JBCS



12:24, sáb out 25

Acesso Aberto/TP



Educação

Selective detection of fluoride based on a pyridinium N-phenolate-calix[4]pyrrole displacement assay: an undergraduate laboratory experiment

Karina Mannrich; Marcelo Silva; Leandro G. Nandi; Celso R. Nicoleti; Vanderlei G. Machado*

Departamento de Química, Universidade Federal de Santa Catarina, 88040-900 Florianópolis - SC, Brasil

Recebido em 18/02/2014
Aceito em 14/07/2014
Publicado na web em 05/09/2014

Endereço para correspondência

* e-mail: vanderlei.machado@ufsc.br

RESUMO

A two-step experiment is proposed for a third year class in experimental organic chemistry. Over a period of five weeks, the students synthesized calix[4]pyrrole, a receptor that is highly selective for fluoride, and a pyridinium N-phenolate dye. Subsequently, the students used the synthesized compounds to investigate a displacement assay on the basis of the competition in acetonitrile between fluoride and the dye for calix[4]pyrrole. The experiment increased the students' skills in organic synthesis and in the characterization of organic compounds, provided a very attractive and accessible illustration of important supramolecular phenomena, and allowed the study of a chromogenic chemosensor.

Palavras-chave: calix[4]pyrrole; pyridinium N-phenolate betaine dyes; displacement assay; fluoride; chromogenic chemosensors.

INTRODUCTION

Supramolecular chemistry represents a field in which intermolecular interactions are used to design informed systems able to exhibit a series of programmable functions.1 Within the domain of supramolecular chemistry, the study of supramolecular devices1 has gained increased attention due to the enormous number of their potential applications, such as in the development of chemosensors for the analytical purposes to detect chemical species.2,3 The basic design of a chemosensor, illustrated in a generalized way in Figure 1, involves the linkage, through covalent or non-covalent interaction, of a recognition site and a signalizing unit (for instance, a chromophore). The recognizing site has all the information required to distinguish the analyte from various species. The complexation of the analyte causes a change in the optical properties of the signalizing unit, which is reflected by changes in both the color and the UV-vis spectra in the case of the chromogenic chemosensors. Over the past few years many advances have been made in this field, which Anslyn has named "supramolecular analytical chemistry".3 Many chromogenic chemosensors for fluoride4 have been studied, because it plays an important role in many diseases, in industry, and in environmental pollution.5

 


Figure 1. Generalized representation of a chemosensor

 

Many strategies have been applied to the development of chromogenic chemosensors. One of the most commonly used involves the concept of displacement assays (Figure 2), which is based on the idea of competition between the analyte and a dye for the receptor site.6 The complexation of the dye with the receptor through intermolecular interactions causes a change in the color of the solution. With the addition of the analyte, if the interaction of the analyte with the receptor is stronger than that of the dye, a dislodgement of the dye occurs and a change in the color of the solution is observed.

 


Figure 2. Generalized representation of a displacement assay

 

Meso-octamethylcalix[4]pyrrole (1; Figure 3) is an interesting anion receptor which is highly selective for fluoride.7 This compound, which is easily and rapidly synthesized,8,9 was originally discovered by Baeyer in 188610 but its anion binding properties were recognized only a century later.7 Gale and co-workers have demonstrated that an originally yellow p-nitrophenolate solution in dichloromethane became colorless with the addition of 1 and the solution changed back to yellow after adding the fluoride anion, which is able to bind strongly at the receptor site, displacing p-nitrophenolate.11 Shriver and Westphal proposed an experiment involving the synthesis of 1 and its use to gain visual evidence of the presence of fluoride in dichloromethane and benzene by means of a displacement assay involving 1 and p-nitrophenolate.9 The same approach has been used to study a displacement assay in acetonitrile based on the interaction of 1 with dyes containing a phenolate moiety donor group in their structure.12,13

 


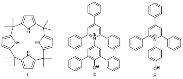
Figure 3. Representation of the molecular structures of compounds 1-3

 

