JBCS



14:54, sáb out 25

Acesso Aberto/TP



Artigo

Evaluation of antiradical assays used in determining the antioxidant capacity of pure compounds and plant extracts

Sandro de OliveiraI; Glalci Alves de SouzaI; Camila Rodrigues EckertI; Thuany Alves SilvaI; Edmar Silva SobralII; Oriana Aparecida FáveroII; Marcelo José Pena FerreiraII; Paulete RomoffII; Wilhelm Josef BaaderI,*

IDepartamento de Química Fundamental, Instituto de Química, Universidade de São Paulo, Av. Prof. Lineu Prestes, 748, Bloco 12 Superior, 05508-000 São Paulo - SP, Brasil
IIUniversidade Presbiteriana Mackenzie, Rua da Consolação, 930, 01302-907 São Paulo - SP, Brasil

Recebido em 12/09/2013
Aceito em 11/11/2013
Publicado na web em 20/02/2014

Endereço para correspondência

*e-mail: wjbaader@iq.usp.br

RESUMO

The efficiency of the chemiluminescence luminol method and colorimetric DPPH and ABTS methods in evaluating the antiradical capacity of pure compounds and plant extracts with antioxidant potential is compared. In case of pure compounds, the values of parameter 'n' (number of radicals quenched per molecule of antiradical) for ascorbic acid, p-hydroquinone, catechol, quercetin, and rutin are similar when measured by colorimetric assays; however, considerably lower values of n are obtained with the luminol assay. The antiradical activity of extracts from male and female individuals of Baccharis burchelli and Baccharis crispa were determined by the luminol assay and expressed using the new Troloxr percentage (%Troloxr) parameter.

Palavras-chave: luminol chemiluminescence; antioxidant assays; Troloxr percentage.

INTRODUCTION

Antioxidants are substances that, at relatively low concentrations, prevent, delay, or repair oxidative damages to targeted molecules. In biological systems, excess antioxidants can interfere with reactive oxygen species (ROS)-dependent signal transduction.1,2 Proteins, enzymes, and other organic molecules such as vitamin E, ascorbic acid, and carotenoids can act as antioxidants in biological systems. Phenolic compounds, including flavonoids and carotenoids, present in the human diet, mainly in fruits and vegetables, are widely recognized as antioxidants as they are capable of avoiding diseases caused by oxidative stress, such as cardiovascular disorders, cancer, neurodegenerative diseases, and premature aging. The antioxidant action of these compounds results from their capacity to reduce ROS such as hydroxyl (HO), peroxide (ROO), superoxide (O2•-), alkoxyl (RO) and hydroperoxyl (HOO) radical species, as well as, singlet oxygen (1O2, Δg) by donation of a hydrogen atom or an electron.3-5

Several methods for determining the total antioxidant capacity of pure substances and mixtures have been developed, and the importance of identifying the source of oxidative stress, the exact reaction mechanism as well as the chemical nature of the target attacked by the oxidizing species has been pointed out.6 However, most antioxidant assays developed utilize a specific radical reaction which is inhibited by the addition of a potential antioxidant compound. This chemical reaction in the assay is in general very different from the reactions of radical species generated in biological systems and the targets of these radical (detection system) are also different from the ones important in vivo.2 Therefore, the "total antioxidant capacity" measured for pure compounds using these methods is better represented by "total antiradical capacity" to accurately reflect the determined capacity of the compound to interfere in a radical reaction. This ability is not necessarily the same as the antioxidant activity in vivo, as defined above. In this sense, we use the term "antiradical capacity" henceforth for the parameter determined with "chemical" in vitro assays, and this capacity may also be understood as a "potential antioxidant capacity". The term "antiradical" is used here also for parameters where the authors of the specific assay denominate the parameter as "antioxidant".

Wayner et al. developed the total peroxyl radical-trapping potential (TRAP) method, which evaluates the time necessary to consume all antiradical species present in a specific sample, to determine the total antiradical potential of plasma samples.7 This technique is based on the measurement of the induced time in a lipid peroxidation system where free radicals are produced with a constant rate using 2,2'-azobis(2-amidinopropane) (ABAP) as radical initiator.8 To monitor the rate of this process, the oxygen consumption by the system is measured, and 6-hydroxy-2,5,7,8-tetramethylcroman-2-carboxilic acid (Trolox®) is used as standard antiradical compound. This method has been utilized by researchers to evaluate the effect of different treatments on plasma antiradical capacity. Lissi et al. proposed an adaptation of the original TRAP assay based on the suppression of light emitted in a chemiluminescent reaction by the consumption of the radicals generated during this process.9 The chemiluminescent TRAP method is based on luminol oxidation using ABAP as a free radical source.8 The reaction between an antiradical compound and radicals inhibits the chemiluminescence emission for a time period, denominated induction time, which is proportional to the concentration of the additive and its antiradical capacity. This induction time is determined relative to that of the standard antioxidant Trolox®.

