JBCS



12:21, sáb out 25

Acesso Aberto/TP



Artigo


Interação de complexo de rutênio com albumina de soro bovino para detecção amperométrica de ácido ascórbico
Interaction of ruthenium complex with bovine serum albumin for amperometric detection of ascorbic acid

Ronnie Edson da Silva; Kalil Cristhian Figueiredo Toledo; Herculys Bernardo Jorge; Bento Moreira Neto; Vagner Roberto de Souza; Helena Shizuko Nakatani*

Departamento de Química, Universidade Estadual de Maringá, 87020-900 Maringá - PR, Brasil

Recebido em 29/04/2014
Aceito em 14/07/2014
Publicado na web em 27/08/2014

Endereço para correspondência

*e-mail: hsnakatani@uem.br

RESUMO

The binding of [Ru(PAN)(PPh3)2(ISN)]Cl (PAN = 1-(2'-Pyridylazo)-2-naphtholate) to bovine serum albumin (BSA) was investigated by spectroscopic techniques. According to analysis of the results from the Stern-Volmer equation, the ruthenium complex is able to quench the fluorescence intensity of BSA via a dynamic mechanism. The thermodynamic parameters were calculated (ΔH = 30.3 kJ mol-1; ΔS = 195.4 J mol-1 K-1), indicating that hydrophobic force is the main interaction driving force. The site marker competitive experiments revealed that the binding site of ruthenium complex was in the sub-domain IIA of BSA. FTO glass with a film of BSA-[Ru(PAN)(PPh3)2(ISN)]Cl was used as an ascorbic acid sensor. The linear range of the modified electrode was between 1 and 8 x 10-6 mol L-1.

Palavras-chave: ruthenium; BSA; fluorescence quenching; sensor; ascorbic acid.

INTRODUÇÃO

A associação da seletividade da estrutura proteica com as propriedades catalíticas e redox dos metais de transição apresenta-se como uma alternativa simples e vantajosa para a detecção e determinação de analitos de interesse biológico.1-7 Contudo, antes de explorar a especificidade da biomolécula, aliada à versatilidade redox dos íons metálicos, para o desenvolvimento de sensores, é necessário estudar as interações existentes entre o centro metálico e a cavidade proteica, como as interações doador - aceitador, interações hidrofóbicas e coordenação do íon metálico no ambiente proteico.8-13

Dos tipos de proteínas comerciais, a albumina do soro bovino (BSA) tem sido utilizada como coadjuvante na área de sensoriamento químico,14-17 devido à sua estabilidade, disponibilidade, baixo custo e semelhança com a estrutura primária da albumina humana (HSA).18 Comparativamente, há uma sequência homóloga de 76% entre as albuminas bovina e humana diferenciando apenas em: i) quantidade de resíduos de triptofano (Trp), a BSA contém dois resíduos denominados Trp-134 e Trp-212, localizados nos subdomínios IB e IIA, respectivamente, enquanto a HSA contém apenas um resíduo, o Trp-214, situado no subdomínio IIA; ii) sequência de sítios N-terminais: a BSA apresenta a tríade Asp-Thr-His, e a HSA tem a tríade terminal Asp-Ala-His.18,19

As estruturas primária e secundária das albuminas têm sido amplamente estudadas, e as regiões de ligações preferenciais de analitos têm sido caracterizadas por cristalografia20-22 Neste caso, as regiões são classificadas em três grandes domínios estruturalmente similares, denominados de I, II e III, e cada domínio contém dois subdomínios, classificados de A e B. As regiões responsáveis pelo armazenamento dos compostos nas albuminas estão localizadas nos subdomínios IIA e IIIA, e são conhecidas como sítios I e II de Sudlow, como representado na Figura 1.23,24

 


Figura 1. Representação do arcabouço proteico da albumina do soro bovino (BSA) e do complexo de rutênio [Ru(PAN)(PPh3)2(ISN)]Cl

 

Ross e Subramanian25 foram os primeiros a relacionar os valores dos parâmetros termodinâmicos com os diferentes tipos de forças intermoleculares que estão envolvidos na interação de compostos no arcabouço proteico. Segundo os autores, a relação entre os termos entrópico, entálpico e forças químicas é: i) ΔS > 0 e ΔH > 0, o processo de inserção do composto na proteína é determinado por interações hidrofóbicas; ii) ΔS < 0 e ΔH < 0, o processo é determinado por ligações de hidrogênio; iii) ΔS < 0 e ΔH > 0, o processo é determinado por atrações eletrostáticas.