Pyridinium N-phenolate betaine dyes represent a class of solvatochromic dyes, and the best known example is Reichardt's betaine 2.14,15 These compounds are commonly used to probe the polarity of a medium, since the color of their solutions changes when the solvent is altered.14,15 Many experiments with the use of pyridinium N-phenolate betaine dyes have been proposed to demonstrate the polarity of a medium and their potential applications.16 The synthesis of compound 2 was proposed as an advanced undergraduate project.17

Herein, we report an advanced organic chemistry lab project performed by a third year class of experimental organic chemistry. This set of experiments involves the synthesis of compound 1 and a pyridinium N-phenolate, 4-(2,4,6-triphenylpyridinium-1-yl)phenolate (compound 3). Subsequently, the synthesized compounds are used to investigate, in acetonitrile, a displacement assay based on the competition between fluoride and 3 for 1. The experiment increased the skills of the students in organic synthesis, purification, and the characterization of organic compounds. In addition, a very attractive and accessible illustration of an important supramolecular phenomena and the molecular/ionic recognition, together with the study of a chromogenic chemosensor based on a displacement assay, are provided by this experiment.

 

EXPERIMENTAL

Part A - Synthesis

Melting points were obtained on a Kofler hot stage and were uncorrected. The NMR spectra were recorded on a Varian AS-400 spectrometer. Chemical shifts were recorded in ppm with the solvent resonance as the internal standard. Data are reported as follows: chemical shift, multiplicity (s = singlet, d = doublet, dd = doublet of doublets, t = triplet, m = multiplet), coupling constants (Hz) and integration. FTIR spectra were obtained with an ABB FTLA 2000 spectrophotometer, with KBr pellets.

A detailed description of the synthesis and characterization of the compounds is given below and the results (amounts of reactants, yields, and spectrometric data) obtained by one of the student groups are used to illustrate the experimental procedures.

Compound 1

Pyrrole (2.5 mL) and acetone (12.5 mL) were placed in a 50 mL round-bottomed flask coupled to an addition funnel, under magnetic stirring and in an ice bath. The solution was cooled for 20 min and concentrated HCl (1.2 mL) was then added to the addition funnel. HCl was added dropwise to the acetone solution and after each drop a change in color and effervescence in the reaction mixture were observed, followed by rapid precipitation of 1 as a white solid. After the addition of HCl, stirring was continued for 1 h. The solid was then filtered, washed with cold acetone (16.0 mL) and dried in oven at 40 ºC for 1 h to yield 1.2 g of a white solid (31% yield) with a melting point of 294-296 ºC (lit.18 296 ºC). IR (KBr, nmax/cm-1): 3443 (N-H aromatic), 2972, 2931, 2870 (C-H); 1577, 1506, 1448, 1414 (C-C and C-N). 1H NMR (400 MHz, CDCl3): δ/ppm 7.06 (4H, s, NH1) 5.91 (8H, s, H2), 1.53 (24H, s, H3). 13C NMR (100 MHz, CDCl3): δ/ppm 138.4, 102.8, 35.1, 29.1.

Compound 419

10 mL of an aqueous solution of NaOH (11%) and absolute ethanol (5 mL) were mixed in a 50 mL Erlenmeyer flask equipped with a magnetic stirrer. The flask was placed in an ice bath and freshly distilled acetophenone (2.62 g, 21 mmol) was then added. The mixture was stirred and pure benzaldehyde (2.07 g, 0.019 mol) was added. The temperature of the mixture was maintained at 25 ºC while stirring vigorously until the mixture became thick (2-3 h). Stirring was discontinued and the reaction mixture was left in a refrigerator overnight. The precipitate was filtered through a Büchner funnel, washed with cold water until the washings showed neutral pH and then the solid was washed with cold ethanol (10 mL). The product was recrystallized from ethanol at 50 ºC, to give 2.61 g (64% yield) of a solid with a melting point of 55-57 ºC (lit.19 56-57 ºC). IR (KBr, nmax/cm-1): 1664 (C=O), 1607 (C=C), 1336, 1207 (C-C(=O)-C). 1H NMR (400 MHz, DMSO-d6): δ/ppm: 8.15 (2H, d, J = 7.2 Hz, Ar-H6) 7.94 (1H, d, J = 15.6 Hz, H5), 7.89 (2H, dd, J = 7.4 and 3.1 Hz, Ar-H3), 7.75 (1H, d, J = 15.6 Hz, H4), 7.67 (1H, t, J = 7.4 Hz, Ar-H8), 7.57 (2H, t, J = 7.4 Hz, Ar-H7), 7.47-7.44 (3H, m, Ar-H1,2). 13C NMR (100 MHz, DMSO-d6): δ/ppm: 188.9, 143.8, 137.3, 134.4, 132.9, 130.4, 128.7, 128.6, 124.0, 128.3.

