JBCS



12:30, sáb out 25

Acesso Aberto/TP



Artigo

In vitro effect of isoschaftoside isolated from syngonium podophyllum on pig kidney Na+, K+-ATPase

Anne Caroline Candido GomesI,*; Luzia da Silva SampaioII; Paulo André da SilvaII; Marcelo Einicker LamasII; Cassia Mônica SakuraguiIII; Cleber Bomfim Barreto JuniorIV; Naomi Kato SimasV; Ricardo Machado KusterI

IInstituto de Pesquisas de Produtos Naturais, Universidade Federal do Rio de Janeiro, Rio de Janeiro - RJ, Brasil
IIInstituto de Biofísica Carlos Chagas Filho, Universidade Federal do Rio de Janeiro, Rio de Janeiro - RJ, Brasil
IIIInstituto de Biologia, Universidade Federal do Rio de Janeiro, Rio de Janeiro - RJ, Brasil
IVInstituto Federal de Educação, Ciência e Tecnologia do Rio de Janeiro, Unidade Maracanã, Rio de Janeiro - RJ, Brasil
VFaculdade de Farmácia, Universidade Federal do Rio de Janeiro, Rio de Janeiro - RJ, Brasil

Recebido em 25/02/2014
Aceito em 11/08/2014
Publicado na web em 22/09/2014

Endereço para correspondência

*e-mail: anne_pharma@hotmail.com

RESUMO

The present study aimed to investigate the in vitro effects of isoschaftoside isolated from Syngonium podophyllum on pig kidney Na+,K+-ATPase. The Na+, K+-ATPase activity was determined by colorimetric measurement of inorganic phosphate (Pi), resulting from ATP hydrolysis. Isoschaftoside significantly decreased the renal Na+, K+-ATPase activity at the highest concentration as well as at a lower concentration. Our work suggests that isoschaftoside is a promising compound for the treatment of hypertension.

Palavras-chave: Syngonium podophyllum; Araceae; Isoschaftoside; enzyme inhibition; renal Na+, K+-ATPase.

INTRODUCTION

Kidneys are the main organs responsible for body fluid compartments homeostasis, notably for extracellular volume regulation and, consequently, regulation of circulatory parameters, such as, venous return, cardiac output and blood pressure. The maintenance of extracellular volume requires an accurate regulation of the amount of Na+ excreted and, reabsorbed at the tubular level. Therefore, the active Na+ transporter, Na+, K+-ATPase, is the target of a complex control system (neural and humoral factors) that modulates the renal excretion of Na+, and dysfunction of this system is one of the molecular bases of arterial hypertension of renal origin.1

Na+, K+-ATPase is a P-type ATPase that is found in all eukaryotic cells, including the nephron cells, that are principally in the cortex region. This ATPase uses the chemical energy from ATP hydrolysis to transport Na+ outside the cell against its electrochemical gradient and transport K+ into cytoplasm. Thereby, maintaining low concentrations of Na+ and high concentrations of K+ inside the cell.2

There are several reports on flavonoids acting as enzyme inhibitors.3 Ochiai et al.,4 demonstrated that green tea catechins can inhibit the activity of Na+, K+-ATPase in pig kidney. Catechins are known to protect the cardiovascular system. Their antihypertensive effect may be attributed to the inhibition of Na+, K+-ATPase.

Isoschaftoside (apigenin-6-C-α-L-arabinopyranosyl-8-C-β-D-glucopyranoside) has been described as a compound with allelopathic activity against Striga hermonthica, an obligate parasitic weed that can damage the maize crop5 and with nematicidal activity against the root-knot nematode (Meloidogyne incognita).6

The present study reports that isoschftoside can inhibit Na+, K+ - ATPase activity in pig kidney at different concentrations, although there are no data in the literature regarding effect of this compound on the pathology of hypertension.

