JBCS



12:18, sáb out 25

Acesso Aberto/TP



Artigo


Alcaloides isoquinolínicos e investigação das atividades antiplasmódica e antibacteriana de Guatteria citriodora (Annonaceae)
Isoquinoline alkaloids and investigation of the antibacterial and antiplasmodial activities of Guatteria citriodora (Annonaceae)

Diego de M. RabeloI; Maria L. Belém PinheiroI,*; Andersson BarisonII; Kahlil S. SaloméII; Emmanoel V. CostaIII; Felipe M. Araujo da SilvaII; Yury O. ChavesIV; Ivanildes dos S. BastosIV

IDepartamento de Química, Universidade Federal do Amazonas, Av. Gal. Rodrigo O. Jordão Ramos, CP 6200, 69070-000 Manaus - AM, Brasil
IIDepartamento de Química, Universidade Federal do Paraná, CP 19081, 81531-990 Curitiba - PR, Brasil
IIIDepartamento de Química, Campus de Itabaiana, Universidade Federal de Sergipe, 49500-000 Itabaiana - SE, Brasil
IVCentro de Pesquisa Instituto Leonidas Maria Deane - FIOCRUZ-AM, Rua Terezina 476, Adrianópolis, CP 69057-070 Manaus - AM, Brasil

Recebido em 06/03/2014
Aceito em 10/07/2014
Publicado na web em 27/08/2014

Endereço para correspondência

*e-mail: lbelem@ufam.edu.br

RESUMO

Phytochemical investigations of the stem bark, leaves and twigs of Guatteria citriodora resulted in the isolation of eight alkaloids: liriodenine, lysicamine, O-methylmoschatoline, 3-methoxyoxoputerine, palmatine, 3-methoxyguadiscidine, guattescidine and oxoputerine. The structures of the isolated substances were established by extensive spectroscopic techniques (1D and 2D NMR) and mass spectrometry (MS), as well as by comparison with data reported in the literature. The in vitro antimalarial activity of the alkaloidal fractions of the leaves and twigs against Plasmodium falciparum FCR3 showed significant results, with IC50 = 1.07 and 0.33 µg mL-1, respectively. The alkaloidal fraction of the leaves showed moderate activity against Enterococcus faecalis, with IC50 = 125.0 µg mL-1. Antiplasmodial and antibacterial activities are attributed to alkaloidal constituents.

Palavras-chave: Guatteria citriodora; antibacterial; antiplasmodial.

INTRODUÇÃO

O gênero Guatteria, o maior da família Annonaceae, é constituído por aproximadamente 290 espécies, encontrando-se distribuído exclusivamente nos neotrópicos.1 Suas espécies são utilizadas popularmente como antiparasitárias, vermífugas, inseticidas e odoríferas.2,3 Estudos químicos e farmacológicos têm revelado importantes atividades, tais como antimicrobianas,4 antioxidante,5 antiprotozoárias contra Leishmania sp.,2,6 Plasmodium falciparum,7 e Trypanosoma cruzi,8 associadas aos seus constituintes químicos, especialmente, alcaloides isoquinolínicos e seus derivados.

Guatteria citriodora Ducke é uma espécie amazônica conhecida popularmente como envira-amarela ou laranjinha. Ocorre em floresta pluvial de terra firme com distribuição nos estados do Amazonas e Pará, bem como nas Guianas, Suriname, Bolívia, Equador, Colômbia, Peru e Venezuela.2 Não há registro de uso medicinal mas é difundida a informação do bem-estar produzido pelo chá de suas folhas, consumido no dia a dia das populações do interior do município de Maués (AM), sendo este o primeiro estudo químico e biológico da espécie. Em continuação às investigações sobre atividades antiparasitária e antimicrobiana de espécies da família Annonaceae, são apresentados neste trabalho os resultados dos estudos fitoquímicos e avaliação de atividades antiplasmódica e antibacteriana de extratos brutos e frações alcaloídicas de G. citriodora.

 

PARTE EXPERIMENTAL

Equipamentos

Os espectros de IV foram realizados em Espectrômetro de Infravermelho com Transformada de Fourier (IV-TF), modelo Spectrum 2000 (Perkin Elmer), utilizando pastilhas de KBr. Os espectros de massas foram adquiridos em espectrômetro do tipo ion trap LCQ FleetTM (Thermo Scientific) equipado com uma fonte de eletrospray (ESI) e operando no modo positivo de aquisição. Para as análises em ESI-IT-MS as soluções estoque foram diluídas a 5 ppm em metanol grau HPLC e analisadas por infusão direta através da bomba de seringa do equipamento. Os espectros Ressonância Magnética Nuclear 1D e 2D foram registrados em aparelhos Brucker Avance III 600 operando a 14,4 Tesla (T), a 600 MHz para RMN 1H. As amostras foram solubilizadas em metanol deuterado (CD3OD) utilizando o tetrametilsilano (TMS) como padrão de referência interna. Os deslocamentos químicos foram expressos em ppm (δ) e as constantes de acoplamento (J) foram registradas em Hertz (Hz). O [α]D foi obtido em polarímetro Jasco P-2000, operando com lâmpada de Na (589 ηm) com uma cela de 1 mL (10 cm).

