JBCS



12:31, sáb out 25

Acesso Aberto/TP



Educação

Catalyzed and non-catalyzed synthesis of bioactive Monastrol

Haline G. O. Alvim; Jose R. Correa; Taynara R. Machado; Wender A. Silva; Brenno A. D. Neto*

Universidade de Brasília, Intituto de Química, Campus Universitário Darcy Ribeiro, 70904-970 Brasília - DF, Brasil

Recebido em 02/04/2014
Aceito em 09/07/2014
Publicado na web em 22/09/2014

Endereço para correspondência

* e-mail: brenno.ipi@gmail.com

RESUMO

The bioactive 3,4-dihydropyrimidin-2(1H)-thione derivative known as Monastrol was synthesized under catalyzed and non-catalyzed conditions through the Biginelli multicomponent reaction under solvent-free conditions. The use of two Lewis acids (FeCl3 and CuCl2) and two Bronsted acids (HCl and CF3COOH) as catalysts improved the reaction yields of the transformation compared with the non-catalyzed reaction. The experiments investigated catalysis and its role, the importance of multicomponent reactions and their green features, and the application of these concepts to the synthesis of a biologically important structure.

Palavras-chave: Monastrol; Biginelli; multicomponent reaction; catalysis.

INTRODUCTION

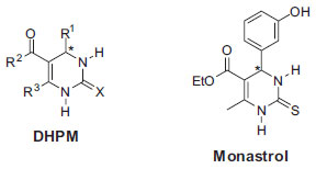
3,4-Dihydropyrimidin-2(1H)-one (or thione) derivatives, also referred to as DHPMs (Figure 1), are an important class of heterocyclic compounds which commonly exhibit interesting biological activity such as calcium channel modulators, adrenergic receptor antagonists, antibacterials, mitotic Kinesin inhibitors, antivirals, and others, as recently reviewed.1,2 Among DHPMs, Monastrol (Figure 1) is found in a prominent position.3 Of considerable interest is the antitumoral activity described for racemic Monastrol and other racemic DHPMs.4-7 Some evidence supports a mechanism of Monastrol action by which this DHPM derivative weakens the interaction of the motor kinesin Eg5 and the mitotic machinery target tubulin,8 therefore acting as a kinesin spindle protein inhibitor.9 Indeed, Monastrol has been considered to be a promising lead compound since its identification.10

 


Figure 1. General structure of a 3,4-dihydropyrimidin-2(1H)-one (or thione) derivative (DHPM, left) and the biologically active DHPM known as Monastrol (right). Note X = O or S

 

Because of the importance of DHPMs, several new methodologies have recently been developed for the synthesis of Monastrol and derivatives, as reviewed.11 The most useful and elegant methodology currently applied for DHPM syntheses is the Biginelli multicomponent reaction (MCR). Discovered in 1891 by Pietro Biginelli,12 in the last two decades this important MCR has experienced exponential growth in significance because of its paramount importance in never-ending biologically active compound syntheses and discovery.2,13 The Biginelli reaction,3,14-16 which is usually applied for direct access of Monastrol (Scheme 1) and derivatives,17-21 as a class of MCR, has many advantages over traditional synthetic methodologies.22 From the viewpoint of eco-friendly and sustainable conditions, for instance, MCRs have the advantage of multi-reagents brought together in a one-pot version, thus avoiding waste from multi-step purifications and residue generation. Moreover, MCR adducts incorporate in their structures almost all atoms from the reagents (atom efficiency), and water is the common by-product.

 


Scheme 1. Biginelli reaction applied in the synthesis of bioactive (+/-)-Monastrol. Note that the reaction can be performed in the presence or in the absence of a catalyst and also under solvent-free conditions

 

To improve yields, reaction times, selectivities and to minimize reagent excesses, by-product formation, high temperatures, environmental pollution, waste and cost in the Biginelli synthesis, catalysis proved to be an unsurpassed tool,23 especially in achieving strategies to approach eco-friendly catalytic conditions for further use in the renewable chemical industry.24 Indeed, catalysis has a fundamental role in the Biginelli synthesis, as very recently discussed.25

