JBCS



14:52, sáb out 25

Acesso Aberto/TP



Artigo


Síntese e avaliação da atividade antimalárica de compostos derivados da curcumina
Synthesis and evaluation of antimalarial activity of curcumin derivatives

Patrícia Ramos GomesI; Fábio Balbino MiguelI; Michael Éder de OliveiraII; Vanessa Viana FerreiraII; Daniel Silqueira Martins GuimaraesII; Aline Brito de LimaII; Camila de Souza BarbosaII; Mariana Amorim de OliveiraII; Mauro Vieira de AlmeidaI; Gustavo Henrique Ribeiro VianaII; Mara Rubia Costa CouriI; Fernando de Pilla VarottiII,*

IDepartamento de Química, Instituto de Ciências Exatas, Universidade Federal de Juiz de Fora, Cidade Universitária, 36036-900 Juiz de Fora - MG, Brasil
IICentro de Ciências da Saúde, Universidade Federal de São João Del Rei - Campus Centro Oeste, 35501-296 Divinópolis - MG, Brasil

Recebido em 05/09/2013
Aceito em 08/11/2013
Publicado na web em 03/02/2014

Endereço para correspondência

*e-mail: varotti@ufsj.edu.br

RESUMO

One of the main challenges in the development of new antimalarial drugs is to achieve a viable lead candidate with good pharmacokinetic properties. Curcumin has a broad range of biological activities, including antimalarial activity. Herein, we report the antimalarial activity of six curcumin derivatives (6-12) and an initial analysis of their pharmacokinetic properties. Five compounds have demonstrated potent activity against the P. falciparum in vitro (IC50 values ranging from 1.7 to 15.2 µg mL-1), with moderate or low cytotoxicity against the HeLa cell line. The substitution of the carbonyl group in 6 by a 2,4-dinitrophenylhydrazone group (to afford 11) increases the Selective Index. These preliminary results indicate curcumin derivatives as potential antimalarial compounds.

Palavras-chave: curcumin derivatives; antimalarial chemotherapy; Plasmodium falciparum.

INTRODUÇÃO

Segundo a OMS a malária é uma doença parasitária de grande importância epidemiológica considerada um problema grave de saúde pública.1 No Brasil, dados do Ministério da Saúde demonstram que o número de casos da doença foi de aproximadamente a 200.000 no ano de 2011 e desses 99,9% foram originados nos Estados da Amazônia Legal.2

A malária é causada pelo protozoário do gênero Plasmodium e cinco espécies são responsáveis pela infecção em humanos: Plasmodium ovale, Plasmodium vivax, Plasmodium malariae, Plasmodium falciparum e mais recentemente Plasmodium knowlesi,3 sendo o P. falciparum a espécie responsável pela forma mais grave da doença.4

Sem uma vacina eficaz, seu controle exige um programa integrado que inclui proteção individual contra a picada dos vetores e o tratamento quimioterápico específico dos pacientes infectados.1 O atual arsenal terapêutico empregado no tratamento clínico da malária adota a utilização de associações medicamentosas de compostos 4- e 8-aminoquinolínicos sintéticos, como mefloquina e primaquina, com derivados endoperóxidossemi-sintéticos da artemisinina: o arteméter, o arteeter e o artesunato.5

No entanto, o elevado custo dessas associações6 somado à crescente resistência do Plasmodium à terapia convencional7 torna urgente a busca de novas classes de quimioterápicos capazes de combater o parasito causador da doença. Neste contexto, a triagem de novos compostos com ação antimalárica ainda configura-se como uma ferramenta útil no combate à cepas de Plasmodium resistentes.5

A curcumina, (Figura 1) é um polifenol natural abundante no rizoma da erva perene cúrcuma, Curcuma longa Linnaeus, também conhecida como açafrão da Índia. É amplamente usada como tempero e corante na culinária indiana.8,9

 


Figura 1. Estrutura química da curcumina

 

A curcumina tem sido utilizada na medicina Ayuverdica, a medicina tradicional da Índia, por mais de 6000 anos com várias propriedades farmacológicas descritas, incluindo ação anti-inflamatória, anticarcinogênica e anti-infecciosa.10-12

Os efeitos citotóxico e antiparasitário da curcumina já foram demonstrados em culturas contra Leishmania, Trypanosoma, Giardia e Plasmodium falciparum.13,14

Neste trabalho descrevemos a síntese e a avaliação in vitro da ação antimalárica, contra Plasmodium falciparum, de seis compostos sintéticos derivados da curcumina.