Material vegetal

O material botânico (cascas, folhas e galhos finos) foi coletado nos arredores do lago Canaranas, município de Maués, estado do Amazonas, Brasil, em setembro de 2009. A identificação das plantas foi confirmada pelo Dr. Antonio Carlos Weber, do Departamento de Biologia do Instituto de Ciências Biológicas da Universidade Federal do Amazonas como sendo a espécie G. citriodora, com depósito no herbário do ICB da UFAM com o número 7346.

Extração e isolamento dos alcaloides

Alcaloides das folhas e galhos finos

O material vegetal seco (600,0 g de folhas e galhos finos) pulverizado foi submetido à maceração em 1500 mL de etanol/água 8:2, com renovação diária de solvente. Após quatro extrações, as soluções obtidas foram concentradas em evaporador rotatório sob pressão reduzida a 45 ºC. Os extratos hidroalcoólicos brutos resultantes das folhas (EHBF-92,80 g) e galhos finos (EHBG-70,63 g) foram submetidos, separadamente, à partição líquido-líquido com hexano obtendo-se as frações codificadas como FHF (4,73 g) e FHG (2,50 g), respectivamente. Os correspondentes resíduos hidroalcoólicos foram solubilizados em CHCl3, tratados com HCl a 3%, e extraídos com CHCl3. Foram obtidas frações orgânicas neutras FNF (14,56 g) e FNG (1,42 g) e frações aquosas ácidas (FAAF e FAAG). FAAF e FAAG foram alcalinizadas com NH4OH até pH 10 e extraídas com clorofórmio, fornecendo, respectivamente, as frações aquosas básicas que foram descartadas, e as fração alcaloídicas FAF (1,48 g) e FAG (1,01 g). A FAF (1,00 g) foi fracionada em uma coluna de sílica gel (0,063-0,200 mm, 5,6 g) previamente tratada com bicarbonato de sódio NaHCO3 10%9 e eluída com HEX-CHCl3 (1:1), obtendo-se 21 frações de 30 mL cada, agrupadas segundo análise em CCD nas subfrações F4 (22,0 mg), F9 (26,0 mg), F13 (69,0 mg). F4 submetida a cromatografia de camada delgada preparativa (CCDP), em gel de sílica, eluente CHCl3-MeOH (9,5:0,5) levou ao isolamento de 1 (2,4 mg). A partir de F9, eluente CHCl3-AcOEt (7:3), com procedimento similar, foi isolado 2 (2,4 mg). F13, fracionada em coluna cromatográfica de sílica 70-230 Mesh, utilizando como fase móvel solventes de polaridade crescente (Hex-DCM-AcOEt-MeOH), forneceu, a partir da fração AcOEt, os sólidos 3 (4,1 mg) e 4 (6,3 mg). FAG (0,950 g) foi cromatografada como descrito para FAF, utilizando como fase móvel CHCl3-AcOEt (2:7). Foram coletadas 20 frações de 30 mL, agrupadas segundo semelhança em CCD, levando às frações G-4 (30,0 mg), G-8 (10,0 mg), G-9 (16,0 mg), G-10-12 (170,0 mg) e G-14-16 (125,0 mg). A purificação dessas frações em CCDP de gel de sílica resultou na obtenção dos seguintes compostos: 1 (3,3 mg), isolado a partir de G4 (eluente DCM-MeOH (9,5:0,5)); 5 (1,2 mg), obtido de G-8 (eluente CHCl3-AcOEt (7:3)); 2 (2,4 mg), proveniente de G-9, isolado através de duas sucessivas CCDP, eluentes CHCl3-AcOEt (7:3) e DCM-Acetona (7:3). G10-12 submetida à coluna cromatográfica de Si 60, 70-230 Mesh, eluida sucessivamente com Hex-DCM-AcOEt-MeOH forneceu a fração AcOEt, a partir da qual, através de CCDP, eluente CHCl3-Acetona (9:1) foi obtido 6 (4,6 mg). Em procedimento cromatográfico semelhante, a fração AcOEt de G14-16, submetida a CCDP, eluente CHCl3-Acetona (7:3), forneceu 7 (1,9 mg).

Alcaloides da casca do caule

O material vegetal (1046,0 g) foi submetido successivamente, à maceração em 2,5 L de solvente de polaridade crescente, hexano, diclorometano e metanol (cada solvente 4 vezes), gerando, após eliminação do solvente em evaporador rotatório sob pressão reduzida, os extratos HEX (1,51 g), DCM (2,44 g) e MeOH (46,48 g). Com base em análise em CCD, o extrato DCM foi submetido à marcha química para obtenção de alcaloides, como descrito para as folhas e galhos, obtendo-se a fração alcaloídica dos caules (FAC). Essa fração (150,0 mg) foi fracionada utilizando como fase móvel DCM-AcOEt (2:7) acrescida de três gotas de dietilamina (DEA), fornecendo 61 frações. As frações 1-5 foram reunidas e analisadas em CCDP, eluída com DCM:AcOEt (2:3), fornecendo 2,0 mg de um sólido cristalino de coloração amarela constituído de 1 e 2. As frações de 12-57 (6,3 mg) foram submetidas à coluna cromatográfica de Si 70 - 230 Mesh, utilizando HEX:DCM:AcOEt (2:2:4), fornecendo 12 frações, das quais foram obtidos os sólidos cristalinos puros 3 (1,5 mg) e 8 (2,0 mg).