Uma maneira de monitorar as interações existentes entre o centro metálico e a cavidade proteica e, consequentemente, obter parâmetros físico-químicos, é o acompanhamento da supressão de fluorescência da albumina em presença destas substâncias,26 pois a albumina apresenta uma fluorescência intrínseca associada aos resíduos de aminoácidos triptofano, tirosina e fenilalanina.

O mecanismo de supressão de fluorescência de Stern-Volmer tem sido empregado para determinar parâmetros físico-químicos da interação de fármacos com a albumina.26 No mecanismo, a supressão da fluorescência depende da colisão mútua entre a molécula da proteína excitada e a espécie supressora (Q) com a constante de velocidade de supressão bimolecular Kq. A redução da intensidade de emissão de fluorescência (F) em relação à intensidade observada na ausência de supressor (F0) é dada pela equação 1 (equação de Stern-Volmer):27

 

 

na qual F0 e F são as intensidades relativas de fluorescência da BSA na ausência e presença do supressor, respectivamente. Kq é a constante de velocidade bimolecular de supressão, τ0 é o tempo de vida médio das biomoléculas na ausência de supressor (10-8 s),27 [Q] é a concentração do supressor, e o produto Kqτ0 é conhecido como constante de Stern-Volmer (KSV).

Assim, instigados pela natureza dos complexos de rutênio descritos na literatura28-32 realizamos o estudo da interação do complexo de rutênio [Ru(PAN)(PPh3)2(ISN)]Cl, (PAN = 1-(2'-piridilazo)-2-naftolato, ISN = isonicotinamida), Figura 1, com a proteína do soro bovino (BSA). Os parâmetros termodinâmicos, constante de ligação e localização do composto no arcabouço proteico foram determinados a partir dos espectros de supressão de fluorescência da biomolécula. Ensaios eletroanalíticos foram realizados para avaliar a potencialidade desse sistema como sensor amperométrico de ácido ascórbico.

 

PARTE EXPERIMENTAL

Todos os reagentes utilizados neste trabalho foram de grau analítico e empregados sem purificação prévia: RuCl3.3H2O (Aldrich), trifenilfosfina (Aldrich), isonicotinamida (Aldrich), 1-(2'-piridilazo)-2-naftol (HPAN) (Aldrich), etanol (Merck), albumina de soro bovino (Aldrich), alumina neutra (Aldrich), HCl (Merck), (HOCH2)3CNH2 (Merck), ibuprofeno (Merck), warfarina (Aldrich). Os espectros de fluorescência e voltamogramas cíclicos foram obtidos em solução tampão TRIS-HCl pH 7,4, preparado conforme descrito na literatura,33 cujo valor foi monitorado utilizando pHmetro digital modelo PHM 240 Meter Lab. A força iônica do meio foi ajustada com solução de NaCl 0,10 mol L-1. O complexo precursor [Ru(PAN)(PPh3)2Cl] foi sintetizado conforme descrito na literatura,32 tendo como análise elementar para Ru(C15H10N3O)(PC18H15)2Cl: experimental (calculado) C: 66,84 (67,32); H: 4,52 (4,40); N: 4,55 (4,62)%.

Síntese do complexo [Ru(PAN)(PPh3)2(ISN)]Cl

Em um balão de 100 mL, foi adicionado 0,200 g (2,2 × 10-4 mol) de [Ru(PAN)(PPh3)2Cl], 0,040 g (2,3 × 10-4 mol) de AgNO3 e 50 mL de etanol anidro. Após 1 h de refluxo, a mistura reacional foi filtrada sob vácuo para remoção de AgCl. Em seguida, foi adicionado 0,250 g (2 × 10-3 mol) de isonicotinamida ao filtrado e a solução resultante foi mantida sob refluxo por 4 h em atmosfera de argônio. Posteriormente, o volume da solução foi reduzido a aproximadamente 5 mL e a solução foi mantida em geladeira por 12 h, o que resultou na formação de um sólido castanho, que foi filtrado a vácuo, lavado com mistura de água e etanol (1:1) e seco a vácuo. A técnica de cromatografia em coluna de alumina neutra e mistura diclorometano:acetonitrila (9:1) foi utilizada para purificação do complexo. Rendimento 62%. (Anal. Calc. para Ru(C15H10N3O)(PC18H15)2(C6H6N2O)Cl: C: 66,38; H: 4,46; N: 6,79. Obtido: C: 66,09; H: 4,53; N: 6,72%. FTIR (wavenumber, cm-1)34-36: 418, 628 (Ru-N); 526 (Ru-P); 557 (Ru-O); 1237, 1284, 1495 (C-O); 1091 (P-C) 1251, 1340 (N=N); 1590 (C=N); 1680 (amida); 3188 (N-H).1H NMR (CDCl3) δ (ppm): 9,45 (d, H1), 7,60 (d, H2), 7,54 (d, H3), 6,89 (d, H4), 8,41 (d, H5), 7,34 (d, H6), 7,80 (d, H7), 7,70 (d, H8), 8,33 (d, H9), 8,35 (d, H10), 7,00 a 7,36 (m, PPh3), 8,99 (d, Ha), 7,82 (d, Hb), 8,72 (s, NH2).31P NMR (CDCl3) δ (ppm): 40 (s, PPh3). Espectro de RMN COSY do complexo está representado como material suplementar (Figura 1S).