 

PARTE EXPERIMENTAL

Os espectros de ressonância magnética nuclear de hidrogênio e de carbono 13 foram obtidos em um espectrômetro BRUKER AVANCE DRX/300. Como referência interna foi utilizado o tetrametilsilano (TMS). Os valores de deslocamento químico (δ) são referidos em partes por milhão (ppm) e os valores de constante de acoplamento (J) em Hz. Os espectros de absorção na região do infravermelho foram registrados em um espectrofotômetro BOMEM-FTIR MB-120 utilizando-se pastilhas de KBr previamente dessecadas a 500 ºC como suporte para os compostos sólidos. Os valores para a absorção são referidos em números de onda, utilizando como unidade cm-1. As faixas de fusão foram obtidas em aparelho digital MQAPF-Microquímica.

Síntese dos Compostos

Procedimento geral para a síntese das cetonas 6-1015

Em um balão de fundo redondo de 50 mL contendo uma mistura de solução aquosa de hidróxido de sódio (2,5 mmol) e acetona (1 mmol), foi adicionada gota a gota uma solução etanólica do aldeído aromático (2 mmol). A mistura reacional permaneceu sob agitação magnética à temperatura ambiente por aproximadamente 20 minutos quando observou-se a formação de um precipitado floculento. Por meio de CCD (Hexano/AcOEt 9:1 v/v; revelador: UV) foi constatado o fim da reação. O sólido formado foi então separado por filtração a vácuo, lavado com H2O/EtOH e recristalizado em hexano/AcOEt (proporção de 3:1 v/v) ou em EtOH.

(1E,4E)-1,5-(difenilpenta)-1,4-dien-3-ona (6)

Rendimento 44%, sólido amarelo,T.F.129-130 ºC (Lit. 128-130 ºC).16 IV (KBr) νmax/cm-1: 3052 (C-H aromático), 2961(C-H alifático), 1653 (C=O), 1630 (C=C aromático), 1597 (C=C olefina), 1250 (CAR-O-C). RMN 1H (300 MHz, CDCl3). δ= 7,74 (d, J= 16,0 Hz, 2H); 7,40-7,61 (m, 10H); 7,08 (d, J= 16,0 Hz, 2H). RMN 13C (75 MHz; CDCl3): δ=189,1; 143,5; 135,0; 130,7; 129,2; 128,6; 125,7.

(1E,4E)-1,5-bis(4'-metoxifenil)penta-1,4-dien-3-ona (7)

Rendimento 98%, sólido amarelo,T.F. 110-111 ºC (Lit. 110-112 ºC).16 IV (KBr) νmax/cm-1: 3054 (C-H aromático), 2997 (C-H alifático), 1651 (C=O), 1627 (C=C aromático), 1592 (C=C olefina). RMN 1H (300 MHz, CDCl3). δ= 7,69 (d, J= 15,9 Hz, 2H); 7,54 (d, J= 8,7 Hz, 4H); 6,94 (d, J= 15,9 Hz, 2H); 6,90 (d, J= 8,7 Hz, 4H); 3,83 (s, 6H). RMN 13C (75 MHz; CDCl3): δ= 188,9; 161,7; 142,8; 130,2; 127,8; 123,7; 114,7; 55,5.