Compound 5

Chalcone 4 (2.03 g; 97 mmol) was placed in a 25 mL Erlenmeyer flask, on a heating plate and under magnetic stirring, and the compound was heated until complete melting (70 ºC). Subsequently, 0.4 mL of 70% HClO4 was added dropwise cautiously (WARNING: perchlorates are explosives! The students and the instructor need to be careful in the manipulation of perchlorates)20 and previously distilled acetophenone was then added (0.5 g; 40 mmol). This mixture was kept at 70 ºC for 2-3 h. After this time the solution became thick and 5.0 mL of ethyl ether were added. The precipitate obtained was filtered, washed with cold ethyl ether (5.0 mL) and the solid was recrystallized twice from methanol to give 0.63 g (37.5%) of a yellow solid with a melting point of 288-290 ºC (lit.21 290 ºC). IR (KBr, nmax/cm-1): 1623, 1593 (C=C), 1248 (C-O-C), 772 (ClO4-). 1H NMR (400 MHz, DMSO-d6): δ/ppm 9.16 (2H, s, Ar-H4) 8.59 (6H, d, J = 7.4 Hz, Ar-H3,4,5), 7.87 (3H, t, J = 7.4 Hz, Ar-H1,2), 7.79 (6H, t, J = 7.4 Hz, Ar-H6,7). 13C NMR (100 MHz, DMSO-d6): δ/ppm 170.1, 135.0, 129.94, 129.9, 129.9, 129.1, 128.8, 115.2.

Compound 3

4-Aminophenol (0.08 g; 0.73 mmol) and the pyrylium salt 5 (0.3 g; 0.73 mmol) were dissolved in absolute ethanol (8.0 mL) with magnetic stirring in a 10 mL three-neck round-bottom flask attached to a flux condenser and coupled to a birthday balloon filled with argon. The system was immersed in an oil bath, which was placed on a heating plate. The reaction mixture was heated under stirring for 1 h at 70 ºC. Subsequently, a drop of glacial acetic acid was added and the heating and stirring was continued for a further 3 h. After cooling to reach room temperature, the mixture was placed in a refrigerator overnight and the precipitate was filtered off, washed with cold ethanol and recrystallized in ethanol, yielding 0.23 g (78% yield) as a white solid with a melting point of 246-248 ºC (lit.22 250 ºC). IR (KBr, nmax/cm-1): 3062 (C-H), 1622, 1513 (C=C, C=N). 1H NMR (400 MHz, DMSO-d6): δ/ppm 9.85 (1H, s, Ar-OH) 8.62 (2H, s, Ar-H4), 8.33 (2H, d, J = 7.0 Hz, Ar-H3), 7.69-7.62 (3H, m, Ar-H1,2), 7.44-7.18 (10H, m, Ar-H5,6,7), 7.19 (2H, d, J = 8.8 Hz, Ar-H8), 6.48 (2H, d, J = 8.8 Hz, Ar-H9). 13C NMR (100 MHz, DMSO-d6): δ/ppm: 157.8, 156.7, 155.2, 133.4, 133.3, 130.4, 129.8, 129.6, 128.7, 128.0, 125.0, 114.8.

