JBCS



20:16, sáb out 25

Acesso Aberto/TP



Nota Técnica


Aparato eletroquímico para sistema de aquisição de dados multicanal com resolução espaço-temporal
Electrochemical setup for a multichannel data acquisition system with spatiotemporal resolution

Raphael Nagao; Melke A. Nascimento; Hamilton Varela*

Instituto de Química de São Carlos, Universidade de São Paulo, CP 780, 13560-970 São Carlos - SP, Brasil

Recebido em 03/07/2014
Aceito em 15/08/2014
Publicado na web em 08/10/2014

Endereço para correspondência

*e-mail: varela@iqsc.usp.br

RESUMO

Spatiotemporal pattern formation in reaction-transport systems takes place spontaneously when the system is kept far from thermodynamic equilibrium. Targets, reaction fronts, waves, spirals, spots and stripes are some typical examples of self-organized structuring. In electrochemical systems, monitoring spatiotemporal patterns of potential in the solid/liquid interface can be done by the use of equally distributed microprobes located close to the working electrode. However, the physical size of each probe can limit the spatial resolution and alter mass transport properties. In contrast, the direct measurement of discrete electrodes does not suffer from this limitation and allows the accurate manipulation of the spatial coupling through changes in resistors connected to the electric circuit. In this paper, the development of an electrochemical setup for multichannel data acquisition with spatiotemporal resolution is described, especially to monitor low levels of currents usually observed in the electro-oxidation of small organic molecules.

Palavras-chave: spatiotemporal patterns; electrochemical oscillations; experimental setup.

INTRODUÇÃO

O fenômeno de auto-organização espaço-temporal resulta de um comportamento coletivo e sinérgico das várias subunidades que compõem o sistema, sendo responsável pela criação de uma grande variedade de padrões encontrados de forma ubíqua na natureza.1-3 A formação espontânea de alvos, frentes reacionais, ondas, espirais, pontos e listras são alguns exemplos típicos de estruturas auto-organizadas que estão frequentemente associadas a processos de pigmentação na pele de animais3 e na propagação de impulsos nervosos presentes em sistemas neuronais.4 Notavelmente, sistemas químicos têm sido utilizados de forma sistemática no estudo da formação de padrões auto-organizados em regime longe do equilíbrio termodinâmico.5 Além de apresentarem semelhanças fenomenológicas com sistemas biológicos,6 são mais simples e permitem a modelagem das reações envolvidas, e consequentemente, a realização de simulações numéricas. De fato, a combinação apropriada entre experimentos de bancada, modelagem e simulações tem sido aplicada como uma estratégia importante na elucidação de mecanismos de reação e na descoberta de diversas reações que apresentam auto-organização.7 O primeiro modelo de reação-transporte que descreve esse comportamento dinâmico foi proposto por Alan Turing8 em 1952.

Em comparação aos sistemas químicos homogêneos, nos quais os padrões espaciais podem ser monitorados em tempo real por câmeras do tipo charge-coupled device, CCD,9-16 os sistemas heterogêneos usualmente requerem técnicas adicionais,17-29 além da utilização das CCD.30,31 Microssondas de potencial posicionadas próximo ao eletrodo de trabalho têm sido utilizadas com sucesso no estudo da formação de padrões auto-organizados.18 Métodos alternativos também foram desenvolvidos como a implementação de técnicas espectroscópicas acopladas à célula eletroquímica.20-25 Esta configuração possui a vantagem de permitir medidas seletivas in situ de intermediários específicos. Uma limitação encontrada no uso das microssondas, que são alocadas dentro do corpo da célula eletroquímica, é claramente o tamanho físico na ordem de centímetros. Esta característica, por sua vez, restringe o experimento espacial a um pequeno número de sondas, além de requerer um eletrodo de trabalho com grande área geométrica. Baseado nessas restrições, o estudo do transporte de massa torna-se limitado. Sistemas similares foram propostos, como por exemplo, a utilização de uma única sonda próxima a um anel rotatório que soluciona o problema de transporte de massa e permite uma boa resolução espaço-temporal.32-37

Hudson et al.38-47 desenvolveram um aparato experimental com resolução espaço-temporal para a medida discreta em cada posição do ET, dividindo-o em até 64 eletrodos pontuais. Esta abordagem possibilita o estudo do comportamento coletivo de várias subunidades presente no sistema, como o fenômeno de sincronização,48-50 estado quimera51-53 e padrões espaciais estacionários.54 Seguindo esta ideia, nós desenvolvemos um aparato experimental similar, mas com uma maior flexibilidade de controle das resistências e a posição do eletrodo de referência no sistema eletroquímico, o que nos fornece um ajuste preciso do acoplamento entre os eletrodos individuais. O presente trabalho trata da descrição deste sistema, assim como da apresentação e discussão de resultados experimentais com esse sistema.