(1E,4E)-1,5-bis(3',4',5'-trimetoxifenil)penta-1,4-dien-3-ona (8)

Rendimento 76%, sólido amarelo, T.F. 125-126 ºC (Lit. 128 ºC).17 IV (KBr) νmax/cm-1: 3008 (C-H aromático), 2943-2844 (C-H alifático), 1623 (C=O), 1583 (C=C aromático), 1128 (CAR-O-C). RMN 1H (300 MHz, CDCl3). δ= 7,67 (d, J= 15,8 Hz, 2H); 6,98 (d, J= 15,8 Hz, 2H); 6,85 (s, 4H); 3,92 (s, 6H) . RMN 13C (75 MHz; CDCl3): δ=188,7; 153,7; 143,6; 140,6; 130,5; 124,9; 105,4; 56,4.

(1E,4E)-1,5-bis(4'-deciloxifenil)penta-1,4-dien-3-ona (9)

Rendimento 11%, sólido branco, T.F. 70-71 ºC. IV (KBr) νmax/cm-1: 3023 (C-H aromático), 2964 (C-H alifático), 1665 (C=O), 1609 (C=C aromático), 1515 (C=C olefina), 1264 (CAR-O-C). RMN 1H (300 MHz, CDCl3). δ= 7,49 (d, J= 8,5 Hz, 4H); 7,47 (d, J= 16,0 Hz, 2H); 6,90 (d, J= 8,5 Hz, 4H); 6,60 (d, J=16,0 Hz, 2H); 3,98 (t, J= 6,4 Hz, 4H); 1,74-1,81 (m, 4H); 1,25-1,45 (m, 28H); 0,88 (t, J= 6,4 Hz, 6H).RMN 13C (75 MHz; CDCl3): δ= 198,7; 161,5; 143,6; 130,2; 127,0; 125,1; 115,1; 68,4; 32,1; 29,8; 29,6; 29,5; 29,3; 27,6; 22,9; 14,3.

(1E,4E)-1,5-bis(4'-dodeciloxifenil)penta-1,4-dien-3-ona (10)

Rendimento 44%, sólido branco,T.F.72-73 ºC. IV (KBr) νmax/cm-1: 3019 (CH aromático), 2957 (CH alifático), 1665 (C=O), 1606 (C=C aromático), 1264 (CAR-O-C). RMN 1H (300 MHz, CDCl3). δ= 7,49 (d, J= 8,5 Hz, 4H); 7,45 (d, J= 16,3 Hz, 2H); 6,90 (d, J= 8,5 Hz, 4H); 6,60 (d, J=16,3 Hz, 2H); 3,98 (t, J= 6,6 Hz, 4H); 1,72-1,83 (m, 4H); 1,26-1,45 (m, 40H); 0,88 (t, J= 6,6 Hz, 6H). RMN 13C (75 MHz; CDCl3): δ= 198,6; 161,5; 146,6; 130,2; 127,0; 125,1; 115,1; 68,4; 32,1; 29,8; 29,7; 29,6; 29,5; 29,3; 27,6; 26,1; 22,9; 14,3.

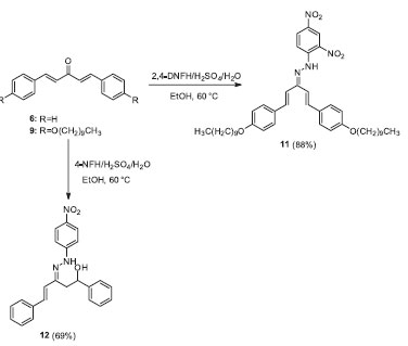
Procedimento geral para a síntese das hidrazonas 11 e 1215

Em um balão de fundo redondo de 50 mL, a solução metanólica das cetonas 6 e 9 foi adicionada gota a gota, sob agitação magnética e aquecimento (60 ºC) a uma solução ácida de 2,4-dinitrofenilhidrazina (ou 4-nitrofenilhidrazina) previamente preparada.15 A mistura reacional foi mantida sob agitação magnética e a 60 ºC por mais 5 minutos quando observou-se a formação de um precipitado. O desenvolvimento da reação foi acompanhado por CCD (eluente: hexano/AcOEt 7:3 v/v; revelador: UV). As hidrazonas 11 e 12 foram obtidas sob a forma de sólidos. O sólido formado foi então separado por filtração à vácuo e recristalizado em AcOEt/hexano (1:3 v/v).

