JBCS



14:55, sáb out 25

Acesso Aberto/TP



Artigo


Obtenção e caracterização de matriz apropriada para sistemas de liberação prolongada - estudos de liberação dos herbicidas atrazina e diuron
Development and characterization of a matrix suitable for extended release systems - release studies with the herbicides atrazine and diuron

Eunice F. S. VieiraI,*; Antonio R. CestariI; Renata A. ChagasI; Gracy Karla da R. CortesII

IDepartamento de Química, Universidade Federal de Sergipe, Av. Marechal Rondon, 49100-000 São Cristóvão - SE, Brasil
IIDepartamento de Engenharia de Materiais, Universidade Federal de Sergipe, Av. Marechal Rondon, 49100-000 São Cristóvão - SE, Brasil

Recebido em 17/04/2013
Aceito em 06/11/2013
Publicado na web em 10/02/2014

Endereço para correspondência

*e-mail: eunice@ufs.br

RESUMO

This study aimed to produce and characterize a novel material from fish scales and chitosan for use as a medium for the extended release of herbicides. The mechanism of release for the herbicides atrazine and diuron was influenced by diffusion and swelling according to the power law kinetic model. The atrazine release time was seven days, while that of diuron was four days. The results of this study will contribute to the development of environmental matrices for herbicide release systems.

Palavras-chave: chitosan; fish scale; herbicides.

INTRODUÇÃO

Atualmente, o principal método de combate às doenças e pragas que atacam as lavouras, causando grandes problemas para o agricultor, é o uso de agrotóxicos.1 A utilização de substâncias químicas tais como pesticidas, fungicidas e herbicidas, proporciona um controle de interferentes que afetam o crescimento, colheita e, consequentemente, a comercialização de diversas culturas. Portanto, a indústria de agrotóxicos tem se tornado um agente econômico significativo no mercado mundial.2 Estima-se que mais de 90% dos agricultores estão utilizando substâncias químicas para aumentar o rendimento das culturas e para combater pragas e doenças agrícolas.1,3 A aplicação de herbicidas tornou-se uma prática eficaz no controle de crescimento de ervas daninhas que invadem ecossistemas naturais, podendo alterar o ciclo de nutrientes,4,5 resultando em perdas na produtividade e na qualidade do produto.6

O diuron (N-3,4-diclorofenil)-N, N dimetil uréia) e a atrazina [2-cloro-4-(etilamino)-6-(isopropilamino)-1,3,5-triazina] são herbicidas pré e pós-emergentes utilizados para controle de ervas daninhas de folhas largas e gramíneas,7-10 e vêm sendo aplicados de acordo com os sistemas convencionais de manuseio de agrotóxicos. Este método consiste na liberação imediata dos ingredientes ativos de acordo com as formulações comerciais.11 Estima-se que cerca de 90% dos agroquímicos aplicados convencionalmente nunca atinge seu alvo, em um tempo definido, nas quantidades precisas.12,13 Isto acontece porque ocorrem perdas tais como degradação, lixiviação, volatilização e adsorção dos herbicidas.11,14 O resultado da tentativa de compensar estas perdas é a utilização de quantidades excessivas destas substâncias químicas.15 Devido ao excesso de ingrediente ativo inicialmente aplicado, tem ocorrido um aumento potencial de lixiviação do herbicida resultando na poluição ambiental e problemas ecológicos. Assim, impactos sobre águas superficiais e subterrâneas, bem como riscos potenciais para a saúde da população tem se tornado uma grande preocupação.11,13,14 Os sistemas de liberação controlada são alternativas promissoras para superar estes inconvenientes, pois possuem como princípio a liberação gradual de herbicidas, o que permite uma concentração mais baixa do ingrediente ativo no meio ambiente e, ao mesmo tempo, mantêm a eficácia biológica.11 Este método pode reduzir notavelmente a quantidade de ingrediente ativo através da manutenção de uma concentração eficaz no alvo durante períodos de tempos longos.12