It is noteworthy that Monastrol is a DHPM of paramount importance and that its synthesis using the Biginelli reaction has many attractive features for teaching and learning chemistry,26 especially for advanced college students.27 For these reasons, we describe a simple and convenient experiment for the synthesis of Monastrol using the Biginelli MCR highlighting the importance and role of catalysis towards a more environmentally acceptable methodology. This experiment has been incorporated/tested in a final-year undergraduate organic laboratory with 6 h of laboratory work per week, and a typical enrollment of 16 students (maximum) per class. Associated lectures aimed to cover concepts of MCRs, catalysis, kinetics and green chemistry therefore connecting theoretical principles with their practical experiences. The medicinal/biological relevance of Monastrol is very appealing for laboratory practice and proved to increase class interest considerably.

 

EXPERIMENTAL

General

The Monastrol synthesis experiment is appropriate for undergraduate students currently learning advanced organic chemistry (advanced college students). The overall experiment requires two sessions of 6 h (including associated lectures). Thiourea and 3-hydroxybenzaldehyde were used as obtained from the manufacturer. Ethyl acetoacetate was distilled before the experiment and was provided ready for the students' use. Important! It is recommended that the experiments be performed in well-ventilated fume hoods. All reagents are irritants, so nitrile-type protective gloves must be put on when handling these compounds. Care is needed in handling liquid nitrogen, because it may cause severe cold burns in contact with skin. When operating vacuum pumps care is also necessary. Ethanol is flammable and toxic if swallowed. The Bronsted acids cause burns and are irritating to the respiratory system. The Lewis acids are toxic by ingestion or inhalation. Appropriate safety goggles, gloves, and laboratory coats should be worn during all the experiment time period. Additional details are described in the supplementary material.

Synthesis of Monastrol

To a round-bottomed flask (10 mL), equipped with reflux condenser, thiourea (1.00 mmol, 76 mg), 3-hydroxybenzaldehyde (1.00 mmol, 122 mg) and ethyl acetoacetate (1.00 mmol, 130 mg) are added. The catalyst (when required) is then added (10 mol%). The mixture is heated for 4 h at 80 ºC under stirring. Five different reaction conditions are therefore evaluated: (i) non-catalyzed reaction; (ii) FeCl3 (Lewis acid) as the catalyst; (iii) CuCl2 (Lewis acid) as the catalyst; (iv) HCl (Bronsted acid) as the catalyst; (v) CF3CO2H (TFA, Bronsted acid) as the catalyst. After the reaction time is complete (4 h), 13 mL of a mixture of H2O:EtOH (8 mL and 5 mL, respectively) was added at once and stirred at 80 ºC until total dissolution. The solution is then allowed to cool and rest for three days inside the fume hood. A precipitate forms and the mixture is filtered, and then washed with cold water to remove the unreacted reagents and the catalyst, after which it is dried under vacuum. The following yields are obtained: 40% (no catalyst), 93% (FeCl3), 95% (CuCl2), 63% (HCl), 86% (TFA). All yields expressed here were obtained by two skilled graduate students, and in the laboratory classes, yields obtained by the undergraduate students are usually lower (typically 10-25% less), but they work to discuss the role of catalysis in the Biginelli synthesis of Monastrol.

Ethyl-6-methyl-4-(3-hydroxyphenyl)-2-thioxo-1,2,3,4-tetrahydropyrimidine-5-carboxylate (Monastrol): 1H NMR (DMSO-d6, 300 MHz, δ ppm): 10.28 (s, 1H); 9.59 (s, 1H); 9.44 (s, 1H); 7.09 (t, 1H; J = 7.9 Hz); 6.65 (m, 3H); 5.09 (d, 1H, J = 2.7 Hz); 3.98 (q, 2H, J = 6.7 Hz); 2.27 (s, 3H), and 1.08 (t, 3H, J = 6.9 Hz). 13C NMR (DMSO-d6, 75 MHz, δ ppm): 174.6, 165.6, 157.9, 145.3, 145.2, 129.9, 117.5, 115.0, 113.7, 101.2, 60.5, 54.4, 17.6, and 14.4. FT-IR (KBr, cm-1): 3304, 3179, 3109, 2982, 1662, 1573, 1479, 1375, 1293, 1196, 1117, and 747. Yellow solid, m.p. 180-181 ºC.

