JBCS



15:07, sáb out 25

Acesso Aberto/TP



Artigo


Esterificação e transesterificação simultâneas de óleos ácidos utilizando carboxilatos lamelares de zinco como catalisadores bifuncionais
Simultaneous esterification and transesterification of acid oils using layered zinc carboxylates as bifunctional catalysts

Luiz Pereira RamosI,II,*; Ricardo José BrugnagoI; Fabiano Rosa da SilvaI; Claudiney Soares CordeiroI,II; Fernando WypychI

IDepartamento de Química, Universidade Federal do Paraná, CP 19081, 81531-980 Curitiba - PR, Brasil
IIDepartamento de Química, Instituto Nacional de Ciência e Tecnologia em Energia & Ambiente, Universidade Federal do Paraná, Curitiba - PR, Brasil

Recebido em 24/04/2014
Aceito em 19/08/2014
Publicado na web em 08/10/2014

Endereço para correspondência

*e-mail: luiz.ramos@ufpr.br

RESUMO

Palm oil containing 40% fatty acids was converted to methyl esters using zinc carboxylates as the esterification/transesterification catalyst. The reaction was optimized using a factorial design in which the effects of the alcohol:fatty acids molar ratio (MRAG) and the catalyst concentration (CAT) were assessed. The best conversion was achieved with CAT at 4 wt% and MRAG at 4:1. However, the solid catalyst presented significant structural changes after use. For instance, laurate anions were replaced by carboxylates of higher molecular mass, leading to the formation of a new catalytically active layered structure. Also, the glycerin obtained as a co-product contained 86 wt% glycerol.

Palavras-chave: zinc carboxylates; acid oils; methyl esters.

INTRODUÇÃO

Muitas classes de compostos químicos têm sido testadas como catalisadores heterogêneos bifuncionais para a produção de ésteres graxos (biodiesel) por processos de esterificação e transesterificação. Entre as principais encontram-se resinas de troca iônica,1-3 zeólitas,4,5 óxidos metálicos,6-9 líquidos iônicos,10,11 complexos orgânicos,12,13 sólidos ácidos derivados da pirólise de carboidratos,14 e sais de metais de transição,15,16 dentre outros.

Carboxilatos metálicos também têm sido empregados com sucesso em reações simultâneas de esterificação e de transesterificação.17-19 Jacobson et al. utilizaram estearato de zinco imobilizado em sílica como catalisador heterogêneo para a alcoólise de óleo de fritura com acidez de 15%.20 O ponto de maior conversão da metanólise (98%) se deu a 200 ºC sob uma pressão de N2 de 40 bar, razão molar metanol:ácidos graxos (RMAG) de 18:1, 3% de catalisador por 10 h de reação. O catalisador pode ser reciclado e utilizado por diversas vezes sem perda mensurável de eficiência catalítica.

Cordeiro et al.17 sintetizaram monoésteres etílicos e metílicos a partir de ácido láurico comercial e monoésteres metílicos a partir do óleo de palma refinado empregando hidroxinitrato de zinco (HNZ, Zn5(OH)8(NO3)2.2H2O) como catalisador heterogêneo. Após a recuperação do sólido em quaisquer das condições experimentais testadas nas reações de esterificação, foi observado que o HNZ se transformou em carboxilato de zinco e que, após a síntese deste mesmo carboxilato pelo método da coprecipitação, este se comportou como um eficiente catalisador da reação, propiciando inclusive vários ciclos sequenciais de reuso.

Vários carboxilatos lamelares, dentre os quais os lauratos de cobre, níquel, cobalto, ferro, manganês, estanho e lantânio, foram testados por Lisboa et al.19 em reações de esterificação metílica do ácido láurico. Todos os catalisadores foram ativos e, alguns destes, reutilizáveis por alguns ciclos de reação, permitindo a obtenção de até 90,5% de conversão do ácido láurico em laurato de metila.

Recentemente, diferentes carboxilatos de zinco (Zn(CnH2n+1COO)2, com n igual a 1, 11, 15 e 17, foram utilizados na alcoólise de óleo de soja e na esterificação de ácido oleico.21 Na metanólise do óleo de soja a 100 ºC por 2 h com RM de 30:1 e 3% de catalisador foram obtidas conversões entre 88 e 94%, com rendimentos entre 71 e 74%, respectivamente. Por outro lado, conversões entre 60 e 80% foram obtidas na esterificação metílica do ácido oleico, empregando 140 ºC, RM de 1:30 e 6% de catalisador.

No presente trabalho foi realizada a pré-otimização das reações simultâneas de esterificação e transesterificação de amostras acidificadas de óleo de palma, empregando carboxilatos de zinco como catalisador. Esta escolha foi atribuída aos conhecimentos pré-existentes sobre as propriedades deste catalisador, assim como ao seu desempenho satisfatório em reações de esterificação do ácido láurico e de transesterificação do óleo de palma. Além disto, o zinco pode ser considerado um metal de baixo custo, não corrosivo, com baixa toxicidade e grande facilidade no manuseio.19

 

PARTE EXPERIMENTAL

Caracterização da matéria-prima

As matérias-primas utilizadas neste trabalho foram o óleo de palma refinado (OPR -Agropalma, PA, Brasil) e uma amostra comercial de ácidos graxos (MAGI - Synth, SP, Brasil), além de uma mistura contendo 60% de OPR e 40% de MAGI, doravante denominada mistura AGOP. A composição em ácidos graxos das matérias-primas foi determinada pelo método Ce-1F-96 da American Oil Chemists' Society (AOCS). Neste método, os materiais são convertidos em ésteres metílicos utilizando BF3 como catalisador, sendo então analisados quantitativamente por cromatografia de fase gasosa (CG).

