JBCS



14:52, sáb out 25

Acesso Aberto/TP



Revisão


Química de Productos Naturales aplicada a la acuicultura: una revisión interdisciplinar
Natural products chemistry applied to aquaculture: an interdisciplinary review

Roberto MiosoI,*; Francisco J. Toledo MaranteI; Irma H. Bravo de LagunaII; Martín BessonartIII

IDepartamento de Química, Universidad de Las Palmas de Gran Canaria, Gran Canaria 35017, Spain
IIDepartamento de Biología, Universidad de Las Palmas de Gran Canaria, Gran Canaria 35017, Spain
IIILaboratorio de Recursos Naturales, Instituto de Ecología y Ciencias Ambientales, Facultad de Ciencias, Universidad de la República, Montevideo, Uruguay

Recebido em 04/07/2013
Aceito em 30/10/2013
Publicado na web em 10/02/2014

Endereço para correspondência

*e-mail: robertomioso@yahoo.co.uk

RESUMO

This review sought to highlight the importance of natural products versus synthetic products, as bioactive molecules, towards the development of better management practices in aquaculture. The nature, structure, activity, and applications of these naturally-occurring high value-added compounds are described, as well as the methodology used for their study. Examples include the well-known rotenone, eugenol, forskolin, isatin, malyngamide, chlorodesmine, pachydictyol, fimbrolide, and other potentially active molecules in aquaculture.

Palavras-chave: secondary metabolites; bioactive substances; high value-added compounds.

INTRODUCCIÓN

La acuicultura depende del uso de productos químicos para su desarrollo, en una proporción creciente a medida que se intensifica la naturaleza del sistema de cultivo empleado. Los productos químicos son responsables de una mejora en la productividad en los criaderos pues proporcionan una mayor supervivencia larvaria y una mejor eficiencia alimentaria, reducen el estrés en el transporte de animales, controlan a los agentes patógenos, y combaten a los epífitos y organismos adheridos responsables de la disminución del rendimiento de las conducciones de agua, al incrementar la relación carga/ peso de estructuras y materiales.1 Sin embargo, gran parte de estos procedimientos operativos utilizan productos químicos sintéticos, los cuales acaban impactando de forma negativa en el medio ambiente y en la salud animal/ humana por su ecotoxicidad.2

Cada compuesto tiene características específicas en cuanto a su toxicidad, su modo de acción, y su potencial influencia en los ambientes acuáticos. En una reciente revisión sobre el uso de substancias químicas en granjas marinas de salmón, Burridge et al. han aportado nuevos datos respecto al impacto ambiental provocado por el uso indiscriminado de estos productos de origen sintético: antibióticos, parasiticidas, anestésicos, y desinfectantes entre otros, en diversas áreas relacionadas con la industria, persiguiendo establecer un modelo internacional que regule estas prácticas de acuicultura.3

En el contexto de un modelo de acuicultura racional y sostenible, los productos naturales empiezan a adquirir importancia, al ofrecer un amplio repertorio de componentes con diferentes aplicaciones dentro de la acuicultura contemporánea, representando un menor riesgo cuando se les compara con los mencionados productos sintéticos. En este sentido, el 31 de diciembre de 2003, la Agencia de Protección Medioambiental de Estados Unidos (E.P.A.) prohibió la utilización de todos los conservantes de la madera conteniendo arsenato de cobre cromatado, resaltando la importancia de encontrar "alternativas naturales" a estos agentes conservantes. Hoy se sabe que las esponjas del orden Verongida no son incrustadas por macroorganismos por poseer mecanismos químicos de defensa; la más notable característica de estas esponjas es que biosintetizan alcaloides, derivados de la dibromotirosina, que son antimicrobianos, citotóxicos y antiincrustantes.4

Por otra parte, los antecedentes relacionados con la acuicultura informan del uso de los productos naturales como desinfectantes, herbicidas, pesticidas, parasiticidas y antibióticos,5 así como suplementos alimenticios, en forma de vitaminas, ácidos grasos, carotenoides, inmunoestimuladores, hormonas y atrayentes.6 Es evidente el interés fito y zootécnico que todo esto representa.

Así que, el estudio químico de un organismo, y la elucidación de las estructuras moleculares de sus componentes, puede dar lugar a una serie de aplicaciones que van desde la utilización del propio organismo estudiado como materia prima bruta, sin ningún tipo de tratamiento, hasta la producción masiva de éste para la posterior aplicación de procedimientos extractivos, orientado a la producción industrial, en "biofábricas" o "biogranjas", de productos de alto valor añadido aplicables a sectores como el farmacéutico, cosmético, nutracéutico, agrario y, por supuesto, acuícola.

Acuicultura como actividad demandante de productos naturales

La biosfera, con su inmensa diversidad, representa una fuente de productos naturales con aplicaciones nutricionales, farmacológicas y cosméticas.7 El hombre, conocedor de esta biodiversidad desde tiempos remotos, ha usado estos recursos en forma de organismos o sus extractos para alimentarse, curarse e incluso matarse.8 Un ejemplo lo encontramos en el uso de microalgas en la nutrición, fechado hace 2000 años, cuando la cianobacteria Nostoc flagelliforme fue utilizada como alimento en China.9 Otro ejemplo, ahora de los tiempos modernos, lo constituye el uso del nutracéutico glucosamina, que se obtiene a partir de la quitina del exoesqueleto de los crustáceos marinos.10

Históricamente, las actividades relacionadas con la práctica de la acuicultura se remontan a más de 3.000 años.11 Durante la Edad Media, ya se habían establecido en Europa algunas de estas prácticas de cultivo. No obstante, la acuicultura como actividad zootécnica solamente ha comenzado a perfilarse a partir del último siglo, con la introducción de técnicas depuradas de manejo, lo que ha permitido la intensificación de los sistemas de cultivo.

