JBCS



14:54, sáb out 25

Acesso Aberto/TP



Artigo


Glicólise do poli(3-hidroxibutirato) por via enzimática
Glycolysis of poly(3-hydroxybutyrate) via enzyme catalysis

Everton Luiz de PaulaI,*; Tiago Ferreira CamposII, +; Valdir ManoII

IDepartamento de Química, Universidade Federal de Minas Gerais, Av. Antônio Carlos, 6627, Pampulha, 31270-901 Belo Horizonte - MG, Brasil
IIDepartamento de Ciências Naturais, Universidade Federal de São João del-Rei, Praça Dom Helvécio, 74, Campus Dom Bosco, 36301-160 São João del Rei - MG, Brasil

Recebido em 22/08/2013
Aceito em 20/11/2013
Publicado na web em 10/02/2014

Endereço para correspondência

*email: everton2804@gmail.com

RESUMO

Poly(3-hydroxybutyrate), PHB, is a polymer with broad potential applications because of its biodegradability and biocompatibility. However, its high crystallinity is a limiting factor for many applications. To overcome this drawback, one strategy currently employed involves the reduction of the molecular weight of PHB with the concomitant formation of end-functionalized chains, such as those obtained via glycolysis. The glycolysis of PHB can be catalyzed by acid, base, or organometallic compounds. However, to our knowledge, there are no reports regarding PHB glycolysis catalyzed enzymatically. Among the major types of enzymes used in biocatalysis, the lipases stand out because they have the ability to catalyze reactions in both aqueous and organic media. Thus, in this study, we performed the enzymatic glycolysis of PHB using the lipase Amano PS (Pseudomonas cepacia) with ethane-1,2-diol (ethylene glycol) as the functionalizing agent. The results indicated that the glycolysis was successful and afforded hydroxyl-terminated oligomeric PHB polyols. Nuclear magnetic resonance spectra of the products showed characteristic signals for the terminal hydroxyl groups of the polyols, while thermogravimetric and differential scanning calorimetry analyses confirmed an increase in the thermal stability and a decrease in the crystallinity of the polyols compared with the starting PHB polymer, which were both attributed to the reduction in the molecular weight due to glycolysis.

Palavras-chave: PHB; glycolysis; enzyme catalysis.

INTRODUÇÃO

Devido ao fato de os polímeros convencionais serem macromoléculas de difícil cisão, o seu descarte acarreta inúmeros problemas ambientais por serem inertes ao ataque de microrganismos, levando muitos anos para degradação. Especialmente os produtos de "vida curta", como as embalagens, oneram excessivamente o ambiente, pois, quando descartados em centros urbanos, resultam em poluição ambiental e visual, além de entupimento de vias pluviais e córregos.1,2

Algumas alternativas têm sido testadas para minimizar o impacto ambiental causado por materiais poliméricos, como a reciclagem, a utilização de polímeros biodegradáveis e a mistura de polímeros sintéticos com polímeros biodegradáveis.3 Apesar da evidente vantagem na utilização de polímeros biodegradáveis quanto à preservação do meio ambiente, estes são mais caros e têm aplicações limitadas devido aos baixos desempenhos mecânico e térmico.4 Como exemplos de polímeros biodegradáveis e biocompatíveis podem ser citados: poli(3hidroxibutirato) - PHB, poli(lactídeo) - PLA, poli(hidroxibutirato-cohidroxivalerato) - PHBV, poli(εcaprolactona) - PCL, entre outros. Em sua maioria, os polímeros biodegradáveis são poliésteres, cujas ligações éster são susceptíveis a reações de hidrólise, resultando na redução da massa molar.

