertido em uma coluna de vidro (25 cm x 1,5 cm de diâmetro interno) empacotada com 3,00 cm de alumina, seguida por 10,0 cm de sílica e 2,00 cm sulfato de sódio anidro. Posteriormente, 20,0 mL de diclorometano foram utilizados para a eluição. A fração recolhida foi concentrada e recuperada para 0,50 mL em acetonitrila.

Validação do método

As figuras de mérito da ESL-PBT como seletividade, limite de detecção (LD), limite de quantificação (LQ), linearidade do método, precisão e exatidão foram avaliadas conforme sugerido pelo protocolo do Instituto Nacional de Metrologia, Normalização e Qualidade Industrial - INMETRO, 2010.23

A análise de variância e o teste de amplitudes múltiplas de Duncan (a 5% de probabilidade) foram realizados para verificar a existência de diferenças significativas entre as variáveis otimizadas.

Avaliação do efeito de matriz

Para avaliar o efeito de matriz nas análises por CLAE-UV foram construídas duas curvas analíticas contendo os 16 HPAs, sendo uma em solvente puro (ACN) e outra no extrato da matriz. Das curvas analíticas foram obtidas as equações da reta por regressão linear utilizando o método dos mínimos quadrados. Os efeitos produzidos pelos componentes da matriz foram avaliados pela razão entre os coeficientes angulares obtidos de cada HPA na matriz e os coeficientes angulares obtidos em acetonitrila.

 

RESULTADOS E DISCUSSÃO

Condições cromatográficas

As condições cromatográficas otimizadas com gradiente de fluxo e de fase móvel permitiram melhor resolução dos sinais e a separação de 14 dos 16 HPAs. Apenas os analitos Cri e BaA não foram separados de forma eficiente, como mostrado na Figura 1. Resultados semelhantes foram encontrados em trabalhos prévios.24,25

 


Figura 1. Representação do cromatograma da solução padrão dos 16 HPAs em ACN a 500 µg L-1

 

O comprimento de onda 224 nm foi monitorado espectrofotometricamente para cada solução de 5,00 mg L-1 de HPA, apresentando absorbância similar para maior parte destes. Esse comprimento de onda também foi adotado em trabalhos anteriores.6,26

Nessas condições cromatográficas, os HPAs de menor cadeia (Naf, Aceti, Fluo, Ace, Fen, Flt e Pir) foram separados em oito minutos com a proporção de fase móvel com 22,0% de água e 78,0% de acetonitrila. Já os HPAs BbF, BkF, BaP, DBA, InP e BghiP foram separados com a fase móvel constituída de 100% de ACN e redução da taxa de fluxo da fase móvel. Os compostos Cri e BaA foram estudados como um único sinal na otimização do método. Entretanto, uma condição especial foi desenvolvida para confirmar a presença de cada composto e quantificá-los individualmente. Solução padrão contendo apenas estes dois analitos foi analisada por CLAE-UV, com fluxo isocrático de 1,40 mL min-1 e 100% de ACN, sendo que Cri e BaA apresentaram tempo de retenção de 1,30 e 2,22 minutos, respectivamente. Trabalhos anteriores têm relatado a dificuldade em analisar HPAs por CLAE utilizando colunas cromatográficas com 15 cm de comprimento, pois mostraram a separação e quantificação de apenas 12 dos 16 HPAs.24,26

Otimização da ESL-PBT

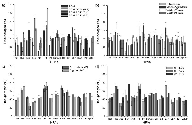
As porcentagens de extração de 15 HPAs em cada uma das condições otimizadas são mostradas na Figura 2a-d. O HPA Aceti foi excluído das análises por apresentar tempo de retenção igual a um interferente extraído da matriz lodo de esgoto de sinal intenso. A interpretação detalhada da Figura 2 será discutida posteriormente no artigo.

 


Figura 2. Porcentagens de extração obtidas da ESL-PBT para 15 HPAs: a) fase extratora com os solventes: acetonitrila (ACN), diclorometano (DCM), acetato de etila (ACT); b) homogeneização; c) Força iônica (0 g e 0,1 g de NaCl); d) influência do pH

 

Fase extratora

Trabalhos anteriores têm mostrado que a técnica de ESL-PBT apresenta maior eficiência de extração quando a proporção de fase extratora : água for igual a 8,00 mL: 4,00 mL.18-20 No teste de umidade, as amostras de lodo apresentaram 42,5% (m/m) de água, ou seja, as amostras de lodo (4,0000 g) apresentaram cerca de 1,70 mL de água. Dessa forma, 2,30 mL de água foram adicionados às amostras na ESL-PBT.