In order to obtain the deprotonated form of 3, 0.20 g of the compound was stirred at room temperature with 2.0 mL of an aqueous solution of NaOH 5% in a 5.0 mL beaker. The formation of a red solid occurred, which was filtered off, washed with iced water, and finally dried in desiccators with silica, which causes the color to change from red to deep violet. This solid has a melting point of 222-224 ºC.

Part B - Anion detection

All UV-vis experiments were performed on Varian Cary Bio 50 and HP 8452A spectrophotometers equipped with a thermostated bath, and all measurements were performed at 25 ºC, employing a 1-cm quartz cuvette hermetically sealed with a rubber stopper in order to minimize the evaporation of the solvent and to avoid the entrance of water into the system. The maxima of the UV-vis spectra (lmax) were calculated from the first derivative of the absorption spectrum. All stock solutions were prepared by adding specific amounts of the compounds or the anions as tetra-n-butylammonium (TBA) salts in acetonitrile previously dried with molecular sieves (Sigma-Aldrich, 4 Å).

Studies on 1 and 2 in acetonitrile

An experiment was carried out to verify whether the interaction of compound 1 with 2 in acetonitrile occurs. Initially, (a) 264 µL of a stock solution of 1 (5.3×10-3 mol L-1) in acetonitrile was used to prepare 2.464 mL of 1 in acetonitrile in a concentration of 6.2×10-4 mol L-1; (b) 200 µL of a stock solution of 2 (5.0×10-3 mol L-1) in acetonitrile was used to prepare 2.464 mL of 2 in acetonitrile in a concentration of 4.1×10-4 mol L-1, providing the colored solution of 2; (c) 264 µL of a stock solution of 1 (5.3×10-3 mol L-1) plus 200 µL of a stock solution of 2 (5.0×10-3 mol L-1) into 2 mL of acetonitrile provided the same color as the solution obtained in (b).

Interaction of 1 with 3 and of 1:3 with fluoride in acetonitrile

For the experiments related to the mixture involving compounds 1 and 3, as well as 1:3 and TBAF, the procedure was the same as that described before, but using the following quantities: (a) 190 µL of a stock solution of 1 (5.3×10-3 mol L-1) into 2.238 mL of pure acetonitrile, obtaining c (1) = 4.1×10-4 mol L-1; (b) 175 µL of a stock solution of 3 (4.0×10-3 mol L-1) into 2.253 mL of pure acetonitrile obtaining c (3) = 2.9×10-4 mol L-1; (c) 190 µL of a stock solution of 1 (5.3×10-3 mol L-1) and 175 µL of a stock solution of 3 (4.0×10-3 mol L-1) into 2.063 mL of pure acetonitrile, obtaining the solution of the complex 1:3; (d) 190 µL of a stock solution of 1 (5.3×10-3 mol L-1), 175 µL of a stock solution of 3 (4.0×10-3 mol L-1), and 63 µL of a stock solution of TBAF (1.58×10-2 mol L-1) into 2.0 mL of pure acetonitrile for the formation of free 3 in solution.

Competition assay involving 1, 3, and the anionic species

For the experiments related to the mixture involving compounds 1, 3, and the anions, to observe the selective anion detection, the procedure was the same as that described above, with the addition of the following steps: (e) 190 µL of a stock solution of 1 (5.3×10-3 mol L-1), plus 175 µL of a stock solution of 3 (4.0×10-3 mol L-1), and 43 µL of a stock solution of TBACl (2.34×10-2 mol L-1) into 2.0 mL of pure acetonitrile; (f) 190 µL of a stock solution of 1 (5.3×10-3 mol L-1), plus 175 µL of a stock solution of 3 (4.0×10-3 mol L-1), and 84 µL of a stock solution of TBABr (1.24×10-2 mol L-1) into 2.0 mL of pure acetonitrile; (g) 190 µL of a stock solution of 1 (5.3×10-3 mol L-1), plus 175 µL of a stock solution of 3 (4.0×10-3 mol L-1), and 93 µL of a stock solution of TBAI (1.08×10-2 mol L-1) into 2.0 mL of pure acetonitrile.