Em particular, os poli(hidroxialcanoatos) - PHA, produzidos pela fermentação bacteriana a partir de recursos agrícolas e renováveis ou de resíduos industriais, têm se destacado por serem biodegradáveis e biocompatíveis, sendo utilizados na indústria de embalagens e na área médica.5 Um membro importante da família dos PHA é o poli(3hidroxibutirato) - PHB, um polímero sintetizado por microrganismos, como as bactérias Alcaligenes eutrophus e Rhodospirillum rubrum, ambas de ocorrência natural no solo, com o objetivo de servir como reserva de energia e carbono. Biodegradabilidade, biocompatibilidade e propriedades que podem variar desde materiais termoplásticos a elastoméricos têm chamado a atenção do meio científico em relação ao PHB. Por ser biocompatível e facilmente absorvido pelo organismo humano, o PHB pode ser empregado na área médico-farmacêutica, prestando-se à fabricação de fios de sutura, próteses ósseas e na liberação controlada de fármacos.6 Quanto a suas características, o PHB destaca-se pela estrutura isotática organizada em célula ortorrômbica, alta cristalinidade (entre 55 e 80%) e massa molar que varia de 50.000 a 1.000.000 Daltons.7,8 Esse polímero apresenta densidade média de 1,26 g mL1, temperatura de transição vítrea (Tg) em torno de 5 ºC e temperatura de fusão (Tm) em torno de 180 ºC, apresentando propriedades similares às do polipropileno.4 O poli(3-hidroxibutirato) possui também boas propriedades de barreira, sendo comparado ao poli(tereftalato de etileno) - PET, e ao poli(cloreto de vinila) - PVC.1

Apesar da sua biodegrabilidade e biocompatibilidade, as possibilidades de aplicação do PHB são limitadas devido à pequena janela de processabilidade, uma vez que sua temperatura de fusão (180 ºC) é próxima da temperatura de degradação térmica (200 ºC). Além disso, ele é um polímero duro e frágil devido a sua alta cristalinidade.9 Para superar essas desvantagens, modificações químicas para a melhoria das propriedades mecânicas do PHB, e consequente aumento da sua aplicabilidade, vêm sendo estudadas principalmente por três abordagens: síntese de copolímeros com outros poli(hidroxialcanoatos); adição de aditivos, como plastificantes e agentes de nucleação; e formulação de compósitos e blendas.10-13 Yoshie e colaboradores14 estudaram o efeito de aditivos com baixa massa molar nas propriedades térmicas e na degradação enzimática do PHB. Foram realizadas misturas de PHB com os plastificantes dodecanol, ácido láurico, tributirina e trilaurina, entre 1% e 9%. Essa concentração de plastificantes afetou principalmente a taxa de degradação. Em solução aquosa, 1% de plastificante aumentou a taxa de degradabilidade enzimática, enquanto que a mistura com 9% de plastificante diminuiu a taxa de degradação. Os autores verificaram que todos os plastificantes utilizados demonstraram ser miscíveis com o PHB e aumentaram a mobilidade das cadeias poliméricas da fase amorfa, resultando na diminuição das temperaturas de transição vítrea e de cristalização quando comparadas ao PHB puro.

A formação de blendas com o PHB tem como objetivo reduzir a temperatura de fusão, possibilitando o processamento a menores temperaturas, a redução dos custos e a melhoria do desempenho. Vogelsanger e colaboradores3 estudaram a miscibilidade de blendas PHB/PCL preparadas na forma de filmes por evaporação de solvente. O estudo foi realizado utilizando PHB de diferentes massas molares visando aplicações em embalagens agrícolas para o transporte de pequenas mudas. As blendas com PHB de baixa massa molar mostraram-se completamente imiscíveis. Em contrapartida, as blendas com PHB de alta massa molar apresentaram miscibilidade parcial. Com o acréscimo de PCL à blenda ocorre uma diminuição gradual da Tm do PHB, sendo que com 20% de PCL esta variação chegou a 10 ºC.