O OPR também foi caracterizado em relação às suas principais propriedades físicas e químicas. A acidez dos reagentes, bem como dos produtos de esterificação, foi medida pela norma da AOCS Ca-5a-40 por meio de titulação da amostra com solução padronizada de NaOH 0,1 mol L-1. A densidade do OPR foi medida diretamente por meio da inserção de um densímetro Incoterm® (escala entre 0,900 e 0,950 g mL-1) em uma proveta preenchida com a amostra a 25 ºC, cuja temperatura foi controlada por banho termostático. O índice de saponificação foi determinado pelo método AOCS Cd-3-25. Neste, uma amostra de OPR é aquecida com solução de KOH a 4,0% (m m-1) e posteriormente titulada com uma solução de HCl 0,5 mol L-1.

Síntese e caracterização dos carboxilatos de zinco

O laurato de zinco (LZ) foi sintetizado conforme Barman e Vasudevan22 pelo método da coprecipitação. A caracterização dos carboxilatos produzidos foi inicialmente realizada em um difratômetro Shimadzu® XRD-6000 em modo de reflexão, com radiação CuKα (λ de 1,5418 Å) de 40 kV e 30 mA no intervalo de 3 a 60 º de 2θ e passo de 2 ºmin-1.

A análise por espectrometria no infravermelho com transformada de Fourier (FTIR) foi realizada em espectrômetro Bomem Michelson® MB1000, em modo de transmissão, na faixa de 4000 a 400 cm-1, resolução de 4,0 cm-1 e acumulação de 32 varreduras em cada análise. As amostras foram analisadas em pastilhas de KBr espectroscópico na concentração de 1% (m m-1) da amostra de interesse.

As medidas de análise térmica foram realizadas em equipamento Mettler-Toledo® TG/DTA 851 sob fluxo de oxigênio de 50 mL min-1, usando cadinhos de platina e taxa de aquecimento de 10 ºC min-1 na faixa de 30 a 1000 ºC.

Reações de esterificação e transesterificação simultâneas

As reações foram realizadas em reator de aço inox Cyclone Büchiglasuster modelo miniclave drive (Büchi®, Suíça), com a pressão interna correspondendo à pressão de vapor do álcool na temperatura de reação. Inicialmente, o volume de álcool (metanol ou etanol) foi adicionado ao material graxo, na proporção molar desejada, seguido da adição do LZ em porcentagem mássica relativa à massa de material graxo. O sistema foi então aquecido até a temperatura desejada, momento em que se iniciou a contagem do tempo, e esta foi mantida constante durante todo o intervalo. Após 2 h a reação foi interrompida e o meio de reação foi resfriado até 50 ºC. O álcool utilizado em excesso foi retirado do meio por destilação sob pressão reduzida e a separação da fração de ésteres, do catalisador e da glicerina foi efetuada por centrifugação.

Estudos preliminares de otimização foram realizados exclusivamente com metanol. O efeito das variáveis RMAG e CAT (percentual de LZ em relação à massa de material lipídico) foi testado segundo um planejamento fatorial (PF) 22 com projeção em estrela e três replicatas no ponto central, tendo-se como níveis mínimos (-) e máximos (+) destas variáveis os valores de 6:1 e 10:1 e de 2 e 6% (m·m-1), respectivamente (Tabela 1).

 

 

A análise estatística dos dados de conversão do PF foi ajustada a um modelo quadrático, que foi então submetido a uma análise de variância (ANOVA) em um nível de confiança de 95%. A regressão e a falta de ajuste do modelo foram calculadas comparando-se as razões entre as médias quadráticas da regressão e do resíduo (MQR/MQr) e da falta de ajuste e do erro puro (MQfaj/MQep) com os respectivos valores tabelados de Fisher, Fp-1 e Fm-p,n-m, sendo que p é igual ao número de parâmetros dos modelos, Σni corresponde ao número total de observações e m é igual ao número de níveis. Quanto maior MQR/MQr, mais significativo e quanto menor MQfaj/MQep, menor a falta de ajuste para o modelo.23

A eficiência catalítica dos carboxilatos de zinco foi medida pelo número de turnover (TON), que representa o número de ciclos que um catalisador pode realizar antes de ser desativado, e pela frequência da atividade catalítica, denominada turnover frequency (TOF), que representa o número de moléculas de ésteres formados por unidade de tempo em relação ao número total de átomos da espécie catalítica (ou seja, átomos de zinco).24 Neste sentido, o teor de zinco dos sólidos catalíticos foi calculado a partir dos resultados de análise térmica, assumindo que a totalidade de seu resíduo fixo correspondia ao óxido de zinco (ZnO).

Experimentos adicionais também foram conduzidos no ponto central do PF (RMAG de 8:1 e 4% (m m-1) de CAT), empregando reagentes com diferentes teores de umidade e tanto metanol quanto etanol como álcool reagente.

Caracterização e quantificação dos ésteres formados nas reações

Os produtos das reações foram inicialmente analisados pelo método AOCS Ca-5a-40 para determinação do índice de acidez e, posteriormente, por cromatografia de exclusão por tamanho (CE). A conversão percentual em monoésteres, decorrente exclusivamente das reações de esterificação, foi calculada pela razão entre a queda de acidez promovida pela reação e a acidez inicial do material de origem. Em ambos os casos, a acidez foi expressa em gramas de ácido oleico por 100 g de amostra.

As análises por CE foram utilizadas para quantificar a conversão total em monoésteres obtida na reação. Os ensaios foram realizados em um aparelho Waters® modelo 1515, utilizando uma coluna Progel TSK (1000 e 2000 HXL, 30 cm x 7,8 mm) mantida a 45 ºC e eluída com tetraidrofurano (THF) a uma vazão de 0,8 mL min-1. A análise quantitativa foi realizada por padronização externa com base em soluções de trioleína (1,2,3-tri-[(cis)-9-octadecenoil]-glicerol), dioleína (1,3-di-[(cis)-9-octadecenoil]-glicerol), monoleína (1-mono-[(cis)-9-octadecenoil]-rac-glicerol) e de oleato de metila.16 As medidas obtidas permitiram a determinação da conversão total relativa à esterificação e transesterificação simultâneas, sendo que a conversão relativa à transesterificação foi obtida pela subtração entre a conversão total e aquela relativa à esterificação.