 

SEÇÃO EXPERIMENTAL

Célula eletroquímica e eletrodo de trabalho multicanal

A disposição dos eletrodos na célula eletroquímica é mostrada na Figura 1. Foram utilizados como eletrodo de trabalho (ET) 32 eletrodos de platina policristalina com diâmetro de 1,0 mm, igualmente espaçados por 0,5 mm e distribuídos uniformemente em uma configuração de anel quasi-unidimensional. Este conjunto é acoplado globalmente pelo potencio/galvanostato PG 510 e a corrente coletiva, icoll, é monitorada pelo sistema InstruTECH LIH8+8, ambos equipamentos da HEKA.

 


Figura 1. Modelo esquemático representando a disposiçao dos eletrodos na célula eletroquímica multicanal. Eletrodo de trabalho: ET, contra-eletrodo: CE, eletrodo de referência: ER, potencial aplicado: U, corrente individual: iind, corrente coletiva: icoll, resistência individual: Rind, resistência coletiva: Rcoll, raio do ET: r

 

A corrente coletiva representa a soma de todas as correntes individuais, iind, de cada eletrodo, as quais fluem pelo resistor externo ou resistência coletiva, Rcoll (categoria MDR-610 da Minipa), conectados em série com o ET, e portanto, responsável pelo acoplamento entre os eletrodos pontuais.43 O eletrodo reversível de hidrogênio (ERH) foi utilizado como eletrodo de referência (ER) com concentração idêntica ao eletrólito de suporte. Este é posicionado de forma equidistante a cada eletrodo pontual com a finalidade de manter a mesma queda ôhmica e, além disso, possui liberdade de movimento no eixo ortogonal ao plano do ET. Uma tela de platina policristalina de alta rugosidade com geometria e raio similares ao ET foi utilizada como contra-eletrodo (CE) posicionada atrás do plano equipotencial do ER e em paralelo ao ET. O aparato experimental pode ser visualizado na Figura 2.

 


Figura 2. (a) célula eletroquímica multicanal, CEM: (1), tampa rosqueada superior: (2) e inferior: (3), controle de altura rosqueada para ER: (4), entrada: (5) e saída: (6) de argônio; (b) eletrodo de trabalho multicanal; (c) conexoes e cabeamento blindados e aterrados para o Sistema de Aquisiçao de Dados multicanal

 

A célula eletroquímica é revestida por uma camisa térmica com possibilidade de controle de temperatura do meio reacional. O corpo cilíndrico é vazado nas duas extremidades onde as entradas superior/inferior são vedadas por tampas de Teflon, como mostrado na Figura 2a. A entrada superior permite o encaixe do CE e ER além da purga de argônio, enquanto que a tampa inferior fixa o ET e respectivas conexões à célula eletroquímica como mostrado na Figura 2b e 2c. Os eletrodos pontuais foram confinados em uma matriz de resina epóxi Araldite CY-248 e endurecedor Aradur HY-956, ambos da Maxepoxi.55 A escolha da resina foi baseada nas seguintes características: é um sistema líquido de baixa viscosidade (1500 mPa s à 25 ºC), baixo tempo de cura (24 h à 25 ºC), transparente, isento de sais minerais (alta rigidez dielétrica, 19 kV mm-1) e considerável resistência à corrosão química na faixa de pH ácido ou alcalino comum ao eletrólito de suporte. Ademais, o embutimento realizado em resina é de excelente qualidade, o que minimiza o efeito de queda ôhmica provocada por infiltrações laterais. O conjunto de eletrodos de trabalho conecta-se a um suporte de Teflon que provê um cabeamento blindado e aterrado, além das conexões necessárias para a discriminação dos eletrodos individuais.

Instrumentação e aquisição de dados

A discretização e resolução espaço-temporal do eletrodo de trabalho em 32 eletrodos de platina pontuais são realizadas pela medida das correntes individuais, iind, por meio da queda de potencial em cada resistor shunt (ou potenciômetro individual, Rind) com valor previamente conhecido. Nesta configuração, a Rind não é apenas responsável pela monitoração de iind, mas também pode participar do acoplamento global.43 O potencial como sinal analógico é monitorado e digitalizado pelo Sistema de Aquisição de Dados, SAD da National Instruments. Todos os periféricos utilizados e respectivas especificações são listados na Figura 1S em Material Suplementar.