 

RESULTS AND DISCUSSION

The experiments were divided into two steps, the first involving the synthesis of the compounds (calix[4]pyrrole 1 and pyridinium N-phenolate 3) and their characterization by spectrometric techniques. The second step involved the use of the compounds in the study of a displacement assay, in order to show its efficiency in the selective detection of fluoride in the presence of other halides. The total experimentation time was planned to fit within the context of one 4 h laboratory per week for a 5-week period. The experiments were performed by a class composed by eight students, divided into four groups of two students.

Synthesis of the compounds

The synthesis of compound 1 followed the procedure reported by Sobral (Scheme 1),8 by the acid-catalyzed condensation reaction between pyrrole and acetone, in one step, giving the product in yields varying between 31 and 89%. The yield and purity of the product were dependent on the experimental conditions used. It was observed that the best results were obtained by the groups that previously purified the original pyrrole and that followed exactly the methodology proposed by Sobral.8 The impurities present in the product include the N-confused calixpyrrole23 and polymeric material resultant from the pyrrole.9 The use of freshly distilled pyrrole and application the experimental conditions described in the Experimental Section yielded the product with the purity and amount required for the subsequent assays. This compound was characterized using NMR spectrometry. The analysis of the 1H NMR spectrum showed the presence of three singlet signals: the first at 1.53 ppm related to the hydrogen methyl groups, the second at 5.91 ppm related to the hydrogens of the atomatic rings and the third at 7.06 attributed to the NH pyrrolic groups. The 13C NMR spectrum verified the presence of methyl groups and the quaternary alkyl carbons at 29.1 and 35.1 ppm, respectively, while the carbons of the aromatic rings appeared at 102.8 and 138.4 ppm.

 


Scheme 1. Schematic representation for the synthesis of compound 1

 

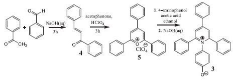
Scheme 2 summarizes the synthesis of compound 3, which is adapted from descriptions in the literature for the synthesis of compound 2.17,21,22,24 The condensation of acetophenone with benzaldehyde in basic media provided the chalcone 4 (57 to 68% yields were obtained for the four groups of students involved in the preparations). It is important to note that two doublets at 7.77 and 7.96 ppm related to the hydrogens of the CH=CH double bond were observed in the 1H NMR analysis, which are associated with the coupling constant of 15.6 Hz, typical of the trans spatial arrangement, and on the 13C NMR spectrum a signal at 188.9 ppm, related to the ketone carbonyl group, was present. The pyrylium salt 5 was obtained by reacting compound 4 with acetophenone in the presence of perchloric acid, in yields varying from 37 to 65%. The amount of perchloric acid used in this experiment was very small, and no risks associated with its utilization were observed. However, this step can be replaced by other procedure, described by Osterby and McKelvey,17 which uses sulfuric acid instead of perchloric acid. The 1H NMR spectrum of the pyrylium salt shows a singlet at 9.16 ppm, attributed to the hydrogens of the pyrylium ring. Curiously, the ortho hydrogens of the three rings bound to the pyrylium ring appear as a doublet at the same position (8.59 ppm). The 13C NMR spectrum shows a signal at 170.1 ppm related to the C2 and C6 atoms of the pyrylium ring, the deshielding effect being due to the influence of the neighboring oxygen. Finally, the reflux of compound 5 with 4-aminophenol for 3 h, followed by deprotonation using sodium hydroxide, yielded pyridinium N-phenolate 3 in 73-89% yield. The 1H NMR spectrum shows a signal at 9.85 ppm related to the -OH phenolic group, a signal at 8.62 ppm related to the hydrogens of the pyridinium ring and two doublets at 6.48 and 7.19 ppm, related to the hydrogens of the phenolic moiety of the compound. The 13C NMR spectrum shows three deshielded signals at 155.2, 156.7 and 157.8 ppm, which are related to the carbon atoms of the pyridinium center. One of the students was responsible for the preparation of compound 2, which was obtained from the reaction of compound 5 and 4-amino-2,6-diphenylphenol, according to a method described in the literature.17 However, the preparation of compound 2 is optional, being used only for comparison with compound 3.

