JBCS



14:55, sáb out 25

Acesso Aberto/TP



Artigo

Bioanalytical method for the quantification of the monastrol derivative anticancer candidate LaSOM 65 in pre-clinical pharmacokinetic investigations

Bruna G. S. Torres; Flávia D. T. Uchôa; Rômulo F. S. Canto; Allan Crestani; Vera Eifler-Lima and Teresa Dalla Costa*

Faculdade de Farmácia, Universidade Federal do Rio Grande do Sul, Porto Alegre - RS, Brasil

Recebido em 11/07/2013
Aceito em 04/11/2013
Publicado na web em 26/02/2014

Endereço para correspondência

*e-mail: teresadc@farmacia.ufrgs.br

RESUMO

A simple HPLC/UV method was developed for the determination of the anticancer candidate LaSOM 65 in rat plasma. Samples were cleaned by protein precipitation with acetonitrile (recovery > 95%), after which they were subjected to chromatography under the isocratic elution of an acetonitrile:water (45:55, ν/ν) solution with detection at 303 nm. The method was linear (r2 > 0.98) over the concentration range (0.05-2 µg mL-1) with intra- and inter-day precision ranging from 9.6% to 13.6% and 4.3% to 5.4%, respectively. The accuracy of the method ranged from 85% to 113.6%, and it showed sufficient sensitivity to determine pharmacokinetic parameters of LaSOM 65 after intravenous administration to Wistar rats.

Palavras-chave: LaSOM 65; HPLC/UV; pharmacokinetics.

INTRODUCTION

Anticancer drugs that act by interfering with the normal progression of mitosis are one of the most successful chemotherapeutic agents.1 Typically, these drugs interfere with mitosis by inhibiting normal functions of the mitotic spindle. This is done through drug binding and the subsequent inhibition of the function of microtubules and tubulin.2

However, these drugs are nonspecific and act on normal cells, in addition to the tumor, causing significant side effects such as neuropathy.3 These compounds are also associated with tumor resistance, which results in treatment failures.4 Therefore, new anticancer drugs that interrupt mitosis, which are target structures other than the microtubules, are of interest.5 Novel drugs that target mitotic kinesins are currently being developed.1

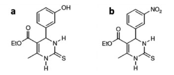
Monastrol (Figure 1a) is an inhibitor of the motor protein kinesin Eg5, which is involved in bipolar mitotic spindle assembly,6 and it was the first small molecule to demonstrate this type of activity. In the search for more potent compounds with a similar mechanism of action, several monastrol derivatives have been synthesized at the Laboratório de Síntese Orgânica Medicinal (LaSOM/UFRGS).7 The synthesized molecules were tested for anticancer activity in two pharmacological trials: in vitro cytotoxicity tests on tumor cell strains of murine (C6) and human (U138-MG) glioma and a Sarcoma 180 model in mice. The derivative ethyl 6-methyl-4-(3-nitrophenyl)-2-thioxo-1,2,3,4-tetrahydropyrimidin-5-carboxylate, named LaSOM 65 (Figure 1b), was the most promising monastrol derivative with a greater than 70% antitumor activity in the murine Sarcoma 180 model after 90 mg kg-1 i.p./day for 7 days.8 It also exhibited two-fold higher cytotoxicity than monastrol in the cell C6 murine and U138-MG human glioma strains tested after the treatment with 150 µmol L-1 of the derivative.7

 


Figure 1. Molecular structure of (a) monastrol and (b) LaSOM 65

 