Supressão de fluorescência da BSA induzida pelo complexo de rutênio

Os espectros foram obtidos em um espectrofluorímetro da Varian, modelo Cary Eclipse, com compartimento de amostra com banho termostatizado, com largura das fendas de excitação e de emissão igual a 5 nm. As amostras foram excitadas em 280 nm e as leituras de emissão de fluorescência foram realizadas na faixa de 300 a 550 nm. Os espectros de emissão foram obtidos nas temperaturas de 20, 25 e 30 ºC.

Para a obtenção dos espectros, fez-se a titulação de 3 mL de solução de BSA 1,0 × 10-6 mol L-1 com adições de 5 a 50 µL da solução estoque do complexo de rutênio 1,0 × 10-3 mol L-1, perfazendo as concentrações de 1,6 a 16,6 × 10-6 mol L-1 em complexo.

A solução estoque do complexo de rutênio foi preparada pela dissolução de 5,5 mg de [Ru(PAN)(PPh3)2(ISN)]Cl em 0,5 mL de DMSO e 4,5 mL de solução tampão TRIS-HCl pH 7,4.

Considerando a absorção do complexo de rutênio na região analisada, os valores de fluorescência foram corrigidos utilizando a equação:

 

 

na qual Fcor e Fobs são os valores de fluorescência corrigido e observado, respectivamente, e Aex e Aem são os valores de absorbância nos comprimentos de ondas 280 e 350 nm, respectivamente.27

Ensaio competitivo para identificação do sítio de interação do complexo de rutênio na BSA

O mesmo equipamento e condições experimentais descritos anteriormente foram utilizados para determinar o sítio de interação do complexo de rutênio na proteína. Para a obtenção dos espectros de supressão de fluorescência, fez-se a titulação de soluções de BSA (3 mL, 1,0 × 10-6 mol L-1) contendo ibuprofeno (1,0 × 10-6 mol L-1) ou warfarina (1,0 × 10-6 mol L-1) com adições de 5 a 50 mL da solução do complexo de rutênio (1,0 × 10-3 mol L-1), perfazendo as concentrações de 1,6 a 16,6 × 10-6 mol L-1 em complexo.

Limpeza de eletrodo transparente de óxido de estanho dopado com Flúor (FTO)

Os eletrodos FTO foram imersos em uma mistura de H2SO4 98% e H2O2 32%, preparada na proporção 1:3 (v/v), respectivamente. Após 5 horas, foram retirados da solução, lavados em água destilada e deixados em dessecador em temperatura ambiente.

Ativação dos eletrodos de FTO

A ativação dos eletrodos foi realizada por meio da imersão desses em uma mistura de H2O2 32%, NH4OH 30% e água destilada, numa proporção 1:1:5 (v/v) respectivamente, por um período de 24 horas. Após o período de imersão, os eletrodos foram lavados em água destilada e deixados secar em dessecador por mais 24 horas.

Imobilização de BSA - complexo de rutênio em FTO

50 µL de solução tampão pH 7,4 contendo BSA e [Ru(PAN)(PPh3)2(ISN)]Cl, ambos de concentração 1,0 × 10-3 mol L-1, foram gotejados sobre a superfície do eletrodo de FTO (área superfícial 1 cm2). Após evaporação do solvente, foi acrescentado 50 µL de solução de glutaraldeído 5%. O eletrodo foi deixado secar durante 8 horas em um dessecador em temperatura ambiente.

Ensaio eletroanalítico para detecção de ácido ascórbico

Os testes eletroanalíticos foram realizados no potenciostato da marca Metrohm Autolab, modelo PGSTAT101. Para a obtenção dos voltamogramas cíclicos, fez-se adições sucessivas de 50 µL de solução de ácido ascórbico 0,1 mol L-1 na cela eletroquímica contendo os eletrodos de trabalho: i) FTO; ii) FTO modificado apenas com BSA; e iii) FTO modificado com BSA-[Ru(PAN)(PPh3)2(ISN)]Cl, perfazendo as concentrações de 1 a 10 × 10-6 mol L-1 em ácido ascórbico. O eletrodo de calomelano saturado (Hg/Hg2Cl2) foi utilizado como eletrodo de referência, e um fio de platina foi usado como eletrodo auxiliar. As análises foram realizadas em solução tampão pH 7,4 e em atmosfera de argônio.