Bastos et al. developed a chemiluminescent method using the luminol/hemin/ H2O2 system; the emission in this system is higher than that of the luminol/ABAP system8 and has a considerably lower response time.10 Additionally, in contrast to other methods, the antiradical capacity is determined by the suppression in the area of the light emission by the antioxidant, therefore allowing for the exact determination of the antiradical capacity of probes with different antiradical reactivities.10 This method can also be utilized for the determination of antiradical capacity of a complex mixture of potential antioxidants, wherein the antiradical capacity is expressed in mg L-1 of antiradical that corresponds to the suppression area equivalent to the addition of Trolox® 1.0 µmol L-1 (by analogy to the proposed practices in TRAP method for complex mixtures).11

Several other robust and reliable antiradical assays, based on the chemiluminescence emission of the luminol system, have been utilized for the determination of the antiradical activity of pure compounds and complex mixtures extracted from plants, including chalcones and natural lipids present in vegetable oils.12-14 The advantage of these chemiluminescence antiradical assays, apart from simple instrumentation and high sensitivity, is that they are all based on the detection of the steady-state concentration of oxygen free radicals. The concentration of these free radicals, generated at a constant rate from a radical source, is decreased on the addition of the antiradical compound(s), thereby providing a simplistic representation of physiological conditions, where antioxidants decrease the steady-state concentration of in vivo generated free radicals.14

The oxidation of luminol (5-amino-2,3-dihydro-1,4-phthalazinedione) by hydrogen peroxide in the presence of a transition metal catalyst in aqueous alkaline medium leads to the formation of 3-aminophthalate and molecular nitrogen, accompanied by the fluorescence emission at 420 nm resulting from 3-aminophthalate.15 This reaction occurs with the involvement of free radicals, including radical species formed by the oxidation of the luminol monoanion by the transition metal catalyst and other several ROS such as superoxide anion and hydroxyl radical.15 The addition of compounds that scavenge free radical species leads to a reduction in the quantity of radicals, thereby inhibiting chemiluminescence emission (Scheme 1). We have developed an assay, based on the inhibition of the hemin catalyzed luminol chemiluminescence, to determine the antiradical activity of natural products.10 Addition of the antiradical sample to the reaction mixture after a defined reaction time suppresses the light emission due to radical scavenging by the additive (Scheme 1). The reaction continues without light emission until all the antiradical compound is consumed by the steadily forming radicals; when the antiradical compounds are completely consumed, light emission with an intensity expected from the kinetic emission curve in the absence of antiradical sample is reestablished. The area of suppression observed upon the addition of the antiradical sample (see Experimental) is proportional to the number of radical suppressed by the sample. Therefore, this method can be utilized to determine the antiradical capacity of potential antioxidants.10

 


Scheme 1. Chemiluminescent oxidation of luminol in alkaline aqueous medium in the presence of an antiradical compound

 

Whereas the chemiluminescence methods described above are based on the detection of oxygen free radical, colorimetric assays use stable free radicals to determine the antiradical capacity of pure compounds and mixtures.16,17 Although the colorimetric methods are simple and suitable for high-throughput experimentation, they do not mimic the physiological conditions and only detect reactive antiradical compounds, as they utilize relatively stable, thereby unreactive radicals, in the assays.

In one of these methods, the antiradical capacity is determined by measuring the absorbance of the solutions of a stable 2,2'-diphenyl-1-picrylhydrazyl radical(DPPH) at 515 nm after the addition of different quantities of the antiradical compound.16 This method has found widespread applications in evaluating the antiradical capacity of pure natural compounds and of complex mixtures extracted from plants.18,19 The antiradical capacity is commonly expressed as EC50 values, which indicates the concentration of the antiradical compound necessary to decrease the initial DPPH absorbance to 50%, i.e., corresponding to a concentration decrease in DPPH to half of the initial value (Scheme 2).16,20-26

 


Scheme 2. Reaction of the stable radical DPPH with an antiradical compound (AOH)

 