Poor pharmacokinetic profiles, resulting from poor absorption, distribution, metabolism, or excretion (ADME parameters), and toxicity are the major causes of failure during drug discovery and development, and the wait for the final stages of drug investigations to examine the pharmacokinetics and toxicity of new chemical entities (NCEs) is expensive and time consuming.9 This is particularly true for anticancer candidates, where the first use in humans is conducted in terminal cancer patients, making it extremely important that a thorough pre-clinical investigation to determine NCE pharmacokinetics and toxicity is conducted as soon as possible during drug development.10 In this context, a validated bioanalytical methodology capable of supporting the pre-clinical pharmacokinetic quantification of NCEs in biological fluids is crucial. Thus, this study shows the development and validation of a simple and sensitive high-performance liquid chromatography (HPLC) method with UV detection to quantify LaSOM 65 in rat plasma. The analytical methodology was validated according to the Food and Drug Administration guidelines11, and it considered parameters such as linearity, accuracy, precision (intra-day and inter-day), and limit of quantitation (LOQ). The applicability of the method was tested in a pilot pharmacokinetic study after an intravenous (i.v.) administration of 1 mg kg-1 of LaSOM 65 to Wistar rats.

 

EXPERIMENTAL

Chemicals

LaSOM 65 was synthesized at Laboratório de Síntese Orgânica e Medicinal (LaSOM, Porto Alegre, Brazil) and was used as received. Nifedipine was a gift from Laboratório de Pesquisa e Padrões Secundários (LAPPS/UFRGS) (99.69%). HPLC-grade acetonitrile was obtained from Tedia (Fairlfield, USA), and water was purified by a Milli-Q system (Millipore®).

Apparatus and chromatographic conditions

The method was performed on a Waters HPLC system equipped with a Waters® 600 pump controller, automatic injector (717 Plus, Waters®), and a Waters® 2487 dual λ absorbance detector. The Waters® Empower software was used for data acquisition and processing. Analytical separations were performed on a NovaPak® C18 column (150 × 4.6 mm i.d., 5 µm particle size, Waters®, Milford, USA) coupled to a C18 Phenomenex® security guard pre-column. Chromatographic separation was accomplished by the isocratic elution of a mixture of water and acetonitrile (55:45 ν/ν) at a constant flow rate of 0.8 mL min-1. LaSOM 65 and nifedipine (internal standard, IS) were detected at 303 nm. All samples and standard solutions were analyzed at room temperature, and 50 µL was the injection volume. The peak area ratio of analyte to internal standard versus analyte concentration was used for LaSOM 65 quantitation in the plasma samples with a standard curve.

Standard solutions, analytical curves, and quality control samples

A standard stock solution of LaSOM 65 or nifedipine with a final concentration of 100 µg mL-1 was prepared by weighing 10 mg of each compound into a 100 mL volumetric flask and diluting to volume with acetonitrile. The stock solutions were stored at 4 ºC.

The LaSOM 65 stock solution was diluted in acetronitrile:water (50:50 ν/ν) to obtain working solutions of 0.5, 0.75, 1.5, 3, 6, 10, and 20 µg mL-1. Bioanalytical standard curves were generated by measuring the seven different plasma standard curve concentrations (0.05, 0.075, 0.15, 0.3, 0.6, 1, and 2 µg mL-1) created by spiking 90 µL of Wistar rat blank plasma with 10 µL of each standard working solution. Nifedipine was also diluted in acetronitrile:water (50:50 ν/ν) to obtain a working solution of 50 µg mL-1, and the working solution was added to all plasma samples (10 µL) to give a final concentration of 5 µg mL-1.

Quality control (QC) samples were prepared at low (0.12 µg mL-1), medium (1.2 µg mL-1), and high (1.8 µg mL-1) concentrations by spiking drug-free plasma with appropriate dilutions of the stock solution. The working solutions and all spiked plasma samples were freshly prepared for analysis each day.

Sample preparation

For the quantification of LaSOM 65, 10 µL of the IS was added to plasma samples (100 µL) and deproteinized by the addition of 200 µL of acetonitrile. This solution was then shaken for 5 min and centrifuged at 6800 ×g for 10 min at 4 ºC. The supernatant was transferred into glass vials and injected into the HPLC system. All samples, including the plasma standard curve samples, QC samples, and animal samples, were processed in the same manner.