Diversos trabalhos na literatura destacam a eficácia dos sistemas de liberação controlada utilizando diversos materiais como matrizes, tais como polímeros, argilas, combinações de matrizes orgânicas com argilas, dentre outros.12,14,15 Por serem de baixo custo, biodegradáveis e não apresentarem ecotoxicidade,16 os polímeros naturais merecem destaque como dispositivos de liberação controlada. Dentre os polímeros naturais, a quitosana β-(1-4)-2-amino-2-deoxi-D-glicopiranose, um biopoliaminossacarídeo linear obtido através da desacetilação alcalina da quitina, 2-acetamido-2-deoxi-β-D-glicose, vem sendo utilizada com sucesso.17-21

Na literatura são encontrados trabalhos de biocompósitos de hidroxiapatita e quitosana, os quais apresentam como características uma fração orgânica e uma inorgânica.22,23 Materiais orgânico-inorgânicos são cada vez mais almejados, devido às novas propriedades, que surgem a partir do sinergismo resultante da combinação das excelentes características individuais de cada componente, melhorando a resistência mecânica, bicompatibilidade e biodegrabilidade,22,24 o que os tornam materiais com alto potencial de uso em sistemas de liberação controlada no que se refere à aplicação em condições de campo.

Neste trabalho, foi desenvolvido um novo material à base de quitosana e escamas do peixe Piau da espécie Leporinus elongatus, cuja matriz extracelular é constituída principalmente de fibras de colágeno e hidroxiapatita.25 O material obtido foi reticulado com tetraborato de sódio (Bórax) e denominado ESC-Quit-B. Estudos de liberação dos herbicidas atrazina e diuron foram realizados e os dados experimentais foram analisados de acordo com a equação linearizada da Lei da Potência.26

 

PARTE EXPERIMENTAL

Materiais e reagentes

As escamas do peixe Piau da espécie Leporinus elongatus foram coletadas em uma barraca de venda de peixes na feira livre da cidade de Itabaiana-Sergipe, durante o período de novembro e dezembro de 2011. Os peixes eram provenientes da Curimba S. A. e pesavam entre 1,5-2,0 kg. O hidróxido de sódio foi adquirido da Vetec. Os reagentes tetraborato de sódio decahidratado (Bórax), o ácido acético e a propanona (acetona) foram obtidos da Synth. O álcool etílico (etanol) foi obtido da Dinâmica. A quitosana (Quit), com grau de desacetilação de 85%, foi doada pela Primex Ingredientes A.S. (Noruega). O herbicida diuron (pureza de 98%) foi obtido da Aldrich, o herbicida atrazina (pureza 95%) foi obtido da Sigma-Aldrich. Todos os outros reagentes foram de grau analítico. Em todos os experimentos utilizou-se água bidestilada.

Processamento das escamas

O excesso de massa sebácea das escamas do peixe Piau foi removido de acordo com o seguinte procedimento:27 as escamas foram lavadas em água corrente, posteriormente foram colocadas em contato com uma solução de hidróxido de sódio (pH entre 8,0-9,0) durante 4 horas em um agitador mecânico. Após este período de contato, foram lavadas abundantemente com água bidestilada e, após lavagem final com etanol, as escamas foram secas à temperatura ambiente. Uma amostra das escamas foi triturada em liquidificador industrial Spolu modelo SPL 023, resultando em uma mistura de pó e fibras. O pó foi separado das fibras utilizando-se uma peneira de 48 Mesh, obtendo-se, assim, o material denominado ESC que foi armazenado em dessecador.

Preparação do material Escama-Quitosana-Bórax (ESC-Quit-B)

Para obtenção do material ESC-Quit-B, 5 g do pó da escama (ESC) foram mantidos em suspensão em 50 mL de uma solução 2,0 mol L-1 de NaOH (pH entre 12-13) por um período de 24 horas sob agitação magnética. Após este período de tempo, gotejou-se um gel de quitosana previamente preparado dissolvendo-se 1,5 g do polissacarídeo em 50 mL de uma solução de ácido acético 3% (v/v). Durante o processo de gotejamento, formaram-se esferas, denominadas ESC-Quit que foram lavadas com água bidestilada e, em seguida, foram deixadas em uma solução aquosa de Bórax 4% (massa/volume) durante 24 horas. Após este período, o material reticulado (ESC-Quit-B) foi lavado com água bidestilada, em seguida com acetona, seco à temperatura ambiente e guardado em dessecador.