A glicerina produzida a partir das reações de transesterificação foi analisada em sistema Shimadzu® LC10AD, provido de amostrador automático e sistema de detecção por refratometria diferencial. Alíquotas do meio de reação foram inicialmente particionadas em água e a fração aquosa foi analisada em coluna de troca iônica Aminex HPX-87H (Bio-Rad®), precedida por pré-coluna Cátion-H e eluída a 65 ºC com H2SO4 8 mmol L-1 a uma vazão de 0,6 mL min-1.

Em todas as análises cromatográficas realizadas neste estudo, a quantificação dos analitos foi efetuada por padronização externa, empregando padrões verdadeiros em seis concentrações distintas para a construção das curvas de calibração.

Os monoésteres produzidos foram ainda analisados por espectrometria de absorção atômica para avaliação da eventual lixiviação de espécies catalíticas para o produto da reação. O procedimento de abertura de amostra foi realizado a partir de uma mistura contendo 3 g de monoésteres, 2 mL de H2O2 35% e 10 mL de HCl concentrado (36%, vol vol-1).25,26 Esta mistura foi aquecida a 90 ºC em um Becker de teflon sob agitação magnética por 30 min, com posterior resfriamento até temperatura ambiente e centrifugação a 4800 rpm por 5 min para induzir a separação das fases. A fase ácida foi coletada e a camada orgânica submetida a uma nova extração com 8 mL de água quente por 10 min. Então, as amostras foram levadas a um balão de 20 mL, que foi aferido com água ultrapura para análise por espectrometria de absorção atômica.

As análises foram realizadas em um espectrofotômetro de absorção atômica de duplo feixe Varian® Spectraa 100-200 com fluxo de acetileno. A faixa de comprimento de onda foi fixada em 213,9 nm com resolução 0,1 mg L-1 e a curva de padronização externa foi realizada em concentrações de Zn+2 de 1,0 a 5,0 mg L-1.

Determinação da composição química dos catalisadores após a reação

Os catalisadores foram recuperados por centrifugação após o término da reação e a composição química destes sólidos foi realizada de acordo com o procedimento descrito por Dugo et al.25,26 Após este procedimento, a fase orgânica foi seca com Na2SO4 anidro, filtrada e analisada por CG pelo método AOCS Ce-1F-96 para determinação de sua composição em ácidos graxos.

 

RESULTADOS E DISCUSSÃO

Caracterização das matérias-primas

O OPR empregado neste estudo apresentou índice de saponificação de 196,2 mg KOH g-1 de amostra, densidade a 25 ºC de 0,9 g mL-1 e acidez de 0,3 mg KOH g-1 (ou 0,2% em relação ao ácido oleico). A massa molar (MM) média dos triacilgliceróis presentes no OPR, calculada a partir de seu índice de saponificação, correspondeu a um valor de 857,7 g mol-1. Considerando que 3 mols de ácidos graxos livres e 1 mol de glicerina são gerados pela hidrólise de 1 mol de triacilglicerol, a MM média dos ácidos graxos presentes no OPR foi estimada em 273,2 g mol-1.

A composição química da MAGI foi determinada por cromatografia de fase gasosa e o resultado desta análise, registrado na Tabela 2, foi utilizado para calcular a média ponderada das MMs dos principais ácidos graxos presentes na mistura. O valor obtido, de 250,1 g mol-1, foi então empregado, juntamente com a MM média do OPR, para o cálculo da média ponderada da MM dos ácidos graxos da mistura AGOP (60% de OPR e 40% da MAGI). O resultado deste cálculo gerou uma MM média de 263,9 g mol-1, valor utilizado para determinação das razões molares empregadas nas reações simultâneas de esterificação e de transesterificação. A acidez da AGOP, determinada pelo método titulométrico, correspondeu a 41,6%.

 

 

Esterificação e transesterificação metílicas do óleo de palma acidificado

Inicialmente, um PF 22 foi executado na tentativa de se modelar o sistema linearmente, mas o modelo gerado não atendeu aos pré-requisitos da análise de variância (ANOVA), fornecendo uma regressão não significativa bem como uma grande falta de ajuste para qualquer uma das conversões em questão (de esterificação, de transesterificação e conversão total). Para validar este modelo, foi necessário estender os experimentos para um PF 22 com projeção em estrela, de acordo com o exposto na Tabela 3. As triplicatas realizadas no ponto central deste planejamento (M9, M10 e M11) indicaram a boa repetibilidade dos resultados obtidos, já que estas apresentaram um desvio padrão de 0,15% em relação à esterificação, 2% em relação à transesterificação e 1,2% em relação à conversão total.

 

 

A análise dos resultados relativos à esterificação revela que, em RMAG de 6:1, o aumento da concentração de CAT de 2 (M1) para 6% (M2) exerceu um efeito positivo sobre a conversão de aproximadamente 3 pontos percentuais (p.p.), o que está de acordo com o efeito positivo de primeira ordem para CAT (0,9 ± 0,3 p.p.). No entanto, o mesmo padrão não foi verificado em valores maiores de RMAG (10:1), nos quais o aumento da CAT exerceu um efeito negativo sobre a taxa de conversão devido ao sistema ter atingido o limite de conversão máxima para a esterificação (M3 e M4).

Similarmente, quando utilizados menores valores de CAT (2%), o aumento da RMAG de 6:1 (M1) para 10:1 (M3) propiciou um acréscimo na conversão de 3,4 p.p., estando de acordo com o efeito de 1,1 ± 0,3 p.p. para a RMAG. Em contrapartida, sob valores maiores de CAT (6%), o aumento da RMAG foi responsável por um decréscimo de 1,1 p.p. na conversão, reforçando a hipótese de que o sistema já tinha atingido o valor limite de esterificação. Foi também constatada a ocorrência de um efeito negativo de segunda ordem, de -2,2 ± 0,3 p.p., sugerindo que o aumento simultâneo destas duas variáveis não resulta no aumento previsível a partir da somatória dos efeitos isolados de primeira ordem.

