JBCS



17:43, sáb out 25

Acesso Aberto/TP



Artigo

The application of automated correlation optimized warping to the quality evaluation of Radix puerariae thomsonii: correcting retention time shift in the chromatographic fingerprints

Long JiaoI,*; Shan BingI; Xiaofei WangI; Zhiwei XueII; Hua LiIII

ICollege of Chemistry and Chemical Engineering, Xi'an Shiyou University, Xi'an, 710065, China
IINo.203 Research lnstitute of Nuclear industry, Xianyang, 712000, China
IIICollege of Chemistry and Materials Science, Northwest University, Xi'an, 710069, China

Recebido em 25/03/2014
Aceito em 03/09/2014
Publicado na web em 08/10/2014

Endereço para correspondência

*e-mail: mop@xsyu.edu.cn

RESUMO

The application of automated correlation optimized warping (ACOW) to the correction of retention time shift in the chromatographic fingerprints of Radix Puerariae thomsonii (RPT) was investigated. Twenty-seven samples were extracted from 9 batches of RPT products. The fingerprints of the 27 samples were established by the HPLC method. Because there is a retention time shift in the established fingerprints, the quality of these samples cannot be correctly evaluated by using similarity estimation and principal component analysis (PCA). Thus, the ACOW method was used to align these fingerprints. In the ACOW procedure, the warping parameters, which have a significant influence on the alignment result, were optimized by an automated algorithm. After correcting the retention time shift, the quality of these RPT samples was correctly evaluated by similarity estimation and PCA. It is demonstrated that ACOW is a practical method for aligning the chromatographic fingerprints of RPT. The combination of ACOW, similarity estimation, and PCA is shown to be a promising method for evaluating the quality of Traditional Chinese Medicine.

Palavras-chave: automated correlation optimized warping; chromatographic fingerprint; Radix Puerariae thomsonii; principal component analysis; similarity estimation.

INTRODUCTION

Chromatographic fingerprint has been commonly applied to the quality evaluation of Traditional Chinese Medicine (TCM).1-3 It is believed that regarding the chromatogram of a TCM as its fingerprint is reasonable and practicable, because chromatogram can reflect the "chemical integrities", namely all the chemical information, of a TCM.1,3-5 The quality evaluation of TCM is usually achieved by analyzing the chromatographic fingerprint of TCM with chemometric methods, such as similarity estimation, cluster analysis and principal component analysis (PCA).1,4-13 However, the retention time shift, which is inevitable in chromatography,4,5 is a significant impediment against analyzing the chromatographic fingerprint of TCM with these chemometric methods.11 When the retention time shift occurs, it is hardly to get correct evaluation results.4 Consequently, it is necessary to correct the retention time shift prior to evaluating the quality of TCM according to its fingerprint.14-16

Several warping methods have already been proposed for correcting chromatographic retention time shift. These methods achieve the correction of retention time shift by warping the chromatograms.1,5,14-26 Chromatographic profiles will be changed in the warping. Changing the profile of a chromatogram means changing the chemical information within it. When using these warping methods to align the chromatographic fingerprints of TCM, there is the risk of unreasonably changing the chemical information in the fingerprints. If the fingerprints are inappropriately changed, the quality of TCM might be incorrectly evaluated. Thus, it is necessary to investigate whether a warping method is suitable for aligning chromatographic fingerprints of TCM prior to the quality evaluation. Up to now, some warping methods have been applied to aligning chromatographic fingerprints of TCM.5,17,25,26 However, the preservation of chromatographic profiles has not been paid adequate attention in these researches. Recently, Skov et al.24 proposed an automated correlation optimized warping (ACOW) method, in which both correcting the retention time shift and preserving the chromatographic profiles are taken into account. This approach provides an automated algorithm for optimizing the warping parameters. The aim of optimizing warping parameters is achieving the satisfactory correction of retention time shift while simultaneously changing the chromatographic profiles as small as possible. This will decrease the risk of unreasonable warping. Another advantage of ACOW is that it is a quantitative, standardized and fast method. This will overcome a drawback of traditional correlation optimized warping (COW) method: the optimization of warping parameters is usually subjective, empirical and time-consuming.5,16,24 It seems that ACOW is a promising method to align chromatographic fingerprints when evaluating the quality of TCM. However, it has never been applied to this research field. Therefore, the application of ACOW to aligning the chromatographic fingerprints of Radix Puerariae thomsonii was investigated in this study.