 

RESULTS AND DISCUSSION

The current experiment aims to bring advanced undergraduate students closer to contemporary research with an emphasis on catalysis and green chemistry approach. The experiment with five different conditions, including a non-catalyzed version of the Biginelli reaction, allows the student to realize the importance of catalysis and its role. The experiment requires water and ethanol to purify the final product, thus reinforcing the concept of green chemistry also in the purification steps rather than only during the synthesis. The syntheses are carried out in solvent-free versions, which is also a desired feature of green chemistry in the synthesis of DHPMs.14 Two Lewis and two Bronsted acids were used as catalysts, allowing a comparison and discussion on the differences between those two types of catalyst. Additional literature is suggested to provide the bases for the discussion regarding the catalyst effect and the Biginelli mechanism (see the three most accepted mechanisms in Scheme S1 in the supplementary material).28-30 Considering the characteristics of MCRs, the advanced undergraduate class is also prompted to consider concepts of atom economy based on the Biginelli reaction framework. It is worth remembering that the only byproduct from this MCR condensation is water (two molecules).

From the theoretical lessons prior to the laboratory experiment, the students received information from the literature describing Monastrol synthesis under several conditions, e.g. higher temperatures, different solvents, expensive catalyst and others (see the cited reviews). This information allowed comparison with their own experiments, thereby reinforcing the importance of a greener approach in modern synthesis and catalysis. Moreover, the class is able to compare the synthesis under catalyzed and non-catalyzed versions, thus highlighting the importance of catalysis, which is crucial for the depth of knowledge during discussions of the mechanism.25

During the experiment evaluation, students are urged to think about the limitations of the current methodology they applied in the synthesis of Monastrol. For instance, the methodology described does not allow the catalysts tested to be efficiently recycled. The Lewis acids used are cheap, but they are not recycled, and the Bronsted acids are not as efficient as the Lewis acids. Moreover, the reaction with TFA turns dark, indicating partial decomposition of the reagents.31

Finally, only for illustrative purposes, a picture (Figure 2) of breast cancer cells (MCF-7) is shown under the action of Monastrol and in the absence of it (negative control). Figure 2 also allows the students to understand the origin of the name Monastrol. Figure 2 is part of original results from our research group and it is provided here for didactic purposes.

 


Figure 2. (Left) MCF-7 cells (breast cancer cells) treated with bioactive Monastrol shows a metaphase/anaphase transition abrogated. (Right) Untreated MCF-7 cells (negative control) with normal bipolar spindle. The blue color is the nucleus DNA stained with the commercially available DNA marker DAPI. The green color is immunofluorescence staining of α-tubulin proteins. Noteworthy that the name Monastrol is derived from the persistent "monoastral" noted for cells treated with the biologically active DHPM. Monastrol causes monoastral spindles in mitotic cells. These pictures were obtained under a LASER scanning confocal microscope and illustrate the action and importance of Monastrol as an antitumoral agent

 

In the supplementary file (Figure 1S), all the pictures are shown of Monastrol's effect and in the absence of the bioactive DHPM (negative control). During cell division, replicated DNA is segregated into two daughter cells by a bipolar spindle (see Figure 2, right). The sister chromatids must be detached from one other and pulled by the cytoskeleton elements in order for each chromatid set to reach the polar localization in the cell.32 This process depends on the chromosomes being attached to the microtubule bundles, such that each sister kinetochore is also attached to opposite poles of a bipolar spindle. This process is denominated amphitelic attachment.33 In the presence of Eg5 kinesin inhibitor Monastrol, disruption of the bipolar mitotic spindles takes place in mammalian cells, preventing the spindle poles from separating. The monoastral spindles have most of their chromosomes in the syntelic configuration, with both sister chromatids attached by their kinetochores to the unseparated spindle pole.34 Considering that Monastrol action sustains the "monoastral" configuration, it is now possible to understand the name "Monastrol". Briefly, Monastrol inhibits the activities driving centrosome separation in the cancer cells,35 and monoastral spindle phenotypes are produced because of these unseparated centrosomes in the microtubule organization.