(1E,4E)-1,5-(difenilpenta)-1,4-dien-3-ona-2,4-dinitrofenilhidrazona (11)

Rendimento 88%, sólido vermelho, T.F.178-179 ºC. IV (KBr) νmax/cm-1: 3289 (N-H), 3056 (C-H aromático), 2998 (C-H alifático), 1615 (C=C olefinas), 1588 (C=N), 1498 (nass. NO2), 1332 (nsim. NO2), 1091 (CAR-NO2). RMN 1H (300 MHz, CDCl3). δ= 11,70 (s, 1H); 9,10 (d, J= 2,6 Hz, 1H); 8,30 (dd, J=9,6 Hz, J= 2,2 Hz, 1H); 8,10 (d, J=9,6 Hz, 1H); 7,30-,7,60 (m, 6H); 7,20 (d, J=17,0 Hz, 2H); 7,10 (d, J=8,0 Hz, 4H); 6,90 (d, J=17,0 Hz, 2H).RMN 13C (75 MHz; CDCl3): δ= 153,3; 144,3; 141,3; 137,1; 136,1; 130,1; 129,0; 127,4; 126,3; 123,6; 116,8, 116,4.

(3E,4E)-1,5-difenil-4-penten-1-ol-3-ona-4-nitrofenilhidrazona (12)

Rendimento 69%, sólido laranja, T.F.135-136 ºC. IV (KBr) νmax/cm-1: 3438 (O-H), 3058 e 3023 (C-H aromático), 2917 (C-H alifático), 1596 (C=C aromáticos e olefinas), 1596 (C=N), 1506 (nass. NO2), 1301 (nsim. NO2), 1109 (CAR-NO2), 1301 (νC-OH). RMN 1H (300 MHz, CDCl3). δ= 8,04 (d, J= 9,2 Hz, 2H); 7,17-7,47 (m, 12H); 6,97 (d, J= 9,8 Hz, 2H); 6,68 (d, J=16,5 Hz, 1H); 5,36 (dd, J=12,1 Hz, J=5,3 Hz, 1H); 3,78 (dd, J=17,1 Hz, J=12,1 Hz, 1H); 3,11 (dd, J=17,1, J=5,3 Hz, 1H).RMN 13C (75 MHz; CDCl3): δ= 152,5; 148,2; 140,8; 139,5; 136,1; 135,8; 129,7; 129,0; 128,4; 128,0; 127,0; 125,9; 125,6; 124,9; 124,6; 120,8; 112,3; 111,8; 111,6; 63,5; 42,6.

Solubilização dos compostos

Os compostos foram diluídos em dimetilsulfóxido (DMSO) não ultrapassando a concentração de 0,05% final. O antimalárico controle, cloroquina, foi diluído com RPMI (SigmaAldrich). As soluções estoque (5 mg mL-1) foram preparadas no dia dos experimentos.

Cultivo in vitro das fases intra-eritrocitárias de Plasmodium falciparum

Os parasitos da cepa W2 (cloroquina-resistente) e 3D7 (cloroquina-sensível) foram cultivados em hemácias humanas in vitro.18,19 Resumidamente, os parasitos foram cultivados em placas de Petri com hematócrito a 5% usando meio RPMI 1640 suplementado com 25 mM de Hepes, 21 mM de bicarbonato de sódio, 300 mM de hipoxantina, 11 mM de glicose, 40 mg mL-1 de gentamicina e 10% (v/v) de plasma humano inativado. As placas foram mantidas à 37 ºC em dessecadores nos quais a concentração adequada de O2 foi obtida pela combustão de uma vela, sendo realizadas trocas diárias de meio. A parasitemia foi determinada diariamente por meio de esfregaços sanguíneos das culturas fixados com metanol e corados com solução de Giemsa. O cálculo da parasitemia foi realizado segundo a fórmula descrita abaixo:

Parasitemia=Nº de hemácias parasitadas/Nº de hemácias totais

Sincronização do cultivo de Plasmodium falciparum

As culturas de P. falciparum foram sincronizadas pelo método de sorbitol20 para obtenção de uma amostra com predomínio de fase jovem (anel) para os ensaios in vitro.