Validation of the bioanalytical method

The method was validated according to the Food and Drug Administration's (FDA) guidelines for bioanalytical method validation by the determining the following parameters: specificity/selectivity, linearity, recovery, accuracy, and precision.11

To assess selectivity, a pool of blank rat plasma samples obtained from untreated animals was processed and analyzed as previously described to evaluate if any of the endogenous matrix components interfere with the quantification of LaSOM 65 and IS.

Linearity was conducted by quantifying the analyte in three samples of different concentration levels from the standard curve (ranging from 0.05 to 2 µg mL-1) daily for two consecutive days. The standard curves were obtained by plotting LaSOM 65 by IS peak area ratios against the respective nominal concentration of the compound. Slopes, intercepts, and determination coefficients were determined by linear regression analysis, which was calculated using the least-squares regression method.

To determine the recovery of the method, the peak areas of the three QC samples (low, middle, and high) extracted from the plasma were compared to equivalent non-extracted solutions at the same concentration level (n= 6 / each QC sample).

The intra-day and inter-day precision and accuracy of the analytical method were evaluated by performing six determinations of each QC sample concentration (0.12, 1.2, and 1.8 µg mL-1) on two consecutive days. Precision was reported as a percentage of the relative standard deviation (R.S.D.) of the estimated concentrations, and the accuracy was assayed by comparing the measured concentrations of the plasma samples to the nominal concentration of the sample. According to the FDA's guidelines,11 the precision and accuracy of each concentration level should be within ± 15% of the nominal concentration except for the lower limit of quantitation (LLOQ), which should be within ± 20% for bioanalytical methods.

The stability of the compound in rat plasma was evaluated by comparing the original concentration of samples freshly prepared at the initial validation stage to concentration of samples from each storage period. Short-term, long-term, and post-processing stability studies were carried out in triplicate for the lower and higher QCs samples. Short-term stability was assayed by placing samples at room temperature for 4 h. Long-term stability was evaluated by determining the concentration of plasma samples stored in the freezer (-20 ºC) for 30, 60, and 90 days, and post-processing stability was determined by analyzing samples at 2, 4, 6, and 12 h after processing. The samples were considered stable if the deviation from the original concentration was within ± 15%.

Preliminary pharmacokinetic study

The investigation protocol in animals was approved by the UFRGS Ethics in Research Committee (Protocols 2008196 and 17453).

The pharmacokinetic study was carried out by administering LaSOM 65 to three male Wistar rats (300-350 g). A single intravenous bolus dose of 1 mg kg-1 was injected into the lateral tail vein and, at scheduled times (0, 0.08, 0.25, 0.33, 0.5, 1, 1.5, 3, 4.5, and 6 h), approximately 200 µL of blood was withdrawn via the lateral tail vein puncture into heparinized centrifuge tubes. Plasma was separated by centrifugation at 3800 ×g (4 ºC for 10 min) and then stored at -20 ºC until analysis. On the analysis day, the samples were thawed at room temperature, and the plasma samples (100 µL) were prepared as described in the sample preparation section.

Pharmacokinetic parameters were determined by analyzing the individual rat plasma profiles using non-compartmental equations12 in EXCEL® (Microsoft, USA).

 

RESULTS AND DISCUSSION

Separation conditions

Because LaSOM 65 is a lipophilic molecule (LogP 2.935), the use of a hydrophobic stationary phase (e.g. C18-bonded silica columns) for chromatographic purposes allows for the adequate retention of organic non-polar molecules in the column, resulting in good chromatographic separation of the analyte from interferences present in the plasma matrix. Chromatographic separation was achieved using a Nova Pak® C18 column. The column was suitable for separating the drug from the matrix and had adequate resolution and symmetrical peak shapes. With a mobile phase of acetonitrile:water (45:55 ν/ν) at a flow rate of 0.8 mL min-1, it was possible to separate LaSOM 65 from the matrix and IS peaks in less than 10 min under isocratic conditions. The choice of the wavelength of detection was based on the maximum absorption of the LaSOM 65 in the UV spectra (data not shown).