O princípio da técnica consiste na formação de fase única entre a fase orgânica e fase aquosa com rompimento do equilíbrio apenas pelo abaixamento da temperatura. Entretanto, foi observada separação de fases nas condições ambiente devido à complexidade da matriz avaliada. Dessa forma, o critério de seleção das seis fases orgânicas avaliadas na ESL-PBT (Figura 2-a) foi a solubilidade na fase móvel (22,0% de água e 78,0% de acetonitrila) da CLAE.

As misturas isopropanol : hexano e acetona : acetonitrila não foram representadas por extrair um número significativo de interferentes com tempo de retenção igual ao dos HPAs. Acetonitrila proporcionou recuperação inferior a 43,0% dos analitos de interesse e desvio-padrão relativo (DPR) inferior a 6,69%, possivelmente devido ao acentuado caráter polar deste solvente. Os HPAs possuem estruturas químicas com anéis aromáticos fundidos, sendo que os de massas moleculares menores (2 a 4 anéis aromáticos) apresentam menor caráter lipofílico em relação aos de maiores massas moleculares.19 Por isso foi estudado o uso de misturas de solventes orgânicos.

A fase extratora constituída por diclorometano tem sido relatada em trabalhos anteriores para extração de HPAs.1,10 No entanto, neste trabalho a fase extratora constituída por acetonitrila : diclorometano proporcionou extrações inferiores a 49,0% (DPR < 8,7%). Além disso, o HPA Fluo não foi detectado.

A mistura acetonitrila : acetato de etila (7:1) proporcionou porcentagens de extração entre 25,0 e 72,0% na ESL-PBT. Além disso, apresentou menores valores de desvio padrão (<10%) e menor elevação da linha de base. O acetato de etila tem sido utilizado para determinação de HPAs em diferentes matrizes como salmão27 e aguardente.28 Este solvente apresenta caráter apolar e favorece a extração dos HPAs de maior cadeia hidrocarbônica (Cri, BaA, BbF e InP), enquanto que a acetonitrila favorece a extração dos HPAs Naf, Fluo, Ace, Fen e Ant.

Homogeneização

Os resultados obtidos nos procedimentos de agitação estão representados na Figura 2-b. A homogeneização em vórtex por um minuto e em banho ultrassônico não apresentou resultados satisfatórios, pois a extração dos 15 HPAs em ambos os experimentos foram inferiores a 56,0%. Embora a mesa agitadora com aquecimento (40 ºC) tenha favorecido significativamente a extração dos compostos Pir e BaP, o modo de homogeneização por vórtex durante 5 minutos possibilitou maiores porcentagens de extração para 11 compostos estudados, com porcentagens variando entre 35,0 a 72,0%.

Força iônica

A substituição de 2,30 mL de água destilada por igual volume de solução aquosa de NaCl na técnica de ESL-PBT favoreceu a extração dos HPAs de cadeia hidrocarbônica maior (Ace, BbF, BkF, BaP, DBA, InP e BghiP), que se encontravam fortemente adsorvido na matriz. Os resultados estão representados na Figura 2-c. Esse efeito positivo é devido à solvatação dos íons pelas moléculas de água, que facilita a migração dos HPAs para a fase orgânica (efeito salting out).

Influência do pH

O ajuste de pH da fase aquosa para 3, na técnica de ESL-PBT, favoreceu a extração apenas do composto BaP (Figura 2-d). Já o ajuste do pH da fase aquosa para 7 não proporcionou aumento significativo na extração dos 15 HPAs analisados. Por outro lado, o ajuste do pH da água para 11 aumentou significativamente a extração dos HPAs Ace, Fen e DBA (p < 0,05). A extração dos HPAs também foi favorecida em meio básico empregando a técnica de dispersão da matriz em fase sólida.2 Em meio básico, observou-se o aumento na solubilidade de interferentes da matriz na fase aquosa, como, por exemplo, de ácidos graxos. Consequentemente, a extração desses interferentes para a fase orgânica foi menor.

Limpeza dos extratos

Os adsorventes carvão, sílica, florisil e C-18 são tradicionalmente utilizados para limpeza de extratos de matrizes como o lodo de esgoto.12 O carvão ativado favoreceu a obtenção de extratos incolores. Entretanto, foi verificada redução expressiva na porcentagem de recuperação dos HPAs, devido ao forte caráter adsortivo do carvão. Resultados semelhantes foram relatados na literatura, com redução de 56,0 a 95,0% dos analitos no lodo de esgoto.29 Florisil, sílica gel e C-18 apresentaram pouca diferença na limpeza dos extratos. Sendo assim, optou-se pela sílica por ser o adsorvente recomendado pela EPA para purificação de extratos em análise de HPAs.