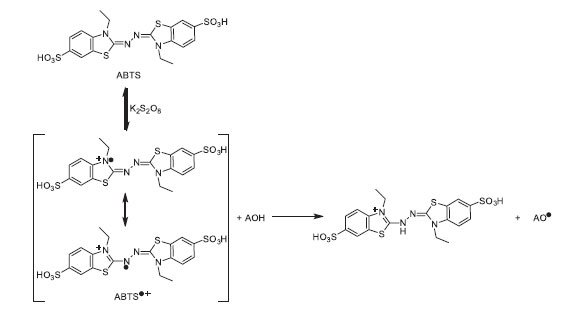
On similar lines, the TEAC (Trolox® equivalent antioxidant capacity assay) method is based on the variation in the long wavelength absorption (λmax = 734 nm) of a stable radical, the radical cation 2,2'-azobis-(3-ethylbenzothiazoline-6-sulfonate) (ABTS•+).17 Unlike the commercially available stable free radical DPPH, ABTS•+ is generated by the oxidation of ABTS, commonly using potassium persulfate (Scheme 3). As in the case of DPPH assays, ABTS assays can be performed on pure natural compounds and complex mixtures, and the antiradical capacity is also expressed as an EC50 value. An additional advantage of the ABTS assay is that it is suitable even for strongly colored samples, as the absorbance is measured outside the visible spectral range (near infra-red region).17,25,26

 


Scheme 3. Oxidation of ABTS by potassium persulfate to generate radical cation ABTS•+ and its reaction with an antiradical compound (AOH)

 

In this work, we evaluate the antiradical capacity of pure compounds as well as mixtures obtained on extraction of male and female individuals of Baccharis burchelli and Baccharis crispa. Different antiradical capacity assays, including the stable radicals DPPH16 and ABTS17 as well as the chemiluminescent luminol/hemin/H2O2 systems, are used in this study.10,27,28 In addition, to facilitate direct comparison of the antiradical capacity for different samples, the Trolox® percentage (%Trolox®) value is introduced.

 

EXPERIMENTAL

Chemicals

A stock solution of luminol (10.0 mmol L-1, 5-amino-2,3-dihydro-1,4-phthalazinedione, Sigma, 97%) was prepared in NaOH (1.0 mol L-1) and the exact concentration determined spectrophotometrically (ε347 nm = 7.6 × 103 L mol-1 cm-1). Stock solution of hemin (8.0 µmol L-1, ferriprotoporphyrin IX chloride, Sigma) was prepared by dissolving hemin (2.5 mg) in NaOH (5 mL, 1.0 mol L-1). The working solution was a 1:100 dilution with NaOH (1.0 mol L-1) and its final concentration was determined spectrophotometrically (ε385 nm = 5.84 × 104 L mol-1 cm-1).29 This solution was protected from light and utilized for up to 7 days. Hydrogen peroxide (Peróxidos do Brasil, São Paulo, Brazil) was obtained as a 60% w/w aqueous solution. The final concentration of the working solution, a 1:1000 dilution in deionized water (18 MΩ, Milli-Q, Millipore), was determined spectrophometrically at 353 nm as described by Cotton and Dunford.30 Phosphate buffer solutions (pH 11.6) were prepared by mixing the salt solutions (Na3PO4/Na2HPO4, 0.1 mol L-1) in appropriate proportions.

Trolox® (6-hydroxy-2,5,7,8-tetramethylcroman-2-carboxilic acid), rutin (rutin trihydrate, 95%), and quercetin (dihydrate quercetin, 98%) were obtained from Aldrich; ascorbic acid and p-hydroquinone (1,4-dihydroxybenzene) were procured from Sigma; and catechol (1,2-dihydroxybenzene) was purchased from Acros Organics. Stock solutions of Trolox® for chemiluminescent assays (4.0 × 10-4 mol L-1) and colorimetric assays (5.0 × 10-4 mol L-1) were prepared by dissolving it in NaOH (0.01 mol L-1) and ethanol, respectively.

The stock solutions of the fractions (see below) were prepared by dissolving the solid plant extracts in ethanol under an inert atmosphere of nitrogen. All solutions were stored at 4 ºC for up to 7 days. Solutions of other antiradicals (5.0 × 10-4 mol L-1) were prepared in ethanol.

Stock solution of DPPH (2,2'-diphenyl-1-picrylhydrazyl) was prepared by dissolving 6.5 mg in ethanol (10.0 mL). The final DPPHconcentration was determined spectrophotometrically (ε515 nm = 1.25 × 104 L mol-1 cm-1).31

Stock solution of ABTS (7.0 × 10-3 mol L-1, 2,2'-azobis-(3-ethylbenzothiazoline-6-sulfonic acid)) was prepared by dissolving ABTS (192 mg) in deionized water (50.0 mL). This solution was stored at 4 ºC and protected from light for up to 30 days. An aliquot of this solution (5.0 mL) was oxidized by 88 µL of a potassium persulfate solution (1.4 × 10-5 mol L-1) and protected from light for 16 hours to obtain the radical cation ABTS•+. The final concentration was determined spectrophotometrically (ε734 nm = 1.5 × 104 L mol-1 cm-1).17,32

The ethanol (Synth, 99.5%) utilized in the spectrophotometric assays was purified by initial treatment with Mg and I2, followed by 2 hours of reflux and distillation.33

Plant material

Aerial parts of male and female flowered individuals of Baccharis were collected in Campos do Jordão, São Paulo, SP, in October 2007 and 2009 (B. burchellii Baker), and in June 2010 (B. crispa Spreng). Voucher specimens of B. burchellii and B. crispa have been deposited at Herbarium of Prefeitura Municipal de São Paulo (PMSP) under numbers 8759 and 8758, respectively.