É bem sabido que a copolimerização é uma forma eficaz para a obtenção de materiais com propriedades sob medida, as quais são geralmente melhoradas em relação aos homopolímeros de partida. Por essa estratégia, copolímeros bloco à base de PHB podem ser obtidos por um processo realizado em duas etapas: na primeira, o PHB é degradado e funcionalizado por uma reação de transesterificação com alcanodióis (Figura 1), dando origem ao PHBdiol; essas cadeias de PHB telequélico, de baixa massa molar, são então utilizadas na síntese de copolímeros bloco na segunda etapa do processo.15 Em trabalhos datados de 1996, Hirt e colaboradores16,17 já relatavam a modificação química do PHB para a obtenção de PHBdiol e sua utilização na síntese de poli(éster-uretanas).

 


Figura 1. Reação de degradação do PHB via glicólise com etilenoglicol

 

O PHB de origem bacteriana apresenta massas molares relativamente altas,18 por isso é importante desenvolver métodos para sua despolimerização e obtenção de PHB telequélico de baixa massa molar. Os métodos que têm sido frequentemente usados incluem: degradação térmica, síntese a partir do hidroxibutirato de etila, hidrólise, transesterificação e glicólise catalisada por ácido, base ou composto organometálico.15,19-25

Ao se levar em conta questões ambientais, no entanto, são desejáveis métodos mais sustentáveis. Nesse sentido, a degradação por via enzimática, utilizando lipases de origem comercial, tem se mostrado um método promissor. As primeiras investigações sobre ataque enzimático com lipases a poliésteres sintéticos foram reportadas na década de 1990 por Tokiwa e Suzuki.26 Processos de degradação enzimática de PLLA, PCL e PHB, bem como de seus copolímeros, têm sido intensamente estudados. No entanto, uma comparação direta dos resultados desses estudos é relativamente difícil devido às diferentes condições experimentais (incluindo a realização de degradação em ambientes diferentes e com várias enzimas). Uma conclusão geral é que o curso da degradação polimérica é fortemente afetado pelas seguintes propriedades do polímero: constituição química, massa molar média, molhabilidade, cristalinidade e tamanho dos cristais, conteúdo e tipo de aditivos e propriedades da superfície.27

Recentemente, Rodríguez-Contreras e colaboradores28,29 reportaram a bem sucedida hidrólise enzimática do PHB e do copolímero poli(3hidroxibutirato-co-4-hidroxibutirato) - P(3HB-co-4HB), obtendo cadeias com massa molar na faixa de 3.000 a 4.000 Daltons. Špitalský e colaboradores15 relataram a alcoólise do PHB com glicerol e etilenoglicol catalisada por ácido p-toluenossulfônico. No entanto, segundo nosso conhecimento, a glicólise do PHB com etilenoglicol, utilizando catálise enzimática para a obtenção de PHB funcionalizado, não foi relatada na literatura até o momento. Nesse sentido, este trabalho tem como objetivo estudar a degradação do PHB para a obtenção de oligômeros funcionalizados com etilenoglicol (PHBdiol), em uma reação de glicólise catalisada pela enzima Amano PS (Pseudomonas cepacia).

 

PARTE EXPERIMENTAL

Materiais

O homopolímero PHB, com massa molar média de 274.000 g mol1, fornecido pela PHB Industrial (São Paulo - Brasil), foi purificado de acordo com método apresentado abaixo. Os solventes diclorometano, dicloroetano, tolueno, clorofórmio e éter de petróleo (grau analítico; Synth, Rio de Janeiro - Brasil), a enzima lipase Amano PS (Sigma-Aldrich, St. Louis - MO, USA) e o etano-1,2-diol (grau analítico; Vetec, Rio de Janeiro - Brasil) foram utilizados sem prévia purificação.

Purificação e glicólise do PHB em tolueno:dicloroetano catalisada pela lipase

O homopolímero impuro foi dissolvido em clorofórmio na concentração de 5% (m/v), mantido sob refluxo durante 45 min e, em seguida, filtrado e precipitado em éter de petróleo. Este procedimento foi realizado duas vezes. O material obtido foi, então, filtrado e seco em estufa a 50 ºC por 24 h.