Os materiais Quit, ESC, ESC-Quit e ESC-Quit-B foram caracterizados por Microscopia Eletrônica de Varredura (MEV), Espectroscopia de Absorção na Região do Infravermelho (FTIR) e Difração de Raios X (DRX). As micrografias foram obtidas em um microscópio eletrônico de varredura da JCM 5700 com uma aceleração de feixe de elétrons de 10 kV, sob vácuo. As amostras foram previamente metalizadas com ouro em um metalizador da marca Denton Vacuum. Os espectros de absorção na região do infravermelho com transformada de Fourier foram obtidos na região entre 4.000 e 650 cm-1, com as amostras em contato com uma micro sonda de infravermelho acoplada a um microscópio óptico. Utilizou-se o equipamento, Micro Sonda de infravermelho para Microscopia Óptica IlluminartIR II. Os difratogramas de raios X dos materiais ESC-Quit, ESC-Quit-B, ESC e Quit foram obtidos em um difratômetro da Shimadzu. O equipamento operou em modo de varredura contínuo, com radiação Cu-Kα (1,5418 Å), gerada a 40 kV com corrente de 40 mA. A velocidade de varredura utilizada foi de 0,02º/segundo em 2θ (10 a 80º). Todos os difratogramas foram obtidos com amostra na forma de pó à temperatura ambiente.

Impregnação dos herbicidas no material ESC-Quit-B

Foram preparadas soluções de diuron e atrazina, ambas nas concentrações 5 × 10-3 mol L-1 em etanol. No procedimento de impregnação, uma quantidade de 50,0 mg do material foi colocada em contato com 0,1 mL da solução de cada herbicida em tubos de ensaio que foram deixados à temperatura ambiente por um período de tempo suficiente para completa evaporação do etanol (cerca de 24 horas). Os experimentos foram realizados em duplicata.

Estudos de liberação dos herbicidas

Após o processo de impregnação, 50,0 mg do material foram colocados em contato com 10,0 mL de água bidestilada em tubos de ensaio, à temperatura ambiente. Em períodos de tempo pré-determinados, alíquotas de 3 mL foram retiradas e as quantidades liberadas, Qlib(t), foram determinadas através dos registros dos valores das absorvâncias, nos comprimentos de onda de 221 e 248 nm para a atrazina e o diuron, respectivamente.28,29 Para tanto, utilizou-se um espectrofotômetro UV-VIS mini-1240 da SHIMADZU. Os experimentos foram realizados em duplicata.

 

RESULTADOS E DISCUSSÃO

Em publicação anterior,27 análise de espectroscopia de energia dispersiva (EDS) da escama pura triturada indicou que a fase mineral da escama é composta predominantemente por apatita, especificamente na fase hidroxiapatita, pois a relação Ca/P obtida por EDS foi de aproximadamente 1,67, o que está de acordo com dados da literatura.30

A formação das esferas ESC-Quit ocorreu com a precipitação do gel de quitosana na solução fortemente básica de NaOH contendo o pó da escama em suspensão. O meio reacional apresentando pH entre 12-13, além de garantir a preservação da estrutura da hidroxiapatita,31 também possibilitou a formação imediata das esferas. As interações entre a hidroxiapatita e a quitosana possivelmente ocorreram através de ligações de hidrogênio entre os materiais.32,33 Devido ao meio fortemente alcalino, é muito provável que interações eletrostáticas entre íons Ca2+ da hidroxiapatita e o grupo NH2 protonado da quitosana não tenham ocorrido. Pela mesma razão, interações PO43-/NH3+ também são pouco prováveis.

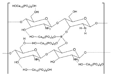
No processo de reticulação com Bórax formaram-se ligações cruzadas entre grupos diol da quitosana e os íons borato fornecidos pela dissociação do Bórax.34 Além disso, dois pares dióis de diferentes moléculas de quitosana podem ter sido ligados por íons borato para formar ligações cruzadas intercadeias. Também podem ter ocorrido ligações entre os grupos OH da hidroxiapatita com os íons borato do agente reticulante, possibilitando a formação de um material mais resistente e, portanto, mais eficiente na aplicação de sistemas de liberação controlada dos herbicidas diuron e atrazina. Na Figura 1 é apresentado um esquema adaptado das referências 32 e 33, sugerindo algumas possíveis interações da quitosana com a hidroxiapatita, bem como do agente reticulante com o material ESC-Quit.