Técnicamente, esta actividad se desarrolla a través de prácticas operacionales que comprenden la preparación de estanques y estructuras de cultivo, el manejo del suelo, del agua y de la productividad acuática, el transporte de organismos vivos, control de la reproducción, promoción del crecimiento y nutrición, gestión de enfermedades, procesamiento y mejora del producto final.12

El propósito fundamental de la acuicultura es, por lógica, la producción de materia viva a partir del elemento acuático. En este sentido, esta actividad consiste en la manipulación de los medios naturales o artificiales que puedan llevar a la producción de especies útiles al hombre. Entre sus principales vertientes destacan la piscicultura, la camaronicultura, la malacocultura y la talasiocultura.13 Sin embargo, últimamente se ha introducido el término "Acuicultura de Organismos no Alimentarios" para describir una próspera actividad que acaba de aparecer.14 Consiste en la producción de los productores de los "Productos de Alto Valor Añadido". Así, invertebrados y peces marinos son ya fuentes de metabolitos de interés comercial. Es presumible que esta actividad crecerá en importancia a medida que el conocimiento de los productos naturales y la ecología química se desarrollen.15 Entre los productores de estos componentes destacan las esponjas y sus organismos asociados, ascidias, briozoos y moluscos, los cuales han recibido especial atención por parte de la investigación y desarrollo.16 En este campo, la empresa Pharmamar es pionera, pues desde hace una década ha desarrollado un proyecto empresarial orientado a la producción de factores citotóxicos por maricultura de la ascidia Ecteinascidia turbinata, próximo a la isla de Formentera, en el mar Mediterráneo.17

Productos naturales de alto valor añadido

La reproducción de los peces es regulada en el cerebro por medio de la hormona liberadora de gonadotrofinas (GnRH), que se produce específicamente en el hipotálamo.18 Este decapéptido estimula la producción de gonadotrofinas por parte de la hipófisis, y es uno de los primeros productos naturales de alto valor añadido aplicados en acuicultura para la inducción de la reproducción. En este sentido, los extractos pituitarios provenientes de la carpa Cyprinus carpio y del salmón Salmo salar han sido utilizados con éxito.19 Tal procedimiento, conocido como hipofisación, se ha convertido en una práctica corriente en la piscicultura moderna. En la actualidad, la maduración final, la ovulación y la espermiación son inducidas en las especies de mayor interés acuícola, sobre todo en peces de agua dulce.20

Algunos fisiólogos de la reproducción han mostrado su interés por los metabolitos secundarios de una planta india conocida como cóleo (Coleus forskohlii). Su utilidad reside en la actividad de su componente principal, el diterpeno forskolina (1, Figura 1).21 Según Chaube y Haider, este compuesto actúa estimulando la acción gonadotrópica, desencadenando la esteroidogénesis folicular y maduración ovocitaria final en peces.22 En concreto, se ha observado que la forskolina estimula la maduración ovocitaria en el pez medaka, Oryzias latipes;23 además, presenta un efecto aditivo sobre la disolución de la vesícula germinal en la perca, Anabas testudineus;24 y estimula la producción de 17β-estradiol, hormona responsable de la síntesis de vitelogenina en el hígado de la trucha arco-iris, Oncorhynchus mykiss.25

 


Figura 1. Forskolina (1)

 

La hormona de la muda de los crustáceos marinos, al igual que la de los insectos, está constituida por mezclas de ecdisteroides como crustecdisona (3),26 2-deoxicrustecdisona (4)27 y la inokosterona (6).28 Esta familia de moléculas ha sido aislada del reino vegetal; así por ejemplo, la ponasterona A (5), se aisló de las hojas de Podocarpus nakaii,29 la crustecdisona (3) de Podocarpus elata30 y, finalmente, la 2-deoxicrustecdisona (4) y la ecdisona (2) del helecho Blechnum minus (Figura 2).31 Esto significa que se pueden utilizar determinadas fracciones de extractos vegetales, ricas en estos fitoecdisteroides, para modular la metamorfosis, el crecimiento y la reproducción de crustáceos como la langosta americana Homarus americanus,32 o el cangrejo azul Callinectes sapidus.33 Este último, es muy apreciado en los Estados Unidos cuando es comercializado en su época de muda, al ocurrir el ablandamiento de su caparazón, proceso que es provocado por las hormonas moduladoras del crecimiento.34

 


Figura 2. Fitoecdisteroides (2, 3, 4, 5 y 6)

 

La rotenona (7) es una isoflavona biosintetizada por la ruta de los policétidos (Figura 3). Este metabolito secundario, que se extrae de las raíces de Derris sp. y otras variedades de plantas, se presenta como un potente inhibidor metabólico capaz de bloquear la respiración celular en seres vivos.35 Este compuesto tiene, pues, un interés profiláctico, ya que sirve para la erradicación de especies ícticas indeseables presentes en estanques dedicados a la acuicultura.36 Posee, además, una fuerte acción en el control de invertebrados acuáticos, especialmente de las ninfas de odonatos, las cuales son voraces depredadoras de las larvas de peces y crustáceos.37

 


Figura 3. Rotenona (7)

 

Otro producto natural de interés acuícola es el aceite de clavo, el cual muestra propiedades anestésicas.38 Se trata de un componente aislado a partir del extracto de la flor de Syzygium aromaticum. Según Della Porta et al.,39 este aceite esencial contiene, entre otras sustancias, un shikimato de naturaleza fenólica conocido como eugenol (8), que se obtiene como un producto de bajo coste, reducida toxicidad y rápida degradación, lo que le aporta una gran seguridad de aplicación y, por tanto, ventajas con respecto a otros anestésicos usados en acuicultura (Figura 4).40 Paralelamente, este material se ha utilizado como fungicida en la protección de los huevos de salmónidos.41

 


Figura 4. Eugenol, o 4-alil-2-metoxifenol (8)

 