Para a glicólise, em uma reação típica, cerca de um grama do PHB purificado foi dissolvido em 40 mL da mistura 3:1 (v/v) de tolueno:dicloroetano com a adição de 1,5 mL de etano-1,2-diol (etilenoglicol) e 100 mg de lipase. As reações deram-se sob refluxo e atmosfera de argônio a 60 ºC por 6, 12 e 24 h, sendo que os produtos foram chamados de TDELi6, TDELi12 e TDELi24, respectivamente. Para controle, a glicólise durante 24 h foi repetida sem o uso da lipase (produto chamado de TDE24).

Os polióis, produtos da glicólise do PHB, foram purificados por meio de solubilização em clorofórmio e posterior precipitação em éter de petróleo, sendo secos em estufa a 50 ºC durante 24 h. Na Tabela 1 estão resumidas as condições experimentais utilizadas na glicólise do PHB.

 

 

Caracterizações do PHB e dos polióis

Espectros infravermelho (IV-FT) foram obtidos à temperatura ambiente utilizando o espectrômetro Spectrum GX da PerkinElmer a partir de amostras depositadas em placas de KBr após dissolução em clorofórmio. Os espectros foram obtidos no intervalo de 400 a 4000 cm1, com resolução de 4 cm1 e 16 acumulações por espectro.

Análises por RMN1H foram realizadas em espectrômetro Brucker 200 MHz, a 27 ºC, utilizando clorofórmio deuterado como solvente a uma concentração de 30 mg mL1, e tetrametilsilano (TMS) como referência interna.

O comportamento térmico foi avaliado por calorimetria exploratória diferencial (DSC), utilizando um termoanalisador DSCDiamond da PerkinElmer, sob fluxo de hélio a 30 mL min1, usando o seguinte programa de temperatura: aquecimento de 25 a 200 ºC a 20 ºC min1; isoterma de 3 min; resfriamento de 200 a 50 ºC a 50 ºC min1 com isoterma de 2 min; finalmente, aquecimento até 200 ºC a 20 ºC min1. A partir da segunda corrida de aquecimento foram obtidos os valores das temperaturas de fusão (Tm) de transição vítrea (Tg) e foi avaliada a cristalinidade dos sistemas investigados.

As curvas termogravimétricas (TG) foram obtidas em um termoanalisador TGA50 da Shimadzu. Amostras de massa entre 4 e 10 mg foram aquecidas de 30 a 800 ºC, a uma taxa de 20 ºC min1, sob vazão de nitrogênio a 20 mL min1.

 

RESULTADOS E DISCUSSÃO

Caracterização do PHB purificado

Após a purificação, o PHB foi caracterizado por espectroscopia IVFT e por RMN1H. Por IVFT (Figura 2) foram observadas as seguintes bandas características do PHB: estiramentos das ligações C=O da carbonila de éster a 1725 cm1 e CH de metila a 2976 cm1; estiramentos simétrico e assimétrico do grupo COC a 1134 e 1185 cm1, respectivamente.

 


Figura 2. Espectro IV-FT do PHB

 

O espectro de RMN1H do PHB mostrado na Figura 4a e as atribuições sumariadas na Tabela 2 estão em perfeita concordância com dados da literatura.24,30 São observadas absorções a 1,25 ppm (Hb), 2,59 ppm (Hc) e 5,27 ppm (Hª), cujas proporções, obtidas por integração, confirmam a relação 3:2:1 entre prótons da metila, metileno e metino esperada para o PHB.29 A ausência de absorções correspondentes ao hidroxivalerato (HV) permite concluir que o material purificado trata-se do homopolímero PHB e não de um copolímero P(HBcoHV).