Ensaio antimalárico in vitro

As culturas sincronizadas com 1-2% de parasitemia no estágio de anel e 2% de hematócrito foram distribuídas em microplacas de 96 poços. Os compostos testados foram adicionados a diferentes concentrações. Em paralelo, foi utilizado o antimalárico padrão cloroquina. Cada composto foi testado em triplicata, nas concentrações seriadas de 50 a 1,56 µg mL-1. As placas foram incubadas por 48 h a 37 ºC e congeladas a -80 ºC por 24 h. Em uma nova placa de 96 poços foi adicionado 150 µl do anticorpo monoclonal anti-HRP2 (MPFM ICLLAB-55A®, USA) a 0,8 µg ml-1. Após 24 h de incubação a 4 ºC, a solução foi descartada e a placa foi bloqueada com a adição de 200 µl/poço de uma solução PBS-ALB 5% (PhosphateBuffered Saline e Albumina Bovina) (Sigma-Aldrich). Após nova incubação por 3h a temperatura ambiente, as placas foram lavadas cinco vezes com PBS. Após esta etapa, foi adicionado 100 µl/poço da cultura pré-tratada como descrito acima. Após 2h de incubação a temperatura ambiente, a placa foi novamente lavada cinco vezes com PBS, e incubadas com 120 µl/poço do anticorpo secundário (MPFG55P ICLLAB®, USA), diluído 1:4000 por 2 h a temperatura ambiente. Após esta etapa, a placa foi novamente lavada cinco vezes com PBS e foi adicionado 100 µl/poço de TMB. Após a incubação por 30 min em ambiente protegido da luz, a absorbância a 450 nm foi lida em um espectrofotômetro de microplacas (Espectramax M5e/Molecular Devices).21P. malariae and P. ovale (pLDH A concentração que inibe 50% da viabilidade dos parasitos (IC50) foi determinada em comparação com o controle sem a presença dos compostos (considerado 100% de viabilidade).

Ensaios de citotoxicidade

A citotoxicidade dos compostos sintéticos foi avaliada utilizando contra a linhagem celular HeLa (ATCC # CCl-2) pelo ensaio redução do 3-(4,5 dimetiltiiazol-2il)-2,5 difeniltretazólico (MTT). Para o ensaio de viabilidade celular as células foram transferidas para uma placa de 96 poços na concentração de 1x105 células/poço e incubadas por 24 h em estufa a 37 ºC e atmosfera úmida de 5% CO2. Os compostos testados foram adicionados em diferentes concentrações que variaram de 1000 a 0,1 µg mL-1. Após 48 horas de incubação, os poços foram lavados com meio incompleto e foi adicionado o sal tetrazólico MTT na concentração de 5 mg mL-1. Após 3 horas de incubação as placas foram centrifugadas por 5 min a 300 g. O sobrenadante foi descartado e foi acrescentado 50 µL de DMSO em cada poço para solubilizar os cristais de formazan. A leitura foi realizada em espectrofotômetro de microplacas (Espectramax M5e/Molecular Devices). A concentração que inibe em 50% o crescimento das células (IC50) na presença dos compostos testes e dos antimaláricos controles foi determinada em comparação com células cultivadas sem a presença de compostos (considerada 100% de crescimento).

Determinação da concentração inibitória de 50% (IC50) do crescimento dos parasitos e da linhagem celular HeLa

A inibição do crescimento de 50% dos parasitos e das células foi determinada através de curvas dose-resposta, em função de regressão não linear. Foi utilizado o programa Origin (OriginLab Corporation, Northampton, MA, EUA), para determinar o valor de IC50.