Avaliação da atividade antibacteriana

Micro-organismos

A atividade antibacteriana dos extratos EHBF e EHBG e das frações FAF e FAG foi avaliada frente a 29 bactérias Gram positivas e 17 Gram negativas. As cepas Gram negativas foram: Listeria ivanovii ATCC 19119, L. monocytogenes ATCC 19112, L. monocytogenes ATCC 19117, L. monocytogenes ATCC 15313, L. monocytogenes ATCC 7644, L. innocua ATCC 33090, Bacillus subtilis ATCC 6051, Streptococcus agalactiae (CT) ATCC 13813, S. mutans ATCC 25175, S. pneumoniae ATCC 11733, S. gallolyticus ATCC 9809, S. oralis ATCC 10557, S. parasanguinis ATCC 903, S. pyogenes ATCC 19615, S. pyogenes grupo A tipo 1 ATCC 12344, Staphylococcus aureus ATCC 14458, S. aureus ATCC 12598, S. aureus ATCC 8095, S. aureus ATCC 29213, S. aureus ATCC 12600, S. epidermidis ATCC 12228, S. simulans ATCC27851, S. xylosus ATCC 29971, S. aureus sensível a meticilina (ATCC 25923), S. aureus resistente a meticilina ATCC 33591, Geobacillus stearothermophilus ATCC 7953, Enterococcus hirae ATCC 8043, E. faecalis ATCC 4083, E. faecalis ATCC 14506. As cepas Gram negativas foram: Campylobacter jejuni (CT) ATCC 33560, Enterobacter cloacae ATCC 23355, Pseudomonas aeruginosa (PAO1), Escherichia coli DAEC C1845, E. coli ATCC 10536, E. coli (EIEC) EDL-1284, E. coli (EPEC) O86:H35, E. coli (EHEC) EDL-933, Neisseria gonorrhoeae ATCC 9826, Salmonella enteritidis ATCC 13076, S. typhimurium ATCC 6539 e ATCC 13311, S. braenderup ATCC H9812, S. Choleraesuis (ATCC6958), Shigella dysenteriae ATCC 13313, S. flexneri ATCC 12022, Yersinia enterocolitica (CT) ATCC 9610.

Antibiograma (técnica de poço)

A determinação da atividade antibacteriana pela técnica de poço foi realizada segundo Grove e Randall10 com modificações. As culturas bacterianas foram preparadas a partir de culturas novas (18-24 h) produzidas a partir de uma única colônia crescida em meio Agar LB, e ajustadas a escala 0,5 de McFarland (1,5 × 108 UFC mL-1). Os inóculos foram semeados em placas de Petri de 90 mm preparadas com 10 mL de ágar bacteriológico (camada inferior) e 15 mL de Agar Müeler Hinton (camada superior). Na camada superior foram feitos seis orifícios de forma equidistante e posterior pipetagem de 40 µL referente ao controle positivo (Imipinem), negativo (DMSO 80%) e 4 extratos a 10 mg mL-1, incubados a 37 ºC por 24 h. Os extratos vegetais que apresentaram halos de inibição foram avaliados para determinação da concentração inibitória mínima - CIM.

Determinação da concentração inibitória mínima - CIM

A CIM foi realizada de acordo com CLSI11 utilizando o meio líquido LB na placa de microdiluição de 96 poços. Nos orifícios da coluna 1 foram acrescidos 60 µL de LB e nas linhas de A a F 40 µL dos extratos e frações e nas linhas G e H 40 µL de Imipinem. O conteúdo da coluna 1 foi homogeneizado e realizada diluição seriada (1:2) até a coluna 10. Em seguida, foram acrescidos 60 µL de LB estéril, 20 µL de resazurina a 0,01% e 20 µL de inóculo a 0,5 da escala McFarland. A concentração final avaliada das amostras foi de 1000 µg mL-1 a 1,95 µg mL-1. Em seguida, a placa foi incubada a 37 ºC por 18 a 48 horas e posteriormente feita a leitura considerando negativo a conversão do corante azul para rosa (ou incolor) e positivo a permanência da coloração azul. A CIM foi definida como a menor concentração das amostras capaz de inibir o crescimento de bactérias, como indicado pela coloração da resazurina.

Avaliação da atividade antiplasmódica

A atividade antiplasmódica dos extratos e frações foi avaliada contra Plasmodium falciparum FCR3 por citometria de fluxo pela técnica tradicional da queima de vela em dessecador fornecendo atmosfera rica em gás carbônico e pobre em oxigênio.12 As cepas foram mantidas em cultivo no meio RPMI incompleto com 10% de soro humano e alimentadas com eritrócitos humanos normais A+ e incubadas a 37 ºC. O teste antiparasitário dos extratos e frações foi realizado em triplicata com 2% de hematócrito e 3 a 5% de parasitemia utilizando a quinina como droga de referência antimalárica. As soluções estoque foram preparadas em dimetilsulfóxido (DMSO 0,02 - 0,05% de concentração final) e diluídas seriadamente em meio completo (100 a 0,01 µg mL-1 em cinco diluições). A leitura foi realizada em 72 h com contagem da porcentagem da parasitemia por citômetro de fluxo FAC-SCAN com identificação do parasita através do brometo de etídio. A concentração inibitória 50% (CI50) foi determinada a partir da curva dose-resposta de extratos de planta vs hemácias parasitadas.