 

EXPERIMENTAL

Plant material and reagents

Nine batches of authentic Radix Pueraria thomsonii products were purchased from nine pharmaceutical stores. The summary of these products is shown in Table 1. The standard sample of Radix Pueraria thomsonii was purchased from National Institute for the Control of Pharmaceutical and Biological Products (China).

 

 

Methanol (HPLC grade, Kermel Co. Ltd., Tianjin, China), acetonitrile (HPLC grade, Hanbang Co. Ltd., Jiangsu, China) and double distilled water were used to prepare mobile phase.

Instruments

All the chromatograms were collected from Shimadzu LC-10ATvp high performance liquid chromatography equipped with a Shimadzu SPD-10A vp diode array detector (Shimadzu Co. Ltd., Japan).

Sample preparation

Raw RPT sample was ground into powder at first. 0.4 g of the powder was accurately weighed and extracted using an ultrasonator with 50 mL of 30% methanol for 30 min. After centrifugation for 5 min, the upper solution was filtered with 0.2 µm filter membrane. Then, the solution was diluted in a 50 mL volumetric flask. Three sample solutions were extracted from each batch of RPT product by replicating this procedure three times, generating a total of 27 sample solutions. Additionally, one sample solution was extracted from the standard RPT sample by using this approach.

Chromatographic procedure

Column: Kromasil5-C18 (4.6 mm × 150 mm, 5 µm, Hanbang Co. Ltd., Jiangsu, China); Injection volume: 20 µL; flow rate: 0.6 mL min-1; Column temperature: 35 ºC; Mobile phase: Water(A) and solvent (B). Solvent (B) comprises methanol and acetonitrile (70/30, v/v) solution with the linear gradient elution program of 20 - 55% solvent (B) for 0 - 50 min. The detection wavelength was 320 nm.

Validation of extraction and HPLC method

The reproducibility of the extraction method was investigated through six replicate sample solutions which are extracted from one RPT sample. Six replicate analyses of one sample solution were carried out to assess the repeatability of HPLC method. The stability of sample solutions was tested with a sample solution every 2 hours in 12 hours. For recovery test, known amounts of puerarin and daidzein standards were added to sample solutions. Their amounts were quantified by the developed HPLC method and the recovery of puerarin and daidzein were calculated.

Software and dataset

All data processing was done with subroutines developed in Matlab (Ver. 7.0). The input matrix of PCA was constructed by assembling chromatographic data as row vectors. The input matrix was mean centered in the PCA procedure.

Chemometric method

Correlation optimized warping19,24 achieves the correction of retention time shift by warping the chromatographic profiles. The correction can be achieved without the chemical information of the samples being analyzed and the resolution of each peak in chromatograms. The algorithm aligns a sample chromatogram towards a target chromatogram (also known as reference chromatogram) by warping the sample chromatogram, namely piecewise linear stretching and compressing of the sample chromatogram. In the procedure of COW, the sample chromatogram x, and the target chromatogram, T, are divided into several segments which is defined by a user-specified parameter called segment length. Then, these segments are warped, meaning their length is stretched or shortened by shifting the position of its end points a limited number of points which is defined by the parameter slack size. When the length of warped segment in the sample chromatogram and that of target chromatogram is different, the former is linearly interpolated to the same number of points as the latter. Obviously, segment length and slack size have significant influence on the result of COW. We need optimize the two parameters when using COW approach. Besides the two parameters, target chromatogram also has influence on the result of COW. Thus, selecting a proper target chromatogram is also important in COW. Usually, the two parameters and target chromatogram is empirically selected. This is a subjective method and is not fit for the quality evaluation of TCM.

Skov et al. proposed ACOW approach in their article.24 This approach provides an automated and quantitative algorithm for optimizing the warping parameters and selecting the target chromatogram. It is a standardized, objective and automated approach. The algorithm for optimizing segment length and slack size is based on three indices: simplicity, peak factor and warping effect. Simplicity is used to measure how well a set of chromatograms is aligned. It is defined as:

where X is the matrix of the chromatograms to be aligned, x(i,j) is the element of matrix X, and SVD denotes the singular value decomposition. The value of simplicity ranges from 0 to 1. The larger value of simplicity means the better alignment.

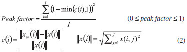
Peak factor is defined as Eq.2:

In Eq.2, x(i) and xw(i) is the original and the warped chromatogram respectively. ||x(i)|| is the Euclidian length for x(i). Peak factor is introduced to quantitatively indicate the change of a chromatogram in the warping procedure. The larger value means the smaller change of the peak area and shape in the warped chromatogram.