Índice de seletividade

O índice de seletividade (IS) é a relação entre as atividades citotóxicas e antiparasitárias de cada composto. O IS foi obtido através da razão entre o valor de IC50 para HeLa e IC50 para P. falciparum (cepa W2):

IS = IC50 linhagem celular HeLa / IC50P. falciparum (cepa W2)

 

RESULTADOS E DISCUSSÃO

Sete derivados sintéticos da curcumina foram sintetizados e caracterizados (6-12) com rendimentos que variaram de 11 a 98% conforme os Esquemas 1 e 2. Dentre estes, o composto 12 é inédito na literatura.

 


Esquema 1. Procedimento geral para a síntese das cetonas 6-10

 

 


Esquema 2. Procedimento geral para a síntese das hidrazonas 11 e 12

 

A primeira série de derivados sintéticos da curcumina 6-10 (Esquema 1) foi planejada de forma a verificar a influência da presença ou ausência de diferentes grupos alcoxila nos anéis aromáticos desses compostos sobre a sua ação antimalárica. A segunda série, com os compostos 11 e 12 (Esquema 2), foi sintetizada para se verificar a influência da conversão dos grupos carbonila em suas hidrozonas correspondentes sobre a atividade antimalárica. O composto 9 foi obtido com 11% de rendimento e não foi utilizado para a realização dos ensaios antimaláricos devido à pequena quantidade obtida.

Cinco dos seis derivados sintéticos da curcumina apresentaram valores de IC50 entre 2,0 e 20,4 µg mL-1 nos ensaios in vitro realizados em cultura de P. falciparum contra a cepa 3D7 cloroquina-sensível (Tabela 1). Os mesmos compostos, testados contra a cepa W2 (cloroquina-resistente), apresentaram valores de IC50 semelhantes à cepa 3D7, variando de 1,7 a 15,2 µg mL-1.

 

 

Dentre os derivados sintéticos da curcumina, o composto 6 apresentou o menor valor de IC50 contra as cepas 3D7 e W2 de toda a série sintetizada(2,0 e 1,7 µg mL-1, respectivamente).

Durante a prospecção de novas substâncias bioativas é desejável que os compostos avaliados com potencial ação antimalárica apresentem valores reduzidos de IC50 nos ensaios in vitro. Isso minimiza o risco de falta de especificidade da droga por seu alvo, além de possibilitar a administração de doses menores, reduzindo assim a chance de ocorrerem efeitos adversos.22 Contudo, além do menor valor de IC50, o desenvolvimento de novas drogas antimaláricas deve levar em consideração outros parâmetros além da potência. Atualmente é aceito que compostos com alta potência não resultam necessariamente em fármacos eficazes. Além da potência, fatores tais como a massa molecular e outras propriedades físico-químicas devem ser avaliadas quando administrados por via oral.23 O atual arsenal terapêutico empregado no tratamento da malária, bem como novas alternativas em teste clínico preconizam a administração por via oral.24-27 Nesse contexto, a regra dos cinco de Lipinski é uma forma simples de se avaliar a biodisponibilidade oral teórica de um composto.28 Esta regra determina que uma melhor absorção oral está associada a compostos com massa molecular (M.M) <500, coeficiente de partição calculado octanol / água (cLogP) <5, número de átomos doadores de ligação de hidrogênio (HDB) <5 e número de átomos aceptores de ligação de hidrogênio (HAB) <10. Compostos que obedecem a três desses quesitos seguem a regra de Lipinski. Os resultados dessa análise para os compostos sintetizados encontram-se na Tabela 2.

 

 

A partir da análise dos dados da Tabela 2 pode-se perceber que os compostos 10 e 11 não seguem a regra de Lipinski, o que pode comprometer a sua permeabilidade e absorção por via oral. O composto 11, em especial, possui o índice de seletividade mais elevado de toda a série (IS=109,3) e o segundo menor valor de IC50.