 


Figura 1. Ligações de hidrogênio entre quitosana e hidroxiapatita (---) e interações do Bórax no processo de reticulação do material ESC-Quit, adaptado das referências 32 e 33

 

As esferas do material ESC-Quit apresentam formas esféricas bem definidas e uma coloração mais clara quando comparadas às esferas do material ESC-Quit-B. Os diâmetros médios, medidos com auxílio de um micrômetro, foram de 0,88 mm e 0,79 mm para ESC-Quit e ESC-Quit-B, respectivamente. De acordo com dados encontrados na literatura é comum haver uma redução no tamanho das esferas quando ocorre reticulação. Sugere-se que a presença do agente reticulante aumente o grau de ligações cruzadas, provocando este fenômeno.16

Caracterização dos materiais

As micrografias dos materiais (Figura 2) foram obtidas com um aumento de 10.000 vezes. Na micrografia da escama de peixe não triturada, apresentada na Figura 2a, pode ser observada uma estrutura fibrosa contendo cristais depositados que podem ser atribuídos à hidroxiapatita presente na escama de peixe.27 O material ESC-Quit (Figura 2b) exibe uma superfície irregular, apresentando uma partícula com possível estrutura mineral ordenada. De acordo com dados da literatura, a superfície de esferas de quitosana pura é mais homogênea, portanto, o cristal apresentado pode ser atribuído à deposição de hidroxiapatita na superfície do polissacarídeo.35 Além disso, a hidroxiapatita apresenta estrutura hexagonal,36 o que fomenta os indícios da presença de cristais deste mineral na superfície do material. Comparando-se as micrografias dos materiais ESC-Quit e ESC-Quit-B (Figura 2c), é possível observar uma nítida diferença microestrutural.

 


Figura 2. Micrografia da escama de peixe (a), dos materiais ESC-Quit (b) e ESC-Quit-B (c)

 

Enquanto o material ESC-Quit apresenta uma superfície mais uniforme, o material ESC-Quit-B apresenta uma superfície completamente rugosa com inúmeros aglomerados que podem ser atribuídos aos cristais de Bórax que permanecem na superfície do material, mesmo após várias lavagens com água bidestilada. Segundo a literatura,12 o aumento de porosidade é um parâmetro muito importante para melhorar o processo de liberação de herbicidas.

Os espectros dos materiais de partida (Quit e ESC) e dos materiais ESC-Quit e ESC-Quit-B são apresentados na Figura 3. O espectro da quitosana (Quit) apresenta bandas em 1020, 1325 e 1380 cm-1 que correspondem às vibrações de estiramento da ligação C-O-C, vibrações de estiramento de grupos amina (C-N) e deformação simétrica angular do grupo CH3, respectivamente.37,38 A banda larga em torno de 1590-1600 cm-1 corresponde às vibrações do grupo -NH2, e a banda em 1638 cm-1 é característica das vibrações de estiramento do grupo C=O (amida I), o que evidencia que a quitosana é um produto parcialmente desacetilado.39-41 A banda em 2891 cm-1 corresponde à vibração de estiramento do grupo C-H. A larga banda em torno de 3000-3600 cm-1 com intensidade máxima em 3296 cm-1 é atribuída às vibrações de estiramento axial dos grupos OH e aparece sobreposta à banda de estiramento dos grupos N-H e ligações de hidrogênio do polissacarídeo.37,40,41

 


Figura 3. Espectros de Absorção na Região do Infravermelho dos materiais de partida (Quit e ESC) e dos materiais ESC-Quit e ESC-Quit-B

 

No espectro de absorção do material ESC é possível observar uma banda em 1024 cm-1 que corresponde à vibração do grupo fosfato (PO43-) presente na estrutura da hidroxiapatita.32,42 A banda em 1239 cm-1 é atribuída à amida III presente no colágeno e surge devido às vibrações de estiramentos dos grupos C-N e N-H.40,41 Uma banda em 1447 cm-1 é atribuída às vibrações dos grupos CO32-. De acordo com os dados encontrados na literatura, sítios PO43- presentes na estrutura da hidroxiapatita podem sofrer substituição por grupos CO32-.32,42,43 As bandas em 1540 e 1638 cm-1 são atribuídas aos estiramentos dos grupos N-H da amida II e C=O da amida I, respectivamente, grupos que estão presentes na estrutura do colágeno.40,41 Uma larga banda em 3100-3600 cm-1, com intensidade máxima em 3296 cm-1 é atribuída às vibrações dos estiramentos dos grupos -OH, provenientes da estrutura da escama, assim como da água adsorvida no material.40,44