Furthermore, this is the first study in which isoschaftoside was isolated from Syngonium podophyllum (Araceae), a medium-sized shrub distributed from Mexico to the Guianas, Bolivia, and Brazil. Leaves of S. podophyllum are used in traditional medicine in Central America to treat skin ailments, such as, wounds, dry skin, itching and rashes, whereas the leaf tincture is used to treat rheumatism, arthritis, pain, and swelling.7

 

MATERIAL AND METHODS

General experimental procedures

UV spectra were obtained using the DAD-UV detector (SP-M10A) of an HPLC system equipped with a Shimadzu LC-10AD. An RP 18 column (0.5mm x 250 x 4.6mm- Merck, Darmstadt, Germany) was used in the analyses. NMR spectra (1H, 500 MHz; 13C, 125 MHz) were recorded in D2O on a Bruker DRX spectrometer. HRMS/MS spectra were recorded on Finnigan TSQ Quantum Ultra AM, a triple quadrupole mass spectrometer operating in the electrospray ionization mode. HPLC-grade methanol (MeOH) and phosphoric acid were obtained from TediaBrazil. Deionized water (Milli- Q; Millipore) was used in the study. Thin-layer chromatography (TLC) was performed on silica gel GF254 Merck using butan-1-ol (BuOH): acetic acid (AcOH): H2O (40:10:50, v/v) as the eluent, 1% "Natural Product Reagent" - (NP: 2-aminoethyl diphenylborinate - Sigma-Aldrich) in MeOH as a chromogenic reagent for flavonoids, and 5% polyethylene glycol-4000 (PEG) solution in EtOH as a visualization reagent under UV light (365 nm). Column chromatography was performed using cellulose-acetate (Sigma-Aldrich) and Sephadex LH-20 columns (Pharmacia). Ouabain was purchased from Sigma-Aldrich. Other reagents were purchased from Merck.

Plant material

S. podophyllum was collected in March 2009 at Vista Chinesa, Rio de Janeiro, Brazil, and identified by Prof. Dr. Cassia Sakuragui from the Biology Institute, Federal University of Rio de Janeiro. A voucher specimen (RB 480150) was deposited at the Herbarium of the Botanic Garden of Rio de Janeiro.

Extraction and isolation

The air-dried leaves of Syngonium podophyllum (397g) were extracted with EtOH:H2O (7:3, v/v; 6L x 5) at room temperature by static maceration for 15 days and concentrated to produce a dark green extract (45 g). The extract was suspended in MeOH:H2O (9:1, v/v) and partitioned with hexane (200 mL × 3). Then, the aqueous phase was concentrated to remove methanol, and successively partitioned with CH2Cl2, ethyl-acetate and butan-1-ol (each 200 mL X 3). As this study aimed to isolate and elucidate the flavonoids in S. podophyllum, the BuOH extract (15 g) was chosen for the phytochemical investigation. This extract exhibited higher flavonoid content as indicated by the large spots on TLC plates after the treatment with the chromogenic reagent for flavonoids (NP/PEG). Hence, 7.5 g of the BuOH extract were chromatographed on a cellulose-acetate column (3.0 × 53.5 cm) with solvents elution under pressure, using a vacuum pump. The elution was performed in the gradient mode using H2O and MeOH in different ratios (1:0, 8:2, 6:4, 4:6, 2:8 and 0:1, v/v). Fractions that eluted with water (Fr 4 to Fr 11) were combined because the presence of flavonoids in these fractions was demonstrated by TLC, and this combined fraction was subjected to column chromatography using a Sephadex LH-20 column (2.0 x 55 cm) as the stationary phase. Further elution was performed in the gradient mode using H2O and MeOH in different ratios (1:0, 9:1; 8:2, 7:3, 6:4, 5:5, 4:6, 3:7, 2:8, 1:9 and 0:1, v/v). Subfractions (Fr 10 to Fr 21) eluted with H2O:MeOH (9:1, v/v) and H2O:MeOH (8:2, v/v) were combined as Fr 1' because of their similarity on TLC. Some precipitation from Fr 1' was observed when methanol was used for solubilization. The precipitate was separated by centrifugation. TLC analysis suggested good purity of the precipitate and it was named as 1 (20 mg). After 1H- and 13C- NMR analysis, using uni- and bidimensional techniques, 1 was identified as isoschaftoside as shown in Figure 1. Although the BuOH fraction displayed a high diversity of flavonoids, isoschaftoside was the major component, and for the bioguided fractionation minor flavonoids were excluded. This study focused on the isolation and identification of the major flavonoid and the evaluation of its inhibitory activity on Na+, K+- ATPase.