 


Scheme 2. Schematic representation for the synthetic route of compound 3

 

Anion selective detection based on a pyridinium N-phenolate-calix[4]pyrrole displacement assay

The procedure to demonstrate the use of the compounds for detection purposes was divided into three parts. Firstly, compounds 1 and 3 were used in acetonitrile to form complex 1:3. An experiment was then carried out to verify that the pyridinium N-phenolate betaine dye 2 is unable to interact with 1. Finally, the experiments involving 1, 3, and the anions were conducted.

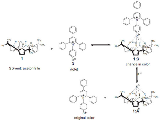
Figure 4A shows that compound 3 gives a violet color to the solution. Compounds 2 and 3 are intramolecularly ionic dyes, which have an electron-donating phenolate ring linked to an electron-accepting pyridinium moiety. It is well known that pyridinium N-phenolate betaine dyes are solvatochromic, the position of their long-wavelength visible intramolecular charge-transfer band being highly dependent on the solvent.14,15 If 1 is added to the solution of 3, the color immediately changes to yellow. This is due to the formation of a 1:3 complex through HB involving the oxygen in the phenolate group of 3 and the NH groups of 1.11,12 Reports in the literature demonstrate that solvatochromic merocyanines in acetonitrile interact with hydrogen-bonding donating species added to the solution, causing a hypsochromic shift in the solvatochromic band of the dye.25 In the present case, the addition of 1 to a solution of 3 in acetonitrile caused a hypsochromic shift from 564 nm to 450 nm. No changes occurred when 1 was added to solutions of 2. The steric hindrance of the phenyl groups at the phenolate moiety blocks the occurrence of HB with the NH pyrrolic groups. Figure 4A also shows the effect of the different anions (F-, Cl-, Br-, and I-) on the 1:3 solution. Only F- caused the reappearance of the violet color, allowing the visual detection of this anion, distinguishing it from the other halides. In acetonitrile, compound 3 has a band with a maximum at 564 nm which is displaced to 450 nm with the addition of 1 (Figure 4B). UV-vis spectra show that only F- was able to reinstate the original band related to the free dye. The ability of F- to easily displace the dye from the receptor site of 1 is due to the fact that the anion binds to the receptor strongly than the dye. A titration of dye 3 with compound 1 was performed (see Supporting Information) and showed that in acetonitrile 3 and 1 form a complex with a 1:1 stoichiometry, with a binding constant of (2.63±0.18)×103 L mol-1 (S.D. =1.0×10-4). The value for this binding constant is lower than that for 1 with F- in the same solvent. Schmidtchen26 used calorimetric measurements to estimate the binding constant for 1 and F-, obtaining values of 1.53×105 L mol-1 (from the titration of F- in a solution of 1) and 1.29×105 L mol-1 (from the titration of 1 in a solution of F-). More recently, a competitive spectrophotometric method was used to estimate the binding constant for 1 and F- and the result obtained was 1.09×105 L mol-1.13

 


Figure 4. (A) Solutions in acetonitrile and (B) UV-vis spectra of (a) 1, (b) 3, (c) 1:3 complex, and 1:3 complex in the presence of (d) F-, (e) Cl-, (f) Br-, and (g) I-(c (anion) = 5.0×10-4 mol L-1). The concentrations of 1 were 5.0×10-4mol L-1 and 3 were 3.5×10-4 mol L-1

 

Scheme 3 summarizes the experiment performed by the students. Compound 3 is violet in solution, but the solution turns yellow with the addition of 1 due to the formation of the 1:3 complex. Since fluoride is an anion able to interact strongly with 1, the pyridinium N-phenolate is displaced from the receptor site of 1 and the free betaine dye is again responsible for the original violet color.