No espectro do material ESC-Quit é possível observar bandas em 852 e 1066 cm-1 referentes ao estiramento do grupo P-OH e às vibrações dos grupos fosfato (PO43-), presentes na estrutura da hidroxiapatita.44-46 As bandas em 1410 e 1453 cm-1 correspondem às vibrações dos grupos CO32-.42,43 A banda correspondente às vibrações da amida II não sofreu deslocamento significativo. A larga banda em torno de 3100-3600 cm-1 com intensidade máxima em 3455 cm-1 está relacionada às sobreposições das vibrações de estiramento dos grupos -NH2 e -OH.40,41

O espectro do material reticulado ESC-Quit-B apresenta bandas em 710, 821 e 1472 cm-1 que podem ser atribuídas às vibrações dos grupos CO32-.42 As bandas em 944, 999 e 1123 cm-1 estão relacionadas aos estiramentos simétricos e assimétricos dos grupos fosfatos presentes na hidroxiapatita.44 Foram observados grandes deslocamentos das bandas relacionadas a amida I, II e III e da banda relacionada ao grupo fosfato (999 cm-1), o que evidencia possíveis ligações entre a hidroxiapatita e o colágeno (presentes na escama) e a quitosana. Observa-se que a banda correspondente às vibrações dos grupos -NH2 surge bem menos intensa e mais larga. A banda em 1349 cm-1 pode estar relacionada às vibrações dos grupos CH3.37 A intensa redução da banda em torno de 3100-3600 cm-1 deixa evidente que a reticulação com o Bórax também ocorreu através de interações com os grupos -OH do polissacarídeo e da hidroxiapatita. Este fato é consistente com dados encontrados na literatura.47

Na Figura 4 são apresentados os difratogramas dos materiais Quit, ESC, ESC-Quit e ESC-Quit-B. O padrão de raios X da quitosana pura apresenta uma difração próxima a 2θ menos intensa em torno de 12,8º e uma difração de alta intensidade em torno de 21,0º, correspondentes as planos de difração (020) e (110), respectivamente.20,40 O difratograma da escama de peixe apresenta halos em 26,3º e 32,3º que correspondem ao plano de difração (002) e (300) da fase cristalina da hidroxiapatita.22

 


Figura 4. Padrão de DRX dos materiais: Quit, ESC, ESC-Quit e ESC-Quit-B

 

Analisando-se o difratograma do material ESC-Quit observa-se claramente que o halo em torno de 21,0º referente ao plano de difração (110) da quitosana40 não apresentou deslocamento. No entanto, novos picos de difração em 2θ foram identificados em torno de 18,0º; 30,3º; 33,5º; 34,6º; 37,5º; 39,2º; 41,2º, 42,6º e 46,2º. Estes picos podem estar relacionados à existência de carbonato de cálcio na amostra.48 Assim como na Espectroscopia de Absorção no Infravermelho, os dados obtidos na Difratometria de Raios X indicam que estão presentes íons carbonatos na estrutura da hidroxiapatita. Os halos do material ESC-Quit-B apresentaram menor intensidade, o que dão fortes indícios que houve a redução da cristalinidade, indicando claramente a presença de ligação entre as partículas da hidroxiapatita e da matriz da quitosana.22 Além disso, sugere-se que os íons borato proporcionaram a reorganização da estrutura dos materiais de partida, já que os halos, mesmo em menores intensidades, não sofreram deslocamentos significativos em relação aos halos dos materiais puros.