 


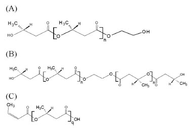
Figura 3. Possíveis produtos da glicólise do PHB com etilenoglicol22,23

 

 


Figura 4. Espectros de RMN-1H do PHB (a) e do poliol TDELi6 (b)

 

 

 

Glicólise do PHB catalisada por lipase em tolueno:dicloroetano e caracterização dos poliois por IV-FT

A glicólise do PHB foi realizada por catálise enzimática, a 60 ºC, usando a enzima Amano PS em uma mistura dos solventes tolueno e dicloroetano (3:1). Atualmente, sabe-se que muitas enzimas ou complexos enzimáticos são cataliticamente ativos em ambientes hidrofóbicos com eficiência similar ou até superior àquela verificada em soluções aquosas. Acredita-se que as enzimas sejam cataliticamente ativas em meio orgânico porque permanecem na sua forma original (nativa).31 As lipases são especialmente estáveis em solventes orgânicos e a facilidade com que essas enzimas aceitam uma variedade de substratos não naturais e de tamanhos diversos sugere que a espinha dorsal polipeptídica é flexível e pode adotar diferentes conformações.32 Groos e colaboradores33 verificaram que a especificidade enzimática pode ser alterada ou ajustada pela seleção adequada de solventes orgânicos ou misturas de solventes, os quais são cruciais para a manutenção de um conteúdo crítico de água necessário para a atividade catalítica. Solventes mais hidrofílicos distorcem a conformação catalítica, enquanto os mais hidrofóbicos retêm a atividade enzimática. Para a glicólise do PHB estudada neste trabalho, escolhemos a mistura binária toluenodicloroetano (3:1) como solvente, ainda não relatada na literatura, buscando um compromisso entre eficiência enzimática e solubilidade dos reagentes e produtos.

Os produtos das reações de glicólise do PHB foram caracterizados por espectroscopia IVFT e os espectros revelaram que a glicólise gerou PHBdióis de baixa massa molar, porém mantendo a integridade da cadeia hidrocarbônica do homopolímero de partida. Em todos os tempos de reação (6, 12 e 24 h), foi possível verificar nos produtos de reação a presença de grupos OH terminais primários e secundários pelas absorções a 3437 e 3538 cm1, respectivamente.

Análise estrutural

Dependendo das condições de síntese, a glicólise do PHB pode gerar diversos produtos. Antunes24 e Dai e Li25 realizaram a glicólise do PHB por catálise ácida com H2SO4 e com laurato de dibutilestanho(IV), respectivamente, e ambos identificaram o PBHdiol da Figura 3A como o principal produto. No entanto, estruturas como 3B e 3C não podem, a princípio, serem descartadas.

Na Figura 4 são apresentados os espectros de RMN1H do PHB e do PHBdiol TDELi6, o qual é típico para todos os demais polióis. A atribuição dos sinais dos espectros foi feita de maneira semelhante à do PHB, sendo as modificações atribuídas à funcionalização devido à glicólise. Os prótons Hd, provenientes do etilenoglicol inseridos no PHB, observados em todos os tempos de reação a cerca de 3,7 ppm, indicam que a rota de reação, utilizando a lipase como catalisador, foi eficaz. No espectro da amostra de controle TDE24, ou seja, glicólise realizada na ausência de lipase, não é observado o sinal do próton Hd, o que reforça o papel da lipase como catalisador na funcionalização do PHB.

Analisando a região de deslocamento químico entre 5 e 7 ppm da Figura 4b não se notam os picos referentes aos prótons associados ao grupo crotonato (mostrado na Figura 3C).34 Esta é uma forte indicação de que a glicólise catalisada por lipase leva, preferencialmente, à formação das estruturas 3A e 3B, ambas apresentando terminações de cadeia compostas por grupos hidroxila reativos. Dai e Li25, utilizando um RMN1H de 500 MHz, estimaram a proporção molar de 91% e 9% para as estruturas 3A e 3B, respectivamente, em glicólise do PHB catalisada por laurato de dibutilestanho(IV). Em nosso caso, devido à menor sensibilidade do equipamento e pela presença apenas do pico referente ao próton Hd, acreditamos que o PHBdiol representado pela estrutura da Figura 3A é o que se forma majoritariamente. Considerando essa estrutura, e por meio da relação entre as intensidades das absorções dos prótons Hb e He, as massas molares numéricas médias (MnRMN) dos polióis TDELi6, TDELi12 e TDELi24 foram estimadas em 1640, 1165 e 655 g.mol1, respectivamente. A queda na massa molar em função do tempo de reação, levando à formação de produtos oligoméricos, mostra que esta lipase manteve sua atividade catalítica no meio reacional utilizado mesmo após 24 h de reação.