Análise estatística

A concentração inibitória 50% (CI50) foi determinada a partir da curva dose-resposta de extratos de planta vs hemácias parasitadas, por análise de regressão não linear. Foram utilizadas curvas estatísticas que tiveram o melhor desempenho como medidas de ajuste (maior p-valor e menor valor para o AIC).13 Todas as análises foram feitas utilizando o pacote drm do software R.14

 

RESULTADOS E DISCUSSÃO

Estudos fitoquímicos

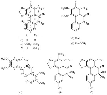
O estudo fitoquímico de G. citriodora levou ao isolamento de 8 alcaloides pertencentes a quatro importantes tipos de derivados isoquinolínicos, liriodenina 1, lisicamina 2, O-metilmoschatolina 3, oxoputerina 8, 3-metoxioxoputerina 4 (oxoaporfínicos), palmatina 5 (protoberberínico), 3-metoxiguadiscidina 6 (7,7-dimetilaporfínico), guattescidina 7 (7-hidroxy-7-metilaporfínico), evidenciando a diversidade estrutural característica do gênero Guatteria. Todos os compostos estão sendo relatados pela primeira vez na espécie. As estruturas de 1, 2, 3, 5 e 8 foram identificadas ou elucidadas inequivocamente, por técnicas de espectrometria avançadas, principalmente RMN (1D e 2D) e (ESI-IT-MS) e comparação com dados da literatura. Os espectros de RMN de 4 apresentaram similaridade com os de 1. O grupo metilenodioxi (OCH2O) foi reconhecido através do sinal em δ 6,31 (s, 2H) correlacionado ao sinal do carbono em δ 103,82, através do mapa de contorno HSQC. Foi observada a ausência do sinal em δ 7,44/H-3 de 1, e a presença de um simpleto em δ 4,29 (3H), atribuído a um grupo metoxílico, correlacionado no mapa de contorno HMBC com o carbono em δ 137,02, e atribuído ao C-3, do anel A. Foram observados dois sinais, em δ 8,24 (d, 1H, J = 4,8) e 8,72 (d, 1H, J = 4,8), característicos de hidrogênios do núcleo isoquinolínico em H-4 e H-5, respectivamente, e registros de sinais referentes a três hidrogênios aromáticos em δ 8,01 (dd, J = 7,9 e 0,7 Hz, 1H), δ 7,55 (t, J = 7,9 Hz, 1H) e δ 7,46 (dd, J = 7,9 e 0,7 Hz, 1H), característicos do anel D dos sistemas oxoaporfínicos substituídos em C-11, compatíveis com os sinais de H-8, H-9 e H-10. A presença de sinal em δ 4,04 (3H), correlacionado no HSQC ao sinal do carbono em 56,71, indicou a presença de uma metoxila como o grupo substituinte, enquanto a correlação (J3) do sinal em δ 8,01 (H-8) no HMBC com o sinal da carbonila (C-7) em δ 183,85 confirmou a sua localização no C-11 (δ 158,48), levando à identificação de 4 como o alcaloide 3-metoxioxoputerina, isolado anteriormente de G. foliosa.15 Na Tabela 1 encontram-se dados completos do composto, sendo registrados pela primeira vez, através de técnicas de HSQC e HMBC, seus dados de RMN 13C. O composto 6 apresentou um sinal a m/z 338 ([M+H]+) consistente com a fórmula molecular C20H19NO4. A fragmentação no espectro de massas (ESI-IT-MS) até MS5 revelou duas perdas iniciais de 15 Da, evidenciadas pelos fragmentos a m/z 323 e m/z 308. Foram ainda observadas sucessivas perdas de 30 Da e 28 Da, correspondentes a CH2O (m/z 278) e CO (m/z 250), que estão relacionadas à presença de uma ponte metilenodioxi na estrutura, conforme observado em alcaloides aporfínicos sensu stricto.16 O espectro de RMN 1H confirmou a presença do grupo metilenodioxi no anel A, verificado através do sinal em δ 6,11 (s, 2H). Como no composto 4, o sinal correspondente ao H-3 foi substituído por uma metoxila (δ 4,00, 3H). Observou-se ainda características de um alcaloide do tipo 7,7-dimetilaporfínico devido a um sinal em δ 1,42 com integração para seis hidrogênios no espectro de RMN 1H, indicando os grupos metílicos ligados ao C-7. Foram observados sinais em δ 2,58 e 3,51 ambos tripletos (J = 7,4, 2H), características de hidrogênios no anel tetraidroisoquinolínico em H-4 e H-5, respectivamente. O registro de sinais referentes a três hidrogênios aromáticos em δ 6,98 (d, J = 2,5 Hz, 1H), δ 6,70 (dd, J = 8,6 e 2,5 Hz, 1H) e δ 8,04 (d, J = 8,6 Hz, 1H) atribuídos ao H-8, H-10 e H-11, indicaram uma substituição em C-9 do anel D, deduzida pelo espectro de massas, como uma hidroxila. A comparação com dados da literatura levou a identificação de 6 como o alcaloide 3-metoxiguadiscidina, isolada pela primeira vez de Guatteria friesiana.17 O composto 7, identificado como a guattescidina, foi isolado anteriormente de Guatteria scandens, por Hocquemiller et al. (1982).18 Sua estrutura foi corrigida em 1983,19 com base em análise de difração de raios X do derivado 9-metoxilado análogo, guattescina, sendo incompletos os dados da literatura sobre este alcaloide. O espectro de massas do composto apresentou uma molécula protonada ([M + H]+) em m/z 310, consistente com a fórmula molecular C18H15NO4. Pela análise do espectro de RMN 1H observaram-se características de um alcaloide do tipo 7-hidroxi-7-metilaporfínico devido ao sinal em δ 1,41 com integração para três hidrogênios no espectro de RMN 1H, correlacionado com o sinal em δ 34,28 no mapa de contorno HSQC. Foram observados sinais em δ 2,66 e 3,98, ambos multipletos com integração para 2 hidrogênios, acoplados no HSQC aos sinais em δ 27,26 e 46,23, característicos de hidrogênios/carbono do anel tetraidroisoquinolínico H-4/C-4 e H-5/C-5, respectivamente. No espectro de RMN 1H observou-se um simpleto referente a um hidrogênio em δ 6,69 no anel A e a ausência do sinal de H-6a entre δ 3,50-3,71 do anel B, indicando a presença de uma ligação dupla entre C-6a e N-6, confirmada pelo sinal do carbono imínico em δ 172,29. A despeito da presença do grupo imino entre C-6a e N-6 que, de acordo com a literatura,20 restaura a planaridade da molécula (evidenciada em 6 pelo simpleto do sinal do metilenodioxi), observa-se no composto 7 a presença de dois sinais [δ 6,05 (d, 1H) e δ 6,17 (d, 1H)] com constantes de acoplamento (J) iguais a 1,2Hz, característica de hidrogênios α e β do grupo metilenodioxi,21 de estruturas de 7-hidroxy-7-metilaporfínico, confirmando a ausência de planaridade, revelada na análise por difratometria de raios X.19 Os sinais dos hidrogênios em δ 7,24 (1H, d, 2,5Hz), δ 6,74 (1H, dd, 8,6 e 2,6Hz) e δ 8,07 (1H, d, 8,6Hz) correlacionados aos carbonos δ 113,3, δ 115,5 e δ 130,5 no mapa de contorno HSQC indicaram uma substituição no anel D e foram atribuídos respectivamente a H-8/C-8, H-10/C-10 e H-11/C11, tendo em vista a correlação no HMBC (J3) do sinal em δ 7,24 (H-8) com um carbono carbinólico em δ 74,34. A substituição em C-9 foi ratificada pela correlação J3 no HMBC do sinal em δ 8,07 (H-11) com o sinal do carbono em δ 159,45 (C-9), o qual não mostrou correlação com hidrogênios no HSQC, indicando a localização de um grupo hidroxila nesta posição. Dados completos de RMN do alcaloide são encontrados na Tabela 1.