The aim of retention time shift correction is aligning chromatograms while preserving the profiles as much as possible. The simplicity and peak factor should be taken into account at the same time when optimizing segment length and slack size. Hence, warping effect is defined as the combination of simplicity and peak factor:

Obviously, warping effect can quantitatively measure the result of alignment. The largest value of warping effect corresponds to the best alignment. Thus, optimizing segment length and slack size means maximizing warping effect. Skov et al.24 suggested the optimal searching range of segment length should be from to . And the searching range of slack size is usually 1 to 15 for HPLC data. The discrete-coordinates simplex-like optimization routine algorithm24 is used to search the optimal segment length and slack size.

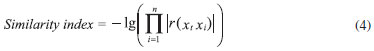
The approach for selecting the target chromatogram is based on the similarity index, which is the product of correlation coefficients between all individual chromatograms. For a chromatogram xt, its similarity index is defined as:

where r(xtxi) is the conventional correlation coefficient between xt and xi, and xi is the chromatogram to be aligned. The chromatogram that has the smallest similarity index is regarded as the optimal target chromatogram.

 

RESULTS AND DISCUSSION

Fingerprints of the RPT samples

The fingerprints of the investigated RPT samples were constructed with their entire chromatograms. The extraction and chromatographic method are described in the "EXPERIMENTAL" section. The developed extraction and chromatographic method were validated. Puerarin and daidzein are two main active isoflavones in RPT.27 Puerarin has been used as the compulsory standard to authenticate the quality of RPT by the government of China.28 The content of daidzein is also regarded as an important index to assess the quality of RPT in many researches.29,30 Thus, we used puerarin and daidzein as standards to validate the extraction and chromatographic method. The validation result is listed in Table 2, Table 1S, Table 2S, Table 3S, Table 4S, Table 5S, Table 6S, Table 7S and Table 8S.

 

 

As shown in Table 2, the extraction method and chromatographic method are satisfactory. It is practicable and reasonable to regard the obtained chromatograms as the fingerprints of these RPT samples. The constructed fingerprint of the standard RPT sample is presented in Figure 1. And the fingerprints of the 27 RPT samples are shown in Figure 2a.

 


Figure 1. Chromatographic fingerprint of the standard RPT sample

 

 


Figure 2. Chromatographic fingerprints of RPT samples (a) unaligned; (b) aligned. The chromatographic profile from bottom to up is the fingerprint of A1, A2, A3, B1 ...... to I3 respectively

 

Alignment of the fingerprints

Firstly, the target fingerprint was selected from the fingerprints of all the 27 samples according to the approach described in the "chemometric method" section. The similarity index of these fingerprints was calculated and listed in Table 3. As shown in Table 3, sample F2 has the smallest similarity index. Thus, the fingerprint of sample F2 was used as the target fingerprint. Then, the two alignment parameters were optimized by using the automated algorithm presented in the "chemometric method" section. The average peak width is around 55 data points in the obtained 27 fingerprints. Correspondingly, the searching space of segment length and slack size was set to [26, 83] and [1, 15] respectively. The obtained optimal segment length is 27 and the slack size is 2. Figure 2b is the aligned fingerprints of these RPT samples. Obviously, an increase in the retention time precision afforded by the alignment is visible in Figure 2b. It is demonstrated that similarity index is a practicable index for selecting target fingerprint and ACOW is an effective approach for aligning fingerprints of RPT.

 

 

In addition, we aligned the fingerprints of these RPT samples at several empirically selected segment length and slack size. The selected segment length and slack size include: [segment length=30, slack size=15] (denoted as Alignment1), [segment length=55, slack size=2] (denoted as Alignment2) and [segment length=55, slack size=15] (denoted as Alignment3). The aligned fingerprints are shown in Figure 1S (in the supplementary material). These fingerprints were analyzed in the subsequent section as a comparison to the fingerprints obtained from ACOW.

Evaluating the quality of RPT samples

Similarity estimation and PCA are two conventional chemometric methods which are usually used to analyze the fingerprint of TCM. Thus, the two methods were investigated.