The separation and specificity/selectivity of the method are illustrated in Figure 2 by comparing the chromatograms of drug-free plasma samples (blank) (Figure 2a) to those obtained after the analysis of plasma spiked with LaSOM 65 and IS (Figure 2b) and 3.5 h after an i.v dosing of LaSOM 65 in an animal (Figure 2c). The method could separate the analytes from plasma interferences, and LaSOM 65 and nifedipine were also well separated. Plasma components did not interfere with the quantitative determination of the anticancer candidate and IS, indicating that the method is selective.

 


Figure 2. Representative HPLC chromatograms of: (a) blank rat plasma, (b) rat plasma spiked with LaSOM 65 (600 ng mL-1) and IS (5 μg mL-1), (c) 3 h plasma sample from rat dosed with LaSOM 65 at 1 mg kg-1 i.v. and IS

 

Extraction procedure

The plasma samples were cleaned by deproteinization with acenonitrile to achieve high recoveries of both LaSOM 65 and IS. Mean extraction recoveries for the three concentrations levels of the QC samples were 95.84 ± 5.29% and 96.43 ± 9.19% for LaSOM 65 and IS, respectively. Recoveries of the analyte and IS were reproducible throughout the standard curve linearity range. The cleaning method was simple, inexpensive (small volume of organic solvent), and rapid (single step extraction).

Method validation

The linearity of the method was evaluated by plotting the peak area LaSOM/IS ratio versus concentration to construct the standard curves, which were linear in the concentration range of 0.05 to 2 µg mL-1. Regression analysis results from the calibration standard curves on two successive days are shown in Table 1. The highly significant determination coefficients (r2) obtained (> 0.98) indicate the linearity of the standard analytical curves.

 

 

The LLOQ, which is the lowest concentration of an analyte in a sample that could be determined with a precision >80% and accuracy within 100 ± 20%,11 was 50 ng mL-1 under the experimental conditions used in this method.

Tables 2 and 3 summarize the results of the precision and accuracy evaluation, respectively. Intra-day and inter-day precisions of the method were within 9.6%-13.6% and 4.3%-5.4%, respectively (n = 6, for each QC level). The accuracy of the method was between 85% and 113.6%. The data showed that the present method possesses adequate accuracy and repeatability based on the FDA guidelines for the acceptance of accuracy and precision.11

LaSOM 65 was stable in rat plasma for at least 4 h at room temperature (short-term stability) showing 99.6 ± 0.9% and 99.5 ± 4.9% of the initial concentration for the lower and higher CQs, respectively. The samples were stable for 30 days (long-term stability) when stored under freezer conditions (-20 ºC) maintaining 94.5 ± 2.3% (lower CQ) and 98.8 ± 2.7% (higher CQ) of the initial concentration. After processing, the samples were stable for 4 h in the autosampler (105.9 ± 0.4% for the lower CQ and 103.4 ± 1.7% for the higher CQ). The analysis of the animal experiments correlated with the results of the stability studies.

 

 

 

 

Suitability of the method for pre-clinical pharmacokinetic studies

To demonstrate the suitability of the analytical method for quantifing LaSOM 65 in rat plasma in pre-clinical pharmacokinetic investigations, a preliminary group of three Wistar rats received a single i.v. dose of 1 mg kg-1 of the NCE. The average plasma profile of LaSOM 65 in the rats is shown in Figure 3.

 


Figure 3. Mean plasma concentration-time profile of LaSOM 65 after a single i.v bolus dose of 1 mg kg-1 to male Wistar rats. The data points are means, and the error bars are S.D. of three animals

 

The pharmacokinetic parameters determined by non-compartmental analysis are shown in Table 4. LaSOM 65 had a short half-life (t1/2 = 1.8 ± 0.2 h), high clearance (CL = 0.75 ± 0.08 L h kg-1), and high volume of distribution (Vd = 1.94 ± 0.27 L kg-1). These pharmacokinetic parameters agree with those found in the literature.13 The plasma sampling schedule and sensibility of the bioanalytical method allowed for the sufficient characterization of the terminal elimination phase of the plasma profile with an extrapolated AUC less than 20% (AUC ext = 11 ± 3%).