Comparando-se as propriedades do composto 11, listadas na Tabela 2, com as do análogo 6 da curcumina, que serviu como ponto de partida para as modificações de todos os demais derivados sintéticos dessa série, algumas correlações estruturais preliminares que modulam sua atividade/seletividade podem ser realizadas. Observou-se que em relação ao composto 6 a introdução de grupos substituintes na posição para do anel aromático do composto 10 elevou o valor de IC50. No entanto, houve um incremento no índice de seletividade do derivado sintético 10. A substituição do grupo carbonila do composto 6 por um grupo 2,4-dinitrofenilhidrazona no composto 11 também elevou tanto o valor de IC50 como o índice de seletividade a patamares semelhantes ao do composto 10. A associação em um único análogo da curcumina, o composto 11, de um grupo 2,4-dinitrofenilhidrazona e grupos substituintes na posição para dos anéis aromáticos levou a uma redução significativa no valor de IC50 em relação aos compostos 10 e 12 além de gerar um grande incremento no índice de seletividade. Embora o composto 11 não seja um bom candidato para absorção oral conforme já foi discutido anteriormente, pode-se inferir, ainda que preliminarmente, que substituições no grupo carbonila e a presença de substituintes na posição para do anel aromático são benéficos para atividade antimalárica e seletividade desses análogos. Compostos semelhantes ao derivado 11 da curcumina poderiam ser otimizados posteriormente a fim de melhorar suas propriedades de permeabilidade e absorção por via oral.

 

CONCLUSÕES

Com a crescente preocupação de se buscar novos compostos com ação antimalárica, moléculas de síntese eficiente e de baixo custo tem sido alvo da quimioterapia antimalárica. A síntese dos derivados de curcumina segue este padrão. Os resultados promissores obtidos nesse trabalho demonstram o potencial dessa classe no desenvolvimento de um novo antimalárico.

 

AGRADECIMENTOS

Os autores agradecem o CNPq e FAPEMIG pelo auxílio financeiro durante a execução deste trabalho.

 

REFERÊNCIAS

1. WHO - World Health Organization, 2010. World Malaria Report 2010. Disponível em: http://who.int/malaria/world_malaria_report_2010/en/index.html, Acessada em Julho 2012.

2. MS - Ministério da Saúde do Brasil. Secretaria de Vigilância em Saúde. Departamento de Vigilância Epidemiológica. Situação Epidemiológica da Malária na Amazônia - Sivep Malaria. Brasília, 2011. Disponivel em: http://portal.saude.gov.br/portalsaude/arquivos/pdf/2011/Set/05/jarbas_malaria_050911.pdf. Acessada em Julho 2012.

3. Singh, B.; Daneshvar, C.; Clin. Microbiol. Rev. 2013, 26, 165.

4. Milner, D. A.; Valim, C.; Carr, R. A.; Chandak, P. B.; Fosiko, N. G.; Malaria J. 2013, 12, 191.

5. Miller, L. H.; Ackerman, H. C.; Su, X.; Wellems, T. E.; Nat. Med. 2013, 19, 156.

6. White, N. J.; Science 2008, 320, 330.

7. Ecker, A.; Lehane, A. M.; Clain, J.; Fidock, D. A.; Trends parasitol. 2012, 28, 504.

8. Sharma, R. A.; Gescher, A. J.; Steward, W. P.; Eur. J. Cancer 2005, 41, 1955.

9. Sandur, S. K.; Pandey, M. K., Sung, B.; Ahn, K. S.; Muraka, A.; Carcinogenesis 2007, 28, 1765.

10. Sun, J.; Zhao, Y.; Hu, J.; PLoS One 2013, 8, e67078.

11. Pan, Y.; Wang, M.; Bu, X.; Zuo, Y.; Wang, S.; Wang, D.; Liu, Q.; Su, B.; Xu, T.; Wang, C.; Claret, F. X.; Yang, H.; BMC Cancer 2013, 13, 323.