Estudos de liberação

As solubilidades dos herbicidas em água a 25 ºC são 42 mg/L e 33 mg/L para o diuron e atrazina, respectivamente,29,49 portanto, as impregnações dos herbicidas foram realizadas em etanol. A metodologia utilizada para impregnação do diuron e atrazina, conforme descrita na parte experimental, possibilitou a adsorção de toda a quantidade utilizada dos herbicidas. Assim, a quantidade de atrazina e diuron impregnada no material ESC-Quit-B, Qads, foi de 1×10-5 mol g-1. As quantidades liberadas em função do tempo, Qlib(t) (em mol g-1) foram calculadas de acordo com a Equação 1:

 

 

onde Ceq(lib) corresponde às concentrações de equilíbrio, em mol L-1, determinadas após a liberação dos herbicidas em tempos pré-determinados, V é o volume do solvente no processo de liberação em litro (L) e m corresponde à massa, em gramas, dos materiais. As quantidades liberadas dos herbicidas impregnados no material ESC-Quit-B, em função do tempo, podem ser observadas na Figura 5. É possível observar que a liberação do herbicida atrazina ocorreu em torno de 7 dias (Figura 5a).

 


Figura 5. Gráficos das quantidades liberadas de atrazina (a) e diuron (b) impregnados no material ESC-Quit-B em função do tempo

 

Para o diuron, observa-se um período de tempo menor, ou seja, de aproximadamente 4 dias (Figura 5b). Esses resultados indicam que o processo de reticulação com Bórax proporcionou a obtenção de um material bastante apropriado para aplicação em sistemas de liberação prolongada, uma vez que para o material não reticulado, ESC-Quit, as liberações dos dois herbicidas ocorreram em aproximadamente cinco horas. Com base em estudo da literatura,12 assume-se que no material ESC-Quit-B os grupos OH remanescentes (tanto da quitosana como da hidroxiapatita) formam ligações de hidrogênio com os herbicidas proporcionando uma liberação lenta.

Para determinar os parâmetros cinéticos da liberação dos herbicidas, os resultados foram analisados através da aplicação da equação linearizada da Lei da Potência:26

 

 

Construindo-se um gráfico de ln de α em função de ln de t (Figura 6a e 6b) foi possível determinar os valores do expoente de difusão (n) e da taxa aparente de liberação (k) a partir dos coeficientes angulares e lineares, respectivamente, da porção reta chamada faixa de aplicabilidade.26

 


Figura 6. Gráfico de ln α em função de ln t mostrando a faixa de aplicabilidade do processo de liberação da atrazina (a) e diuron (b) impregnados no material ESC-Quit-B

 

O ajuste dos dados ao modelo da Lei da potência pode ser observado através da confrontação dos valores teóricos e experimentais. Os valores do expoente de difusão foram de 0,45 para a atrazina e 0,70 para o diuron. Já os valores de k (min-1) foram de 0,41 e 0,36 para atrazina e diuron, respectivamente. Os valores de n indicam que os processos de liberação dos herbicidas impregnados no material ESC-Quit-B seguem o modelo de Transporte Anômalo,50 ou seja, sugere que a liberação é controlada tanto pela difusão do herbicida quanto pelo intumescimento do material.

A quantidade de liberação da atrazina foi superior à quantidade liberada de diuron. Este fato pode estar relacionado à maior quantidade de grupos CH3 na estrutura química da atrazina, o que pode causar impedimento estérico e inibir a formação de ligações de hidrogênio entre as moléculas do herbicida com o material. Isto diminui a interação e, consequentemente, acelera a liberação do composto ativo.51

 

CONCLUSÕES

Esferas à base de quitosana e escamas do peixe piau da espécie Leporinus elongatus foram obtidas sendo denominadas ESC-Quit. O material ESC-Quit foi reticulado com Bórax, para obtenção das esferas denominadas ESC-Quit-B. O processo de reticulação proporcionou uma maior estabilidade do material em meio aquoso, uma vez que as esferas mantiveram suas características estruturais após os experimentos de liberação dos herbicidas atrazina e diuron. Os dados de liberação ajustados ao modelo de Peppas indicaram que os processos de liberação são controlados tanto pela difusão do herbicida quanto pelo intumescimento do material.

Os tempos de liberações dos herbicidas impregnados nas esferas ESC-Quit foram de aproximadamente cinco horas. O material ESC-Quit-B mostrou-se mais eficiente, uma vez que os tempos de liberações foram de quatro dias para o diuron e de aproximadamente sete dias para o herbicida atrazina, com percentuais de liberação em torno de 46% e 63%, respectivamente. Espera-se, portanto, que os resultados aqui apresentados possam contribuir para a inovação no campo da tecnologia dos defensivos agrícolas, mais especificamente para o desenvolvimento de materiais de baixo custo que possam ser utilizados em sistemas de liberação controlada de agrotóxicos.