 

CONCLUSION

A simple, fast, inexpensive, precise, and accurate HPLC/UV method has been developed and validated for the quantification of LaSOM 65 in rat plasma samples. The method was validated according to FDA guidelines, and all the results were in accordance with the acceptability criteria for bioanalytical methods. The chromatography system provides good separation of the compound and internal standard from interfering matrix compounds and eventual metabolites. The method was applied to a preliminary pharmacokinetic study of LaSOM 65 and showed sufficient sensitivity to allow for the proper determination of NCE pharmacokinetic parameters. The method will be used for a full pharmacokinetic investigation of the compound in rodents.

 

ACKNOWLEDGMENTS

This study was supported by the Instituto Nacional de Ciência e Tecnologia para Inovação Farmacêutica (INCT-if) from Conselho Nacional de Desenvolvimento Científico e Tecnológico (CNPq/Brazil). Bruna Gaelzer Silva Torres received research grants from CAPES/Brazil. Teresa Dalla Costa and Vera Einfler-Lima received research grants from CNPq/Brazil.

 

REFERENCES

1. Schmidt, M.; Bastians, H.; Drug Resistance Updates 2010, 10, 162.

2. de Almeida, V. L.; Leitão, A.; Reina, L. C. B.; Montanari, C. A.; Donnici, C. L.; Quim. Nova 2005, 28, 118.

3. Nussbaumer, S.; Bonnabry, P.; Veuthey, J. L.; Fleury-Souverain, S.; Talanta 2011, 85, 2265.

4. Gangjee, A.; Namjoshi, O. A.; Keller, S. N.; Smith, C. D.; Bioorg. Med. Chem. 2011, 19, 4355.

5. Huszar, D.; Theoclitou, M. E.; Skolnik, J.; Herbest, R.; Cancer Metastasis Rev. 2009, 28, 197.

6. Peters, T.; Lindenmaier, H.; Haefeli, W. E.; Weiss, J.; Naunyn-Schmiedeberg's Arch. Pharmacol. 2006, 372, 291.

7. Canto, R. F. S.; Bernardi, A.; Battastini, A. M. O.; Russowsky, D.; Eifler-Lima, V. L.; J. Braz. Chem. Soc. 2011, 22, 1379.

8. Canto, R. F. S.; Dissertação de Mestrado, Universidade Federal do Rio Grande do Sul, Brasil, 2009.

9. Tomaszewski, J. E.; Smith, A. C.; Covey, J. M.; Donohue, S. J.; Rhie, J. K.; Schweikart, K. M. In: Anticancer drug development; Baguley, B. C.; Kerr, D. J., eds.; San Diego: Academic Press, 2002, cap.17.

10. van de Wanterbeemd, H.; Gifford, E.; Nat. Rev. Drug Discovery 2003, 2, 192.

11. FDA, Food and Drug Administration; Guidance for Industry - Bioanalytical Method Validation, 2001.

12. Shargel, L.; Wu-Pong, S.; Yu, A. B. C.; Applied Biopharmaceutics & Pharmacokinetics, 5th ed., McGran-Hill: New York, 2005.

13. Torres, B. G. S.; Uchôa, F. D.; Pigatto, M. C.; Azeredo, F. J.; Haas, S. E.; Dallegrave, E.; Canto, R. F.; Eifler-Lima, V. L.; Dalla Costa, T.; Xenobiotica (2013), doi: 10.3109/00498254.2013.822131.

On-line version ISSN 1678-7064 Printed version ISSN 0100-4042
Qu�mica Nova
Publica��es da Sociedade Brasileira de Qu�mica
Caixa Postal: 26037 05513-970 S�o Paulo - SP
Tel/Fax: +55.11.3032.2299/+55.11.3814.3602
Free access

GN1