 

RESULTADOS E DISCUSSÃO

Supressão de fluorescência

A proteína do soro bovino consiste de uma cadeia simples de aminoácidos e o microambiente da estrutura secundária da cadeia proteica pode ser alterado pela interação da BSA com moléculas pequenas e, nesse caso, geralmente, ocorre a supressão da fluorescência intrínseca da biomolécula. Essa supressão pode ser induzida por diferentes processos como reações no estado excitado, rearranjos moleculares, transferência de energia, formação de complexo no estado fundamental e colisões moleculares.27

A BSA apresenta uma fluorescência intrínseca associada aos resíduos de aminoácidos triptofano, tirosina e fenilalanina. Dentre os três fragmentos, a emissão dos triptofanos, denominados Trp-134 e Trp-212, localizados, respectivamente, no subdomínio IB e IIA do arcabouço proteico, é a mais significativa.37

Segundo a literatura,38,39 para compostos de rutênio, a supressão de fluorescência da albumina é consequência da interação do centro metálico com o resíduo de triptofano via histidina e envolvendo o processo de transferência de energia.

Nas condições experimentais deste trabalho, a BSA apresentou uma banda relativamente intensa e larga na região de 350 nm, quando excitada em 280 nm. A adição de alíquotas de solução do complexo de rutênio levou a uma diminuição gradativa da intensidade dessa banda, conforme ilustrado na Figura 2. Esta variação de intensidade é atribuída às mudanças conformacionais do microambiente proteico próximo aos resíduos de aminoácidos, em especial, aos fragmentos de triptofano.

 


Figura 2. Espectros de supressão de fluorescência da BSA na presença de [Ru(PAN)(PPh3)2(ISN)]Cl a 30ºC, em solução tampão pH = 7,4; λexc. = 280 nm; CBSA = 1 × 10-6 mol L-1; Ccomp. (a - g) = 0 a 10 × 10-6 mol L-1

 

Visto que a interação do complexo de rutênio com a albumina resultou na supressão da fluorescência intrínseca da biomolécula, fez-se necessário determinar por qual mecanismo esse processo aconteceu: mecanismo estático ou mecanismo dinâmico, os quais podem ser distinguidos pela dependência dos valores de constantes de supressão com a temperatura.27 No caso do mecanismo estático, ocorre a formação de um complexo não fluorescente entre BSA e o derivado metálico no estado fundamental, cuja estabilidade é diminuída com o aumento da temperatura e, consequentemente, os valores de constantes de supressão (Ksv) diminuem.27

No mecanismo dinâmico também é necessário o contato molecular entre o supressor e o fluoróforo. Neste caso, a interação do complexo de rutênio com a BSA ocorre durante o tempo de vida do estado excitado da biomolécula. Após a colisão do derivado metálico com a BSA excitada, a biomolécula retorna ao estado fundamental sem a emissão de fluorescência. O aumento da temperatura promove a diminuição da viscosidade do meio reacional favorecendo a difusão do supressor em direção ao fluoróforo no estado excitado. Dessa forma, para o mecanismo dinâmico, o aumento da temperatura induz um aumento das colisões entre o complexo de rutênio e a BSA excitada e, como consequência, observa-se um aumento da constante de supressão (Ksv) com a elevação da temperatura. induz um aumento das colisões entre o complexo de rutênio e a BSA excitada e, como consequência, observa-se um aumento da constante de supressão (Ksv) com a elevação da temperatura.27

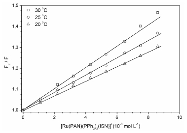
Assim, aplicando o tratamento matemático de Stern-Volmer para a supressão de fluorescência (equação 1), verificou-se que o gráfico de F0/F em função da concentração do complexo, Figura 3, apresentou perfil linear e, a partir da regressão linear, foram obtidos os valores de constante de supressão (Ksv) para o sistema BSA - [Ru(PAN)(PPh3)2(ISN)]+ em diferentes temperaturas, conforme apresentado na Tabela 1.