Em relação à conversão de transesterificação, verifica-se que quando a concentração de catalisador (CAT) foi fixada em 2%, o aumento da RMAG (M1 vs. M3) resultou em um acréscimo na conversão de 12,7 p.p. e, para valores de 6% de CAT, este aumento foi de 7,2 p.p. (M2 vs. M4), o que está de acordo com o efeito de primeira ordem desta variável (10,6 ± 2,0 p.p.). Por outro lado, em RMAG menores, o acréscimo de CAT aumentou a conversão em 13,4 p.p. (M1 vs. M2) e, em RMAG superiores (M3 vs. M4), este aumento foi de 7,9 p.p., o que também está de acordo com o seu efeito de primeira ordem (9,9 ± 2,0 p.p.).

Em compensação, quando as variáveis CAT e RMAG foram aumentadas concomitantemente, constatou-se um efeito negativo de segunda ordem (-2,7 ± 2,0 p.p.). Sendo assim, mesmo que o ponto de maior conversão tenha sido atingido no vértice do planejamento fatorial, o valor observado não foi proporcional ao aumento sugerido pela somatória dos efeitos de primeira ordem destas duas variáveis.

A análise dos dados ainda revelou que, com 2% de catalisador, o aumento da RMAG resultou em um acréscimo de 7,4 p.p. no valor de conversão total e que, ao ajustar CAT em 6%, tal aumento foi de apenas 3,8 p.p.. Esta tendência foi justificada pela importância do efeito de primeira ordem de RMAG (9,9 ± 1,2 p.p.). Já em RMAG de 6:1 e 10:1, o aumento de CAT também ocasionou aumentos de 7,8 e 4,2 p.p. na conversão, confirmando o resultado obtido para o seu efeito primário de 6,2 ± 1,2 p.p.. Novamente, o efeito de segunda ordem entre CAT e RMAG foi negativo e, mesmo que minimamente significativo (-1,6 ± 1,2 p.p.), foi suficiente para facultar um aumento não proporcional à somatória do efeito primário destas duas variáveis.

Os dados de conversão descritos acima foram então ajustados a um modelo quadrático cuja análise estatística foi considerada satisfatória por apresentar regressões lineares elevadas e pequena falta de ajuste frente aos valores tabelados de F de Fisher em um nível de confiança de 95%. Resultados de variância máxima explicada de 92% foram obtidos tanto para a transesterificação quanto para a conversão total e os fatores de regressão foram considerados significativos em relação aos resíduos. A falta de ajuste em relação ao erro puro também foi aceitável dentre os dados de análise de variância (ANOVA), com uma boa dispersão dos resíduos em relação às respostas previstas, caracterizando que o modelo não foi tendencioso. Assim, os resultados da análise estatística possibilitaram a construção das superfícies de resposta (SDR) que estão apresentadas na Figura 1.

 


Figura 1. Superfície de resposta relativa às conversoes (A) por transesterificaçao e (B) por esterificaçao e transesterificaçao (conversao total) do óleo de palma acidificado (AGOP) em ésteres metílicos, utilizando laurato de zinco (LZ) como catalisador

 

O aspecto não-linear das superfícies de resposta (Figura 1) confirma os efeitos de segunda ordem entre as variáveis, deixando claro que, tanto para a transesterificação quanto para a conversão total, houve a definição de uma ampla região em que várias combinações entre RMAG e CAT permitiram a obtenção de conversões elevadas. Nas regiões ótimas das SDR destaca-se notadamente que as maiores conversões estão associadas a um ajuste de máximo e mínimo entre estas variáveis, assim como por meio de um equilíbrio entre os valores de RMAG e CAT.

Em relação à esterificação, a ANOVA revelou que o modelo desenvolvido não se apresentou válido, provavelmente porque esta reação apresentou conversão máxima em praticamente todas as condições avaliadas. Este fato foi evidenciado pela grande falta de ajuste do sistema, assim como pela ausência de significado estatístico na regressão (dados não apresentados).

É importante reconhecer que os resultados de conversão obtidos neste trabalho não podem ser exclusivamente atribuídos à ação catalítica dos carboxilatos de zinco, já que a acidez de Brönsted dos ácidos graxos presentes na mistura AGOP pode catalisar as reações de esterificação e transesterificação mesmo na ausência de um catalisador externo (conversão térmica).27,28 No entanto, sob as melhores condições empregadas para os carboxilatos de zinco, conversões térmicas bem inferiores seriam esperadas para ambas as reações.27

Finalmente, amostras não tratadas da fase glicerínica, oriundas de reações realizadas nas melhores condições do planejamento fatorial, foram recuperadas e analisadas por cromatografia a líquido para quantificação de seus respectivos teores em glicerol. Tais teores corresponderam a 86% em relação à massa da amostra, sendo que nenhum outro componente foi identificado no cromatograma além da água presente no meio de reação. Além disto, a análise por FTIR desta glicerina foi praticamente idêntica à obtida de uma amostra padrão de glicerol, evidenciando, portanto, a ausência de deformações axiais simétricas e assimétricas de íons carboxilato (dados não apresentados).

Caracterização do catalisador antes e após o uso

A caracterização do LZ foi realizada por XRD e FTIR e estes dados foram utilizados como referência para a análise dos sólidos recuperados a partir dos experimentos listados na Tabela 3 (Figura 2). Estudos detalhados de caracterização do LZ e de outros tipos de carboxilatos lamelares podem ser encontrados na literatura.18,19

 


Figura 2. Análise por (A) difraçao de raios X (XRD) e por (B) espectrometria no infravermelho (FTIR) dos carboxilatos de zinco antes e após as reaçoes de esterificaçao e transesterificaçao, sendo que os picos de XRD do óxido de zinco estao identificados com um asterisco. Em A: a = ZnO; b = LZ; c = R1; d = R2; e = R3; f = R4; g = R10; h = R12. Em B: a = LZ; b = R1; c = R2; d = R3; e = R4; f = R5; g = R6; h = R8; i = R10; j = R12

 

A Figura 2A apresenta o XRD dos sólidos catalíticos antes e após o processo de conversão, sendo que M10 representa o experimento realizado em triplicata no ponto central do planejamento fatorial. Vale ressaltar que o experimento M12 foi conduzido por 4 h e que o difratograma do ZnO comercial foi adicionado como padrão para identificação dos picos com indexação de 2θ posteriores a 30º.