A massa do adsorvente foi determinada eluindo os extratos de amostras de lodo isentos de HPAs (brancos) na coluna contendo as massas de 0,50; 1,00; 1,50 e 2,00 g de sílica. Os eluentes foram analisados em espectrofotômetro na região do ultravioleta (190 a 280 nm). Os resultados indicaram que o aumento da massa de sílica favoreceu a limpeza dos extratos de lodo obtidos pela ESL-PBT, pois 2,00 g apresentou menor absorbância dos componentes da matriz. Maior quantidade de adsorvente aumenta a superfície de contato e retenção de interferentes polares presentes nos extratos.30

Avaliação do efeito de matriz

Amostras complexas como as de lodo de esgoto apresentam influência significativa dos componentes da matriz, prejudicando as análises cromatográficas.12,31 O teste de variância mostrou o efeito de matriz pelas diferenças significativas entre as áreas dos HPAs quando preparados em extratos de amostras de lodo e em solvente orgânico. Consequentemente, para os 15 HPAs analisados, foram observadas diferenças nos coeficientes angulares e lineares das curvas preparadas no extrato da matriz e em solvente puro. Nessa comparação, há indícios de que os componentes da matriz contribuem para introduzir erros sistemáticos nos resultados, sendo eles proporcionais e constantes.32,33

Na Tabela 2, os valores da razão entre os coeficientes angulares (extrato da matriz e solvente) quando inferiores a 1,00 indicam efeito de matriz negativo, ou seja, a resposta cromatográfica para todos os compostos estudados reduziram na presença dos componentes da matriz durante as análises por CLAE-UV. Dessa forma, a quantificação dos HPAs foi realizada utilizando curva analítica com sete concentrações dos analitos preparadas em extratos orgânicos de amostras de lodo. A resposta cromatográfica mostrou-se linear com coeficiente de determinação (r2) superior a 0,99 para os 15 compostos estudados tanto na matriz quanto em solvente puro (Tabela 2).

 

 

Validação do método

Seletividade

O lodo de esgoto é uma matriz complexa, pois possui uma composição química diversificada e pode variar de acordo com a origem da amostra, comprometendo a seletividade do método, mesmo após diferentes etapas de limpeza. As análises cromatográficas por CLAE-UV funcionam como um screening de amostras de lodo. Dessa forma, os sinais detectados no mesmo tempo de retenção dos HPAs devem ser avaliados por outra técnica de análise, como a espectrometria de massas, para confirmar a presença do HPA.

Na Figura 3 é apresentado um cromatograma de extratos de amostras de lodo (branco) comparado com o cromatograma de solução padrão de HPAs por CLAE-UV. Os sinais presentes com mesmo tempo de retenção dos HPAs são interferentes da matriz e esses resultados foram comprovados em análises por CG-EM. Problemas associados à seletividade de análises de contaminantes em amostras de lodo foram descritos na literatura.34-36 Conforme discutido anteriormente, o HPA Aceti apresentou um interferente significativo, por isso foi eliminado do trabalho.

 


Figura 3. Representação da sobreposição de cromatogramas do extrato da matriz isenta de HPAs e do extrato contendo os 16 padrões de HPAs (550 µg L-1 e o HPA 4 a 100 µg L-1)

 

Alguns estudos que envolvem desenvolvimento de método utilizam lodo sintético obtidos de empresas certificadas.2 Nesses casos, não ocorre detecção de interferentes da matriz, favorecendo a seletividade do método. No entanto, há um custo considerável de aquisição e não representa qualitativamente o lodo de esgoto real.

Limite de detecção e quantificação

Os valores de limites de detecção (LD) e quantificação (LQ) para o método proposto foram determinados considerando três e dez vezes a intensidade do sinal do ruído. Os resultados encontrados estão apresentados na Tabela 3. O LQ obtido para os HPAs, exceto benzo[a]antraceno e benzo[a]pireno, foi menor que os valores regulamentados para HPAs no solo, conforme a Resolução CONAMA nº 375 de 2006. Vale destacar que a soma das concentrações no limite de quantificação obtidas para os 15 HPAs (Σ = 1,05 mg kg-1) foi inferior às concentrações máximas estabelecidas pela União Europeia para lodo de esgoto (6,0 mg kg-1 a soma de 11 HPAs).