O programa de aquisição de dados foi escrito no software LabVIEW com uso dos módulos pré-compilados. O diagrama de blocos pode ser visualizado na Figura 2S em Material Suplementar. A cada loop do programa o módulo DAQ-Assistant retira os dados da placa de aquisição em configuração de terminal diferencial a uma taxa de amostragem pré-definida. A frequência de aquisição, faq, depende da frequência de amostragem, fam, do número de amostras coletadas, nam, e da quantidade de canais utilizados na medida, n. Considerando o valor máximo da frequência de amostragem do conversor analógico-digital PXI-6225 de 250 kHz e 32 canais como a quantidade total de eletrodos funcionando durante o experimento eletroquímico, a frequência de aquisição pode ser expressa pela Equação 1.

A Equação 1 foi utilizada para estimar o número adequado de eletrodos pontuais de platina policristalina utilizados na confecção do ET. Foi utilizada a frequência oscilatória de aproximadamente 17 Hz observada na reação de eletro-oxidação de etileno glicol em meio básico56,57 como referência por representar as oscilações mais rápidas dentre outros sistemas similares. Trabalhando na aquisição máxima, a frequência oscilatória de 20 Hz pode ser monitorada nos 32 eletrodos individuais com aquisição de aproximadamente 100 pontos por ciclo oscilatório e 4 amostras por ponto, o que fornece uma boa resolução experimental. A seguir são apresentadas as etapas do tratamento do sinal após a medida pelo SAD.

O sinal adquirido passa por uma série de tratamentos digitais, sendo o módulo Statistics o primeiro. Este tem a finalidade de concentrar toda a amostragem em um único ponto. A vantagem deste processamento é evitar que valores espúrios possivelmente não filtrados contaminem o sinal. Dentre uma vasta gama de cálculos oferecidos, o procedimento adotado foi uma média aritmética que tende a convergir o valor medido ao mais próximo do real. Neste sentido, é importante notar que quanto maior o número de amostras, maior será a precisão da medida. Portanto, o ideal é que o experimento seja realizado na quantidade máxima de amostras respeitando o valor da frequência de aquisição, vide Equação 1. Neste ponto, o sinal pode ser armazenado por meio do módulo Write to Measurement File. Os dados obtidos são armazenados em disco rígido no formato .lvm, onde a primeira coluna corresponde ao tempo relativo e as colunas restantes representam cada canal individual. Uma vez armazenados externamente, os dados podem ser importados e tratados matricialmente em qualquer linguagem de programação. Em nossa análise foi utilizado o software Matlab. A graficação em tempo real é feita no painel frontal sob dois tipos de históricos temporais e um espaço-temporal. A apresentação de interface gráfica é mostrada na Figura 3S em Material Suplementar.

O Gráfico de Comparação fornece a visualização simultânea de até dois canais selecionáveis em função do tempo relativo. A escolha dos canais numerados de 1 a 32 é realizada no seletor ressaltado pelo Canal A e B. O Histórico Total com os 32 canais não permite a seleção de um canal individual. A frequência de aquisição pode ser controlada durante a medida pela variação da Frequência de Amostragem e Número de Amostras. Os resultados mais relevantes podem ser armazenados em disco rígido pelo endereço previamente fornecido, Entrada/Saída de Dados, apertando o botão ON/OFF e STOP para iniciar a escrita e finalizar a medida, respectivamente. Também é possível acompanhar em tempo real o gráfico bidimensional #canal/tempo em Resolução Espaço-Temporal. Neste caso, a escala de cor representa a magnitude da corrente individual que flui pelo circuito eletroquímico.

De posse da instrumentação e interface gráfica necessárias para a aquisição de dados do multicanal, alguns experimentos foram realizados com um protótipo de cinco eletrodos individuais. Foi utilizada a reação eletro-oxidação de ácido fórmico em meio ácido devido às altas correntes de oxidação associadas e à presença de oscilações potenciostáticas em um grande intervalo de parâmetros. A iind foi monitorada pela queda de potencial, E, por meio de um resistor controlável, Rind. A medida em configuração diferencial foi realizada pelo periférico SCC-68 e o sinal enviado diretamente ao conversor analógico-digital. Um problema observado nesse ponto consistiu na presença de ruído durante as medidas oscilatórias em regime potenciostático. A escala de corrente foi menor que 10 µA, com amplitude oscilatória de aproximadamente 0,04 a 0,3 µA por eletrodo individual, resultante da pequena área geométrica de 0,0078 cm2 de cada eletrodo.