Análise térmica

O comportamento térmico dos polióis foi avaliado por termogravimetria (TG) e calorimetria exploratória diferencial (DSC). Os dados obtidos das curvas TG estão resumidos na Tabela 3. A degradação térmica do PHB se dá por cisão randômica da cadeia em uma única etapa de perda de massa. Esse mecanismo é atuante quando ésteres possuem grupos alquila que apresentam hidrogênios em posição β em relação à carbonila.35 Pela Tabela 3 nota-se que os produtos da glicólise apresentam perfil térmico semelhante ao do PHB, sendo verificado para todos os sistemas estudados apenas um estágio de perda de massa. Os polióis produtos da glicólise são termicamente mais estáveis que o PHB, exceto para a amostra TDELi6 que mostra comportamento térmico semelhante ao homopolímero inicial. A maior estabilidade dos demais polióis pode ser explicada pelo mecanismo de degradação que leva em conta que a perda de massa pode ser minimizada pela transesterificação das hidroxilas terminais com os ácidos carboxílicos gerados no próprio processo de degradação térmica.24 Com a diminuição da massa molar há um aumento do número de hidroxilas terminais, influenciando na taxa de transesterificação e deslocando o fim da degradação para maiores temperaturas (Tendset).

 

 

As curvas DSC (segunda corrida de aquecimento) para o PHB e para os polióis são apresentadas no material suplementar (Figuras 1Sa-e) e na Tabela 4 estão sumariados os dados obtidos dessas curvas. Assim como observado por Dias e colaboradores,36 o PHB apresenta Tg a 5 ºC, pico exotérmico de cristalização (Tc) a 52 ºC e fusão em dois eventos, sendo um pico a 170 ºC e um ombro a cerca de 160 ºC, o qual deve-se à recristalização do homopolímero. O grau de cristalinidade (χ) do PHB e dos polióis foi obtido a partir da relação entre os valores experimentais da entalpia de fusão (ΔHf) e o valor da entalpia do PHB 100% cristalino (ΔHº = 146 J g1).37

 

 

Uma forma eficaz de se verificar a queda da massa molar do PHB é o monitoramento de sua temperatura de fusão (Tm), a qual deve diminuir com a diminuição do comprimento da cadeia. Como pode ser observado pelas Figuras 1Sb, 1Sc e 1Sd, os polióis apresentaram menores temperaturas de fusão que o PHB de partida (Figura 1Sa). Esses polióis de baixa massa molar formam cristais com lamelas menos espessas e, em consequência, fundem a temperaturas menores.38 Esta queda na Tm está relacionada à diminuição da massa molar, em concordância com os resultados de RMN1H em que se observou o mesmo comportamento para os polióis TDELi6, TDELi12 e TDELi24. Já para a amostra TDE24 (Figura 1Se), o valor de Tm está muito próximo à do PHB inicial, demonstrando, assim, que a glicólise na ausência da lipase não é efetiva, em concordância com o resultado de RMN1H em que não foi observada a absorção do Hd.

Nas curvas DSC dos polióis não é observado o pico exotérmico de cristalização no aquecimento, ou seja, a cristalização ocorre completamente durante o resfriamento, indicando que, ao se formarem os polióis, há diminuição da parcela cristalizável, a qual é composta por cristais menores e menos espessos que os do PHB, levando assim à queda em Tm, ΔHf e cristalinidade. A queda na Tg também é consequência da menor massa molar, já que as interações entre as cadeias são dificultadas pela maior influência dos grupos terminais.