Extraction and fractioning of female individuals of B. burchellii

Dried and powdered aerial parts (154.0 g) were defatted with n-hexane (3 × 250 mL) and subsequently extracted with methanol (MeOH) (15 × 300 mL) at room temperature. The crude methanolic extract (43.0 g) was suspended in MeOH:H2O (1:9) and successively partitioned with dichloromethane (CH2Cl2) (3.50 g) and ethyl acetate (EtOAc) (1.93 g). The EtOAc phase proved to be the more active one as judged by the %Trolox value (60%) obtained for this phase with the luminol assay. Therefore, a fraction of this phase (270 mg) was submitted to gel filtration on Sephadex LH-20. Elution with MeOH provided nineteen fractions (3.0 mL each), which were pooled into eight groups (G1-8).

Hydroalcoholic extract from female and male individuals of B. burchellii and B. crispa

Dried and powdered aerial parts of each plant (0.50 g) was extracted by stirring in an aqueous solution of 40% MeOH (60 mL) at room temperature. Each solution was filtered and the residue washed with the hydroalcoholic solution used for the extraction. The volume was made up to 100 mL, and freeze dried.

Instrumentation

The chemiluminescence emission curves were measured in a Varian Cary Eclipse spectrofluorimeter using a photomultiplier voltage of 800 V and an emission slit of 20 nm. The absorption spectra and the kinetics of the DPPH and ABTS assays were carried out in a Varian Cary 50 Probe spectrophotometer, with an 18-cell thermostated cell holder.

Chemiluminescence assays

Luminol stock solution (20 µL, 10.0 mmol L-1) and diluted (1:100) hemin stock solution (20 µL, 8.0 µmol L-1) were added to phosphate buffer (1.92 mL, 0.1 mol L-1) pH 11.6 in a 10 mm thermostated (25.0 ± 0.2 ºC) fluorescence quartz cell with magnetic stirrer. The reaction was initiated with the addition of hydrogen peroxide stock solution (20 µL, 1.0 mmol L-1). After 100 s, the sample stock solution (20 µL) was added. The chemiluminescence emission intensity was recorded during 20 minutes. Initial reactant concentrations in a final volume of 2.0 mL were: hemin 80.0 nmol L-1; luminol 0.1 mmol L-1; hydrogen peroxide 10.0 µmol L-1 and the antiradical compound in appropriate concentrations. The final concentrations of pure antiradical compounds ranged from 1.0 to 4.0 µmol L-1 for ascorbic acid, p-hydroquinone, and rutin, whereas for catechol, the final concentrations ranged from 8.0 to 32.0 µmol L-1.

The number of photons emitted (N(t)) per second is proportional to the chemiluminescent emission intensity (I) measured in the fluorimeter. The total number of photons emitted in the absence of antiradical compounds (Sblank) is obtained by integration of the intensity versus time curves (Equation 1). Additionally, the total number of photons emitted is proportional to the total number of radicals generated in the system.

 

 

Antiradical compounds trap radicals, thereby resulting in suppression of the emission intensity. The difference between the areas obtained in the absence and the presence of these compounds-suppression area-is proportional to the number of consumed radicals and, consequently, to the antiradical concentration and its radical scavenging capacity (Figure 1S).

This methodology also allows for the determination of the TRAP values for complex natural product mixtures used in chemiluminescence assays. A linear correlation between the suppression area and the antiradical concentration can be used to furnish the TRAP value corresponding to the concentration of mixture responsible for the same suppression area as that caused by 1.0 µmol L-1 of Trolox® (Figure 2S). Additionally, the antiradical capacity of complex mixtures can be obtained from the slopes (α) of the linear correlations of the suppression area with antiradical concentration (αA) and the Trolox® concentrations (αT) (Figure 2S). This value obtained from these parameters (Equation 2) expresses the antiradical capacity directly in Trolox® percentage (%Trolox®).

 

 

Assays with DPPH

DPPH stock solution (150 µL, 1.65 × 10-3 mol L-1) was added to ethanol (2.77-2.79 mL) in each 10 mm absorbance quartz cell, leading to a final DPPH concentration of 80.0 µmol L-1. The cells were thermostated (25.0 ± 0.2 ºC) and the assay started by the addition of the antiradical stock solution (60-80 µL, final antiradical concentration: 10.0-30.0 µmol L-1) to a final volume of 3.0 mL. The absorbance at 515 nm was monitored for 30 minutes.