Similarity estimation

Correlation coefficient is one of the most commonly used indices for evaluating the similarity between two fingerprints. Thus, the correlation coefficient between the fingerprint of the standard sample and the fingerprints of the 27 RPT samples was calculated and shown in Table 4. In this case, the quality of the samples from the same group should be about the same as well as distinct from the samples from other groups. Correspondingly, the correlation coefficient of the samples from the same group should be about the same and the correlation coefficient of the samples from different groups should be different. As shown in Table 4, satisfactory result can not be obtained from unaligned fingerprints. In group B, E, F, there is obvious difference in the correlation coefficient of the samples from same group. Actually, not only the difference of chemical composition of the samples, but also the misalignment of the fingerprints, leads to the significant difference in correlation coefficient. The retention time shift severely impedes the quality evaluation of these samples. It is impracticable and unreasonable to calculate the correlation coefficient without aligning the fingerprints of these samples. Thus, correcting the retention shift is necessary to get a reasonable and acceptable evaluation result.

 

 

As shown in Table 4, satisfactory evaluation result was obtained by analyzing the aligned fingerprints. The correlation coefficient calculated from the aligned fingerprints is consistent with the sample information listed in Table 1. There is just slight difference in the correlation coefficient of the samples from same group, and the difference of correlation coefficient between different groups is obvious. Obviously, ACOW has given a reasonable and satisfactory alignment of these fingerprints. The alignment has corrected the retention time shift while simultaneously preserving the chemical selectivity of these fingerprints in the subsequent similarity estimation. It is demonstrated that ACOW is a practicable method for preprocessing chromatographic fingerprints prior to similarity estimation.

Then, the fingerprints obtained from Alignment1, Alignment2 and Alignment3 were investigated. The correlation coefficient between the fingerprint of the standard sample and the aligned fingerprints was calculated. The result is presented in Table 1S (in the supplementary material). As shown in the table, the quality of some RPT samples was not correctly evaluated. For instance, the quality of the samples from Group A was not reasonably evaluated after Alignment1. In this alignment, the used segment length and slack size is 30 and 15 respectively. This can be considered as a combination of a small segment length with a large slack size. Generally, combining a small segment length with a large slack size will lead to interpolation steps over many data point and thus the possibility to align peaks efficiently, but this also carries the risk to undesirably change both shape and area of peaks. It is obvious that the fingerprints of Group A were unreasonably aligned in Alignment1. Similarly, the fingerprints of Group A, B and G were unsatisfactorily aligned in Alignment2. The fingerprints of Group B were unsatisfactorily aligned in Alignment3. Hence, it is hard to get a satisfactory aligning result by empirically selecting the segment length and slack size.

Principal component analysis

The result of an attempt to analyze the unaligned fingerprints is shown in Figure 3a, which is the score plot of PCA. The input data matrix was constructed with the fingerprint of the standard RPT sample (shown in Figure 1) and the 27 unaligned fingerprints presented in Figure 2a. The result of PCA is similar to that of similarity estimation. Although the chemical composition of the samples from same group should be about the same as well as distinct from the chemical composition of the samples from other groups, this can not be seen in Figure 3a. Similarly, the obtained score plot describes the misalignment of fingerprints besides the difference of chemical composition of these samples. These fingerprints must be aligned before PCA in order to correct the retention time shift. Thus, the fingerprint of the standard RPT sample (shown in Figure 1) and the 27 aligned fingerprints (shown in Figure 2b) were analyzed by using PCA. Figure 3b is the obtained score plot. It reveals the segregation of the projection points into nine clusters. The clustering of the samples is consistent with the sample information presented in Table 1. That is to say, the quality of these samples has been correctly evaluated. Obviously, the improvement in retention time precision provided by the alignment results in a substantial improvement in the accuracy of subsequent principal component analysis. It is demonstrated that the used ACOW method increased retention time precision while simultaneously preserving the selective chemical information in these fingerprints. It is a practicable method to preprocess chromatographic fingerprints prior to PCA. In addition, according to Figure 3b, Group C, D and F are more similar to the standard sample than other groups. The difference between the standard sample and Group B and H is larger than the difference between the standard sample and other groups. Obviously, the result of PCA is accordance with the result of similarity estimation.

Then, the fingerprints obtained from Alignment1, Alignment2 and Alignment3 were analyzed by using PCA. The obtained score plots are shown in Figure 2S (in the supplementary material). Similar to similarity estimation, the quality of some RPT samples was not correctly evaluated. For instance, it is hardly to correctly evaluate the quality of sample A1, A3, D2 according to Figure 2S(a). Similarly, it is hard to classify the group of sample D2 according Figure 2S(b) and Figure 2S(c). Thus, empirically selecting the segment length and slack size is not a good choice for aligning these fingerprints prior to PCA.