Productos Naturales Marinos como insumos para la acuicultura

Los organismos marinos biosintetizan los Productos Naturales Marinos (PNMs) para conseguir alguna ventaja adaptativa, o para mantener la homeostasis en su ambiente. Entre 1977 y 2011 se han descrito miles de metabolitos nuevos en organismos que abarcan desde microbios hasta peces; todo ello supone aún, menos del 1% de los organismos marinos totales.42 Una revisión de la literatura revela que incluso el agua de mar tiene propiedades bactericidas, probablemente debido a la producción de antibióticos por las bacterias, las algas planctónicas y los hongos.43

En el campo de la acuicultura, las enfermedades aparecen en todos los estadíos de desarrollo de los organismos cultivados, desde los huevos en adelante. El control de estas patologías mediante antibióticos tiene algunas limitaciones; así, no es de extrañar que instituciones competentes hayan regulado el uso de ellos en el cultivo del camarón.44 Los problemas creados por el uso indiscriminado de estos compuestos incluyen: desarrollo de bacterias resistentes a las drogas, contaminación ambiental, y acumulación de residuos en los tejidos de la especie cultivada.45 Por otra parte, la gestión de la enfermedad usando vacunas tiene la limitación de que son demasiado específicas, es decir, si el agente que causa la enfermedad es otro, la vacuna no sirve.46

Una experiencia en este campo, la constituye el caso del camarón de estuario Palaemon macrodactylus. Gil-Turnes et al. observaron que los huevos de P. macrodactylus poseen un epibionte bacteriano, el cual, cuando se elimina por tratamiento con antibióticos, produce un rápido ataque de los huevos por hongos patogénicos; ello se debe a la ausencia del agente antifúngico producido por la bacteria, el shikimato isatina (9, Figura 5).47 Este caso demuestra que los estudios de PNMs en los simbiontes bacterianos beneficiosos son relevantes en acuicultura.

 


Figura 5. Isatina (9)

 

La cianobacteria filamentosa Lyngbya majuscula produce la malingamida A (10, Figura 6). Este metabolito resultó ser un fagorrepelente del pez cirujano y, sin embargo, fagoestimulador de la liebre marina Stylocheilus longicauda.48 Otra cianobacteria, la Oscillatoria spongeliae produce el difenil-éter bromado (11) con propiedades bactericidas, y antioxidantes (Figura 6).49 Teniendo, por lo tanto, una aplicabilidad potencial como agente protector de la oxidación lipídica en los alimentos, comparativamente similar ó superior a los antioxidantes sintéticos.50

 


Figura 6. El fagorrepelente/ fagoestimulador malingamida A (10). Un bactericida marino (11)

 

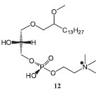
Las esponjas marinas suelen producir fagorrepelentes, antiincrustantes, antibióticos, antivirales y fungicidas, inhibidores del asentamiento larvario, fotoprotectores, factores alelopáticos e inhibidores de la biosíntesis del colesterol. Un ejemplo de este último grupo lo constituye el fosfolípido (12), aislado de la esponja Crella incrustans (Figura 7).51 Por otra parte, en un experimento concebido para controlar los patógenos bacterianos en camarones, se alimentaron éstos con extractos de la espoja marina Dendrilla nigra; los resultados indicaron actividad vibrostática, demostrándose así que los metabolitos secundarios de D. nigra constituyen una alternativa a los antibióticos que actualmente se usan en los criaderos de camarones.52

 


Figura 7. Fosfolípido, inhibidor de la biogénesis del colesterol (12)

 

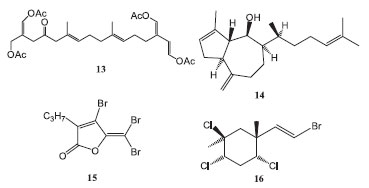
Las macroalgas marinas suelen producir fagorrepelentes, antiincrustantes, factores alelopáticos y fitoalexinas. Así, el diterpeno chlorodesmina (13) es un fagorrepelente que elabora un alga del género Chlorodesmis; el pachidictiol A (14) es un diterpeno antiincrustante que genera el alga Dictyota menstrualis (protege al alga del asentamiento de las larvas de briozoos); el fimbrolido (15) es otro antiincrustante que biosintetiza el alga Delisea pulcra; la telfairina (16) es un molusquicida fabricado por el alga Plocamium telfairiae (Figura 8).53,48 Por otra parte, en Japón se ha utilizado la harina de la macroalga Ulva sp. como suplemento alimenticio para incrementar tanto la resistencia a enfermedades como la velocidad de crecimiento del besugo del Mar Muerto Acanthopagrus schlegeli.54 El alga le suministra al pescado, tanto estimuladores del sistema inmunológico como hormonas de crecimiento, lo que indica que este macrófito es "proactivo" cuando se utiliza como suplemento alimenticio.

 


Figura 8. El fagorrepelente chlorodesmina (13). El antiincrustante pachidictiol A (14). El antiincrustante fimbrolido (15). El fagorrepelente/ molusquicida telfairina (16)

 

Los cnidarios: corales, gorgonias y otros, producen normalmente fagorrepelentes, antiincrustantes, factores alelopáticos, inhibidores del asentamiento larvario, y fotoprotectores. La excepción a esta regla la constituye la prostaglandina (15R)-PGA2 (17), un derivado de los ácidos grasos que fabrica la gorgonia Plexaura hormomalla (Figura 9). Las prostaglandinas son moléculas presentes al nivel traza en todos los tejidos animales, donde desempeñan un importante papel en la regulación de numerosos procesos bioquímicos, aunque en P. hormomalla se acumula la (15R)-PGA2 al nivel del 1,5% (w/w). A pesar de que estas sustancias suelen ser estimuladoras de la actividad de la musculatura lisa, hipotensoras y tranquilizantes, la (15R)-PGA2 resultó inactiva; sin embargo, por síntesis se transformó en su epímero (15S)-PGA2 que sí resultó activa.55

 


Figura 9. Prostaglandina (15R)-PGA2 (17)

 