 

CONCLUSIONS

In summary, we have described a laboratory experiment for advanced undergraduate students emphasizing the role of catalysis and green features of MCRs. The experiment produces a biologically active and important antitumoral DHPM (Monastrol) applying the Biginelli synthesis, thus increasing the audience's interest in the experiment. Several emphases can be highlighted for the current experiment:

(i) The importance and green features of MCRs;

(ii) The importance and role of catalysis for MCRs;

(iii) The importance of bioactive DHPMs;

(iv) Mechanistic discussions of MCRs, especially for the Biginelli reaction, and the role of the catalyst for the mechanisms.

(v) The interface between chemistry and biology as well as its paramount importance.

The current experiment may seem trivial to experts, but it is of vital importance for undergraduate students. The opportunities for teaching and learning during this experiment are outstanding and certainly work in improving the knowledge of synthesis, catalysis, and green chemistry. Furthermore, the experiment also fosters the students' interest in chemical biology and, at the same time, discloses the importance of works on the interface between chemistry and biology.

 

SUPPLEMENTARY MATERIAL

Biginelli reaction background, mechanisms, pictures of Monastrol action in breast cancer cells, IR and NMR spectra of Monastrol, proposed questions to be discussed and brief answers. This material is available free of charge via the Internet at http://quimicanova.sbq.org.br, as a PDF file.

 

ACKNOWLEDGEMENTS

Authors acknowledge CAPES, CNPq, FINATEC, FAPDF, FAPESP, Petrobras, and DPP-UnB for partial financial support. B.A.D. Neto also thanks INCT-Catalysis and CNPq for research fellowship.

 

REFERENCES

1. Domling, A.; Wang, W.; Wang, K.; Chem. Rev. 2012, 112, 3083.

2. Slobbe, P.; Ruijter, E.; Orru, R. V. A.; Med. Chem. Commun. 2012, 3, 1189.

3. Coleman, W. F.; J. Chem. Educ. 2009, 86, 768.

4. Ramos, L. M.; Guido, B. C.; Nobrega, C. C.; Corrêa, J. R.; Silva, R. G.; de Oliveira, H. C. B.; Gomes, A. F.; Gozzo, F. C.; Neto, B. A. D.; Chem.-Eur. J. 2013, 19, 4156.

5. Crespo, A.; El Maatougui, A.; Biagini, P.; Azuaje, J.; Coelho, A.; Brea, J.; Loza, M. I.; Cadavid, M. I.; García-Mera, X.; Gutiérrez-de-Terán, H.; Sotelo, E.; ACS Med. Chem. Lett. 2013, 4, 1031.

6. Kappe, C. O.; Eur. J. Med. Chem. 2000, 35, 1043.

7. Canto, R. F. S.; Bernardi, A.; Battastini, A. M. O.; Russowsky, D.; Eifler-Lima, V. L.; J. Braz. Chem. Soc. 2011, 22, 1379.

8. Krzysiak, T. C.; Wendt, T.; Sproul, L. R.; Tittmann, P.; Gross, H.; Gilbert, S. P.; Hoenger, A.; EMBO J. 2006, 25, 2263.

9. Kamal, A.; Azeeza, S.; Bharathi, E. V.; Malik, M. S.; Shetti, R.; Mini- Rev. Med. Chem. 2010, 10, 405.

10. Mayer, T. U.; Kapoor, T. M.; Haggarty, S. J.; King, R. W.; Schreiber, S. L.; Mitchison, T. J.; Science 1999, 286, 971.

11. Climent, M. J.; Corma, A.; Iborra, S.; RSC Adv. 2012, 2, 16.

12. Tron, G. C.; Minassi, A.; Appendino, G.; Eur. J. Org. Chem. 2011, 5541.

13. Biggs-Houck, J. E.; Younai, A.; Shaw, J. T.; Curr. Opin. Chem. Biol. 2010, 14, 371.

14. Aktoudianakis, E.; Chan, E.; Edward, A. R.; Jarosz, I.; Lee, V.; Mui, L.; Thatipamala, S. S.; Dicks, A. P.; J. Chem. Educ. 2009, 86, 730.