 


Figura 3. Gráfico de Stern-Volmer da interação da BSA com [Ru(PAN) (PPh3)2(ISN)]Cl, em solução tampão pH = 7,4, em diferentes temperaturas (20, 25 e 30 ºC), λexc. = 280 nm; CBSA = 1 × 10-6 mol L-1

 

 

 

Analisando os dados da Tabela 1, observamos que o aumento da temperatura resultou no aumento dos valores de Ksv para o sistema BSA - [Ru(PAN)(PPh3)2(ISN)]+, indicando que o processo de supressão ocorreu predominantemente via mecanismo dinâmico. A proposta de mecanismo dinâmico é corroborada pelos valores positivos obtidos de ΔH e ΔS, que estão associados ao aumento do número de colisões do complexo de rutênio com a biomolécula em função da elevação da temperatura.

Determinação da constante de ligação e número de sítios de ligação

Uma vez definido o processo de supressão, fez-se necessário avaliar o grau de interação entre o composto de rutênio e a albumina do soro bovino. A afinidade de um derivado metálico com a albumina é um parâmetro muito relevante para o desenvolvimento de novos sensores, e pode ser inferida pelos valores da constante de ligação e pelo número de sítios ocupados pelo composto na estrutura proteica.27,37 Esses parâmetros podem ser obtidos pela equação modificada de Stern-Volmer:27

 

 

na qual Ka é a constante de associação, n é o número de sítios de ligação e [Q] é a concentração do complexo de rutênio.

A partir dessa equação, foi construído o gráfico de log{(F0-F)/F} em função do logaritmo da concentração do complexo, como representado na Figura 4 para o sistema BSA - [Ru(PAN)(PPh3)2(ISN)]+.

 


Figura 4. Gráfico de log{(F0-F)/F} versus [Ru(PAN)(PPh3)2(ISN)]Cl em diferentes temperaturas

 

Nesse caso, observamos um perfil linear para as diferentes temperaturas e, por meio dos valores dos coeficientes angular e linear obtidos pela inclinação da reta, foram determinados a constante de associação (Ka) e o número de sítios ligantes (n), Tabela 1.

Assim como observamos para a constante de supressão (Ksv), há um aumento dos valores de constante de associação (Ka) com o aumento da temperatura. Essa tendência pode ser justificada pela diminuição do coeficiente de difusão promovida pela elevação da temperatura e, como consequência, há um aumento da estabilidade do complexo formado BSA - Ru, ou seja, aumenta o tempo de retenção do mesmo no interior da biomolécula.27,37

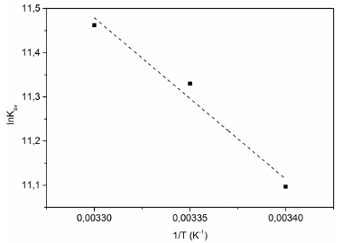
Determinação de parâmetros termodinâmicos

O estudo de supressão de fluorescência em diferentes temperaturas permite calcular os parâmetros termodinâmicos envolvidos na ligação dos complexos de rutênio com a BSA. A partir desses parâmetros, além da espontaneidade do processo, é possível inferir a natureza das ligações formadas. Valores de ΔH>0 e ΔS>0 indicam que a ligação é constituída por forças hidrofóbicas, ΔH<0 e ΔS<0 mostram que a ligação é formada por ligações de hidrogênio e ΔH<0 e ΔS>0 são indicativos que a ligação tem caráter eletrostático.25

Os valores da variação da entalpia (ΔH) e da variação da entropia (ΔS) envolvidos na ligação entre a BSA e cada complexo em estudo foram calculados utilizando a Equação de Van't Hoff,25

 

 

e a variação da energia livre de Gibbs (ΔG) foi calculada utilizando a equação:

 

 

sendo Ka a constante de ligação, R = 8,314 J mol-1 K-1 e T a temperatura em Kelvin.

Os valores dos parâmetros termodinâmicos obtidos estão apresentados na Tabela 1, (Figura 5). Segundo a literatura, esses dados termodinâmicos, ΔG<0, ΔS>0 e ΔH>0, indicam que a interação do complexo de rutênio com a BSA é espontânea e que a sua inserção no arcabouço proteico é determinada por interações hidrofóbicas.

 


Figura 5. Gráfico de van´t Hoff (lnKsv versus 1/T)

 

Para justificar essas interações, estamos propondo que a presença do íon complexo [Ru(PAN)(PPh3)2(ISN)]+ ao redor da BSA altera a estrutura da proteína e expõe fragmentos apolares do interior proteico para o solvente. Essa mudança conformacional induz a reorganização das moléculas de água ao redor da BSA maximizando o efeito hidrofóbico, que é a tendência de espécies apolares a se agregarem em água com reconstrução da estrutura original da água.40-42 Dessa forma, o fator hidrofóbico passa a ser determinante na estabilização do sistema proteína - complexo de rutênio.