Los diterpenos 11,12-dihidroflexibilido (18) y sinulariolido (19) son compuestos producidos por el coral espagueti Sinularia flexibilis; el primero resultó ser un fagorrepelente del pez mosquito, Gambusia affinis, y el segundo resultó con actividad algicida (Figura 10).56,48

 


Figura 10. Fagorrepelentes/ algicidas del coral espagueti (18 y 19)

 

La fanerógama marina Thalassia testudinum fabrica la fitoalexina -fungicida- luteolin-7-O-β-D-glucopiranosil-2-sulfato (20);57 el molusco Tambja abdere produce la tambjamina A (21), un fagorrepelente y, al mismo tiempo, feromona de alarma;48 finalmente, la prostaglandina F-1,15-lactonizada (22) es una hormona que influye en la reproducción y desarrollo de los estados juveniles del opistobranquio Tethys fimbria (Figura 11).58

 


Figura 11. Fungicida de Thalassia testudinum (20). Fagorrepelente de Tambja abdere (21). Hormona de Tethys fimbria (22)

 

Aunque los hongos y sus metabolitos sean habitualmente conocidos por su toxicidad e influencia negativa en la salud humana, animal y vegetal,59 los últimos avances en la investigación de los PNMs han demostrado que estos organismos constituyen, además, una prometedora fuente de sustancias bioactivas con interesantes aplicaciones.60 Sus características heterotróficas y frecuentemente saprofíticas les confieren gran capacidad para producir y degradar compuestos químicos.61 Sus enzimas han sido incluso propuestas como alternativa a los agentes anti-incrustantes tradicionales.62

El micelio del hongo derivado del medio ambiente marino Phoma herbarum produce un polisacárido, de tamaño molecular 2,4 × 103 kDa, que es responsable del incremento de la actividad fagocitaria en ratones, presentando además actividad inmunomoduladora.63 Los β-glucanos son conocidos polisacáridos, siendo las estructuras activas las del β-1,3 y β-1,6 glucano, las cuales son biosintetizadas principalmente por hongos y levaduras.64 La immunoestimulación, por suministro con la dieta de estos β-glucanos, ha resultado ser eficaz frente a Aeromonas salmonicida, bacteria responsable de algunas enfermedades que sufren los cultivos de la trucha arco-iris Oncorhychus mykiss y el salmón atlántico Salmo salar;65 también ha sido eficaz ante otras enfermedades infecciosas que azotan la camaronicultura.66 Por otro lado, suplementos alimenticios fabricados con el micelio del hongo Paecilomyces japonica han producido un incremento de la eficiencia alimentaria, un mejor crecimiento y también una mejor respuesta fagocitaria en los juveniles del pez hirame Paralichthys olivaceus.67

Los dinoflagelados producen un impacto comercial negativo en los cultivos de moluscos ya que fabrican toxinas que, a través de éstos, transmiten hasta los consumidores finales.68 Por la misma razón, también las cianobacterias son responsables del desagradable sabor y olor que suele adquirir la carne del pez gato Ictalurus punctatus, una de las principales especies dulceacuícolas cultivadas en Norte America.69 La inhibición de estos microorganismos en los cultivos es, pues, un objetivo prioritario en acuicultura, habiéndose usado para ello múltiples algicidas comerciales.70 En un intento de encontrar PNMs que cumplan con la misma función, se han descubierto las clonostachisinas A y B, que fueron aisladas a partir del hongo marino Clonostachys rogersoniana. Se trata de dos nonapéptidos cíclicos (C54H89N9O10 y C53H87N9O10) que presentan un efecto inhibitorio selectivo frente al dinoflagelado Prorocentrum micans.71 Por otra parte, Redhead y Wright descubrieron dos cepas fúngicas, Acremonium sp. y Emericellopsis sp., que inhibieron el crecimento de cianofíceas, siendo el agente responsable de esta actividad algicida el antibiótico cefalosporina C (23), biosintetizado por ambos hongos (Figura 12).72

 


Figura 12. Cefalosporina C, de Acremonium sp. y Emericellopsis sp. (23)

 

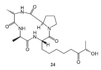
Del ascomiceto Chromocleista sp. se han aislado las dicetopiperazinas.73 Se trata de polipéptidos cíclicos que se han mostrado activos frente a la vibriosis, una de las enfermedades que más pérdidas económicas causan en maricultura.74 Esta enfermedad está causada por varias especies bacterianas pertenecientes al género Vibrio, siendo la especie Vibrio anguillarum la principal responsable del fenómeno en peces, crustáceos y moluscos.75 Otra dicetopiperazina, la mactanamida (24), ha sido aislada del hongo marino Aspergillus sp., y se ha manifestado con actividad fungistática (Figura 13).76

 


Figura 13. Mactanamida, de Aspergillus sp. (24)

 

Kobayashi et al., estudiando el hongo imperfecto Trichoderma harzianum, un simbionte asociado a la esponja marina Micale cecilia, han aislado un nuevo policétido, la trichoharzina (25) con propiedades bactericidas (Figura 14).77

 


Figura 14. Trichoharzina, de Trichoderma harzianum (25)

 

Paralelamente, del fondo marino se ha aislado un nuevo Streptomiceto que produce otro policétido denominado SBR-22, el cual presentó actividad frente a la bacteria Staphylococcus aureus que, resistente a la methicilina,78 es responsable de la enfermedad que afecta a los ojos de la carpa plateada Hypophthalmichthys molitrix cuando se la cultiva en regiones tropicales.79

Los Thraustochytridos pertenecen a un grupo de microorganismos zoospóricos marinos que pueden ser descritos funcionalmente como hongos.80 Estos organismos producen moléculas de alto valor biológico, tales como los ácidos grasos poliinsaturados ω3, utilizados tanto en alimentación funcional humana como en acuicultura.81 También biosintetizan el thraustochitrosido C (26), el cual ha sido obtenido de una cepa de Thraustochytrium globosum (Figura 15).82 Esta inusual substancia fúngica abre novedosas perspectivas en acuicultura, ya que la inclusión de este tipo de glicoesfingolípidos naturales en las dietas, es presumible que mejorará el crecimiento, tanto en larvas como en juveniles. Además, podría incrementar las tasas de supervivencia, disminuir la incidencia de malformaciones larvales, y aumentar la resistencia al estrés.83