 


Figure 1. Chemical structure of Isoschaftoside

 

Basolateral membrane preparation

Homogenized preparations of the basolateral membrane of the proximal tubule were obtained from adult pig kidneys. The kidneys were removed immediately after death of the animals and kept in an ice-cold solution containing: sucrose 250 mmol L-1, HEPESTris (pH 7,6) 10 mmol L-1, EDTA 2 mmol L-1 and PMSF 1 mmol L-1. Thin slices of the external cortex were removed and homogenized in the same solution using a Glass/Teflon homogenizer. The homogenate was centrifuged at 1.500 g at 4 ºC, for 10 min. The precipitate was removed and the homogenate was collected and subjected to sequential centrifugations for basolateral membrane isolation. Initially, the homogenate was centrifuged at 13.000 g at 4 ºC, for 44 min. After centrifugation, the supernatant was discarded and, using a solution containing sucrose 250 mmol L-1 and EDTA, pH 7.6, the most superficial layer of the precipitated was collected, which generally corresponds to the microsomal fraction. Then, using a Percoll gradient (final concentration 12% v/v), the microsomal fraction was centrifuged at 40.000 g, at 4 ºC, for 1h, to generate the Percoll density gradient, and consequently, to separate different membrane fractions contained in the brute portion of plasmatic membranes.8

The fraction corresponding to basolateral membrane was collected, homogenized using a Glass/Teflon homogenizer and centrifuged at 200.000 g, for 1h, at 4 ºC, for Percoll sedimentation. The membrane preparation was resuspended in sucrose 250 mmol L-1, and the final total protein concentration was determined by the method given by Lowry et al.9 These samples were then stored in liquid nitrogen.

The Na+, K+-ATPase activity was determined by colorimetric detecting inorganic phosphate (Pi), resulting from ATP hydrolysis.10 The activity was determined by the calculating the difference between the absorbance values in the absence and presence of ouabain 2 mmol L-1 (specific Na+, K+-ATPase inhibitor). The reaction medium contained Bis-Tris-propane 50 mmol L-1 (pH 7.4), EDTA 0.2 mmol L-1, MgCl2 5 mmol L-1, NaCl 120 mmol L-1 and protein. The membranes were pre-incubated in this medium along with flavonoids at 37 ºC, for 10 min, to ensure a complete Na+, K+-ATPase modulation. The hydrolysis reaction was initiated by adding an ATP (5 mmol L-1) and KCl (24 mmol L-1) mixture, and it was terminated after 10 min by adding activated charcoal in HCl (0.1 mol L-1).

Statistical analysis

Graphpad Prism® 5 software was used, and the results were subjected to analysis of variance (ANOVA). This study established a significance level of P <0.05. The results are presented as the mean ± standard error of the mean.

Isoschaftoside(apigenin-6-C-α-L-arabinopyranosyl-8-C-β-D-glucopyranosyde): amorphous yellow solid; 1H- and 13C- NMR Table 1; HR-ESIMS m/z 563.14048 [M-H]-(calculed for C26H27O14).