Assays with ABTS

ABTS•+ stock solution (25 µL, 3.75 × 10-3 mol L-1) was added to ethanol (2.915-2.945 mL) in each 10 mm absorbance quartz cell, leading to a final ABTS•+ concentration of 53.0 µmol L-1. The cells were thermostated (25.0 ± 0.2 ºC) and the assay initiated by the addition of antiradical stock solution (30-60 µL, final antiradical concentration: 5.0-15.0 µmol L-1, except for rutin where the concentration was 2.5-7.5 µmol L-1) to a final volume of 3.0 mL. The absorbance at 734 nm was monitored for 30 minutes.

In the DPPH and ABTS assays, the antiradical capacity was determined as the ratio between the slopes obtained from the linear correlation for concentrations of Trolox® and other antiradical compounds with absorbance. The antiradical potentials for pure compounds were expressed as the number of trapped radicals (n*) per antiradical molecule, and for compound mixtures as percentage of Trolox® as well as TRAP.

Statistical data

All calculations and fittings were performed using Microcal Origin (software v. 8.0, 2008).

 

RESULTS AND DISCUSSION

Evaluation of antiradical activity of pure compounds

In this work, the antiradical capacity of some pure compounds-ascorbic acid, p-hydroquinone, catechol, rutin and quercetin (Scheme 4)-were determined using methods described in Experimental and the antiradical capacity parameters were expressed relative to Trolox® or, in the case of the colorimetric assays, as absolute values.30 Furthermore, the antiradical capacity of complex mixtures extracted from the B. burchellii and B. crispa species were analyzed by the chemiluminescence assays as well as DPPH and ABTS assays.

 


Scheme 4. Structures of the compounds utilized in the antiradical assays

 

The antiradical Trolox® shows an ideal behavior in the chemiluminescent luminol assay, with complete inhibition of the emission intensity after its addition and a fast, practically instantaneous, recovery of the emission intensity after its complete depletion. The measured suppression areas show a linear correlation with the concentration, therefore, Trolox® is commonly used as a standard antioxidant in these assays34,35 (Figure 3S). The pure compounds studied with this method showed similar behavior, though, in some cases, inhibition of emission intensity was not complete and the recovery of the emission intensity occurred gradually, not instantaneously (Figure 1A). Even so, utilization of the suppression area as a measure for antiradical capacity of a sample leads to a linear correlation between this parameter and the antiradical concentration, allowing for the accurate determination of the antiradical capacity (Figure 1B). The α values can then be utilized to calculate the number of radicals suppressed by an antiradical compound molecule (n), since one molecule of Trolox® (Equation 3) is known to suppress two radical species (n = 2.0).34,35 No linear correlations between the antiradical concentration and the suppression area could be established for p-hydroquinone and the values for ascorbic acid and quercetin reported are from our former work (Table 1).10

 

 

 


Figure 1. A: Emission intensity decay kinetics of the luminol/hemin/H2O2 system at different [Rutin]: (a) [Rutin] = 1.0 µmol L-1, (b) [Rutin] = 2.0 µmol L-1, (c) [Rutin]= 3.0 µmol L-1 and (d) [Rutin] = 4.0 µmol L-1; B: Linear correlation between the suppression area and the rutin concentration. Area = (1.08±0.08) 104 × [Rutin]; R2 = 0.97322

 

 

 

The same antiradical compounds were subjected to an evaluation of their antiradical capacity utilizing the DPPH and ABTS assays. In all cases, good linear correlations between the change in absorbance and the initial antiradical concentrations were obtained (data not shown).22 The α values obtained from these correlations can be used to determine the number of radicals suppressed by the antiradical compound molecule as pointed out above (Equation 3, Table 1). These relative antiradical capacity values, obtained in relation to the Trolox®, are generally utilized in the literature to express the antiradical capacity of pure compounds.34,35

However in the colorimetric assays, the exact concentrations of the employed stable free radicals can be determined from their molar absorbance values, ε515 nm = 1.25 × 104 L mol-1 cm-1 for DPPH31 and ε734 nm = 1.5 × 104 L mol-1 cm-1 for ABTS•+.17 Therefore, the radical scavenging capacity of pure compounds can be determined directly on establishing a correlation between the variation in the DPPH (or ABTS•+) radical concentration (calculated from the absorbance variation and the ε values for each radical) with the initial concentration of the antiradical. Linear correlations between the change in the concentrations of the DPPH (and ABTS•+) radicals and the concentrations of the added antiradical compound have been obtained, e.g., Trolox® and catechol (Figures 2 and 3).