15. Holden, M. S.; Crouch, R. D.; J. Chem. Educ. 2001, 78, 1104.

16. Wegner, J.; Ceylan, S.; Kirschning, A.; Adv. Synth. Catal. 2012, 354, 17.

17. Sashidhara, K. V.; Avula, S. R.; Sharma, K.; Palnati, G. R.; Bathula, S. R.; Eur. J. Med. Chem. 2013, 60, 120.

18. Blasco, M. A.; Thumann, S.; Wittmann, J.; Giannis, A.; Groger, H.; Bioorg. Med. Chem. Lett. 2010, 20, 4679.

19. Dallinger, D.; Kappe, C. O.; Nat. Protoc. 2007, 2, 317.

20. Russowsky, D.; Canto, R. F. S.; Sanches, S. A. A.; D'Oca, M. G. M.; de Fatima, A.; Pilli, R. A.; Kohn, L. K.; Antonio, M. A.; de Carvalho, J. E.; Bioorg. Chem. 2006, 34, 173.

21. Godoi, M. N.; Costenaro, H. S.; Kramer, E.; Machado, P. S.; Montes D'Oca, M. G.; Russowsky, D.; Quim. Nova 2005, 28, 1010.

22. Brauch, S.; van Berkel, S. S.; Westermann, B.; Chem. Soc. Rev. 2013, 42, 4948.

23. Sheldon, R. A.; Chem. Soc. Rev. 2012, 41, 1437.

24. Dapsens, P. Y.; Mondelli, C.; Perez-Ramirez, J.; ACS Catal. 2012, 2, 1487.

25. Alvim, H. G. O.; Lima, T. B.; de Oliveira, A. L.; de Oliveira, H. C. B.; Silva, F. M.; Gozzo, F. C.; Souza, R. Y.; da Silva, W. A.; Neto, B. A. D.; J. Org. Chem. 2014, 79, 3383.

26. Damkaci, F.; Szymaniak, A.; J. Chem. Educ. 2014, 91, 943.

27. Marques, M. V.; Bisol, T. B.; Sa, M. M.; Quim. Nova 2012, 35, 1696.

28. Ramos, L. M.; Tobio, A.; dos Santos, M. R.; de Oliveira, H. C. B.; Gomes, A. F.; Gozzo, F. C.; de Oliveira, A. L.; Neto, B. A. D.; J. Org. Chem. 2012, 77, 10184.

29. De Souza, R.; da Penha, E. T.; Milagre, H. M. S.; Garden, S. J.; Esteves, P. M.; Eberlin, M. N.; Antunes, O. A. C.; Chem.-Eur. J. 2009, 15, 9799.

30. Shen, Z. L.; Xu, X. P.; Ji, S. J.; J. Org. Chem. 2010, 75, 1162.

31. Alvim, H. G. O.; de Lima, T. B.; de Oliveira, H. C. B.; Gozzo, F. C.; de Macedo, J. L.; Abdelnur, P. V.; Silva, W. A.; Neto, B. A. D.; ACS Catal. 2013, 3, 1420.

32. Inoue, S.; Salmon, E. D.; Mol. Biol. Cell 1995, 6, 1619.

33. Walczak, C. E.; Cai, S.; Khodjakov, A.; Nat. Rev. Mol. Cell Biol. 2010, 11, 91.

34. Kapoor, T. M.; Mayer, T. U.; Coughlin, M. L.; Mitchison, T. J.; J. Cell Biol. 2000, 150, 975.

35. Heck, M. M. S.; Pereira, A.; Pesavento, P.; Yannoni, Y.; Spradling, A. C.; Goldstein, L. S. B.; J. Cell Biol. 1993, 123, 665.

On-line version ISSN 1678-7064 Printed version ISSN 0100-4042
Qu�mica Nova
Publica��es da Sociedade Brasileira de Qu�mica
Caixa Postal: 26037 05513-970 S�o Paulo - SP
Tel/Fax: +55.11.3032.2299/+55.11.3814.3602
Free access

GN1