Ensaio competitivo para identificação do sítio de interação do complexo de rutênio na BSA

As regiões responsáveis pelo armazenamento dos compostos nas albuminas estão localizadas nos subdomínios IIA e IIIA, e são conhecidas como sítios I e II de Sudlow. Na tentativa de localizar o sítio de interação do complexo de rutênio na cavidade proteica, foi realizada, por meio da técnica de espectroscopia de fluorescência, nas mesmas condições experimentais já mencionadas, adições de alíquotas de soluções de ibuprofeno e warfarina nas soluções dos complexos de rutênio com BSA.

O ibuprofeno e a warfarina são compostos amplamente utilizados em estudos desse tipo e são conhecidos como marcadores específicos dos subdomínios IIA e IIIA. O ibuprofeno apresenta elevada especificidade pelo subdomínio IIIA, enquanto a warfarina liga-se preferencialmente ao subdomínio IIA.43-45

Os valores das constantes de associação do complexo com a BSA na presença dessas sondas foram: Ka = 4,26 × 104 mol-1 L (na ausência das sondas), Ka = 0,09 × 104 mol-1 L (na presença de warfarina) e Ka = 3,28 × 104 mol-1 L (na presença de ibuprofeno), temperatura 25 ºC. Como podemos observar a presença de warfarina alterou significativamente a estabilidade da ligação da proteína com o complexo de rutênio. A diminuição do valor de constante de ligação acarreta na diminuição do tempo de retenção do complexo de rutênio no interior da proteína. Essa variação de Ka indica que o complexo de rutênio e a warfarina competem pelo mesmo sítio de ligação da proteína.

Considerando que a interação da warfarina com a biomolécula ocorre preferencialmente no subdomínio IIA, no qual estão localizados os resíduos de aminoácidos (Trp-212, Tyr-263),37 podemos inferir que o complexo de rutênio está inserido neste mesmo subdomínio.

FTO modificado com BSA-complexo de rutênio

Uma vez proposta a localização do complexo na cavidade da biomolécula, realizamos a modificação da superfície do eletrodo FTO com o sistema BSA - [Ru(PAN)(PPh3)2(ISN)]Cl para avaliar a sua potencial aplicação na área de sensoriamento amperométrico para espécies de interesse biológico.

A substância escolhida para o ensaio eletroanalítico foi o ácido ascórbico, pois as diversas ações biológicas dessa molécula têm motivado o desenvolvimento de metodologias para a sua detecção e quantificação em alimentos, produtos farmacêuticos e sistemas biológicos.46,47

Para a obtenção dos voltamogramas cíclicos, fez-se adições sucessivas de 50 µL de solução de ácido ascórbico 0,1 mol L-1 na cela eletroquímica contendo os eletrodos de trabalho: i) FTO; ii) FTO modificado apenas com BSA; e iii) FTO modificado com BSA-[Ru(PAN)(PPh3)2(ISN)]Cl, perfazendo as concentrações de 1 a 10 × 10-6 mol L-1 em ácido ascórbico.

A Figura 6 apresenta os voltamogramas cíclicos da oxidação do ácido ascórbico sobre esses eletrodos em solução tampão pH 7,4.

 


Figura 6. (A) Voltamogramas cíclicos da oxidação de ácido ascórbico, em solução tampão pH 7,4, utilizando o eletrodo FTO modificado com BSA - [Ru(PAN)(PPh3)2(ISN)]Cl. Velocidade de varredura 100 mV/s, eletrodo de referência: Hg/Hg2Cl2, eletrodo auxiliar: fio de platina, concentração de ácido ascórbico variando de 0,0 a 10 × 10-6 mol L-1. (B) Voltamogramas cíclicos do eletrodo FTO sem modificação e FTO modificado com BSA na presença de 10 × 10-6 mol L-1 de ácido ascórbico. (C) Gráfico da intensidade de corrente versus concentração de ácido ascórbico, ilustrando a faixa de linearidade do sistema

 

Para o eletrodo de trabalho FTO-BSA, observou-se um aumento na intensidade de corrente anódica a partir de +0,60 V em relação ao FTO puro (inserção Figura 6B), indicando que o analito interage com a superfície eletródica.

Para o eletrodo de FTO modificado com BSA - complexo de rutênio, Figura 6A, verificou-se a definição de uma onda anódica na região de +0,80 V (vs Hg/Hg2Cl2).