 


Figure 2. Linear correlation between the change in [DPPH] or [ABTS•+] and the change in [Trolox®]. A: Δ[DPPH] = (2.04 ± 0.05) × [Trolox®], R2 = 0.99786; B: Δ[ABTS•+] = (2.04 ± 0.05) × [Trolox®], R2 = 0.99179

 

 


Figure 3. Linear correlation between the change in [DPPH] or [ABTS•+] and the change in [catechol]. A: Δ[DPPH] = (2.17 ± 0.05) × [Catechol], R2 = 0.99792. B: Δ[ABTS•+] = (1.96 ± 0.04) × [Catechol], R2 = 0.9985

 

These correlations allow for the direct determination of the number of radicals trapped (n*) by each molecule of antiradical compound, where n* is directly obtained from the slope of the linear correlation of Δ[DPPH] or Δ[ABTS•+] with the [AOH] (Table 2). Based on the assays performed using both the colorimetric systems, the number of radicals trapped by Trolox® is determined to be n* = 2.04 ± 0.05. These values are in excellent agreement with results in previous reports (Table 1).34-37

 

 

The absolute n values (n*) obtained with the colorimetric assays can be compared directly to the parameter n obtained with the luminol method using the calibration with the standard Trolox® (Table 1).

The values determined using different assays are significantly different in some cases. However, irrespective of the assay method, the general trend of the antiradical capacity is maintained. The n values obtained for ascorbic acid and p-hydroquinone by the colorimetric methods are reasonably similar and the value of the former agrees with the literature value (Table 1).31 No n value has been reported for p-hydroquinone. Similarly, while no n values have been reported for catechol and rutin, the n* values determined for these compounds in our study are similar and independent of the colorimetric assay. The n values obtained for quercetin, using either of the three methods, are similar. However, for other compounds, the values obtained with the luminol assay proved to be significantly lower than that obtained with the colorimetric assays, especially in the case of catechol (Table 1). This is likely due to the lower stability of these compounds in the basic aqueous medium utilized for the luminol assay, as compared to the neutral ethanolic media used in ABTS and DPPH assays.

Determination of the antiradical capacity of mixtures

The luminol chemiluminescence antiradical assay has also been utilized as a screening test to indicate possible antioxidant activity in extracts and chromatographic fractions obtained from plant material.10 As an additional example, we report here the determination of the antiradical capacity of chromatographic fractions of the ethyl acetate phase from B. burchellii (Table 2). The fractions obtained are subjected to the luminol assay and show a good linear correlation between the suppression area and sample concentration (Figure 4S). The antiradical capacity of these multi-component mixture fractions are conveniently expressed as %Trolox® values by comparing the slopes of the linear correlations between sample concentration (in mg L-1) and suppression area, and Trolox® concentration (also expressed in mg L-1) and suppression area. Such a comparison allows for the determination of antiradical capacity of any fraction (or extract) in terms of a hypothetical sample which contains only pure Trolox®. This means that a sample with a slope similar to that of Trolox® has the same antiradical capacity as that of pure Trolox®. The results obtained indicate significant differences in the antiradical capacities of the fractions, and it is evident that fractions 4-8 possess higher antiradical capacities than pure Trolox® (Table 2). The direct relationship between %Trolox® value and antiradical capacity facilitates the easy interpretation of the results; in contrast, the TRAP value, proposed formerly to express the capacity of mixtures,14,23,24 is inversely proportional to the antioxidant capacity (Table 2).

Groups 3 and 4 were composed of ferulic and caffeic acid derivatives, respectively. The highly active group 5 proved to be an inseparable mixture, with 3,5-O-dicaffeoylquinic acid and 3-O-feruloyl-5-O-caffeoylquinic acid as major components. The isolation and characterization of these compounds will be reported elsewhere.

Having established that the luminol assay can be utilized to determine the antiradical capacity of complex mixtures, we used this assay in the evaluation of hydroalcoholic extracts of B. burchellii and B. crispa. For the sake of comparison, the antiradical capacity of these extracts was also determined using the DPPH and ABTS assays and the capacity conveniently expressed as %Trolox® values (Table 3).

 

 

The obtained data indicate that the antiradical capacity of plant extracts can be determined using any of the three methods. However, the chemiluminescent luminol assay is considerably more sensitive as indicated by the significantly lower sample concentrations utilized in this assay as compared to the DPPH and ABTS assays. Actually, the sample concentration in the luminol assay is nearly an order of magnitute lower than that in the colorimetric assays (Table 3).