 

 

RESULTS AND DISCUSSION

Isoschaftoside identification

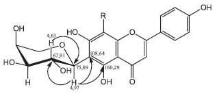
Isoschaftoside was obtained as an amorphous, yellow powder. The molecular formula was deduced from the HR-MS data as C26H27O14 ([M-H]- at m/z 563.14048). Its UV spectrum was same as flavone, with band I at 352 nm and band II at 299 nm. The 1H- and 13C-NMR spectra were obtained in D2O. These data are shown in Table 1, and they are compatible to those previously reported by Hooper et al.5 C-glycosylation at the C-6 position was confirmed by HMBC correlations as shown in Figure 2. The anomeric hydrogen (H-1''; 4.97 ppm) established a 2JC-H correlation with C-6 (108.64 ppm) and a 3JC-H correlation with C-5 (160.29), suggesting arabinose as the carbohydrate located at C-6. Furthermore, a 2JC-H correlation of 4.97 ppm with the carbon 67.91 ppm, a typical chemical shift of C-2 in arabinose, confirmed the identity of the sugar.5 Because of interference with the solvent signal, the correlation of H-1'''of glucose with C-8 (103.95) could not be observed. Nevertheless, both isoschaftoside and schaftoside (glucose at C-6 and arabinose at C-8) feature a larger chemical shift on apigenin at C-6 than at C-8.6 Therefore, the flavone that was isolated from S. podophyllum concluded to be isoschaftoside. There have been previous reports concerning the occurrence of isoschaftoside in Philodendron sp. and Colocasia esculenta (Araceae),11,12 Desmodium uncinatum (Fabaceae),13 Mauritia flexuosa (Arecaceae),14 Saccharum officinarum and Triticum aestivum (Poaceae),15,16 Crataegus monogyna (Rosaceae)17 and Passiflora incarnata (Passifloraceae).18 Notably, antihypertensive activities of C. monogyna, C. esculenta and P. incarnate are known.19-21

 


Figure 2. HMBC 2-3JC-H correlations of arabinose anomeric hydrogen and H-2"

 

Assays for Na+, K+-ATPase

As shown in Figure 3, isoschaftoside significantly decreased the activity of renal Na+, K+-ATPase at the concentrations of 2.00, 1.50, 1.00, 0.75 and 0.50 mg mL-1, by 83.55%, 72.85%, 69.13%, 66.70% and 55.93% (these values indicate the percentage change vs. control), respectively. Even at a concentration of 0.25 mg mL-1, isoschaftoside could decrease the Na+, K+-ATPase activity by 39,75% inhibition. At lower concentrations of 0.10 and 0.05 mg mL-1, no inhibition was observed. Therefore, isoschaftoside inhibited renal Na+, K+- ATPase in a concentration-dependent manner.

 


Figure 3. Na+, K+-ATPase activity in presence of different Isoschaftoside concentrations (2,00 mg - 0,05 mg mL-1). The graph shows 100% activity in control. Results are expressed as mean ± S.D. Significance was determined by ANOVA followed by Tukey's Multiple Comparison Test. Superscript letter a means significantly different from control. P <0.05 vs. control

 

The sodium pump Na+, K+-ATPase is known to be involved in the generation and maintenance of hypertension because it plays a key role in sodium transport along the nephron and in the regulation of vascular tone and cardiac contractility.22 The enzyme is located within the plasma membrane, where it transports three Na+ ions out of the cell and two K+ ions into the cell, using the energy generated by ATP hydrolysis.23 Reabsorption of filtered sodium by the renal tubules is increased in primary hypertension because of the stimulation of several sodium transporters located at the luminal membrane, as well as the sodium pump, located in the basolateral membrane, which provides the energy for such transport.24 In primary hypertension there is an aldosterone excess that activates the sodium pump, promoting sodium retention and potassium loss. The homeostasis of sodium and potassium plays an important role in the endothelium-dependent vasodilatation, which is defective in primary hypertension. In addition, sodium retention decreases the synthesis of nitric oxide, an arteriolar vasodilator elaborated by endothelial cells. Therefore, the excess of cellular sodium induces vascular smooth-muscle cell contraction, increases peripheral vascular resistance and establishes hypertension.24-26 Na+, K+-ATPase represents a potential drug target for the treatment of arterial hypertension of renal origin.