Com a finalidade de melhorar a relação sinal/ruído foi desenvolvido um Dispositivo de Tratamento de Sinal, DTS. O sistema foi confeccionado com componentes de alta precisão, alimentação externa e malha de terra, ver detalhes nas Figuras 4S e 5S em Material Suplementar. Adaptado ao SAD pelo conector SHC68-68-EPM, o DTS substitui o módulo SCC-68, possibilitando explorar os 80 canais analógicos presentes no PXI-6225. A quantidade de canais analógicos disponíveis permite posteriormente a confecção de um ET com geometria bidimensional. A necessidade da construção de um DTS tem sido relatada em outros sistemas eletroquímicos de aquisição multicanal devido à baixa magnitude do sinal.58-60

De forma geral, a placa DTS amplifica, filtra e controla a linha de base do sinal proveniente do experimento eletroquímico antes de ser enviado ao SAD. O sistema é dividido em 5 módulos alimentados externamente com 16 canais cada um. Utilizando a Rind como uma sonda, ou seja, resistores shunt (1) a (3), monitora-se a queda de potencial E associada ao fluxo de cada iind. A magnitude do sinal pode ser manipulada por meio da escala do potenciômetro (1) 2 kΩ, (2) 20 kΩ e (3) 100 kΩ. Além da amplificação, a grande faixa de resistência utilizada neste trabalho permite uma maior flexibilidade no alcance de oscilações potenciostáticas autossustentadas, uma vez que a combinação desses resistores influencia a natureza do padrão espaço-temporal resultante. A amplificação é condicionada ao potenciômetro (4) 100 kΩ com ganho de g de 20x a 200x enquanto que a linha de base é controlada pelo potenciômetro (5) 5 kΩ. Adicionalmente, utilizou-se no DTS um filtro passa-baixa de ordem 1 com frequência de corte fixa em 1 kHz. O valor utilizado é suficiente para filtrar e não atrasar o sinal, solicitando a média aritmética digital para frequências abaixo de 1 kHz. Tanto a amplificação quanto o filtro estão conectados ao amplificador operacional de alta precisão OP07C. A otimização e confecção do circuito impresso foi realizada pela empresa Flyever sediada na cidade de São Carlos, SP. O fluxograma geral que descreve todo aparato experimental para a aquisição de dados multicanal pode ser representado na Figura 3.

 


Figura 3. Fluxograma referente ao aparato experimental de aquisiçao de dados multicanal durante medidas eletroquímicas espacialmente resolvidas. Uma visao geral do aparato eletroquímico está disponível na Figura 6S em Material Suplementar

 

Calibração, ajuste e validação do sinal

A fim de evitar a aquisição de resultados artificiais é realizado periodicamente um procedimento de calibração no DTS, ver Figuras 7S e 8S em Material Suplementar para a descrição das interfaces utilizadas. Os potenciômetros de (1) a (3) são ajustados com um multímetro ET-2210 da Minipa, enquanto que a calibração da amplificação e linha de base consiste no ajuste dos valores dos potenciômetros (4) e (5) mediante aplicação de um sinal conhecido pela fonte de tensão MPL-3303 e/ou gerador de funções MFG-4204, seguido da monitoração na entrada/saída do canal pelo osciloscópio MO-1225, todos da Minipa, e interface gráfica confeccionada exclusivamente para a calibração. No entanto, mesmo com a calibração manual do DTS, pequenas divergências foram encontradas na resposta eletroquímica de cada canal. Com a finalidade de quantificar os dados obtidos pelo SAD um procedimento de ajuste fino foi elaborado. Antes de iniciar a descrição deste procedimento é importante destacar a nomenclatura dos parâmetros utilizados no ajuste, vide Tabela 1.

 

 

Realiza-se inicialmente a normalização da linha de base. Neste caso, o sistema Pt|H2SO4 foi mantido em potencial de circuito aberto até atingir valores estacionários e uma aquisição de pontos pelo SAD foi efetuada durante 1 minuto. Segundo a Equação 2, a medida das correntes individuais pode ser representada matricialmente por iind, em que n corresponde ao número total de eletrodos e p = faq.t é a quantidade de pontos obtidos na frequência de aquisição faq em um dado intervalo de tempo Δt,

a corrente individual de cada eletrodo medida no SAD é obtida por meio da Equação 3 com base na Lei de Ohm,

em que E é a queda de potencial no resistor shunt, Rind amplificado por um valor, g. Após a aquisição de dados em circuito aberto durante 1 minuto, foi calculado via Equação 4 a média aritmética da linha de base em cada vetor linha da matriz iind,

em que < iind > corresponde a um vetor coluna das médias aritméticas. Cada valor médio da corrente individual é centrado no zero e as voltametrias de platina em meio ácido são alinhadas.