In spite of the differences in the values of the antiradical capacity obtained by the three methods, the trends between the samples were internally similar (Table 3). The antiradical capacity of B. burchellii is higher than that of B.crispa. Values obtained by the luminol assay are considerably higher than that measured with the ABTS assay, whereas the lowest values are obtained with the DPPH assay (Table 3). This observation can be explained by the difference in the character of the assay. In the luminol method, reactive oxygen radicals are generated during the reaction and interact with all antiradical compounds, including compounds of lower reactivity. In contrast, the stable free radical DPPH interacts only with more reactive antiradical compounds (derivatives with low reactivity present in the mixture are not detected by this assay) while the ABTS free radical is expected to possess intermediate reactivity (between the oxygen free radicals of the luminol assay and the DPPH free radical). Therefore, the differences in capacity values determined in these assays can be attributed to the presence of low reactivity antiradical compounds in the extracts.

Another interesting observation from these data is the fact that male and female species show different capacities in the luminol and ABTS assays, whereas, the values obtained with the DPPH assay are reasonably similar (Table 3). Comparing the antiradical capacity of the male and female species of B. crispa one can observe that in the luminol and ABTS assays, the extract from the male species shows a capacity that is nearly 50% higher than that of the female (Table 3). For B. burchellii the differences are smaller, moreso in the values from the ABTS assay. These observations indicate that there are differences in the constitution of the extracts of the male and female species. The difference is mainly in the composition of antiradical compounds with relatively low reactivity (as detected by the luminol assay), whereas, the content of highly reactive antiradical compounds is similar for both individuals.

 

CONCLUSIONS

(i) The antiradical activity of pure compounds and plant extracts can be evaluated by using three different assays-the luminol chemiluminescence assay, and colorimetric DPPH and ABTS stable radical assays.

(ii) A new antiradical capacity parameter, named Trolox® percentage, which expresses the antiradical capacity of the sample in terms of the Trolox® capacity, is introduced. Unlike the TRAP parameter, Trolox® percentage is directly proportional to the sample capacity.

(iii) The chemiluminescent luminol assay is considerably more sensitive than the colorimetric DPPH and ABTS assays. However, some antiradical compounds can be unstable in the strongly basic conditions utilized in the luminol assay.

(iv) The antiradical capacity of hydroalcoholic Baccharis extracts can be determined by the three methods, and they show interesting differences. This can be atributed to the fact that the DPPH method detects only the more reactive antiradical compounds, whereas the luminol assay detects both the less and highly reactive derivatives while the ABTS assay shows intermediate characteristics.

 

SUPPLEMENTARY MATERIAL

Additional figures of this work in PDF format with free access are available at http://quimicanova.sbq.org.br.

 

ACKNOWLEDGMENTS

The authors thank the Fundação de Amparo à Pesquisa do Estado de São Paulo (FAPESP), the Coordenadoria de Aperfeiçoamento de Pessoal de Ensino Superior (CAPES), the Fundo Mackenzie para Pesquisa (MackPesquisa), and the Conselho Nacional de Desenvolvimento Científico e Tecnológico (CNPq) for financial support.

 

REFERENCES

1. Popa, C. V.; Lungu, L.; Savoiu, M.; Bradu, C.; Dinoiu, V.; Danet, A. F.; Int. J. Food Prop. 2012, 15, 691.

2. Fedorova, G. F.; Trofimov, A. V.; Vasil'ev, R. F.; Veprintsev, T. L.; ARKIVOC 2007, 163.

3. Huang, D.; Ou, B.; Prior, R. L.; J. Agric. Food Chem. 2005, 53, 1841.

4. Müller, L.; Fröhlich, K.; Böhm, V.; Food Chem. 2011, 129, 139.

5. Di Mascio, P.; Kaiser, S.; Sies, H.; Arch. Biochem. Biophys. 1989, 274, 532.

6. Halliwell, B.; Gutteridge, J. M. C.; Free Radicals in Biology and Medicine, 4th ed., Oxford University Press: Oxford, 2007.

7. Wayner, D. D. M.; Burton, G. W.; Ingold, K. U.; Locke, S.; FEBS Lett. 1985, 187, 33.

8. Lissi, E.; Pascual, C.; Castillo, M. D.; Free Radical Res. Commun. 1992, 17, 299.

9. Lissi, E.; Salim-Hanna, M.; Pascual, C.; Castillo, M. D.; Free Radical Biol. Med. 1995, 18, 153.

10. Bastos, E. L.; Romoff, P.; Eckert, C. R.; Baader, W. J.; J. Agric. Food Chem. 2003, 51, 7481.

11. Romay, C.; Castillo, M. C.; Pascual, C.; Campos, A. M; Escobar, J.; Lissi, E. A.; Cienc. Cult. 1996, 48, 86.

12. Vasil'ev, R. F.; Kancheva, V.D.; Fedorova, G. F.; Batoviska, G. I.; Trofimov, A. V.; Kinet. Catal. 2010, 51, 507.

13. Fedorova, G. F.; Menshov, V. A.; Trofimov, A. V.; Vasil'ev, R. F.; Analyst 2009, 134, 2128.

14. Apak, R.; Gorinstein, S.; Böhm, V.; Schaich, K. M.; Özyürek, M.; Güçlü, K.; Pure Appl. Chem. 2013, 85, 957.

15. Baader, W. J.; Stevani, C. V.; Bastos, E. L. In The Chemistry of Peroxides, Rappoport, Z., ed.; Wiley & Sons: Chichester, 2006, vol. 2, chapter. 16, p. 1211.