In the present study, we investigated the in vitro effects of a di-C-glycosylflavone, isoschaftoside, from Syngonium podophyllum leaves, on kidney Na+, K+-ATPase activity.

Isoschaftoside significantly decreased renal Na+, K+-ATPase activity, inhibiting the enzyme by 83.55% at the highest concentration (2 mg mL-1) and 39.75% at a concentration of 0.25 mg mL-1.

Hirano et al.,27 demonstrated that natural and synthetic flavonoids can decrease the activity of Na+, K+-ATPase in dog kidney. They also observed that the flavonoids inhibiting the enzyme activity could neither replace ouabain, the classic Na+, K+- ATPase inhibitor, from its binding site nor potentiate its binding to the human erythrocytes. These results showed the mechanism of Na+, K+-ATPase inhibition by flavonoids is not related to cardiotonic glycosides binding site. This aspect corroborates the study by the Kuriki and Racker,28 which demonstrated that quercetin blocks Na+, K+-ATPase because it prevents the conversion from the E1-P to the E2-P state, in contrast to ouabain, which increases the formation of E2- P in the catalytic cycle of the enzyme. Ochiai et al.,4 also suggested that epigallocatechin-3-gallate could inhibit Na+, K+-ATPase by reducing the transition rate from the E1-P to E2-P state. There are no reports in the literature on the effect of C-glycosylflavoids on renal Na+, K+-ATPase and hypertension.

This is the first study to report the isolation of isoschaftoside from the genus Syngonium, and also suggest that this di-C-glycosylated flavone is a candidate compound for clinical assays involving primary hypertension because of its ability to inhibit renal Na+, K+-ATPase, probably by a different mechanism than digitalic compounds. This disease is related to an excess of cellular sodium, vascular smooth-muscle cell contraction and peripheral vascular resistance. Further studies will be necessary to confirm this hypothesis.

 

CONCLUSION

The current study demonstrated that isoschaftoside considerably decreases renal Na+, K+-ATPase activity. This compound is the major flavonoid produced by the plant and it can be used as a lead compound to further study the mechanisms of action of antihypertensive drugs other than digitalics

 

SUPPLEMENTARY MATERIAL

1H-NMR, DEPTQ and HRMS spectra for compound 1 are ava.ilable in http://quimicanova.sbq.org.br, PDF format, with free access.

 

ACKNOWLEDGMENT

We are grateful to CNPq (Conselho Nacional de Desenvolvimento Científico e Tecnológico) for financial support.

 

REFERENCES

1. Féraille, E.; Doucet, A.; Physiol. Rev. 2001, 81, 345.

2. Jorgensen, P. L.; Physiol. Rev. 1980, 60, 864.

3. Heim, K. E.; Tagliaferro, A. R.; Bobilya, D. J.; J. Nutr. Biochem. 2002, 13, 572.

4. Ochiai, H.; Takeda, K.; Soeda, S.; Tahara, Y.; Takenaka, H.; Abe, K.; Hayashi, Y.; Noguchi, S.; Inoue, M.; Schwarz, S.; Schwarz, W.; Kawamura, M.; Biochem. Pharmacol. 2009, 78, 1069.

5. Hooper, A. M.; Tsanuo, M. K.; Chamberlain, K.; Tittcomb, K.; Scholes, J.; Hassanali, A.; Khan, Z. R.; Pickett, J. A.; Phytochemistry 2010, 71, 904.

6. Du, S. S.; Zhang , H. M.; Bai, C. Q.; Wang, C. F.; Liu, Q. Z.; Liu, Z. L.; Wang, Y. Y.; Deng, Z. W.; Molecules 2011, 16, 5079.