Embora a forma dos voltamogramas seja diferente, é possível inferir que ambos os eletrodos modificados estão mediando a oxidação do ácido ascórbico. A oxidação do ácido ascórbico pelo eletrodo modificado com BSA - complexo de rutênio apresenta a vantagem da seletividade da estrutura proteica aliada ao aumento da corrente de oxidação do ácido ascórbico e definição da onda anódica, que está associada ao processo redox do complexo metálico, visto que o valor de potencial do par RuIII/RuII é +0,75 V (vs Hg/Hg2Cl2). Nesse caso, o intervalo de linearidade foi de 1 a 8 × 10-6 mol L-1, conforme ilustrado na inserção Figura 6C.

Embora seja um resultado preliminar, a resposta linear desse sistema, quando comparada aos intervalos de linearidade descritos na literatura para outros eletrodos quimicamente modificados,48 faz com que o eletrodo de FTO modificado com BSA - complexo de rutênio seja uma alternativa para a detecção de vitamina C.

 

CONCLUSÃO

A interação do complexo [Ru(PAN)(PPh3)2(ISN)]Cl com BSA, em condições pseudofisiológicas, ocorreu preferencialmente no subdomínio IIA da biomolécula, via um mecanismo dinâmico. Os parâmetros termodinâmicos (ΔH, ΔS e ΔG) indicaram que o processo foi espontâneo e o caráter das forças de ligação envolvidas foi hidrofóbico. O ensaio eletroanalítico preliminar envolvendo a modificação da superfície de eletrodos de FTO com albumina do soro bovino e complexo de rutênio apontou para a potencialidade desse sistema como sensor amperométrico para a detecção de ácido ascórbico, em solução aquosa.

 

MATERIAL SUPLEMENTAR

Está disponível em http://quimicanova.sbq.org.br, com acesso livre, o espectro de RMN COSY do complexo [Ru(PAN)(PPh3)2(ISN)]Cl obtido em acetona deuterada (Figura 1S).

 

AGRADECIMENTOS

Os autores agradecem ao CNPq e à Fundação Araucária/Paraná pelo suporte financeiro na execução do projeto do grupo.

 