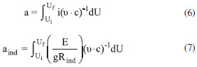
O próximo passo baseia-se no ajuste da amplificação. Os valores de correção da amplificação, λ, são obtidos pela comparação entre as áreas ativas dos eletrodos, calculadas pela medida individual/simultânea no SAD, aind, e a medida individual/separada pelo potenciostato de cada eletrodo pontual, a. Assim, o fator de correção pode ser calculado pela Equação 5.

em que,

υ corresponde à velocidade de varredura em V s-1 da voltametria cíclica, c = 210 µC cm-2 é uma constante referente à carga de oxidação de uma monocamada de hidrogênio em platina policristalina,61 e, finalmente, o potencial inicial e final de integração é representado como Ui e Uf, respectivamente. Note que pequenas variações nos potenciômetros não afetam significantemente a amplificação do sinal uma vez que o ajuste fino da amplificação elimina esta variável.

As densidades de correntes individuais medidas pelo SAD e o potenciostato podem ser comparadas considerando as Equações 8 e 9,

enquanto que as densidades de correntes coletivas podem ser comparadas pelas Equações 10 e 11, respectivamente.

Utilizando este procedimento foi possível obter um excelente ajuste nas voltametrias cíclicas individuais e coletivas, além das séries temporais oscilatórias globais. No entanto, algumas variações mais acentuadas na linha de base foram observadas nas oscilações de correntes individuais, o que dificultava a visualização dos padrões auto-organizados. Neste sentido, o gráfico com resolução espaço-temporal considera a linha de base calculada pela Equação 4, mas empregando todos os valores de corrente obtidos tanto no pré-tratamento quanto na série temporal completa. A escala de corrente é então normalizada em relação aos valores médios das correntes individuais, vide Equação 12. De fato, esta metodologia realça a resolução do padrão formado.

Em termos das densidades de corrente, tem-se a Equação 13.

Reagentes e procedimento de limpeza

Os experimentos eletroquímicos foram conduzidos durante a eletro-oxidação de ácido fórmico (Fluka, 98%) com concentração molar de [HCOOH] = 0,5 mol L-1. A condutividade da solução foi assegurada pela adição de ácido sulfúrico (Merck, 98%) com [H2SO4] = 0,1 mol L-1. As soluções foram preparadas com água de alta pureza (Milli-Q, 18,2 MΩ cm). A limpeza de toda vidraria foi realizada pela imersão em solução concentrada de KMnO4/OH- por 12 horas, seguida da remoção dos resíduos de manganês pela imersão em solução também concentrada de H2O2/H+ durante 1 h aproximadamente. Depois de lavagens exaustivas com água de alta pureza, a vidraria foi mantida em água e aquecimento até o ponto de ebulição por 10 min, seguida da repetição do procedimento de fervura por no mínimo 3 vezes. O ET foi polido primeiramente com uma lixa d'água de granulação 2000 e posteriormente com pasta de diamante com diferentes níveis de granulações: 9, 6, 3 e 0,25 µm. Em seguida, o eletrodo foi imerso em solução de acetona de alta qualidade sob ultrassom durante 10 min para a retirada de traços orgânicos e também lavado exaustivamente com água ultrapura a temperatura ambiente. Finalmente, o ET foi polarizado no intervalo de 0,05 a 1,4 V com velocidade de varredura de υ = 1 V s-1 por pelo menos 30 min.

 

RESULTADOS EXPERIMENTAIS

Observa-se na Figura 4 as voltametrias cíclicas, VC, dos sistemas (a) Pt|H2SO4 e (b) Pt|H2SO4, HCOOH, a υ = 0,1 V s-1 para o sinal global de todos os eletrodos. A linha contínua é referente aos dados monitorados pelo potenciostato, enquanto que os círculos representam das medidas provenientes do SAD. Ambas as correntes I e icoll foram normalizadas pela área ativa total do eletrodo, obtida com respeito à oxidação de uma monocamada de hidrogênio adsorvido em baixos potenciais, obtendo-se J e jcoll.