 

 

Liriodenina (1): IV. νmáx (KBr, cm-1): 2922, 2852, 1654, 1596, 1577, 1485, 1470, 1443, 1422, 1384, 1311, 1262, 1228, 1207, 1051, 1017, 964, 911, 872, 779, 752, 725, 690, 609 e 570 cm-1. RMN 1H (600 MHz, CD3OD) δ: 6,49 (H-1/2, s, OCH2O em C-1/C-2), 7,44 (H-3, s), 8,04 (H-4, d, 5,2), 8,75 (H-5, d, 5,2), 8,48 (H-8, dd, 7,8 e 1,5), 7,64 (H-9, ddd, 7,8, 7,4 e 1,1), 7,88 (H-10, ddd, 8,3, 7,4 e 1,5) e 8,78 (H-11, dd, 8,3 e 1,1); EI-MS m/z 276 ([M + H]+), consistente com a fórmula molecular C17H9NO3. Dados de acordo com a literatura.5

Lisicamina (2): IV. νmáx (KBr, cm-1): 2924, 2850, 1653, 1610, 1595, 1567, 1482, 1463, 1413, 1307, 1262, 1246, 1204, 1139, 1045, 1014 e 748 cm-1. RMN 1H (600 MHz, CD3OD) δ: 4,07 (H-1, s, OCH3), 4,14 (H-2, s, OCH3), 7,56 (H-3, s), 8,02 (H-4, d, 5,3), 8,74 (H-5, d, 5,3), 8,45 (H-8, dd, 8,1 e 1,3), 7,61 (H-9, ddd, 8,1, 7,1 e 1,1), 7,83 (H-10, ddd, 8,4, 7,1 e 1,3) e 9,21 (H-11, dd, 8,4 e 1,1); EI-MS m/z 292 ([M + H]+) consistente com a fórmula molecular C18H13NO3. Dados de acordo com a literatura.22

O-Metilmoschatolina (3): IV. νmáx (KBr, cm-1): 2944, 2856, 1713, 1665, 1595, 1579, 1547, 1478, 1394, 1332, 1312, 1257, 1205, 1159, 1118, 1095, 1045, 1008, 974, 942, 854, 760 e 689 cm-1. RMN 1H (600 MHz, CD3OD) δ:4,126 (H-1, s, OCH3), 4,127 (H-2, s, OCH3), 4,23 (H-3, s, OCH3), 8,38 (H-4, d, 4,5), 8,87 (H-5, d, 4,4), 8,48 (H-8, dd, 7,9 e 1,4), 7,59 (H-9, ddd, 7,9, 7,2 e 1,1), 7,84 (H-10, ddd, 8,5, 7,2 e 1,5) e 9,20 (H-11, d, 8,5); EI-MS m/z 322 ([M + H]+) consistente com a fórmula molecular C19H15NO4. Dados de acordo com a literatura.23

3-Metoxioxoputerina (4): RMN 1H (600 MHz, CD3OD), Ver Tabela 1. Dados de acordo com a literatura.15 EI-MS m/z 336 ([M + H]+) consistente com a fórmula molecular C19H13NO5.