12. Marathe, S. A.; Kumar, R.; Ajitkumar, P.; Nagaraja, V.; Chakravortty, D.; J. Antimicrob. Chemother. 2013, 68, 139.

13. Cui, L.; Miao, J.; Cui, L.; Antimicrob. Agents Chemother. 2007, 51, 488.

14. Manohar, S.; Khan, S. I.; Kandi, S. K.; Raj, K.; Sun, G. Y. X.; Calderon Molina, A. D.; Ni, N., Wang, B.; Rawat, D. S.; Bioorg. Med. Chem. Lett. 2013, 23, 112.

15. Rezende, M. C.; Pizarro, C.; Millán, D.; Quim. Nova. 2007, 30, 229.

16. Weber, W. M.; Hunsaker, L. A.; Abcouwer, S. F.; Deck, L. M.; Vander Jagt, D. L.; Bioorg. Med. Chem. 2005, 13, 3811.

17. Adeva, M.; Sahagún, H.; Caballero, E.; Peláez-Lamamié de Clairac, R.; Medarde, M.; Tomé, F.; The Journal of Organic Chemistry 2000, 65, 3387.

18. Andrade-Neto, V.F.; Brandão, M. G. L.; Oliveira, F. Q.; Casali, V. W. D.; Njaine, B.; Zalis, M. G.; Oliveira, L. A.; Krettli, A. U.; Phytother. Res. 2004, 18, 634.

19. Carvalho, L. H.; Brandão, M. G.; Santos-Filho, D.; Lopes, J. L.; Krettli, A. U.; Braz. J. Med. Biol. Res. 1991, 24, 1113.

20. Hilário, F. F.; de Paula, R. C.; Silveira, M. L. T.; Viana, G. H. R.; Alves, R. B.; Pereira, J. R. C. S.; Silva, L. M.; de Freitas, R. P.; de Pilla Varotti, F.; Chem. Biol. Drug Des. 2011, 78, 477.

21. Penna-Coutinho, J.; Cortopassi, W. A.; Oliveira, A. A.; França, T. C. C.; Krettli, A.U.; PLoS One. 2011, 6, e21237.

22. Ryckmans, T.; Edwards, M. P.; Horne, V. A.; Correia, A. M.; Owen, D. R.; Thompson, L. R; Tran, I.; Tutt, M. F.; Young, T.; Bioorg. Med. Chem. Lett. 2009, 19, 4406.

23. Abad-Zapatero, C.; Metz, J. T.; Drug Discov. Today 2005, 10, 464.

24. Corpolongo, A.; De Nardo, P.; Ghirga, P; Gentilotti, E.; Bellagamba, R.; Tommasi, C.; Paglia, M. G.; Nicastri, E.; Narciso, P.; Malaria J. 2012, 11, 91.

25. Ferrer, P.; Tripathi, A. K.; Clark, M.; Hand, C. C.; Rienhoff, H. Y.; Sullivan, D. J.; PLoS One 2012, 7, e37171.

26. Kopel, E.; Marhoom, E.; Sidi, Y.; Schwartz, E.; Am. J. Trop. Med. Hyg. 2012, 86, 409.

27. Saunders, D.; Khemawoot, P.; Vanachayangkul, P.; Siripokasupkul, R.; Bethell, D.; Tyner, S.; Se, Y.; Rutvisuttinunt, W.; Sriwichai, S.; Chanthap, L.; Lin, J.; Timmermans, A.; Socheat, D.; Ringwald, P.; Noedl, H.; Smith, B.; Fukuda, M.; Teja-Isavadharm, P.; Antimicrob. Agents Chemother. 2012, 56, 5484.

28. Lipinski, C.A.; Lombardo, F.; Dominy, B. W.; Feeney, P. J.; Adv. Drug Delivery Rev. 2001, 46, 3.

On-line version ISSN 1678-7064 Printed version ISSN 0100-4042
Qu�mica Nova
Publica��es da Sociedade Brasileira de Qu�mica
Caixa Postal: 26037 05513-970 S�o Paulo - SP
Tel/Fax: +55.11.3032.2299/+55.11.3814.3602
Free access

GN1