O LZ apresenta um difratrograma de raios X típico de carboxilatos lamelares, com picos basais na região de 3 a 18º (em 2θ) e um espaçamento basal de 29,2 Å.19 Na região de 18 a 25º (em 2θ) são observados picos que podem ser atribuídos à desordem estrutural dos íons laurato intercalados entre as lamelas, além do espalhamento da radiação por esses íons.

A Figura 2A demonstra que, após a reação, a sequência de picos basais migrou para menores valores de 2θ, o que corresponde a um aumento do espaçamento basal, além do aumento do grau de desordem dos íons intercalados, caracterizado pelo alargamento dos picos de difração na região de 18 a 25º (em 2θ). O aumento do espaçamento basal para 39,2 Å se deve à substituição dos íons laurato (C12) por outros íons de maior comprimento de cadeia. Um aspecto importante dos outros materiais isolados nos experimentos listados na Tabela 1 é que todos apresentam o mesmo espaçamento basal, diferindo somente na desordem estrutural e na presença de ZnO, observado particularmente no experimento M12. O aumento do teor de ZnO no experimento M12 deve ter sido causado pelo aumento do tempo de reação de 2 para 4 h. Como a reação já se processou quase que por completo nas primeiras 2 h, o tempo adicional de 2 h pode ter levado à decomposição parcial do LZ a ZnO.

A Figura 2B apresenta os espectros de FTIR de todos os sólidos do PF. Em geral, todos os espectros apresentaram o mesmo perfil de carboxilatos, conforme anteriormente descrito para o LZ.17 No entanto, em alguns casos é possível verificar a presença de ZnO pelo estiramento da ligação metal/oxigênio em 499 cm-1.

Com base nos espectros de FTIR também é possível constatar que os grupos carboxilato continuam coordenados em forma de ponte entre dois centros metálicos devido à diferença de 140,0 cm-1 entre as suas respectivas deformações axiais assimétrica e simétrica (Δµ).22,29 A presença de água na composição do material lamelar recuperado é confirmada pela ocorrência de bandas relativas às deformações axial e angular da ligação O-H (experimentos R6 e R8, Figura 2B) em 3344 e 1685 cm-1, respectivamente. Sendo assim, estes resultados permitiram confirmar que, embora diferentes carboxilatos tenham sido formados, a estrutura lamelar foi mantida para todas as condições de reação, fato este corroborado pelas análises de XRD.

Os carboxilatos recuperados em todas as reações também foram caracterizados em relação à sua composição em ácidos graxos. Ambas as amostras apresentaram composição química centrada nos componentes majoritários da mistura AGOP, porém, a proporção de 54,5% de ácido oleico e 23,7% de ácido palmítico não foi mantida, com o sólido recuperado se reestruturando preferencialmente com os ácidos palmítico (55,4%) e oleico (15,9%) para o processo metílico. Este comportamento foi provavelmente devido à ausência de insaturações e consequentes distorções nas cadeias carbônicas no ácido palmítico que, presentes no ácido oleico e no oleato de zinco, comprometem a reestruturação dos sólidos após resfriamento do meio de reação (Tabela 4).

 

 

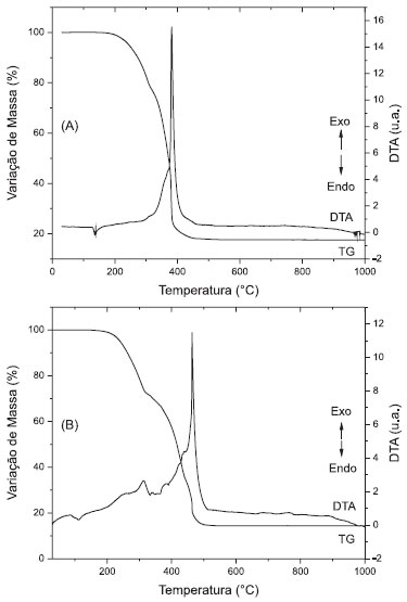
A análise térmica (TGA/DTA) dos sólidos recuperados após as reações de conversão foi restrita apenas ao material derivado do experimento M10, cujos resultados foram comparados aos obtidos do material de origem (LZ) (Figura 3). Em ambos os casos, a análise térmica revelou a presença de um pico endotérmico de baixa intensidade centrado em 112 ºC (sem perda de massa) que foi atribuído à fusão do carboxilato. Em seguida, a presença de picos endotérmicos se refere à queima da parte orgânica do carboxilato e a obtenção de ZnO como material residual a partir de 500 ºC.30 Considerando-se que o material não apresentou perda de massa até cerca de 200 ºC e que a perda de massa foi de 85,63%, a massa molar média do composto pode ser calculada. Assim, o valor de 501,3 g mol-1 foi obtido, do qual foi subtraída a massa atômica do zinco e o valor dividido por dois, fornecendo uma massa molar média de 260,6 g mol-1 para o carboxilato. Esse valor é totalmente consistente com a análise realizada na Tabela 4, que apresenta uma massa molar média de 263,97 g mol-1.

 


Figura 3. Curvas de análise térmica (TGA/DTA) do (A) laurato de zinco e do (B) sólido obtido após a realizaçao do experimento M10, que representa o ponto central do planejamento fatorial

 

A análise térmica também permitiu verificar que os teores de resíduo fixo (ZnO) e de matéria orgânica presentes no LZ foram de 17,73 e 82,27% (Figura 3A), enquanto que o sólido recuperado após o experimento M10 apresentou 14,37 e 85,63% (Figura 3B), respectivamente. Os valores de resíduo fixo foram então empregados para calcular os teores de zinco destes materiais, que corresponderam a 14,25 e 11,55%, respectivamente. Tais valores foram muito próximos aos valores teóricos associados à combustão, que correspondem a 14,13 e 11,04% com base na fórmula molecular do LZ (C24H26O4Zn) e na composição química do carboxilato recuperado em M10 (vide Tabela 4). Vale ressaltar que, além do zinco, o único metal presente na síntese do LZ é o sódio, inicialmente utilizado na forma de hidróxido para saponificar o ácido graxo. Porém, este metal alcalino é eliminado na forma de cloreto de sódio durante as etapas de precipitação e purificação do LZ.18,19