Palmatina (5): IV. νmáx (KBr, cm-1): 3426, 2944, 2851, 1635, 1606, 1512, 1458, 1362, 1273, 1240, 1217, 1138, 1112, 1067, 1018, 969 e 811 cm-1. RMN 1H (600 MHz, CD3OD) δ:4,00 (H-2, s, OCH3), 3,95 (H-3, s, OCH3), 4,21 (H-9, s, OCH3), 4,11 (H-10, s, OCH3), 7,67 (H-1, s), 7,06 (H-4, s), 3,23 (H-5, t, 4,3), 4,94 (H-6, t, 4,3), 9,76 (H-8, s), 8,12 (H-11, d, 9,1), 8,02 (H-12, d, 9,1) e 8,80 (H-13, s); EI-MS m/z 352 ([M + H]+) consistente com a fórmula molecular C21H22NO4. Dados de acordo com a literatura.24

3-Metoxiguadiscidina (6): IV. νmáx (KBr, cm-1): 3432, 2996, 2946, 2854, 1637, 1603, 1508, 1457, 1423, 1387, 1332, 1300, 1253, 1209, 1062, 987, 954 e 820 cm-1. RMN 1H (600 MHz, CD3OD). Ver Tabela 1. Dados de acordo com a literatura.22 EI-MS m/z 338 ([M + H]+), correspondendo à fórmula molecular C20H19NO4; m/z: 323 (291), 308, 278, 250 e 232.

Guattescidina (7): [α]D20 13.7º (c 1.0, MeOH). RMN 1H (600 MHz, CD3OD). Ver Tabela 1. Dados de acordo com a literatura.18 ([M + H]+) em m/z 310, consistente com a fórmula molecular C18H15NO4.

Oxoputerina (8): RMN 1H (600 MHz, CD3OD) δ: 6,26 (H-1/2, s, OCH2O em C-1/C-2), 7,15 (H-3, s), 4,02 (H-11, s, OCH3), 7,73 (H-4, d, 5,1), 8,83 (H-5, d, 5,1), 8,17 (H-8, dd, 7,8 e 1,1), 7,55 (H-9, dd, 8,2 e 7,8) e 7,30 (H-10, dd, 8,2 e 1,1); EI-MS m/z 306 ([M + H]+) correspondendo à fórmula molecular C19H13NO5. Dados de acordo com a literatura.15

As estruturas de 1-8 estão representadas na Figura 1.

 


Figura 1. Alcaloides isolados das folhas e galhos de G. citriodora

 

Atividade antibacteriana

Os extratos e frações avaliados foram inativos frente às bactérias Gram-negativas e ativos contra três cepas de bactérias Gram-positivas como mostra a Tabela 2. A moderada atividade frente à bactéria patogênica Enterococcus faecalis (ATCC 4083) (CIM = 125 µg mL-1) é um resultado promissor, tendo em vista a resistência dessas bactérias aos antibióticos do mercado.25,26 Essa atividade é atribuída à presença de alcaloides isoquinolínicos, cuja eficiência é reconhecida frente a cepas Gram+.27 Resultado similar foi obtido para a fração alcaloídica de Guatteria hispida, destacando-se o alcaloide liriodenina por ser mais ativo em relação ao controle positivo cloranfenicol contra a Gram positiva Staphylococcus epidermidis.5 A resistência de bactérias Gram-negativas, Escherichia coli e Pseudomonas aeruginosa, a frações alcaloídicas e a alguns alcaloides como O-metilmoschatolina, lisicamina, isomoschatolina, nornuciferina, isocoreximina e liriodenina isolados de espécies G. híspida e G. blepharophylla já foi relatada na literatura.5,28,29

 

 

Atividade antiplasmódica in vitro

Os resultados dos testes in vitro com extratos e frações contra Plasmodium falciparum FCR3 são apresentados na Tabela 3. Os extratos EHBF e EHBG apresentaram elevada atividade antiplasmódica exibindo CI50 de 1,183 µg mL-1 e 0,3277 µg mL-1, respectivamente. Observou-se que as frações alcaloídicas FAF (CI50 = 1,183 µg mL-1) e FAG (CI50 = 0,3277 µg mL-1) e FHG (CI50 de 1,035 µg mL-1) foram muito ativas, sendo que a constituição química da última não foi investigada neste trabalho. A significativa atividade de FAF e FAG pode ser atribuída aos constituintes alcaloídicos liriodenina e lisicamina, com atividades já relatadas na literatura.30,31 Observou-se, adicionalmente, em FAG, a presença do alcaloide comprovadamente ativo palmatina,31 e dos alcaloides fenólicos 3-metoxiguadiscidina e guattescidina, para os quais não há estudos de atividade antiplasmódica. Sener et al.32 sugerem que o grupo metilenodioxi e o nitrogênio terciário não metilado contribuem para a alta atividade dos alcaloides. Wright et al.,33 avaliando a atividade antiplasmódica de alguns grupos de alcaloides, relataram que a presença do nitrogênio quaternário aumenta a atividade dos protoberberínicos. No grupo dos aporfínicos, os autores sugerem que a função amina secundária ou um substituinte fenólico aumenta a atividade antiplasmódica in vitro em relação às aminas terciárias e substituintes metoxilados, os quais foram cerca de sete vezes menos ativos. As observações acima podem explicar a maior atividade de FAG, portadora do alcaloide protoberberinínico 5 e dos alcaloides 6 e 7, ambos contendo uma hidroxila fenólica no C-9. Os resultados das investigações antiplasmódicas in vitro são promissoras, como já descritos na literatura.7,34-37 Pesquisas intensivas in vivo devem ser realizadas, uma vez que há relatos de que protoberberínicos como a palmatina e outros alcaloides não foram ativos in vivo contra o Plasmodium berghei.38