 

AGRADECIMENTOS

Os autores agradecem ao CNPq e CAPES pelas bolsas concedidas a R. A. Chagas e G. K. R. Cortes. A. R. Cestari e E. F. S. Vieira agradecem ao CNPq pelas bolsas de PQ e auxílio financeiro.

 

REFERÊNCIAS

1. Jardim, A. N. O.; Caldas, E. D.; Food Control 2012, 25, 607.

2. Plakas, K. V.; Karabelas, A. J.; Desalination 2012, 287, 255.

3. Pedlowski, M. A.; Canela, M. C.; Terra, M. A. C.; Faria, R. M. R.; Crop Protection 2012, 31, 113.

4. Benitez, F. J.; Real, F. J.; Acero, J. L.; Garcia, C.; J. Hazard. Mater. B. 2006, 138, 278.

5. Matarczyk, J. A.; Willis, A. J.; Vranjic, J. A.; Ash J. E.; Biological Conservation. 2002, 108, 133.

6. Tironi, S. P.; Belo, A. F.; Fialho, C. M. T.; Galon, L.; Ferreira, E. A.; Silva, A. A.; Costa, M. D.; Barbosa, M. H. P.; Planta Daninha 2009, 27, 995.

7. Katsumata, H.; Sada, M.; Nakaoka, Y.; Kaneco, S.; Suzuki, T.; Ohta, K.; J. Hazard. Mater. 2009, 171, 1081.

8. Liu, Y.; Xu, Z.; Wu, X.; Gui, W.; Zhu, G.; J. Hazard. Mater. 2010, 178, 462.

9. Kadian, N.; Gupta, A.; Satya, S.; Mehta, R. K.; Malik, A.; Bioresour. Technol. 2008, 99, 4642.

10. Akelah, A.; Rehab, A.; Gamal, M. M. E.; Mater. Sci. Eng., C 2008, 28, 1123.

11. Maqueda, C.; Partal, P.; Villaverde, J.; Rodriguez, J. L. P.; Appl. Clay Sci. 2009, 46, 289.

12. Yi, Y.; Xu, S.; Sun, H.; Chang, D.; Yin, Y.; Zheng, H.; Xu, H.; Lou, Y.; Carbohydr. Polym. 2011, 86, 1007.

13. Singh, B.; Sharma, D. K.; Kumar, R.; Gupta, A.; Appl. Clay Sci. 2009, 45, 76.

14. Chevillard, A.; Coussy, H. A.; Guillard, V.; Gontard, N.; Gastaldi, E.; Polym. Degrad. Stab. 2012, 97, 2060.

15. Chevillard, A.; Coussy, H. A.; Guillard, V.; Gontard, N.; Gastaldi, E.; J. Hazard. Mater. 2012, 205, 32.

16. Singh, B.; Sharma, D. K.; Kumar, R.; Gupta, A.; J. Hazard. Mater. 2010, 177, 290.

17. Quiñones, J. P.; Gothelf, K. V.; Kjems, J.; Caballero, A. M. H.; Schmidt, C.; Covas, C. P.; Carbohydr. Polym. 2012, 88, 1373.

18. Bulmer, C.; Margaritis, A.; Xenocostas, A.; Biochemical Engineering Journal 2012, 68, 61.

19. Agnihotri, S. A.; Aminabhavi, T. M.; J. Controlled Release 2004, 96, 245.

20. Vasconcellos, F. C.; Goulart, G. A. S.; Beppu, M. M.; Powder Technol. 2011, 205, 65.

21. Sinha, V. R.; Singla, A. K.; Wadhawan, S.; Kaushik, R.; Kumria, R.; Bansal, K.; Dhawan, S.; Int. J. Pharm. 2004, 274, 1.