A presença dos ácidos graxos insaturados (oleico, linolênico e linoleico), inicialmente ausentes no LZ de origem, mas agora perfazendo mais de 18% da composição do sólido recuperado (Tabela 4), está diretamente relacionada à redução de 22 ºC no ponto de fusão do mesmo (Figura 3). Isto se deve principalmente à conformação distorcida que foi ocasionada pelo arranjo estereoquímico das ligações duplas, uma vez que, para estes compostos, a fusão ocorre quando aproximadamente 30% da conformação all-trans (zig-zag) é perdida.22

Eficiência catalítica

Os cálculos de TON (Tabela 5) forneceram valores bastante elevados e tal comportamento demonstra a ótima capacidade de regeneração destes carboxilatos, sem quaisquer evidências de envenenamento dos sítios catalíticos. Notadamente, os experimentos M1, M3, M5 e M12 merecem destaque por possuírem os maiores valores de TON, fato atrelado ao uso de menores quantidades de catalisador, indicando que o mesmo centro ativo pode vir a formar até 75 moléculas de monoésteres, somadas as contribuições advindas da esterificação e da transesterificação. As massas molares adotadas para os cálculos foram de 464,02 g mol-1 para o LZ, 250,01 g mol-1 para a MAGI, e 273,01 g mol-1 para a AGOP.

 

 

Os cálculos de TOF indicaram a formação de aproximadamente 38 moléculas de monoésteres por hora quando a reação foi realizada em RMAG de 10:1 com 2,0% de CAT a 140 ºC, comprovando a excelente atividade e regeneração do sítio catalítico após a reação. Além disso, é possível constatar que os experimentos M7, M8, M9, M10 e M11 apresentaram valores bastante próximos de TOF. Como uma mesma quantidade de catalisador foi empregada nas condições destes experimentos, variações de RMAG não parecem ter sido determinantes para motivar a dessorção dos monoésteres formados.

Uma característica do sistema catalítico em estudo é que os carboxilatos lamelares saturados, diferenciados apenas pelo tamanho das cadeias carbônicas, fundem em temperaturas próximas a 135 ºC.19 No entanto, no estado fundido, os íons zinco permanecem coordenados de forma bi e monodentada aos íons carboxilatos e estas ligações podem ser rompidas e recompostas ao longo da reação, podendo levar à modificação da estrutura lamelar quando na presença dos diferentes ácidos graxos presentes no meio de reação. Tais eventos maximizam a exposição e a disponibilidade dos sítios catalíticos, fazendo com que as reações simultâneas de esterificação e transesterificação atinjam uma situação de equilíbrio químico em um intervalo de tempo mais curto.29

Reuso do catalisador

Dificuldades encontradas na separação do sólido catalítico por centrifugação acabaram por limitar os estudos de reutilização a apenas dois ciclos de reação. Conversões totais superiores a 95% foram obtidas nestes dois ciclos, demonstrando a potencialidade do sistema para a produção de monoésteres metílicos (Tabela 3, experimentos RM1 e RM2). Vale ressaltar que o catalisador permaneceu ativo e que novos procedimentos para uma recuperação mais eficiente da espécie catalítica ainda poderão ser desenvolvidos. A opção pela condição de reação utilizada ocorreu por interpretação do PF, para o qual as melhores respostas foram obtidas em condições intermediárias do planejamento (4% de CAT em relação à massa da AGOP e RMAG de 4:1, por 2,0 h a 140 ºC). Os resultados da Tabela 3 também indicam que o desvio padrão relativo dos experimentos foi de apenas 0,3, 2,0 e 1,2% para a esterificação, transesterificação e conversão total, respectivamente, demonstrando que o catalisador foi capaz de manter as mesmas taxas de conversão em experimentos sequenciais.

As análises por difração de raios X (Figura 4) dos sólidos recuperados revelaram que a estrutura do catalisador foi modificada significativamente após o primeiro ciclo de reação. Neste sentido, foi demonstrado que a distância basal do sólido lamelar passou de 29,2 para 39,3 Å e que esta foi mantida após a segunda etapa de reuso (RM2, Tabela 3). Apesar de ter havido um aumento ainda maior na desorganização das lamelas, caracterizado pelo comportamento dos picos na região entre 18 e 25º de 2θ,17 não houve segregação de nenhuma impureza cristalina após os experimentos.

 


Figura 4. Difratogramas de raios X dos catalisadores antes (LZ) e depois de um (R14) e dois (R15) ciclos reacionais de esterificaçao e transesterificaçao simultâneas; (a) laurato de zinco; (b) amostra R14; (c) amostra R15

 

Teste de lixiviação

A lixiviação de zinco para a fase éster foi de apenas 2,3 mg kg-1, o que corresponde a apenas 0,04% do zinco presente no sólido de origem. De acordo com as normas brasileiras, o único combustível que contém especificação para o teor de zinco é o diesel marítimo, cujo máximo permitido é de 15 mg kg-1.31 Assim, com base nesta especificação, os monoésteres sintetizados neste trabalho estariam com níveis bastante inferiores aos estabelecidos pela Norma ANP 52/2010, mesmo sem terem sido lavados ou purificados posteriormente ao processo de decantação. Vale ressaltar que a análise da glicerina por FTIR não evidenciou a presença de óxido de zinco (ZnO) em sua composição, que teria sido caracterizada pela ocorrência de uma banda em aproximadamente 500 cm-1.