 

 

CONCLUSÃO

O trabalho reporta o isolamento e a identificação de 8 alcaloides descritos pela primeira vez na espécie G. citriodora, revelando-a como uma fonte promissora de alcaloides isoquinolínicos. Os estudos fitoquímicos evidenciaram a diversidade estrutural, característica do gênero, contribuindo para o seu conhecimento químico-taxonômico. Os resultados dos testes antibacterianos revelando moderada atividade das frações alcaloídicas frente à bactéria patogênica Enterococcus faecalis são promissores tendo em vista a resistência dessas bactérias aos antibióticos do mercado. Os testes biológicos confirmaram o potencial antiplasmódico da espécie, observando-se maior atividade para os galhos finos, o que pode ser associado à presença dos alcaloides do tipo protoberberínico e derivados fenólicos de alcaloides 7,7-dimetilaporfínico e 7-hidroxi-7-metilaporfínico. Estes dados estimulam a intensificação das investigações das atividades dos constituintes alcaloídicos, ensaios in vivo e estudos da relação estrutura/atividade, com vistas a descobertas de novos agentes terapêuticos antimaláricos e antimicrobianos.

 

MATERIAL SUPLEMENTAR

Espectros de IV de 1, 2, 3, 5 e 6, espectros de RMN de 1H, mapas de contorno HSQC e HMBC e espectros de massas (ESI-MS e MSn) de 4, 6 e 7, utilizados neste trabalho, estão disponíveis em http://quimicanova.sbq.org.br, na forma de arquivo PDF, com acesso livre.

 

AGRADECIMENTOS

Ao Dr. J. D. O. S. Júnior e a Dra C. F. Coelho do Laboratório de Estatística (LabEst) da Universidade Federal do Amazonas - UFAM e a FAPEAM pelo suporte financeiro; ao Dr. A.C. Weber, do Departamento de Biologia do Instituto de Ciências Biológicas da Universidade Federal do Amazonas, pela identificação botânica; ao Dr. P. A. Nogueira e Dra. P. P. O. Nogueira, do Centro de Pesquisa Instituto Leonidas Maria Deane - FIOCRUZ-AM, pelo apoio logístico disponibilizando os seus laboratórios.

 

REFERÊNCIAS

1. http://mobot.mobot.org/cgi-bin/search_vast?name=Guatteria+citriodora, acessada em Janeiro 2008.

2. Mahiou, V.; Roblot, F.; Fournet, A.; Hocquemiller, R.; Phytochemistry 2000, 54, 709.

3. Lima, M. A.; Fechine, I. M.; Silva, M. S.; Maia, J. G. S.; Da-Cunha, E. V. L.; Barbosa-Filho, J. M.; Biochem. Syst. Ecol. 2003, 31, 423.

4. Paredes, A.; Hasegawa, M.; Prieto, F.; Mendez, J.; Rodriguez-Ortega, M.; J. Ethnopharmacol. 2001, 78, 129.

5. Costa, E. V.; Pinheiro, M. L. B.; Barison, A.; Campos, F. R.; Salvador, M. J.; Maia, B. H. L. N. S.; Cabral, E. C.; Eberlin, M. N.; J. Nat. Prod. 2010, 73, 1180.

6. Montenegro, H.; Gutiérrez, M.; Romero, L. I.; Ortega-Barria, E.; Capson, T. L.; Rios, L. C.; Planta Med. 2003, 69, 677.

7. Weniger, B.; Aragon, R.; Deharo, E.; Bastida, J., Codina, C.; Lobstein, A.; Antón, R.; Pharmazie 2000, 55, 867.

8. Fournet, A.; Barrios, A. A.; Munoz, V.; J. Ethnopharmacol. 1994, 41, 19.

9. Costa, E. V.; Pinheiro, M. L. B.; Xavier, C. M.; Silva, J. R. A.; Amaral, A. C. F.; Souza, A. D. L.; Barison, A.; Campos, F. R.; Ferreira, A. G.; Machado, G. M. C.; Leon, L. L. P. J.; J. Nat. Prod. 2006, 69, 292.

10. Grove, D. C.; Randall, W. A.; Assay Methods of Antibiotic: a Laboratory Manual, Medical Encyclopedia: New York, 1955.

11. Clinical and Laboratory Standards Institute. Methods for Dilution Antimicrobial Susceptibility Tests for Bacteria that Grow Aerobically. Approved Standard M7-A6, 6th ed., 23, 2003.

12. Ljungstrom I.; Perlmann H.; Schichtherle, M.; Scherf A.; Wahlgen M.; Methods in Malaria Research, 4th ed., MR4/ATCC: Manassas, 2004.