 


Figura 4. Voltametrias cíclicas de platina policristalina em (a) [H2SO4] = 0,1 mol L-1 e com a adiçao de ácido fórmico (b) [HCOOH] = 0,5 mol L-1. Linha contínua representa a densidade de corrente total, J medida pelo potenciostato enquanto que os círculos sao referentes à densidade de corrente coletiva, jcoll medidos pelo SAD. Foram utilizados os seguintes parâmetros: υ= 0,1 V s-1 e Rind = 0,5 kΩ

 

De forma geral, as VC apresentam as características principais observadas experimentalmente:62,63 (a) Picos reversíveis de oxidação e redução de hidrogênio adsorvido em baixos potenciais, formação de óxidos irreversíveis de platina em potenciais acima de 0,8 V na varredura positiva e respectiva redução em torno de 0,76 V na varredura negativa, e a centralização da corrente em torno do zero associada a processos capacitivos; (b) A presença de dois picos na varredura positiva, o primeiro em 0,56 V e o segundo com início na formação de óxidos de platina com o máximo em 0,94 V. Já na varredura negativa, observa-se um pico de oxidação em 0,74 V relacionado ao processo de reativação superficial. Dados os perfis voltamétricos mostrados na Figura 4, é possível concluir que o sistema experimental atende aos quesitos fundamentais de limpeza, ausência de queda ôhmica devido às infiltrações laterais nas bordas dos eletrodos individuais e eliminação de oxigênio molecular do meio reacional. Em particular, é importante ressaltar que as densidades de corrente obtidas tanto pelo potenciostato, J, quanto pelo SAD, jcoll, sobrepõem-se praticamente em toda faixa de potencial estudada, o que valida quantitativamente o procedimento de calibração adotado.

Com base nos resultados globais, torna-se necessário analisar também a validade dos resultados em cada eletrodo. Na Figura 5 é mostrado um conjunto de voltametrias cíclicas dos sistemas (a) Pt|H2SO4 e (b) Pt|H2SO4, HCOOH a υ = 0,1 V s-1 em nove eletrodos de platina policristalina rotulados por diferentes cores e igualmente espaçados pelo anel. Neste caso, a linha contínua representa o décimo ciclo da VC ou a densidade de corrente individual obtida pelo potenciostato, j e os círculos representam a densidade de corrente individual medida pelo SAD, jind no enésimo ciclo.

 


Figura 5. Voltametrias de platina policristalina medidas em nove eletrodos (diferentes cores): (a) na presença de [H2SO4] = 0,1 mol L-1 (linha contínua: j e círculos: jind) e (b) com a adiçao de ácido fórmico [HCOOH] = 0,5 mol L-1(linha contínua: jind). Para maiores informaçoes, ver Figura 4

 

Observa-se na Figura 5a uma excelente congruência entre j e jind, principalmente em regiões de baixos e intermediários valores de potencial. Uma divergência sutil aparece acima de 1,0 V devido ao acúmulo de impurezas. Como as medidas individuais foram realizadas separadamente pelo potenciostato, houve um intervalo de tempo na ordem de 150 minutos entre a VC do primeiro eletrodo em relação ao último. Em contraste, a medida realizada pelo SAD, que acontece simultaneamente, na maioria das vezes foi utilizada o perfil voltamétrico estacionário para a comparação dos dados. A Figura 5a mostra que dez ciclos na VC proveniente da medida direta e individual pelo potenciostato não foram suficientes para a limpeza eletroquímica total do eletrodo o que ressalta essa diferença de j referente à jind em altos potenciais. Nota-se, no entanto, que essa divergência praticamente não existe na região da oxidação de hidrogênio adsorvido, o que não altera de forma significativa o ajuste dos dados. Como observado anteriormente, é evidente a validação dos dados experimentais. A Figura 5b mostra as VC no sistema Pt|H2SO4, HCOOH. Novamente, observa-se um perfil voltamétrico muito similar à VC global além da pequena variação das densidades de correntes individuais entre os eletrodos. De forma geral, a maior divergência encontrada no ajuste fino corresponde à variação entre as magnitudes das densidades de correntes nos presentes picos de oxidação, a qual não ultrapassou 4,7%. Esta evidência realça a precisão do procedimento de calibração e ajuste.

Considerando a eventual dependência espaço-temporal das velocidades de reação em um conjunto de eletrodos, deve-se considerar a forma de acoplamento entre os eletrodos individuais. Segundo Kiss et al.,43 o acoplamento global entre os eletrodos pode ser controlado via variações nas resistências externas Rind e Rcoll segundo a Equação 14,

em que ξ é definido como o fator de acoplamento global e n o número total de eletrodos. Assim, quando Rind → ∞, tem-se que ξ → 0. Em contrapartida, quando Rcoll → ∞, a magnitude do fator de acoplamento ξ → 1. Neste contexto, os valores de mínimo e máximo de ξ definidos no intervalo 0 < ξ < 1 são associados a um acoplamento global fraco e forte, respectivamente.