 

CONCLUSÕES

A lipase Amano PS (Pseudomonas cepacia) mostrou-se eficiente como biocatalisador na glicólise do PHB, gerando polióis oligoméricos funcionalizados (PHBdióis). A reação de glicólise foi realizada com etano1,2diol (etilenoglicol), utilizando a mistura tolueno:dicloroetano (3:1) como solvente. A formação dos polióis foi confirmada por RMN1H pela observação do próton hidroxílico a cerca de 3,7 ppm. Na reação de controle realizada na ausência de lipase não se observou esse sinal, reforçando o papel da lipase na funcionalização do PHB. As massas molares calculadas por RMN1H mostraram-se dependentes do tempo de reação, sendo observados valores de 1640, 1165 e 655 g mol-1 após 6, 12 e 24 h de reação, respectivamente. Esse resultado indica que nesse meio reacional a lipase é ativa mesmo por longos períodos de tempo e que a massa molar dos polióis pode ser controlada por variação nesse parâmetro.

Por termogravimetria foi verificado que os polióis são mais estáveis que o homopolímero de partida, devido ao efeito estabilizador resultante do aumento da concentração de hidroxilas terminais. Por DSC constatou-se uma redução da cristalinidade dos polióis em relação ao PHB, mostrando que a glicólise gera produtos com maior dificuldade de cristalização devido à redução da massa molar e maior influência dos grupos terminais.

 

MATERIAL SUPLEMENTAR

Algumas imagens dos sistemas utilizados neste trabalho estão disponíveis em http://quimicanova.sbq.org.br, na forma de arquivo PDF, com acesso livre.

 

AGRADECIMENTOS

Os autores agradecem à FAPEMIG pelo apoio financeiro (Processo CEX-1015/06) e à CAPES pela concessão da bolsa de mestrado de Tiago. Este trabalho é uma homenagem póstuma ao nosso grande amigo Tiago Ferreira Campos que tão cedo nos deixou, mas com quem pudemos repartir sua generosidade e exemplo de vida.

 

REFERÊNCIAS

1. Chiellini, E.; Solaro, R.; Resumos do Channels of International Workshop on Environmentally Degradable and Recyclable Polymers in Latina America, Campinas, Brasil, 1998.

2. Vaydia, U. R.; Bhatacharya, M. Z. D.; Polymer 1995, 26, 1179.

3. Vogelsager Jr., N.; Furlan, S. A.; Schneider, A. L. S.; Pires, A. T. N.; Pezzin, S. H.; Pezzin, A. P. T.; Revista Matéria 2004, 9, 370.

4. Chandra, R.; Rustgi, R.; Prog. Polym. Sci. 1998, 23, 1273.

5. Jedlinski, Z.; Kowalczuk, M.; Macromolecules 1989, 22, 3242.

6. Bohmert, K.; Balbo, I.; Steinbüchel, A.; Tischendorf, G.; Illmitzer, L.; Plant Physiol. 2002, 128, 1282.

7. Sudesh, K.; Abe, H.; Doi, T.; Prog. Polym. Sci. 2000, 25, 1503.

8. Reddy, C. S. K.; Ghai, R.; Rashmi, R.; Kalia, V. C.; Bioresour. Technol. 2003, 87, 137.

9. Lenz, R. W.; Marchessault, R. H.; Biomacromolecules 2005, 6, 1.

10. Alata, H.; Hexig, B.; Inoue, Y.; J. Polym. Sci. Part B: Polym. Phys. 2006, 44, 1813.

11. Avella M.; Martuscelli E.; Raimo, M.; J. Mater. Sci. 2000, 35, 523.

12. Maiti, P.; Batt, C. A.; Giannelis, E. P.; Biomacromolecules 2007, 8, 3393.

13. Calvão P. S.; Chenal, J. M.; Gauthier, C.; Demarquette N. R.; dos Santos A. M.; Cavaille, J. Y.; Polym. Int. 2010, 59, 851.