13. O'Connell, M. A.; Belanger, B. A.; Haaland, P. D.; Chemom. Intell. Lab. Syst. 1993, 20, 97.

14. Knezevic, S. Z.; Streibig, J. C.; Ritz, C.; Weed Technol. 2007, 21, 840.

15. Mahiou, V.; Roblot, F.; Hocquemiller, R.; Cavé, A.; Rojas de Arias, A.; Inchausti, A.; Yaluff, G.; Fournet, A.; Angelo, A.; J. Nat. Prod. 1994, 7, 890.

16. Stévigny, C.; Jiwan J-L, H.; Rozenberg, R.; Hoffmann, E.; Quetin-Leclercq, J.; Rapid Commun. Mass Spectrom. 2004, 18, 523.

17. Costa, E. V.; Tese de Doutorado, Universidade Federal do Paraná, Brasil, 2009.

18. Hocquemiller, R.; Rasamizafy, S.; Cavé, A.; Tetrahedron 1982, 38, 911.

19. Chiaroni A.; Richie C.; Hocquemiller, R.; Rasamizafy, S.; Cavé, A.; Tetrahedron 1983, 39, 2163.

20. Pelletier, S. W. Em Alkaloids: Chemical and biological perspectives; Leboeuf, M.; Cavé, A.; Waterman, P. G., eds.; John Wiley & Sons: Georgia, 1987, cap. 3.

21. Ortiz, A. A.; Suarez, L. E. C.; Patiño, G. S.; Scientia et Technica 2007, 33, 19.

22. Costa, E. V.; Marques, F. A.; Pinheiro, M. L. B.; Braga, R. M.; Maia, B. H. L. N. S.; Biochem. Syst. Ecol. 2009, 37, 43.

23. Torres, O.; Santafe, G.; Ângulo, A.; Villa, H.; Rojano, B.; Saez, J.; Montaño, M.; Galeano, P.; Scientia et Technica 2007, 33, 55.

24. Costa, E. V.; Da Cruz, P. E. O.; Pinheiro, M. L. B.; Marques, F. A.; Ruiz, A. L .T. G.; Marchetti, G. M.; Carvalho, J. E.; Barison, A.; Maia, B. H. L. N. S.; J. Braz. Chem. Soc. 2013, 24, 788.

25. Top, J.; Willems, R.; Bonten, M.; FEMS Immunol. Med. Microbiol. 2008, 52, 297.

26. Depardieu, F. I. P.; Leclercq, R.; Collatz, E.; Courvalin, P.; Clin. Microbiol. Rev. 2007, 20, 79.

27. Abbasoglu, U.; Sener, B.; Gunay, Y.; Temizer, H.; Arch. Pharm. 1991, 324, 379.

28. Costa, E. V.; Marques, F. A.; Pinheiro, M. L. B.; Braga, R. M.; Delarmelina, C.; Duarte, M. C. T.; Ruiz, A. L. T. G.; Carvalho, J. E. C.; Maia, B. H. L. N. S.; J. Braz. Chem. Soc. 2011, 22, 1111.

29. Pérez-Amador, M. C.; González-Esquinca, A.; Morales, M. C.; Toriz, F.; Phyton (B. Aires) 2004, 73, 53.

30. Graziose, R.; Rathinasabapathy, T.; Lategan C.; Poulev, A.; Smith, P. J.; Grace, M.; Lila, M. A.; Raskin I.; J. Ethnopharmacol. 2011, 13, 26.

31. Malebo, H. M.; Wenzler, T.; Cal, M.; Swaleh, S. M.; Omolo, M. O.; Hassanali, A.; Séquin, U.; Haussinger, D.; Dalsgaard, P.; Hamburger, M.; Brun, R.; Ndiege, I. O.; BMC Complementary Altern. Med. 2013, 13, 48.

32. Sener, B.; Orhan, I.; Satayavivad, J.; Phytother. Res. 2003, 17, 1220.

33. Wright, C. W.; Marshall, S. J.; Russell, P. F.; Anderson, M. M.; Phillipson, J. D.; Kirby, G. C.; Warhurst, D. C.; Schiff, P. L.; J. Nat. Prod. 2000, 63, 1638.

34. Muñoz, V.; Sauvain, M.; Bourdy, G.; Callapa, J.; Bergeron, S.; Rojas, I.; Bravo, J. A.; Balderrama, L.; Ortiz, B.; Gimenez, A.; Deharo, E.; J. Ethnopharmacol. 2000, 69, 127.

35. Angerhofer, C. K.; Guinaudeau, H.; Wongpanich, V.; Pezzuto, J. M.; Cordell, G. A.; J. Nat. Prod. 1999, 62, 59.

36. Iwasa, K.; Moriyasu, M.; Tachibana, Y.; Kim, H. S.; Wataya, Y.; Wiegrebe, W.; Bastow, K. F.; Cosentino, L. M.; Kozuka, M.; Lee, K. H.; Bioorg. Med. Chem. 2001, 9, 2871.

37. Phillipson, J. D.; Wright, C. W.; J. Ethnopharmacol. 1991, 32, 155.

38. Vennerstrom, J. L.; Klayman, D. L.; J. Med. Chem. 1988, 31, 1480.

On-line version ISSN 1678-7064 Printed version ISSN 0100-4042
Qu�mica Nova
Publica��es da Sociedade Brasileira de Qu�mica
Caixa Postal: 26037 05513-970 S�o Paulo - SP
Tel/Fax: +55.11.3032.2299/+55.11.3814.3602
Free access

GN1