Efeito da água em reações simultâneas de esterificação e transesterificação metílicas

As reações M13 e M14 da Tabela 3 foram conduzidas com metanol hidratado no ponto central do planejamento fatorial. Sem o acréscimo de água, a conversão total foi de 90,7% em média (experimentos M9 a M11), enquanto que, com a adição de 10 e 20% de água ao metanol (experimentos M13 e M14), tais valores caíram para 78,7 e 59,5%, respectivamente. Este decréscimo na conversão foi atribuído principalmente ao deslocamento do equilíbrio da esterificação em favor dos reagentes, conforme sugerem os dados da Tabela 3. Já para os dados de metanólise na presença de até 10% (m m-1) de água, o catalisador apresentou um bom desempenho, com taxas de conversão de 80% e uma redução de apenas 4 p.p. em relação à média do processo realizado na ausência de água. No entanto, o mesmo padrão não foi seguido para quantidades maiores de água, pois a conversão de transesterificação diminuiu significativamente, o que foi atribuído à competição da água pelos sítios ácidos de Lewis. Por outro lado, as análises de XRD do carboxilatos recuperados após uso nestas reações deixou clara a concordância dos mesmos quando comparados aos carboxilatos em meio anidro, demonstrando que a presença de água não influenciou a estrutura do material lamelar (dados não apresentados).

Até o limite de 10%, o efeito da água presente nos reagentes não foi muito expressivo, provavelmente pela disposição dos carboxilatos em torno do sítio catalítico, que conferem a este um caráter hidrofóbico capaz de permitir uma maior aproximação entre os reagentes. Esse fato é extremamente relevante porque a água adicionada ao meio ou mesmo formada durante o processo de esterificação deveria ter deslocado o equilíbrio à formação dos reagentes, causando uma diminuição ainda maior nos resultados de conversão.

Esterificação e transesterificação etílicas do óleo de palma acidificado

Os experimentos E1, E2 e E3 da Tabela 3 foram realizados utilizando etanol em substituição ao metanol. Em geral, esta substituição causou uma redução de 10 a 20% nos resultados de conversão, confirmando os resultados obtidos anteriormente por outros autores.19 Os melhores resultados de conversão total (81,5%), bem como de esterificação (93,7%) e de transesterificação (75,2%) etílicas, foram obtidos no experimento E1, em que a conversão de transesterificação representou 80% do resultado obtido para esterificação (Tabela 3). Portanto, conclui-se que é preferível conduzir esta reação sob maiores concentrações de catalisador (e.g., 6,0%) e menores razões molares (e.g., 6:1), demonstrando que CAT é um fator mais determinante para a composição da conversão total em ésteres etílicos. Por outro lado, comparando-se os experimentos E1, E2 e E3 com os seus correspondentes para a conversão metílica (M2, M9/M10/M11 e M3, respectivamente), percebe-se que os resultados de esterificação foram muito mais limitantes para as reações conduzidas com etanol, em comparação às realizadas com metanol.

O catalisador recuperado após as reações envolvendo etanol também foi analisado por XRD e FTIR, sendo que os perfis obtidos foram os mesmos anteriormente observados para os produtos derivados do uso de metanol (dados não apresentados). Isto demonstra que os carboxilatos foram estruturados de acordo com a composição da matéria-prima independentemente do álcool utilizado na reação.

 

CONCLUSÃO

A excelente atividade catalítica dos carboxilatos de zinco em reações simultâneas de esterificação e transesterificação foi demonstrada. As análises mostraram que a estrutura lamelar do catalisador se manteve após o uso, mas que sua composição química mudou em favor da intercalação de um maior percentual de ácidos graxos saturados. A lixiviação de zinco para a fase éster foi mínima e o sistema apresentou-se ativo até mesmo na presença de 10% de água no álcool reagente. O desempenho catalítico dos carboxilatos de zinco também foi muito bom em reações envolvendo etanol e a glicerina obtida foi sempre recuperada em boas condições, sendo que, neste trabalho, apenas a água foi identificada como contaminante. Finalmente, a alta frequência de turnover do sistema comprovou a sua grande estabilidade e capacidade de manutenção do desempenho catalítico em reações sequenciais nas quais o sólido recuperado foi reutilizado em novas etapas de reação.

 

AGRADECIMENTOS

Os autores agradecem o INCT em Energia & Ambiente, o CNPq, a CAPES e a FINEP pela concessão de financiamento e bolsas de estudo para o desenvolvimento deste projeto, bem como ao apoio técnico de R. Marangoni e M. H. L. Silveira pelas análises por XRD e pela interpretação do tratamento estatístico dos dados experimentais, respectivamente.

 

REFERÊNCIAS

1. Soldi, R. A.; Oliveira, A. R. S.; Ramos, L. P.; César-Oliveira, M. A. G.; Appl. Catal., A 2009, 361, 42. DOI: http://dx.doi.org/10.1016/j.apcata.2009.03.030

2. Feng, Y.; He B.; Cao, Y.; Li, J.; Liu, M.; Yan, F.; Liang, X.; Bioresour. Technol. 2010, 101, 1518. DOI: http://dx.doi.org/10.1016/j.biortech.2009.07.084 PMID: 19699089

3. Marchetti, M.; Errazu, A. F.; Biomass Bioenergy 2010, 34, 272. DOI: http://dx.doi.org/10.1016/j.biombioe.2009.10.016

4. Aranda, D. A. G.; Gonçalves, J. A.; Peres, J. S.; Ramos, A. L. D.; Melo, C. A. R.; Antunes, O. A. C.; Furtado, N. C.; Taft, C. A.;J. Phys. Org. Chem. 2009, 22, 709. DOI: http://dx.doi.org/10.1002/poc.1520

5. Sathyaselvabala, V.; Selvaraj, D. K.; Kalimuthu, J.; Periyaraman, P. M.; Subramanian, S.; Bioresour. Technol. 2011, 102, 1066. DOI: http://dx.doi.org/10.1016/j.biortech.2010.08.052 PMID: 20833536

6. Yoo, S. J.; Lee, H-S.; Veriansyah, B.; Kim, J.; Kim, J-D.; Lee, Y-W.; Bioresour. Technol. 2010, 101, 8686. DOI: http://dx.doi.org/10.1016/j.biortech.2010.06.073 PMID: 20620052

7. Wen, Z.; Yu X.; Tu S.; Yan, J.; Dahlquist, E.; Bioresour. Technol. 2010, 101, 9570. DOI: http://dx.doi.org/10.1016/j.biortech.2010.07.066 PMID: 20696572