 


Figura 15. Thraustochitrosido C, de Thraustochytrium globosum (26)

 

El escualeno (27) es un triterpeno que se encuentra en el hígado de peces elasmobranquios, siendo éste su principal fuente (Figura 16).84 Este componente es un efectivo antioxidante natural, útil en nutracéutica.85 En la actualidad, una variedad de cepas de hongos Thraustochitridos y Labirintulomicetos están siendo objeto de estudio, siendo propuestas como potenciales substitutas de la fuente tradicional de escualeno.86 En este sentido, Chang et al. lograron aislar una nueva cepa de la levadura Pseudozyma sp., que fabrica al escualeno.87 La elevada tasa de producción de este metabolito hace que este organismo marino sea un firme candidato para la producción industrial de "escualeno microbiológico". Por otro lado, se ha observado que la aplicación de la vacuna 763 con pequeñas dosis de escualeno es un remedio eficaz en la prevención de la enfermedad causada por Flavobacterium psychrophilum en los cultivos de ayu Plecoglossus altivelis, uno de los mas importantes peces de agua dulce en Japón.88

 


Figura 16. Escualeno, de Pseudozyma sp. (27)

 

Todos estos casos indican que el estudio de los PNMs, en especial los de origen fúngico, es un campo prometedor en acuicultura ya que se trata de organismos que suministran nuevas drogas relacionadas con la estimulación del sistema inmunológico de las especies en cultivo o con la gestión de sus enfermedades.89

Metodología de estudio de productos naturales

El aislamiento e identificación de productos naturales requiere el uso de técnicas físicoquímicas de fraccionamiento y purificación. La exploración de estos productos es posible una vez que se obtiene el material biológico suficiente, bien sea a partir de organismos recogidos directamente de la naturaleza, o bien cultivados a través de bioprocesos (fermentación, fotobiorreacción) o maricultura. La biomasa obtenida puede ser conservada mediante congelación, liofilización o fijada químicamente en el seno de un disolvente.

Las técnicas preliminares de separación empleadas en los laboratorios son aquellas realizadas a través de cromatografía de adsorción, por medio de columnas gravitatorias y a media presión, así como a través de métodos de partición líquido-líquido. Esta última técnica puede aplicarse simplemente con la ayuda de un embudo de decantación, pudiendo realizarse de acuerdo con una variante del método establecido por Kupchan et al.,90 el cual nos suministra fracciones de polaridad diferente.

A lo largo del proceso de separación de los componentes se podrá optar por una cromatografía de exclusión del tipo Sephadex, que permite separar familias de componentes con tamaño molecular similar. A continuación se podrán aplicar otras técnicas de separación; tal es el caso de la cromatografía de adsorción en columnas tipo flash o HPLC/ TLC preparativas. Finalmente, para la obtención de cristales puros se recurre a la cristalización del componente aislado.91

La elucidación estructural por métodos espectroscópicos requiere de sustancias perfectamente puras. Si hay éxito en la obtención de cristales, aún se podrá realizar un estudio de difracción de rayos X. En el caso contrario, si el componente purificado presenta una estructura no cristalina, entonces se recomienda la obtención de espectros de resonancia magnética nuclear de 1H y 13C, así como los espectros de masas. Con los espectros en mano, y una vez estudiados, el investigador propone la estructura del componente. Este proceso requiere de una revisión meticulosa de las estructuras ya descritas en la literatura.

Debido a la inmensa cantidad de productos conocidos, es muy conveniente recurrir a una base de datos potente. En la actualidad se encuentran al alcance de la comunidad científica, vía on line, numerosas bases de datos que tratan sobre el tema. Desde la más tradicional Chemical Abstracts Registry, ahora integrada en Scifinder, a otras más específicas como la MarinLit® editada por la Universidad de Canterbury (Nueva Zelanda), la cual abarca toda la literatura publicada sobre productos naturales marinos. Hay que citar también la Antibase (Chemical Concepts), que trata exclusivamente sobre productos naturales aislados a partir de microorganismos y hongos superiores.

Una vez comprobados los antecedentes bibliográficos, y conjeturizado que el componente aislado es novedoso, la elucidación estructural ha de realizarse de una forma más refinada. Para tal fin, se necesita de un segundo espectro de masas de alta resolución para que se pueda determinar la fórmula molecular con exactitud, tanto de la molécula como de sus fragmentos. Con esta información en mano se puede deducir la estructura bidimensional del nuevo componente aislado.92

La obtencion de la estructura tridimensional de las moléculas requiere de técnicas de resonancia magnética nuclear de alta resolución. Tales espectros aportan datos indirectos de acoplamiento entre núcleos cercanos en el espacio así como su dependencia angular a través de las constantes de acoplamiento JHH. Complejos experimentos de resonancia bidimensional denominados COSY, HMBC, NOESY y TOCSY nos aportan el resto de la información.93

Además de las técnicas anteriormente reseñadas, los métodos analíticos proporcionan herramientas relevantes en el análisis cualitativo y cuantitativo de las sustancias, permitiendo establecer su identidad así como la cantidad precisa de cada uno de los componentes presentes en una determinada mezcla.94 Entre las técnicas instrumentales destacan la cromatografía líquida de alta resolución (HPLC) y la cromatografía de gases (GC). Tales herramientas, una vez conectadas a modernos detectores de espectrometría de masas, resuelven una infinidad de problemas analíticos (HPLC-MS; GC-MS).