 

 

Precisão e exatidão

A precisão do método proposto foi avaliada em termos de repetitividade e os resultados encontrados são apresentados na Tabela 3. O desvio padrão relativo de sete extrações idênticas dos HPAs na concentração de 2 x LQ foi satisfatório, com valores inferiores a 11,7%. Para matrizes complexas como amostras de lodo de esgoto é aceito desvio padrão relativo de até 20%.37

A exatidão (Tabela 3) foi determinada por ensaios de recuperação com concentrações próximas ao LQ, sendo uma, duas e cinco vezes o limite de quantificação para cada HPA (INMETRO, 2010).23

Comparação entre os métodos

A extração de HPAs em Soxhlet é o método de referência. Entretanto, apenas 11 dos 15 HPAs foram quantificados e as porcentagens de recuperação variaram de 9,28 a 70,0% e desvio padrão relativo de 1,94 a 50,3%. Não houve diferenças significativas entre os resultados das duas técnicas para os HPAs Ace, Ant, Cri/BaA e BbF. A ESL-PBT foi superior na recuperação dos compostos Naf, Fluo, Fen, Flt, Pir e BkF.

Na extração em Soxhlet foi observada maior presença de interferentes (Figura 4), possivelmente devido ao tempo de contato excessivo entre o solvente e a amostra, cerca de 20 vezes maior que a ESL-PBT. Além disso, foram necessários valores de massa quatro vezes maior e volume de solventes orgânicos 30 vezes superiores à ESL-PBT. Estes resultados reforçam a complexidade da matriz e a dificuldade de analisar simultaneamente os 16 compostos, independente da técnica de extração.

 


Figura 4. Representação do cromatograma das análises realizadas por CLAE-UV de solução padrão de HPAs preparadas em extratos orgânicos de amostras de lodo obtidos pela técnica Soxhlet

 

CONCLUSÃO

O método otimizado e validado de extração e análise simultânea de 15 HPAs em lodo de esgoto mostrou vantagens em relação ao Soxhlet. O método foi prático, econômico e com número reduzido de etapas. A análise cromatográfica por CLAE-UV apresentou resultados eficientes na separação dos compostos utilizando coluna cromatográfica com dimensões menores às citadas na literatura. Mesmo diante da complexidade da matriz e da presença de interferentes, o método foi eficiente na extração de 15 HPAs, apresentando limites de quantificação inferiores ao máximo permitido pela União Europeia (6 mg kg-1 a soma de 11 HPAs) em lodo de esgoto. Estudos futuros podem ser realizados com diferentes amostras de lodo de esgoto para aplicação do método.

 

AGRADECIMENTOS

Ao Conselho Nacional de Desenvolvimento Científico e Tecnológico (CNPq) e à Fundação de Amparo à Pesquisa do Estado de Minas Gerais (FAPEMIG) pelas bolsas de iniciação científica e pelo apoio financeiro e à Universidade Federal de Minas Gerais (UFMG) pelo apoio financeiro e pela infraestrutura disponibilizada.

 

REFERÊNCIAS

1. Zhai, J.; Tian, W.; Liu, K.; Environ. Monit. Assess. 2011, 180, 303.

2. Pena, M. P.; Casais, M. C.; Mejuto, M. C.; Cela, R.; Anal. Chim. Acta 2008, 626, 155.

3. Motta, S. R.; Maggiore, T.; Eur. J. Agron. 2013, 45, 59.

4. Sanchez-Brunete, C.; Miguel, E.; Tadeo, J. L.; J. Chromatogr. A 2007, 1148, 219.

5. http://www.fundagresorg.br/biossolido/images/downloads/res_conama37506, acessada em Agosto 2011.

6. Cotta, J. A. O.; Rezende, M. O. O.; Landgraf, M. D.; Quim. Nova 2009, 32, 2026.

7. Tobiszewski, M.; Namiesnik, J.; Environ. Pollut. 2012, 162, 110.

8. Queiroz, S. C. N.; Ferracini, V. L.; De Souza, D. R. C.; Métodos de extração de hidrocarbonetos policíclicos aromáticos em amostra de solo, sedimento e lodo, Embrapa Meio Ambiente: Jaguariuna, 2009.

9. Pereira Netto, A. D.; Moreira, J. C.; Dias, A. E. X. O.; Arbilla, G.; Ferreira, L. F. V.; Oliveira, A. S.; Barek, J.; Quim. Nova 2000, 23, 765.

10. Pena, M. P.; Casais, M. C.; Mejuto, M. C.; Cela, R.; J. Chromatogr. A 2010, 1217, 425.

11. http://ec.europa.eu/environment/waste/sludge/pdf/sludge_en.pdf, acessada em Janeiro 2012.