7. Camporese, A.; Balick, M. J.; Arvigo, R.; Esposito, R. G.; Morsellino, N.; De Simone, F.; Tubaro, A.; J. Ethnopharmacol. 2003, 87, 103.

8. Boumendil-Podevin, L. F.; Podevin, R. A.; Biochim. Biophys. Acta 1983, 735, 86.

9. Lowry, O. H.; Rosenbrough, N. J.; Farr, A. L.; Randall, R. J.; J. Biol. Chem. 1951, 193, 265.

10. Taussky, H. H.; Schorr, E.; J. Biol. Chem. 1952, 202, 675.

11. Williams, C. A.; Harborne, J. B.; Mayo, S. J.; Phytochemistry 1981, 20, 217.

12. Leong, A. C. N.; Kinjo, Y.; Tako, M.; Iwasaki, H.; Oku, H.; Tamaki, H.; Food Chem. 2010, 119, 630.

13. Hamilton, M. L.; Kuate, S. P.; Brazier-Hicks, M.; Caulfield, J. C.; Rose, R.; Edwards, R.; Torto, B.; Pickett, J. A.; Hooper, A. M.; Phytochemistry 2012, 84, 169.

14. Oliveira, D. M.; Siqueira, E. P.; Nunes, Y. R. F.; Cota, B. B.; Rev. Bras. Farmacogn. 2013, 23, 614.

15. Colombo, R.; Lanças, F. M.; Yariwake, J. H.; J. Chromatogr. A 2006, 1103, 118.

16. Wijaya, G. Y.; Mares, D. J.; J. Cereal Sci. 2012, 56, 260.

17. Nikolov, N.; DellaMonic, G.; Chopin, J.; Phytochemistry 1981, 20, 2780.

18. Qimin, Li.; van den Heuvel, H.; Delorenzo, O.; Corthout, J.; Pieters, L. A. C.; Vlietinck, A. J.; Claeys, M.; J. Chromatogr. B 1991, 562, 435.

19. Kashyap, C. P.; Arya1, V.; Thakur, N.; Asian Pac. J. Trop. Biomed. 2012, S1194.

20. Vasant, O. K.; Vijay, B. G.; Virbhadrappa, S. R.; Dilip, N. T.; Ramahari, M. V.; Laxamanrao, B. S.; Iran. J. Pharm. Res. 2012, 11, 621.

21. Miroddi, M.; Calapai, G.; Navarra, M.; Minciullo, P. L.; Gangemi, S.; J. Ethnopharmacol. 2013, 150, 791.

22. McDonough, A. A.; Farley, R. A.; Curr. Opin. Nephrol. Hypertens. 1993, 2, 725.

23. Aperia, A.; J. Intern. Med. 2007, 261, 44.

24. Adrogué, J. H.; Madias, N. E.; N. Engl. J. Med. 2007, 356, 19.

25. Panza, J. A.; Quyyumi, A. A.; Brush, J. E. Jr.; Epstein, S. E.; N. Engl. J. Med. 1990, 323, 22.

26. Fujiwara, N.; Osanai, T.; Kamada, T.; Katoh, T.; Takahashi, K.; Okumura, K.; Circulation 2000, 101, 856.

27. Hirano, R.; Sasamoto, W.; Matsumoto, A.; Itakura, H.; Igarashi, O.; Kondo, K.; J. Nutr. Sci. Vitaminol. 2001, 47, 357.

28. Kuriki, Y.; Racker, E.; Biochemistry 1976, 15, 4951.

On-line version ISSN 1678-7064 Printed version ISSN 0100-4042
Qu�mica Nova
Publica��es da Sociedade Brasileira de Qu�mica
Caixa Postal: 26037 05513-970 S�o Paulo - SP
Tel/Fax: +55.11.3032.2299/+55.11.3814.3602
Free access

GN1