 

CONCLUSIONES Y PERSPECTIVAS

En los últimos años la acuicultura se ha desarrollado de manera importante y de forma acelerada, y tal fenómeno de producción de organismos acuáticos ha generado diversos tipos de impacto en el ambiente, provocados por las especies cultivadas, por las sustancias químicas empleadas o bien por la naturaleza de las áreas ocupadas. Por lo tanto, la acuicultura al igual que otras actividades productivas requiere de insumos, y consecuentemente utiliza espacios y genera desechos.

El uso de productos químicos de origen sintético en la acuicultura, representa una amenaza potencial contra la salud de las personas y la biodiversidad acuática. Aunque la utilización responsable de estos productos químicos, contribuye tanto a conseguir una producción eficiente, como a disminuir el efecto producido en el medio ambiente reduciendo al mínimo los desperdicios, es necesaria una actitud comprometida ante este problema ambiental.

Ello supone el cambio gradual hacia la utilización de productos naturales, los cuales pueden ofrecer un amplio repertorio de componentes con diferentes aplicabilidades, siendo capaces de generar un menor impacto ambiental debido a su reducida toxicidad y rápida degradación.

 

AGRADECIMIENTOS

Los autores agradecen a la CAPES (Agência de Coordenação e Aperfeiçoamento de Pessoal de Nível Superior, Brasil) por la beca de doctorado, y a la Comisión Europea por la beca "Marie Curie Training Site", ambas concedidas a R.M. Se agradece el apoyo financiero otorgado al proyecto SI-697 (ULPAPD-08/01-5) por el Gobierno de Canarias (Agencia Canaria de Investigación, Innovación y Sociedad de la Información, ACIISI).

 

REFERENCIAS

1. Subasinghe, R.P.; Barg, U.; Tacon, A.; En Proceedings of the meeting on the use of chemicals in aquaculture in Asia. Arthur, J.R.; Lavilla-Pitogo, C.R.; Subasinghe, R.P., eds.; SEAFEDC Aquac. Dep.: Iloilo, 2000.

2. Alderman, D.J.; Michel, C.; En Chemotherapy in aquaculture: from theory to reality. Office Intern. Epizooties: Paris, 1992.

3. Burridge, L.; Weis, J.S.; Cabello, F.; Pizarro, J.; Bostick, K.; Aquaculture 2010, 306, 7.

4. Venkateswarlu, Y.; Rama Rao, M; Venkatesham, U.; J. Nat. Prod. 1998, 61, 1388; Hausmann, R.; Vitello, M.; Leitermann, F.; Syldatk, C.; J. Biotechnol. 2006, 124, 117. Ciminiello, P.; Fattorusso, E.; Forino, M.; Magno, S.; Tetrahedron 1997, 53, 6565.

5. Weston, D.P.; En Proceedings of the meeting on the use of chemicals in aquaculture in Asia. Arthur, J.R.; Lavilla-Pitogo, C.R.; Subasinghe, R.P., eds.; SEAFEDC Aquac. Dep.: Iloilo, 2000.

6. Boonyaratpalin, M.; En Proceedings of the meeting on the use of chemicals in aquaculture in Asia. Arthur, J.R.; Lavilla-Pitogo, C.R.; Subasinghe, R.P., eds.; SEAFEDC Aquac. Dep.: Iloilo, 2000.

7. Hay, M.; Fenical, W.; Oceanography 1996, 9, 10. Nichols, D.; Bowman, J.; Sanderson, K.; Nichols, C.M.; Lewis, T.; McMeekin, T.; Nichols, P.D.; Curr. Opin. Biotechnol. 1999, 10, 240.

8. Herbert, R.B.; The biosynthesis of secondary metabolites, 2ª ed., Chapman and Hall: London, 1989.

9. Gao, K.; J. Appl. Phycol. 1998, 10, 37.

10. Barrow, C.J.; Shahidi, F.; Marine nutraceuticals and functional foods, CRC Press: Boca Raton, 2007.

11. Guo, X.; Aquacult. Magazine 2000, 26, 27.

12. Bernabé, G.; Acuicultura, Omega: Barcelona, 1991; Bernabé, G.; Bases biológicas y ecológicas de la acuicultura, Acribia: Zaragoza, 3ª ed., 1996.

13. Pillay, T.V.R. Acuicultura: Principios y prácticas, 1ª ed., Limusa: Balderas, 1997.

14. Liebezeit, G.; Adv. Biochem. Eng./Biotechnol. 2005, 97, 1.

15. Inglis, V.; En Proceedings of the meeting on the use of chemicals in aquaculture in Asia; Arthur, J.R.; Lavilla-Pitogo, C.R.; Subasinghe, R.P., eds.; SEAFEDC Aquac. Dep.: Iloilo, 2000; Galm, U.; Shen, B.; Chem. Biol. 2007, 14, 1098.

16. Haefner, B.; Drug Discov. Today 2003, 8, 536.

17. Carballo, J.L.; J. World Aquac. Soc. 2000, 31, 481.

18. Harvey, B.J.; Hoar, W.S.; Teoría y practica de la reproducción inducida en los peces, CIID: Ottawa, 1980.

19. Sundararaj, B.I.; Reproductive physiology of teleost fishes - A review of present knowledge and needs for future research, FAO-UN, ADCP/REP: Rome, 1981.

20. FAO. Report on the Regional Seminar on Induced Breeding of Cultivated Fishes, Barrackpore, 1970.

21. Bhat, S.V.; Alihussein, N.; Dohadwalla, A.N.; Bajwa, B.S.; Dadkar, N.K.; Dornauer, H.; de Souza, N.J.; J. Med. Chem. 1983, 26, 486.