 


Figure 3. Score plot of PCA resulted from (a) unaligned fingerprints; (b) aligned fingerprints

 

 

CONCLUSIONS

The successful classification of the investigated samples demonstrates the practicability of the proposed method. The classification of these samples comprises three steps. The fist step is constructing the fingerprints of RPT samples. The second step is aligning the obtained fingerprints, and the third step is analyzing the aligned fingerprints by using similarity estimation or PCA. Without aligning the fingerprints, the quality of these samples cannot be correctly evaluated. After correcting the retention time shift, satisfactory evaluation result was obtained. Obviously, the alignment of fingerprints is a crucial step to evaluate the quality of these samples. Moreover, it is demonstrated that ACOW is a practicable method for aligning the chromatographic fingerprints of RPT. It can increase retention time precision while simultaneously preserving the selective chemical information of fingerprints. Thus, the aligned fingerprints can be used to evaluate the quality of RPT samples.

Although the proposed method is demonstrated here for dealing with chromatographic fingerprints of RPT, it is also essentially suitable for chromatographic fingerprints of other TCM and might be applied to TCM fingerprints generated from other separation techniques such as GC, HPTLC and capillary electrophoresis.

 

SUPPLEMENTARY MATERIAL

The supplementary material includes 2 figures (Figure 1S, Figure 2S) and 9 tables (Table 1S to Table 9S). They are available at http://quimicanova.sbq.org.br (.pdf format) with free access.

 

ACKNOWLEDGEMENTS

This work was supported by the National Natural Science Foundation of China (No. 21305108 and No.21175106), the Natural Science Basic Research Plan in Shaanxi Province of China (No.2014JM2039), and Innovative Research Team of Xi'an Shiyou University.

 

REFERENCES

1. Liang, Y. Z.; Xie, P. S.; Chan, K.; J. Chromatogr. B 2004, 812, 53. DOI: http://dx.doi.org/10.1016/j.jchromb.2004.08.041

2. http://whqlibdoc.who.int/hq/2000/WHO_EDM_TRM_2000.1.pdf, accessed on December, 2013.

3. State Drug Administration of China, Chinese Trad. Pat. Med. 2000, 22, 671.

4. Gong, F.; Liang, Y. Z.; Fung, Y. S.; Chau, F. T.; J. Chromatogr. A 2004, 1029, 173. DOI: http://dx.doi.org/10.1016/j.chroma.2003.12.049 PMID: 15032363

5. Yao, W. F.; Yin, X. Y.; Hu, Y. Z.; J. Chromatogr. A 2007, 1160, 254. DOI: http://dx.doi.org/10.1016/j.chroma.2007.05.061 PMID: 17560584

6. Drasar, P.; Moravcova, J.; J. Chromatogr. B 2004, 812, 3. DOI: http://dx.doi.org/10.1016/j.jchromb.2004.09.037

7. Yi, L. Z.; Yuan, D. L.; Liang, Y. Z.; Xie, P. S.; Zhao, Y.; Anal. Chim. Acta 2007, 588, 207. DOI: http://dx.doi.org/10.1016/j.aca.2007.02.012 PMID: 17386812

8. Ni, Y. N.; Mei, M. H.; Kokot, S.; Anal. Chim. Acta 2012, 712, 37. DOI: http://dx.doi.org/10.1016/j.aca.2011.11.010 PMID: 22177063

9. Li, H. J.; Jiang, Y.; Li, P.; J. Chromatogr. A 2009, 1216, 2142. DOI: http://dx.doi.org/10.1016/j.chroma.2008.11.024 PMID: 18462741

10. Zhu, H. B.; Wang, C. Y.; Qi, Y.; Song, F. R.; Liu, Z. Q.; Liu, S. Y.; Talanta 2013, 103, 56. DOI: http://dx.doi.org/10.1016/j.talanta.2012.10.006 PMID: 23200358

11. Zhu, H. B.; Wang, Y. Z.; Liang, H.; Chen, Q. M.; Zhao, P.; Tao, J.; Talanta 2010, 81, 129. DOI: http://dx.doi.org/10.1016/j.talanta.2009.11.047 PMID: 20188898

12. Zhu, H. B.; Wang, C. Y.; Qi, Y.; Song, F. R.; Liu, Z. Q.; Liu, S.Y.; Anal. Chim. Acta 2012, 752, 69. DOI: http://dx.doi.org/10.1016/j.aca.2012.09.018 PMID: 23101654

13. Ni, Y. N.; Lai, Y. H.; Brandes, S.; Kokot, S.; Anal. Chim. Acta 2009, 647, 149. DOI: http://dx.doi.org/10.1016/j.aca.2009.06.021 PMID: 19591699