 


Scheme 3. A chromogenic chemosensor based on a displacement assay

 

As an additional suggestion, the compounds prepared can be easily used in the study of other physico-chemical phenomena. Compounds 2 and 3 are recognized as a very important class of solvatochromic dyes,14,15 and they are used in many undergraduate experiments16 to demonstrate the concept of solvent polarity to chemistry students or in other applications, such as to quantify the presence of water in organic solvents and for the quality control of fuels. Furthermore, compound 1 can be employed together with pyridinium N-phenolate 3 (and even other phenolate dyes)11-13 in physico-chemical experiments designed to illustrate the study of chemical equilibrium, allowing the easy quantification of equilibrium constants.

 

CONCLUSIONS

The proposed experiment allowed, over a period of five weeks, the synthesis of a pyridinium N-phenolate betaine dye and a receptor highly selective for fluoride. The compounds were characterized using 1H and 13C NMR spectrometric techniques. The synthesized compounds were applied in the development of a strategy for selective anion sensing, which is a useful way to illustrate an application in the field of supramolecular chemistry.

A general balance of the experiment was made with the students participating in the project, which was considered largely positive. The most important aspects, considered by the students, were related to the multidisciplinarity of the experiment performed and the fact that the compounds were synthesized and used for a purpose, to be successfully applied in a simple experiment in which changes in the vivid colors were involved. In addition, the experiment performed helped the students to comprehend the dimension of chemistry not only as a science addressing the structure and transformation of the matter, but also as an information science.27

 

SUPPLEMENTARY MATERIAL

Spectrometric data of the synthesized compounds (1H NMR and 13C NMR spectra), UV-vis spectra, reaction mechanisms, and exercises are freely available via the Internet at http://quimicanova.sbq.org.br, as a PDF file.

 

ACKNOWLEDGEMENT

The financial support of the Brazilian government agencies Conselho Nacional de Desenvolvimento Científico e Tecnológico (CNPq) and Coordenação de Aperfeiçoamento de Pessoal de Nível Superior (CAPES) and the university UFSC is gratefully acknowledged.

 

REFERENCES

1. Lehn, J.-M.; Supramolecular Chemistry-Concepts and Perspectives, Wiley-VCH: Weinheim, 1996.

2. Martínez-Máñez, R.; Sancenón, F.; Chem. Rev. 2003, 103, 4419; Suksai, C.; Tuntulani, T.; Chem. Soc. Rev. 2003, 32, 192; Callan, J. F.; de Silva, A. P.; Magri, D. C.; Tetrahedron 2005, 61, 8551; Zimmermann-Dimer, L. M.; Machado, V. G.; Quim. Nova 2008, 31, 2134; Cho, D. G.; Sessler, J. L.; Chem. Soc. Rev. 2009, 38, 1647; Gale, P. A.; Chem. Soc. Rev. 2010, 39, 3746; Moragues, M. E.; Martínez-Mañez, R.; Sancenón, F.; Chem. Soc. Rev. 2011, 40, 2593; Wenzel, M.; Hiscock, J. R.; Gale, P. A.; Chem. Soc. Rev. 2012, 41, 480.

3. Anslyn, E. V.; J. Org. Chem. 2007, 72, 687.

4. Cametti, M.; Rissanen, K.; Chem. Commun. 2009, 2809; Wade, C. R.; Broomsgrove, A. E. J.; Aldridge, S.; Gabbai, F. P.; Chem. Rev. 2010, 110, 3958.

5. Faibish, D.; Ott, S. M.; Boskey, A. L.; Clin. Orthop. Relat. Res. 2006, 28; Ayoob, S.; Gupta, A. K.; Crit. Rev. Environ. Sci. Technol. 2006, 36, 433.

6. For reviews, see: Wiskur, S. L.; Ait-Haddou, H.; Lavigne, J. J.; Anslyn, E. V.; Acc. Chem. Res. 2001, 34, 963; Nguyen, B. T.; Anslyn, E. V.; Coord. Chem. Rev. 2006, 250, 3118; Liu, K.; Su, X.; Huo, J.; Mini-Rev. Org. Chem. 2012, 9, 118.