22. Chaube, S.K.; Haider, S.; J. Biosci. 1997, 22, 255.

23. Iwamatsu, T.; Takahashi, S.Y.; Sakay, N.; Nagahama, Y.; Onitake, K.; J. Exp. Zool. 1987, 241, 101.

24. Bhattacharyya, S.; Sen, U.; Bhattacharyya, S.P.; Mukherjee, D.; J. Exp. Zool. 2000, 287, 294.

25. Yeo, I.K.; J. Fish. Sci. Technol. 1998, 1, 153.

26. Horn, D.H.S.; Fabbri, S.; Hampshire, F.; Lowe, M.E.; Biochem. J. 1968, 109, 399.

27. Galbraith, M.N.; Horn, D.H.S.; Middleton, E.J.; Hackney, R.J.; J. Chem. Soc. D 1968, s.d., 83.

28. Faux, A.; Horn, D.H.S.; Middleton, E.J.; Fales, H.M.; Lowe, M.E.; J. Chem. Soc. D 1969, s.d, 175.

29. Nakanishi, K.; Koreeda, M.; Sasak, S.; Chang, M.L.; Hsu, H.Y.; Chem. Commun. 1966, s.d., 915.

30. Galbraith, M.N.; Horn, D.H.S.; Aust. J. Chem. 1969, 22, 1045.

31. Chong, Y.K.; Galbraith, M.N.; Horn, D.H.S.; J. Chem. Soc. 1970, s.d., 1217.

32. Cheng, J.H.; Chang, E.S.; Biol. Bull. 1991, 181, 169.

33. Chan, S.M.; Comp. Biochem. Physiol. 1995, 112, 51.

34. Chen, H.Y.; Dillaman, R.M.; Roer, R.D.; Watson, R.D.; Comp. Biochem. Physiol. Part A: Mol. Integr. Physiol. 2012, 163, 170; Perry, H.; Trigga, C.; Larsen, K.; Freeman, J.; Erickson, M.; Henry, R.; Aquaculture 2012, 198, 197.

35. Pires, R.; En Anais do 5º Simpósio de plantas medicinais do Brasil, SBPC: Campinas, 1978.

36. Amey, M.J.; Fish. Manage. 1981, 12, 111.

37. Beal, D.L.; Anderson, R.V.; Bull. Environ. Contam. Toxicol. 1993, 51, 551.

38. Lee, K.G; Shibamoto, T.; Food Chem. 2001, 74, 443.

39. Della Porta, G.; Taddeo, R.; D'Urso, E.; Reverchon, E.; Lebensm. Wiss. Technol. 1998, 31, 454.

40. Taylor, P.W.; Roberts, S.D.; N. Am. J. Aquacult. 1999, 61, 150.

41. Bouchard, L.; Patel, J.; Lahey, L.; Bull. Aquac. Assoc. Can. 2001, 4, 110.

42. Blunt, J.W.; Copp, B.R.; Hu, W.P.; Munro, M.H.G.; Northcote, P.T.; Prinsep M.R. Nat. Prod. Rep. 2010, 27, 165; Blunt, J.W.; Copp, B.R.; Keyzers, R.A.; Munro, M.H.G.; Prinsep, M.R. Nat. Prod. Rep. 2013, 30, 237.

43. Bohlin, L.; Göransson, U.; Alsmark, C.; Wedén, C.; Backlund, A.; Phytochem. Rev. 2010, 9, 279.

44. IBAMA, Instituto Brasileiro do Meio Ambiente e dos Recursos Naturais Renováveis. Diagnóstico da carcinicultura no Estado do Ceará. Fortaleza, 2005.

45. FAO/OIE/WHO, Report of a joint FAO/OIE/WHO expert consultation on antimicrobial use in aquaculture and antimicrobial resistence, Seul, 2006.

46. Brown, J.H.; World Aquaculture 1989, 20, 34.

47. Gil-Turnes, M.S.; Hay, M.E.; Fenical, W.; Science 1989, 246, 116.

48. McClintock, J.B.; Baker, B.J. Mar. Chemical Ecol. CRC Press: Boca Raton, 2001.

49. Unson, M.D.; Holland, N.D.; Faulkner, D.J.; Mar. Biol. 1994, 119, 1.

50. Balboa, E.M.; Conde, E.; Moure, A.; Falqué, E.; Domínguez, H.; Food Chem. 2013, 138, 1764.

51. Butler, A.J.; van Altena, I.A.; Dunne, S.J.; J. Chem. Ecol. 1996, 22, 2041.

52. Selvin, J.; Huxley, A.J.; Lipton, A.P.; Aquaculture 2004, 230, 241; Selvin, J.; Lipton, A.P.; Aquaculture 2004, 236, 277.

53. Watanabe, K.; Miyakado, M.; Ohno, N.; Okada, A.; Yanagi, K.; Moriguchi, K.; Phytochemistry 1989, 28, 77; Watanabe, K.; Umeda, K.; Kurita, Y.; Takayama, C.; Miyakado, M.; Pestic. Biochem. Physiol. 1990, 37, 275.

54. Nakagawa, H.; Kasahara, S.; Sugiyama, T.; Aquaculture 1987, 62, 109.

55. Braekman, J.C.; Daloze, D.; Mundo Científico 1988, 3, 600.

56. Aceret, T.L.; Sammarco, P.W.; Coll, J.C.; Uchio, Y.; Comp. Biochem. Physiol. 2001, 128, 55.

57. Jensen, P.R.; Jenkins, K.M.; Porter, D.; Fenical, W.; Appl. Environ. Microbiol. 1998, 64, 1490.

58. Di Marzo, V.; Cimino, G.; Crispido, A.; Minardi, C.; Sodano, G.; Spinella, A.; Biochem. J. 1991, 273, 593; Di Marzo, V.; Minardi, C.; Vardaro, R.R.; Mollo, E.; Cimino, G.; Comp. Biochem. Physiol. B 1992, 101, 99.