REFERÊNCIAS

1. Wong, L. S.; Khan, F.; Micklefield, J.; Chem. Rev. 2009, 109, 4025.

2. Ziegler, S.; Pries, V.; Hedberg, C.; Waldmann, H.; Angew. Chem. Int. Ed. 2013, 52, 2744.

3. Suginta, W.; Khunkaewla, P.; Schulte, A.; Chem. Rev. 2013, 113, 5458.

4. Jandeleit, B.; Schaefer, D. J.; Powers, T. S.; Turner, H. W.; Weinberg, W. H.; Angew. Chem. Int. Ed. 1999, 38, 2494.

5. Heller, A.; Feldman, B.; Chem. Rev. 2008, 108, 2482.

6. Willner, I.; Katz, E.; Angew. Chem. Int. Ed. 2000, 39, 1180.

7. Katz, E.; Willner, I.; Angew. Chem. Int. Ed. 2004, 43, 6042.

8. Reetz, M. T.; Jiao, N.; Angew. Chem. Int. Ed. 2006, 45, 2416.

9. Lu, Y.; Berry, S. M.; Pfister, T. D.; Chem. Rev. 2001, 101, 3047.

10. Cala, O.; Guillière F.; Krimm, I.; Anal. Bioanal. Chem. 2014, 406, 943.

11. Ji, M.; Ruthstein, S.; Saxena, S.; Acc. Chem. Res. 2014, 47, 688.

12. Honarparvar, B.; Govender, T.; Maguire, G. E. M.; Soliman, M. E. S.; Kruger, H. G; Chem. Rev. 2014, 114, 493.

13. Wahid, F.; Khan, T.; Shehzad, A.; Ul-Islam, M.; Kim, Y. Y.; J. Nanosci. Nanotechnol. 2014, 14, 744.

14. Wang, Y.; Han, Q.; Zhang, Q.; Huang, Y.; Guo, L.; Fu, Y.; J. Solid State Electrochem. 2013, 17, 627.

15. Liang, J.; Han, F.; Chen,Y.; Electrochem. Commun. 2012, 24, 93.

16. Wang, X.-X.; Zhi Shan, Q.; Huang, Q.-M.; Biosens. Bioelectron. 2011, 26, 3614.

17. Tao, Y.; Lin, Y.; Ren, J.; Qu, X.; Biosens. Bioelectron. 2013, 42, 41.

18. Naveenraj, S.; Anandan, S.; J. Photochem. Photobiol. C: Photochem. Rev. 2013, 14, 53.

19. Papadopoulou, A.; Green, R. J.; Frazier, R. A.; J. Agric. Food Chem. 2005, 53, 158.

20. Carter, D.; Ho, J. X.; Adv. Protein Chem. 1994, 45, 153.

21. He, X. M.; Carter, D. C.; Nature 1992, 358, 209.

22. Galantini, L.; Leggio, C.; Konarev, P. V.; Pavel, N. V.; Biophys. Chem. 2010, 147, 111.

23. Peters, T. J.; Adv. Protein Chem. 1985, 37, 161.

24. Kragh-Hansen, U.; Pharmacol. Rev. 1981, 33, 17.

25. Ross, P. D.; Subramanian, S.; Biochemistry 1981, 20, 3096.

26. Eftink, M. R., Ross, J. B. A., Luck, L. A., Rousslang, K. W., Subramaniam, V., Stell D. G., Gafni, A.; Topics in Fluorescence Spectroscopy: Protein Fluorescence; J. R. Lakowicz, ed.; Kluwer Academic Publishers: New York, 2000, vol. 6, cap. 1 - 3.

27. Lakowicz, J. R.; Principles of Fluorescence Spectroscopy, 3ª ed., Springer Science, 2006.

28. Dey, B. K.; Dutta, J.; Drew, M. G. B.; Bhattachary, S.; J. Organometal. Chem. 2014, 750, 176.

29. Novales, J.; Jonkhoff, N.; Acquaye, J. H.; Polyhedron 2013, 62, 148.

30. Kuzniarska-Biernacka, I.; Biernacki, K.; Magalhaes, A. L.; Fonseca, A. M.; Neves, I. C.; J. Catalysis 2011, 278, 102.

31. Pattanayak, P.; Patra, D.; Pratihar, J. L.; Burrows, A.; Mahon, M. F.; Chattopadhyay, S.; Inorg. Chim. Acta 2010, 363, 2865.

32. Basu, S.; Halder, S.; Pal, I.; Samanta, S.; Karmakar, P.; Drew, M. G. B.; Bhattacharya, S.; Polyhedron 2008, 27, 2943.

33. Morita, M.; Assumpção, R. M. V.; Manual de Soluções, Reagentes e Solventes, 2ª ed., Blucher Editora: São Paulo, 2007.

34. Pramanik, K.; Adhikari, B.; Polyhedron 2010, 29, 1015.

35. Szabó, L.; Herman, K.; Mircescu, N. E.; Falamas, A.; Leopold, L. F.; Leopold, N.; Buzumurga, C.; Chis, V.; Spectrochim. Acta, Part A 2012, 93, 266.

36. Mondal, P.; Hens, A.; Basak, S.; Rajak, K. K.; Dalton Trans. 2013, 42, 1536.

37. Peters Jr, T.; All About Albumin: Biochemistry, Genetics, and Medical Aplications, Elsevier Inc, 1995.

38. Trynda-Lemiesz, L.; Karaezyn, A.; Keppler, B. K.; Koztowski, H.; J. Inorg. Biochem. 2000, 78, 341.

39. Eftink, M. R., Ghiron, C. A.; J. Phys. Chem. 1976, 80, 486.

40. Hummer, G; Garde, S.; García, A. E.; Paulaitis, M. E.; Pratt, L. R.; J. Phys. Chem. B 1998, 102, 10469.

41. Ruelle, P; Kesselring U. W.; J. Pharm. Sci. 1998, 87, 987.

42. Blokzijl, W.; Engberts, J. B. F. N.; Angew. Chem. Int. Ed. Engl. 1993, 32, 1545.

43. Sudlow, G.; Birkett, D. J.; Wade, D. N.; Molecular Pharmacology 1976, 12, 1052.

44. Ni, Y. N.; Su, S. J.; Kokot, S.; Anal. Chim. Acta 2006, 580, 206.

45. Wang, Y. X.; Li, L.; Sheng, L. J.; Song, G. W.; Xu, Z. S.; J. Fluorine Chem. 2011, 132, 489.

46. Fornaro, A.; Coichev, N.; Quim. Nova 1998, 21, 642.

47. Fiorucci, A. R.; Soares, M. H. F. B.; Cavalheiro, E. T. G.; Química Nova na Escola 2003, 17, 3.

48. Liu, X.; Li, X.; Xiong, Y.; Huang, Q.; Li, X.; Dong, Y.; Liu, P.; Zhang, C.; Microchim. Acta 2013, 180, 1309.

On-line version ISSN 1678-7064 Printed version ISSN 0100-4042
Qu�mica Nova
Publica��es da Sociedade Brasileira de Qu�mica
Caixa Postal: 26037 05513-970 S�o Paulo - SP
Tel/Fax: +55.11.3032.2299/+55.11.3814.3602
Free access

GN1