22. Nikpour, M. R.; Rabiee, S. M.; Jahanshahi, M.; Composites: Part B 2012, 43, 1881.

23. Kousalya, G. N.; Gandhi, M. R.; Sundaram, C. S.; Meenakshib, S.; Carbohydr. Polym. 2010, 82, 594.

24. Gandhi, M. R.; Kousalya, G. N.; Meenakshi, S.; Int. J. Biol. Macromol. 2011, 48, 119.

25. Pati, F.; Adhikari, B.; Dhara, S.; Bioresour. Technol. 2010, 101, 3737.

26. Adnadjevic, B.; Jovanovic, J.; Drakulic, B.; Thermochim. Acta 2007, 466, 38.

27. Santos, E. B.; Vieira, E. F. S.; Cestari, A. R.; Barreto, L. S.; Quim. Nova 2009, 32, 134.

28. Ávila, L. G.; Leite, S. B.; Dick, D. P.; Pohlmann, A. R.; Quim. Nova 2009, 32, 1727.

29. Wang, Y.; Shu, L.; Jegatheesan, V.; Gao, B.; Sep. Purif. Technol. 2010, 74, 236.

30. Ikoma, T.; Kobayashi, H.; Tanaka, J.; Walsh, D.; Mann, S.; J. Struct. Biol. 2003, 142, 327.

31. Santos, M. L.; Florentino, A. O.; Saeki, M. J.; Aparecida, A. H.; Fook, M. V. L.; Guastaldi, A. C.; Eclet. Quím. 2005, 30, 29.

32. Li, J.; Dou, Y.; Yang, J.; Yin, Y.; Zhang, H.; Yao, F.; Wang, H.; Yao, K.; Mater. Sci. Eng., C 2009, 29, 1207.

33. Pighinelli, L.; Kucharska, M.; Carbohydr. Polym. 2012.

34. Gao, S.; Guo, J.; Nishinari, K.; Carbohydr. Polym. 2008, 72, 315.

35. Ding, C. C.; Teng, S. H.; Pan, H.; Mater. Lett. 2012, 79, 72.

36. Lacerda, K. A.; Lameiras, F. S.; Silva, V. V.; Quim. Nova 2009, 32, 1216.

37. Demetgul, C.; Serin, S.; Carbohydr. Polym. 2008, 72, 506.

38. Wilson Jr, O. C.; Hull, J. R.; Mater. Sci. Eng., C 2008, 28, 434.

39. Li, X.; Nan, K.; Shi, S.; Chen, H.; Int. J. Biol. Macromol. 2012, 50, 43.

40. Pereda, M.; Ponce, A. G.; Marcovich, N. E.; Ruseckaite, R. A.; Martucci, J. F.; Food Hydrocolloids 2011, 25, 1372.

41. Sionkowska, A.; Wisniewski, M.; Skopinska, J.; Kennedy, C. J.; Wess, T. J.; Biomaterials 2004, 25, 795.

42. Li, J.; Chen, Y.; Yin, Y.; Yao, F.; Yao, K.; Biomaterials 2007, 28, 781.

43. Zhang, H.; Wang, Y.; Yan, Y.; Li, S.; Ceram. Int. 2003, 29, 413.

44. Trommer, R. M.; Santos, L. A.; Bergmann, C. P.; Mater. Sci. Eng., C 2009, 29, 1770.

45. Fraga, A. F.; Filho, E. A.; Rigo, E. C. S.; Boschi, A. O.; Appl. Surf. Sci. 2011, 257, 388.

46. Mohamed, K. R.; Mostafa, A. A.; Mater. Sci. Eng., C 2008, 28, 1087.

47. Vieira, E. F. S.; Cestari, A. R.; Airoldi, C.; Loh, W.; Biomacromolecules 2008, 9, 1195.

48. Watanabe, J.; Akashi, M.; Appl. Surf. Sci. 2008, 255, 344.

49. Chirnside, A. E. M.; Ritter, W. F.; Radosevich, M.; Soil Biology and Biochemistry 2007, 39, 3056.

50. Siepmann, J.; Peppas, N. A.; Adv. Drug Delivery Rev. 2012, 64, 163.

51. Grillo, R.; Santos, N. Z. P.; Maruyama, C. R.; Rosa, A. H.; Lima, R.; Fraceto, L. F. J. Hazard. Mater. 2012, 231, 1.

On-line version ISSN 1678-7064 Printed version ISSN 0100-4042
Qu�mica Nova
Publica��es da Sociedade Brasileira de Qu�mica
Caixa Postal: 26037 05513-970 S�o Paulo - SP
Tel/Fax: +55.11.3032.2299/+55.11.3814.3602
Free access

GN1