59. Bricknell, I.; Dalmo, R.A.; Fish Shellfish Immunol. 2005, 19, 457.

60. Rasmussen, R.S.; Morrissey, M.T.; Adv. Food Nutr. Res. 2007, 52, 237.

61. Verbist, J.F.; Sallenave, C.; Pouchus, Y.F.; Stud. Nat. Prod. Chem. 2000, 24, 979.

62. Kristensen, J.B.; Meyer, R.L.; Laursen, B.S. Shipovskov, S.; Besenbacher, F.; Poulsen, C.H.; Biotechnol. Adv. 2008, 26, 471.

63. Yang, X.B.; Gao, X.D.; Xu, F.H.; Song, Y.C.; Tan, R.X.; Biochimie 2005, 87, 747.

64. Abad, M.J.; Bermejo, P.; Stud. Nat. Prod. Chem. 2001, 25, 683; Spiridon, J.; Popa, V.I. En Monomers, polymers and composites from renewable resources. Belgacem, M.N.; Gandini, A., eds.; Elsevier: Oxford, 2008.

65. Jeney, G.; Anderson, D.P.; Aquaculture 1993, 116, 315; Guttvik, A.; Paulsen, B.; Dalmo, R.A.; Espelid, S.; Lund, V.; Bøgwald, J.; Aquaculture 2002, 214, 35.

66. Fisher, W.S.; Nilson, E.H.; Steenbergen, J.F.; Lightner, D.V.; Aquaculture 1978, 14, 115; Shimonoseki, J.P.; Toshiaki, I.; US pat. 5641761, 1997.

67. Lee, C.H.; Paek, N.S.; Kim, D.S.; Kim, K.H.; Aquaculture, 2002, 208, 51.

68. Garcia Camacho, F.; Rodríguez, J.G.; Mirón, A.S.; García, M.C.C.; Belarbi, E.H.; Chisti, Y.; Molina Grima, E.; Biotechnol. Adv. 2007, 25, 176.

69. Martin, J.F.; Bennett, L.W.; Graham, W.H.; Water Sci. Technol. 1988, 20, 99. Smith, J.L.; Boyer, G.L.; Zimba, P.V.; Aquaculture 2008, 280, 5.

70. Schrader, K.K.; J. Aquat. Plant Manage. 2005, 43, 100.

71. Adachi, K.; Kanoh, K.; Wisespongp, P.; Nishijima, M.; Shizuri, Y.; J. Antibiot. 2005, 58, 145.

72. Redhead, K.; Wright, S.J.; Appl. Environ. Microbiol. 1978, 35, 962.

73. Park, Y.C.; Gunasekera, S.P.; Lopez, J.V.; McCarthy, P.J.; Wright, A.E.; J. Nat. Prod. 2006, 69, 580.

74. Bordas, M.A.; Balebona, M.C.; Rodriguez Maroto, J.M.; Borrego, J.J.; Morinigo, M.A.; Appl. Environ. Microbiol. 1998, 64, 1573.

75. Fdhila, F.; Vázquez, V.; Sánchez, J.L.; Riguera, R.; Nat. Prod. 2003, 66, 1299.

76. Lorenz, P.; Jensen, P.R.; Fenical, W.; Nat. Prod. Lett. 2008, 12, 55.

77. Kobayashi, M.; Uehara, H.; Matsunami, K.; Auki, S.; Kitagawa, I.; Tetrahedron Lett. 1993, 34, 7925.

78. Sujatha, P.; Bapi Raju, K.V.; Ramana, T.; Microbiol. Res. 2005, 160, 119.

79. Shah, K.L.; Tyagi, B.C.; Aquaculture 1986, 55, 1.

80. Barr, D.J.S.; Mycologia 1992, 84, 1.

81. Fan, K.W.; Chen, F.; En Bioprocessing for value-added products from renewable resources, Yang, S.T., ed.; New York, 2006, cap. 11.

82. Jenkins, K.M.; Jensen, P.R.; Fenical, W.; Tetrahedron Lett. 1999, 40, 7637.

83. Tocher, D.R.; Bendiksen, E.Å.; Campbell, P.J.; Bell, J.G.; Aquaculture 2008, 280, 21.

84. Xu, R.; Fazio, G.; Matsuda, S.P.T.; Phytochemistry 2004, 65, 261.

85. Yue, C.J; Jiang, Y.; Process Biochem. 2009, 44, 923.

86. Jiang, Y.; Fan, K.W.; Wong, R.T.Y.; Chen, F.; J. Agric. Food Chem. 2004, 52, 1196; Li, Q.; Chen, G.Q.; Fan, K.W.; Lu, F.P.; Aki, T.; Jiang, Y.; J. Agric. Food Chem. 2009, 57, 4267.

87. Chang, M.H.; Kim, H.J.; Jahng, K.Y.; Hong, S.C.; Appl. Microbiol. Biotechnol. 2008, 78, 963.

88. Rahman, M.H.; Ototake, M.; Iida, Y.; Yokomizo, Y.; Nakanishi, T.; Fish Pathol. 2000, 35, 199.

89. Bachère, E.; Aquaculture 2003, 227, 427.

90. Kupchan, S.M.; Briton, R.W.; Ziegler, M.F.; Siegel, C.W.; J. Org. Chem. 1973, 38, 178.

91. Leonard, J.; Lygo, B.; Procter, G.; Advanced practical organic chemistry, 2ª ed., Stanley Thornes: Cheltenham, 1998.

92. Colegate, S.M.; Molyneux, R.J.; Bioactive Natural Products: Detection, Isolation and Structural Determination, CRC Press: Boca Raton, 1993.

93. Crews, P.; Rodriguez, J.; Jaspars, M.; Organic Structure Analysis, Oxford University Press: New York, 1998.

94. Valcárcel, C.M.; Gómez, H.A.; Técnicas analíticas de separación, Reverté: Barcelona, 1988.

On-line version ISSN 1678-7064 Printed version ISSN 0100-4042
Qu�mica Nova
Publica��es da Sociedade Brasileira de Qu�mica
Caixa Postal: 26037 05513-970 S�o Paulo - SP
Tel/Fax: +55.11.3032.2299/+55.11.3814.3602
Free access

GN1