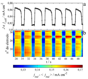
Com intuito de verificar a funcionalidade do circuito elétrico do DTS no controle do fator de acoplamento, foram realizados experimentos estacionários em modo potenciostático. Em todos os casos o ER foi posicionado no centro do anel do ET. Para cada medida, um pré-tratamento foi realizado na seguinte ordem: verificação e retirada de possíveis bolhas no ET, saturação do meio reacional pela purga de argônio, 15 ciclos a υ = 0,1 V s-1 no intervalo de 0,05 a 1,40 V seguida da polarização em U = 0,05 V durante 15 s com ajuste simultâneo da Rcoll desejada, e finalmente um salto de potencial para um valor previamente determinado. Na Figura 6 são observadas oscilações potenciostáticas durante a eletro-oxidação de ácido fórmico em 32 eletrodos fortemente acoplados com ξ = 0,99 e U = 4,0 V, representando a densidade de corrente (a) J obtida pelo potenciostato e jcoll medida pelo SAD, e (b) respectiva resolução espaço-temporal discriminando cada eletrodo pela evolução temporal de jind - < jind >.

 


Figura 6. Oscilaçoes potenciostáticas sincronizadas com eletrodos fortemente acoplados durante a eletro-oxidaçao de ácido fórmico em platina policristalina. (a) densidade de corrente J (linha contínua) e jcoll (círculos) em funçao do tempo e (b) resoluçao espaço-temporal dos 32 eletrodos de trabalho em termos de jind - < jind >. [H2SO4] = 0,1 mol L-1, [HCOOH] = 0,5 mol L-1, Rind = 0,5 kΩ, Rcoll = 8,0 kO, U = 4,0 V, ξ = 0,99

 

Tomando como base a Figura 6a, a precisão do procedimento de calibração e ajuste adotado neste trabalho fica novamente evidente pela sobreposição completa das curvas J e jcoll, além da excelente relação sinal/ruído. Como os eletrodos estão fortemente acoplados, dado os altos valores de Rcoll = 8,0 kΩ, nota-se que o comportamento oscilatório global possui um perfil bem definido. Na Figura 6b é possível observar a evolução espaço-temporal dos 32 eletrodos. De forma geral, os eletrodos oscilam em sincronia e na mesma fase. A escala de cor abaixo desta figura representa os valores de jind - < jind > de cada eletrodo. Esta conectividade em uníssono, descrita pelo trabalho pioneiro de Kuramoto,64 é dependente de um valor crítico do fator de acoplamento e caracterizada por um crescimento sigmoidal da amplitude coletiva dos osciladores. A primeira evidência experimental foi relatada por Kiss et al.45 durante a eletro-dissolução de níquel em ácido sulfúrico.

À medida que diminui-se Rcoll e aumenta-se Rind, há um favorecimento do desacoplamento entre os eletrodos pontuais e a formação de padrões espacialmente resolvidos. Considerando um caso extremo em que o fator de acoplamento possui um valor pequeno, ξ = 0,03, a dessincronização dos eletrodos individuais tornou-se evidente no potencial aplicado U = 4,0 V, como mostrado na Figura 7.

 


Figura 7. Oscilaçoes potenciostáticas dessincronizadas com eletrodos fracamente acoplados durante a eletro-oxidaçao de ácido fórmico em platina policristalina. (a) densidade de corrente J (linha contínua) e jcoll (círculos) em funçao do tempo e (b) resoluçao espaço-temporal dos 32 eletrodos de trabalho em termos de jind - < jind >. [H2SO4] = 0,1 mol L-1, [HCOOH] = 0,5 mol L-1, Rind = 1,0 MΩ, Rcoll = 1,0 kΩ, U = 4,0 V, ξ = 0,03

 

A resposta eletroquímica total dada na Figura 7a não apresenta uma periodicidade bem definida devido aos distintos comportamentos oscilatórios dos eletrodos individuais. Ressalta-se a sobreposição entre J e jcoll, porém, variações sutis foram observadas nesta comparação. Este comportamento é resultante de uma ligeira variação na linha de base utilizada na normalização dos dados. É, portanto, importante que a aquisição de dados para a normalização da linha de base seja iniciada quando os valores de corrente em potencial de circuito aberto sejam estacionários. Na Figura 7b é mostrada a distribuição das densidades de correntes individuais, jind - < jind > ao longo do ET. Inicialmente os eletrodos encontram-se com fases relativas próximas e gradativamente vão se distanciando devido à deriva intrínseca da série temporal.65,66 No intervalo de tempo estudado foi possível observar claramente a formação de um alvo unidimensional que se propaga para ambos os lados a partir do eletrodo nº 5.33,67

 