12. Zuloaga, O.; Navarro, P.; Bizkarguenaga, E.; Iparraguirre, A.; Vallejo, A.; Olivares, M.; Prieto, A.; Anal. Chim. Acta 2012, 736, 7.

13. Yebra-Pimentel, I.; Martínez-Carballo, E.; Regueiro, J.; Simal-Gándara, J.; Food Chem. 2013, 139, 1036.

14. Maioli, O. L. G.; Rodrigues, K. C.; Knoppers, B. A.; Azevedo, D. A.; Cont. Shelf Res. 2011, 31, 1116.

15. Cavalcante, R. M.; Lima, D. M.; Correia, L. M.; Nascimento, R. F.; Silveira, E. R.; Freire, G. S. S.; Viana, R. B.; Quim. Nova 2008, 31, 1371.

16. Haskins, S. D.; Duval, J. M.; Kelly, D. G.; Lundgreen-Nielsen, S. L.; Weir, R. D.; Microchim. Acta 2012, 178, 187.

17. Shahpoury, P.; Hageman, K. J.; J. Chromatogr. A 2013, 1314, 1.

18. Vieira, H. P.; Neves, A. A.; Queiroz, M. E. L.; Quim. Nova 2007, 30, 535.

19. Pinho, G. P.; Neves, N. A.; Queiroz, M. E. L. R.; Silvério, F. O.; Food Control 2010, 21, 1307.

20. Marthe, D. B.; Bittencourt, L. M.; Queiroz, M. E. L. R.; Neves, A. A.; Quim. Nova 2010, 6, 1389.

21. http://www.epa.gov/epaoswer/hazwaste/test/pdfs/3550b.pdf, acessada em Agosto 2012.

22. http://www.epa.gov/epaoswer/hazwaste/test/pdfs/3630c.pdf, acessada em Agosto 2012.

23. Instituto Nacional de Metrologia, Normalização e Qualidade Industrial (INMETRO); Orientação sobre Validação de Métodos Analíticos, DOQCGCRE-008, 2010.

24. Liu, J. F.; Gui-Bin, J.; Yu-Guang, C.; Ya-Qi, C.; Qing-Xiang, Z.; Jing-Tian, H.; J. Anal. Chem. 2003, 75, 5870.

25. Kumari, R.; Chaturvedi, P.; Ansari, N. G.; Murthy, R. C.; Patel, D. K.; J. Food Sci. 2012, 71, 34.

26. Souza, R. C.; Matos, M. A. C. Dissertação de Mestrado, Universidade Federal de Juiz de Fora, Brasil, 2008.

27. Forsberg, N. D.; Wilson, G. R.; Anderson, K. A.; J. Agric. Food Chem. 2011, 59, 8108.

28. Bettin, S. M.; Franco, D. W.; Cienc. Tecnol. Aliment. 2005, 25, 234.

29. Oleszczuk, P.; Hale, S. E.; Lehmann, J.; Cornelissen, G.; Bioresour. Technol. 2012, 111, 84.

30. Villar, P.; Villar, M.; Callejón, M.; Perez, J. L.; Jimenez, J. C.; Alonso, E.; Guirau, M. A.; Environmetrics 2009, 20, 561.

31. Silva, C. G. A.; Collins, C. H.; Quim. Nova 2011, 34, 665.

32. González, F. J. E.; Torres, M. E. H.; López, E. A.; Cuadros-Rodriguez, L.; Vidal, J. L. M.; J. Chromatogr. A 2002, 996, 155.

33. Pinho, G. P.; Silvério, F. O.; Neves, A. A.; Queiroz, M. E. L. R.; Starling, M. A. V. M.; Quim. Nova 2010, 33, 909.

34. Busetti, F.; Heitz, A.; Cuomo, M.; Badoer, S.; Traverso, P.; J. Chromatogr. A 2006, 1102, 104.

35. Samaras, V. G.; Thomaidis, S. N.; Stasinakis, A. S.; Lekkas. T. D.; Anal. Bioanal. Chem. 2011, 399, 2549.

36. Villar, P.; Callejón, M.; Alonso, E.; Jiménez, J. C.; Guiraúm, A.; Anal. Chim. Acta 2004, 524, 295.

37. Ribani, M.; Bottoli, C. B. G.; Collins, C. H.; Jardim, I. C. S. F.; Melo, L. F. C.; Quim. Nova 2004, 27, 771.

On-line version ISSN 1678-7064 Printed version ISSN 0100-4042
Qu�mica Nova
Publica��es da Sociedade Brasileira de Qu�mica
Caixa Postal: 26037 05513-970 S�o Paulo - SP
Tel/Fax: +55.11.3032.2299/+55.11.3814.3602
Free access

GN1