8. Yan, S.; Salley, S. O.; Simon Ng, K. Y.; Appl. Catal., A 2009, 353, 203. DOI: http://dx.doi.org/10.1016/j.apcata.2008.10.053

9. Yang, Z.; Xie, W.; Fuel Process. Technol. 2007, 88, 631. DOI: http://dx.doi.org/10.1016/j.fuproc.2007.02.006

10. Silveira Neto, B. A.; Alves, M. B.; Lapis, A. A. M.; Nachtigall, F. M.; Eberlin, M. N.; Dupont, J.; Suarez, P. A. Z.; J. Catal. 2007, 249, 154. DOI: http://dx.doi.org/10.1016/j.jcat.2007.04.015

11. Zhang, L.; Xian, M.; He, Y.; Li, L.; Yang, J.; Yu, S.; Xu, X.; Bioresour. Technol. 2009, 100, 4368. DOI: http://dx.doi.org/10.1016/j.biortech.2009.04.012 PMID: 19427782

12. Abreu, F. R.; Lima, D. G.; Hamu, E. H.; Wolf, C.; Suarez, P. A. Z.; J. Mol. Catal. A: Chem. 2004, 209, 29. DOI: http://dx.doi.org/10.1016/j.molcata.2003.08.003

13. Mendonça, D. R.; Silva, J. P. V.; Almeida, R. M.; Wolf, C. R.; Meneghetti, M. R.; Meneghetti, S. M. P.;Appl. Catal., A 2009, 365, 105. DOI: http://dx.doi.org/10.1016/j.apcata.2009.06.002

14. Lou, W. Y.; Zong, M. H.; Duan, Z. Q.; Bioresour. Technol. 2008, 99, 8752. DOI: http://dx.doi.org/10.1016/j.biortech.2008.04.038 PMID: 18504123

15. Bastos, S. N.; Bail, A.; Santos, V. C.; Souza, V. H. R.; Vrubel, H.; Nunes, F. S.; Ramos, L. P.; Appl. Catal., A 2008, 351, 267. DOI: http://dx.doi.org/10.1016/j.apcata.2008.09.026

16. Silva, F. R.; Brugnago, R. J.; Marangoni, R.; Cordeiro, C. S.; Nakagaki, S.; Wypych, F.; Ramos, L. P.; Quim. Nova 2012, 35, 108. DOI: http://dx.doi.org/10.1590/S0100-40422012000100021

17. Cordeiro, C. S.; Arizaga, G. G. C.; Ramos, L. P.; Wypych, F.; Catal. Commun. 2008, 9, 2140. DOI: http://dx.doi.org/10.1016/j.catcom.2008.04.015

18. Cordeiro, C. S.; Silva, F. R.; Wypych, F.; Ramos, L. P.; Quim. Nova 2011, 34, 477. DOI: http://dx.doi.org/10.1590/S0100-40422011000300021

19. Lisboa, F. S.; Gardolinski, J. E. F. C.; Cordeiro, C. S.; Wypych, F.; J. Braz. Chem. Soc. 2012, 23, 46. DOI: http://dx.doi.org/10.1590/S0103-50532012000100008

20. Jacobson, K.; Gopinath, R.; Meher, L. C.; Dalai, A. K.; Appl. Catal., B 2008, 85, 86. DOI: http://dx.doi.org/10.1016/j.apcatb.2008.07.005

21. Reinoso, D. M.; Damiani, D. E.; Tonetto, G. M.; Appl. Catal., A 2012, 449, 88. DOI: http://dx.doi.org/10.1016/j.apcata.2012.09.014

22. Barman, S.; Vasudevan, S.; J. Phys. Chem. B 2006, 110, 22407. DOI: http://dx.doi.org/10.1021/jp064306p PMID: 17091982

23. Barros Neto, B.; Scarminio, I. S.; Bruns, R. E.; Como fazer experimentos: pesquisa e desenvolvimento na ciência e na indústria, 3ª ed., Unicamp: Campinas, 2007.

24. Michrowska, A.; Grela, K.; Pure Appl. Chem. 2008, 80, 31. DOI: http://dx.doi.org/10.1351/pac200880010031

25. Dugo, G.; La Pera, L.; Lo Turco, V.; Mavrogeni, E.; Alfa, M.; J. Agric. Food Chem. 2003,51, 3722. DOI: http://dx.doi.org/10.1021/jf025656l PMID: 12797733

26. Dugo, G.; La Pera, L.; Pollicino, D.; Saitta, M.; J. Agric. Food Chem. 2003, 51, 5598. DOI: http://dx.doi.org/10.1021/jf025656l PMID: 12952406

27. Shu, Q.; Gao, J.; Nawaz, Z.; Liao, Y.; Wang, D.; Wang, J.; Appl. Energ. 2010,87, 2589. DOI: http://dx.doi.org/10.1016/j.apenergy.2010.03.024

28. Brito, Y. C.; Ferreira, D. A. C.; Fragoso, D. M. A.; Mendes, P. R.; Oliveira, C. M. J.; Meneghetti, M. R.; Meneghetti, S. M. P.; Appl. Catal., A 2012, 443-444, 202.

29. Barman, S.; Vasudevan, S.; J. Phys. Chem. B 2007, 111, 5212. DOI: http://dx.doi.org/10.1021/jp068675x PMID: 17441755

30. Garcia, J. U.; Santos, H. I.; Fialho, A. P.; Garro, F. L. T.; Antoniosi Filho, N. R.; Leles, M. I. G.; Ecletica Quim. 2004, 29, 41. DOI: http://dx.doi.org/10.1590/S0100-46702004000200006

31. http://www.anp.gov.br, acessada Abril 2014.

On-line version ISSN 1678-7064 Printed version ISSN 0100-4042
Qu�mica Nova
Publica��es da Sociedade Brasileira de Qu�mica
Caixa Postal: 26037 05513-970 S�o Paulo - SP
Tel/Fax: +55.11.3032.2299/+55.11.3814.3602
Free access

GN1