16. Blois, M. S.; Nature 1958, 181, 1199.

17. Re, R.; Pellegrin, N.; Proteggente, A.; Pannala, A.; Ang, M.; Rice-Evans, C.; Free Radical Biol. Med. 1999, 26, 1231.

18. Palombini, S. V.; Maruyama, S. A.; Claus, T.; Montanher, P. F., Souza; N. E.; Visentainer, J. V.; Gomes, S. T. M.; Matsushita, M.; J. Braz. Chem. Soc. 2013, 24, 765.

19. Ribeiro, A. B., Bonafé, E. G.; Silva, B. C.; Montanher, P. F.; Júnior, O. O. S.; Boieng, J. S.; Visentainer, J. V.; J. Braz. Chem. Soc. 2013, 24, 797.

20. Rojas-Barquera, D.; Narváez-Cuenca, C. E.; Quim. Nova 2009, 32, 2336.

21. Chen, Z.; Bertin, R.; Froldi, G.; Food Chem. 2013, 138, 414.

22. Prior, R. L.; Wu, X.; Schaich, K.; J. Agric. Food Chem. 2005, 53, 4290.

23. Zielinska, D.; Wiczkwoski, W.; Piskula, M. K.; J. Agric. Food Chem. 2008, 56, 3524.

24. López-Alarcón, C.; Denicola, A.; Anal. Chim. Acta 2013, 763, 1.

25. Dudonné, S.; Vitrac, X.; Coutiére, P.; Woillez, M.; Mérillon, J. M.; J. Agric. Food Chem. 2009, 57, 1768.

26. Justo, O. R.; Moraes, A. M.; Barreto, G. P. M.; Mercadante, A. Z.; Rosa, P. T. V.; Quim. Nova 2008, 31, 1699.

27. Argoti, J. C.; Palomino, P. J. L.; Salido, S.; Ramírez, B.; Insuasty, B.; Altarejos, J.; Chem. Biodiversity 2013, 10, 189.

28. Park, Y. K.; Fukuda, I.; Ashida, H.; Nishiumi, S.; Yoshida, K.; Daugsch, A.; Sato, H. H.; Pastore, G. M.; J. Agric. Food Chem. 2005, 53, 10306.

29. Shaklai, N.; Shviro, Y.; Rabizadeh, E.; Kirschner-Zilber, I.; Biochim. Biophys. Acta 1985, 821, 355.

30. Cotton, M. L.; Dunford, H. B.; Can. J. Chem.-Rev. Can. Chim. 1973, 51, 582.

31. Brand-Williams, W.; Cuvelier, M. E.; Berset, C.; Lebensm. Wiss. Technol. 1995, 28, 25.

32. Prior, R. L.; Cao, G.; Free Radical Biol. Med. 1999, 27, 1173.

33. Armarego, W. L. F.; Perrin, D. D.; Purification of Laboratory Chemicals, 4th ed; Reed Educational and Professional Publishing Ltd: Oxford, 1996.

34. Burton, G. H.; Hughes, L.; Ingold, K. U.; J. Am. Chem. Soc. 1983, 105, 5950.

35. Barclay, L. R. C.; Locke, S.J.; Macneil, J. M.; Vankessel, J.; Burton, G. W.; Ingold, K. U.; J. Am. Chem. Soc. 1984, 106, 2479.

36. Burton, G. W.; Doba, T.; Gabe, E. J.; Hughes, L.; Lee, F. L.; Prassad, L.; Ingold, K. U.; J. Am. Chem. Soc. 1985, 107, 7053.

37. Parejo, I.; Codina, C.; Petrakis, C.; Kefalas, P.; J. Pharmacol. Toxicol. Methods 2000, 44, 507.

On-line version ISSN 1678-7064 Printed version ISSN 0100-4042
Qu�mica Nova
Publica��es da Sociedade Brasileira de Qu�mica
Caixa Postal: 26037 05513-970 S�o Paulo - SP
Tel/Fax: +55.11.3032.2299/+55.11.3814.3602
Free access

GN1