14. Yoshie, N.; Nakasato, K.; Fujiwara, M.; Kasuya, K.; Abe, H.; Doi, Y.; Inoue, Y.; Polymer 2000, 41, 3237.

15. Špitalský, Z.; Lacík, I.; Lathová, E.; Janigová,I.; Chodák, I.; Polym. Degrad. Stab. 2006, 91, 856.

16. Hirt, T. D.; Neuenschwander, P.; Suter, U. W.; Macromol. Chem. Phys. 1996, 197 1609.

17. Hirt, T. D.; Neuenschwander, P.; Suter, U. W.; Macromol. Chem. Phys. 1996, 197 4253.

18. Ravenelle F.; Marchessault, R.; Biomacromolecules 2002, 3, 1057.

19. Hori, Y.; Suzuki, M.; Okeda, Y.; Macromolecules 1992, 25, 5117.

20. Reeve, M.; Mccarthy, S.; Gross, R.; Macromolecules 1993, 26, 888.

21. Saad, G.; Lee, Y.; Selinger, H.; Macromol. Biosci. 2001, 1, 91.

22. Nguyen, S.; Yu, G.; Marchessault, R.; Biomacromolecules 2002, 3, 219.

23. Andrade, A. P.; Witholt, B.; Hany, R.; Egli, T.; Li, Z.; Macromolecules 2002, 35, 684.

24. Antunes, M. C. M.; Dissertação de Mestrado, Universidade Estadual de Campinhas, Brasil, 2003.

25. Dai, S.; Li, Z.; Biomacromolecules 2008, 9, 1883.

26. Tokiwa, Y.; Suzuki, T.; Nature 1977, 270, 76.

27. enkiewicz, M.; Richert, A.; Malinowski, R.; Moraczewski, K.; Polym. Test. 2013, 32, 209.

28. Rodríguez-Contreras, A.; Calafell-Monfort, M.; Marqués-Calvo, M. S.; Polym. Degrad. Stab. 2012, 97, 597.

29. Rodríguez-Contreras, A.; Calafell-Monfort, M.; Marqués-Calvo, M. S.; Polym. Degrad. Stab. 2012, 97, 2473.

30. Doi, Y.; Kunioka, M.; Nakamura, Y.; Macromolecules 1986, 19, 2860.

31. Dalla-Vechia, R.; Nascimento, M. G.; Soldi, V.; Quím. Nova 2004, 27, 623.

32. Costa, V. E. U; Amorim, H. L. N.; Quím. Nova 1999, 22, 863.

33. Gross, R. A.; Kumar, A.; Kalra, B.; Chem. Rev. 2001, 101, 2097.

34. Kunioka, M.; Doi, Y.; Macromolecules 1990, 23, 1933.

35. Aoyagi, Y.; Yamashita, K.; Doi, Y.; Polym. Degrad. Stab. 2002, 76, 56.

36. Dias; M.; Antunes, M. C. M.; Santos Jr., A. R.; Felisberti, M. I.; J. Mater. Sci.: Mater. Med. 2008, 19, 3535.

37. Gunaratne, L. M. W. K.; Shanks, R. A.; Amarasinghe, G.; Thermochim. Acta 2004, 423, 127.

38. Alves, S. S.; Dissertação de Mestrado, Universidade Estadual de Campinas, Brasil, 2008.

 

 

In memoriam

On-line version ISSN 1678-7064 Printed version ISSN 0100-4042
Qu�mica Nova
Publica��es da Sociedade Brasileira de Qu�mica
Caixa Postal: 26037 05513-970 S�o Paulo - SP
Tel/Fax: +55.11.3032.2299/+55.11.3814.3602
Free access

GN1