14. Johnson, K. J.; Wright, B. W.; Jarman, K. H.; Synovec, R. E.; J. Chromatogr. A 2003, 996, 141. DOI: http://dx.doi.org/10.1016/S0021-9673(03)00616-2 PMID: 12830915

15. Li, B. Y.; Hu, Y.; Liang, Y. Z.; Xie, P. S.; Du, Y. P.; Anal. Chim. Acta 2004, 514, 69. DOI: http://dx.doi.org/10.1016/j.aca.2004.03.041

16. Xu, C. J.; Liang, Y. Z.; Chau, F. T.; Heyden, Y. V.; J. Chromatogr. A 2006, 1134, 253. DOI: http://dx.doi.org/10.1016/j.chroma.2006.08.097 PMID: 16962124

17. van Nederkassel, A. M.; Daszykowski, M.; Eilers, P. H. C.; Heyden, Y. V.; J. Chromatogr. A 2006, 1118, 199. DOI: http://dx.doi.org/10.1016/j.chroma.2006.03.114 PMID: 16643929

18. van Nederkassel, A. M.; Xu, C. J.; Lancelin, P.; Sarraf, M.; MacKenzie, D. A.; Walton, N. J.; Bensaid, F.; Lees, M.; Martin, G. J.; Desmurs, J. R.; Massart, D. L.; Smeyers-Verbeke, J.; Heyden, Y. V.; J. Chromatogr. A 2006, 1120, 291. DOI: http://dx.doi.org/10.1016/j.chroma.2005.11.134 PMID: 16364334

19. Tomasi, G.; van den Berg, F.; Andersson, C.; J. Chemom. 2004, 18, 231. DOI: http://dx.doi.org/10.1002/cem.859

20. Nielsen, N. P. V.; Carstensen, J. M.; Smedsgaard, J.; J. Chromatogr. A 1998, 805, 17. DOI: http://dx.doi.org/10.1016/S0021-9673(98)00021-1

21. Pravdova, V.; Walczak, B.; Massart, D. L.; Anal. Chim. Acta 2002, 456, 77. DOI: http://dx.doi.org/10.1016/S0003-2670(02)00008-9

22. Walczak, B.; Wu, W.; Chemom. Intell. Lab. Syst. 2005, 77, 173. DOI: http://dx.doi.org/10.1016/j.chemolab.2004.07.012

23. Eilers, P. H. C.; Anal. Chem. 2004, 76, 404. DOI: http://dx.doi.org/10.1021/ac034800e PMID: 14719890

24. Skov, T.; van den Berg, F.; Tomasi, G.; Bro, R.; J. Chemometr. 2006, 20, 484. DOI: http://dx.doi.org/10.1002/cem.1031

25. Daszykowski, M.; Heyden, Y. V.; Boucon, C.; Walczak, B.; J. Chromatogr. A 2010, 1216, 127.

26. Tistaert, C.; Dejaegher, B.; Chataigné, G.; Rivière, C.; Hoai, N. N.; Van, M. C.; Quetin-Leclercq, J.; Heyden, Y. V.; Anal. Chim. Acta 2012, 721, 35. DOI: http://dx.doi.org/10.1016/j.aca.2012.01.058 PMID: 22405298

27. Liu, Y. K.; Yan, E.; Zhan, H. Y.; Zhang, Z. Q.; J. Pharm. Anal. 2011, 1, 13. DOI: http://dx.doi.org/10.1016/S2095-1779(11)70009-0

28. National Pharmacopoeia Committee of China; Chinese Pharmacopoeia Part I., Chemical Industry Publishing House: Beijing, 2010.

29. Wang, L.; Gao, S. Y.; Li, H.; Tradit. Chin. Drug. Res. Clin. Pharmacol. (in Chinese), 2011, 22, 448.

30. Zeng, A. G.; Xing, J. F.; Wang, C. H.; Song, J.; Li, C.; Yang, X.; Yang, G. D.; Anal. Chim. Acta 2012, 712, 145. DOI: http://dx.doi.org/10.1016/j.aca.2011.10.061 PMID: 22177078

On-line version ISSN 1678-7064 Printed version ISSN 0100-4042
Qu�mica Nova
Publica��es da Sociedade Brasileira de Qu�mica
Caixa Postal: 26037 05513-970 S�o Paulo - SP
Tel/Fax: +55.11.3032.2299/+55.11.3814.3602
Free access

GN1