7. Gale, P. A.; Sessler, J. L.; Král, V.; Lynch, V.; J. Am. Chem. Soc. 1996, 118, 5140.

8. Sobral, A. J. F. N.; J. Chem. Educ. 2005, 82, 618.

9. Shriver, J. A.; Westphal, S. G.; J. Chem. Educ. 2006, 83, 1330.

10. Baeyer, A.; Ber. Dtsch. Chem. Ges. 1886, 19, 2184.

11. Gale, P. A.; Twyman, L. J.; Handlin, C. I.; Sessler, J. L.; Chem. Commun. 1999, 1851.

12. Linn, M. M.; Poncio, D. C.; Machado, V. G.; Tetrahedron Lett. 2007, 48, 4547.

13. Nicoleti, C. R.; Marini, V. G.; Zimmermann, L. M.; Machado, V. G.; J. Braz. Chem. Soc. 2012, 23, 1488.

14. Reichardt, C.; Welton, T.; Solvents and Solvent Effects in Organic Chemistry, 4th ed.; Wiley-VCH: Weinheim, 2010; Chapter 7, pp 448.

15. Reichardt, C.; Pure Appl. Chem. 2008, 80, 1415.

16. Johnson, D. A.; Shaw, R.; Silversmith, E. F.; J. Chem. Educ. 1994, 71, 517; Vitha, M. F.; J. Chem. Educ. 2001, 78, 370; Machado, C.; Machado, V. G.; J. Chem. Educ. 2001, 78, 649; El Seoud, O. A.; Loffredo, C.; Galgano, P. D.; Sato, B. M.; Reichardt, C.; J. Chem. Educ. 2011, 88, 1293; Galgano, P. D.; Loffredo, C.; Sato, B. M.; Reichardt, C.; El Seoud, O. A.; Chem. Educ. Res. Pract. 2012, 13, 147.

17. Osterby, B. R.; McKelvey, R. D.; J. Chem. Educ. 1996, 73, 260.

18. Rothemund, P.; Gage, C. L.; J. Am. Chem. Soc. 1955, 77, 3340.

19. Furniss, B. S.; Hannaford, A. J.; Smith, P. W. G.; Tatchell, A. R.; Vogel's Textbook of Practical Organic Chemistry, 5th ed., Longman: London, 1989.

20. Furr, A. K.; CRC Handbook of Laboratory Safety, 5th ed., CRC Press: Florida, 2000, p 291.

21. Balaban, A. T.; Toma, C.; Tetrahedron 1966, Suppl. 7,1.

22. Dimroth, K.; Reichardt, C.; Siepmann, T.; Bohlmann, F.; Justus Liebigs Ann. Chem. 1963, 661, 1.

23. Depraetere, S.; Smet, M.; Dehaen, W.; Angew. Chem. Int. Ed. 1999, 38, 3359.

24. Rezende, M. C.; Radetski, C. M.; Quim. Nova 1988, 11, 353; Kessler, M. A.; Wolfbeis, O. S.; Synthesis 1988, 635.

25. Ortega, J.; Ràfols, C.; Bosch, E.; Rosés, M.; J. Chem. Soc., Perkin Trans. 2 1996, 1497; da Silva, D. C.; Ricken, I.; Silva, M. A. do R.; Machado, V. G.; J. Phys. Org. Chem. 2002, 15, 420; Venturini, C. de G.; Andreaus, J.; Machado, V. G.; Machado, C.; Org. Biomol. Chem. 2005, 3, 1751; Cavalli, V.; da Silva, D. C.; Machado, C.; Machado, V. G.; Soldi, V.; J. Fluoresc. 2006, 16, 77.

26. Schmidtchen, F. P.; Org. Lett. 2002, 4, 431.

27. Lehn, J.-M.; C. R. Chim. 2011, 14, 348.

On-line version ISSN 1678-7064 Printed version ISSN 0100-4042
Qu�mica Nova
Publica��es da Sociedade Brasileira de Qu�mica
Caixa Postal: 26037 05513-970 S�o Paulo - SP
Tel/Fax: +55.11.3032.2299/+55.11.3814.3602
Free access

GN1