CONCLUSÃO

Apresentou-se neste artigo uma descrição detalhada da construção de um setup experimental para a medida de padrões espaço-temporais em reações eletroquímicas. A utilização do sistema foi validada com um conjunto de 32 eletrodos de platina, caracterizados em eletrólito base, e na reação de eletro-oxidação de ácido fórmico em meio ácido. A dinâmica espaço-temporal sob regime oscilatório foi estudada em duas condições extremas de acoplamento espacial e os resultados obtidos estão em perfeito acordo com prévios relatos em sistemas comparáveis. A utilização de um Dispositivo de Tratamento de Sinais (DTS) acoplado ao Sistema de Aquisição de Dados (SAD) promoveu uma relação sinal/ruído adequada em todos os experimentos, assegurando a obtenção de ótimos resultados. A construção da célula eletroquímica e o eletrodo de trabalho multicanal não apresentaram problemas com infiltrações laterais, queda ôhmica e interferência de campo magnético nos cabeamentos. Finalmente, os métodos de calibração e ajuste desenvolvidos forneceram resultados com excelente aproximação à medida real, apresentando uma variação seguramente menor do que 4,7%, o que valida os dados experimentais.

 

MATERIAL SUPLEMENTAR

As rotinas desenvolvidas no software LabVIEW para aquisição dados e calibração dos canais, respectivas interfaces gráficas, os periféricos do Sistema de Aquisição de Dados (SAD), Dispositivo de Tratamento de Sinais (DTS) e circuito elétrico correspondente, além de uma visão geral do aparato eletroquímico de aquisição multicanal, encontram-se disponíveis em http://quimicanova.sbq.org.br como arquivo .pdf de acesso livre.

 

AGRADECIMENTOS

R.N. (#2009/00153-6), M.A.N. (#2011/10982-0 e #2012/24368-4) e H.V. (#2004/04528-0, #2009/07629-6, e #2012/24152-1) agradecem à Fundação de Amparo à Pesquisa do Estado de São Paulo (FAPESP) pelos auxílios financeiros. HV (#306151/2010-3 e 304458/2013-9) agradece ao Conselho Nacional de Desenvolvimento Científico e Tecnológico (CNPq) pelo auxílio financeiro. Os autores também expressam seus agradecimentos a R. Miguel (ICMC/USP) e a A. S. Contadori (IQSC/USP) pela ajuda na confecção do aparato experimental, ao Prof. Dr. L. H. Mazo (IQSC/USP) e ao Prof. Dr. D. Varela (EESC/USP) pelas discussões importantes sobre instrumentação analítica e programação em LabVIEW, respectivamente.

 

REFERÊNCIAS

1. Nicolis, G.; Prigogine, I.; Self-Organization in Nonequilibrium Systems: From Dissipative Structures to Order through Fluctuations; Wiley: New York, 1977.

2. Murray, J. D.; Mathematical Biology: I. An Introduction; Springer-Verlag: Berlin, 2002.

3. Murray, J. D.; Mathematical Biology: II. Spatial Models and Biomedical Applications; Springer-Verlag: Berlin, 2003.

4. Buzsaki, G.; Draguhn, A.; Science 2004, 304, 1926. DOI: http://dx.doi.org/10.1126/science.1099745 PMID: 15218136

5. Epstein, I. R.; Pojman, J. A.; Introduction to Nonlinear Chemical Dynamics. Oscillations, Waves, Patterns and Chaos; Oxford University Press: New York, 1998.

6. Epstein, I. R.; Proc. Natl. Acad. Sci. U. S. A. 2006, 103, 15727. DOI: http://dx.doi.org/10.1073/pnas.0608026103 PMID: 17043211

7. Epstein, I. R.; Showalter, K.; J. Phys. Chem. 1996, 100, 13132. DOI: http://dx.doi.org/10.1021/jp953547m

8. Turing, A. M.; Philos. Trans. R. Soc., B 1952, 237, 37. DOI: http://dx.doi.org/10.1098/rstb.1952.0012

9. Vanag, V. K.; Epstein, I. R.; Science 2001, 294, 835. DOI: http://dx.doi.org/10.1126/science.1064167 PMID: 11679665

10. Vanag, V. K.; Epstein, I. R.; Phys. Rev. Lett. 2001, 87, 228301. DOI: http://dx.doi.org/10.1103/PhysRevLett.87.228301 PMID: 11736430

11. Vanag, V. K.; Epstein, I. R.; Proc. Natl. Acad. Sci. U. S. A. 2003, 100, 14635. DOI: http://dx.doi.org/10.1073/pnas.2534816100 PMID: 14645709

12. Vanag, V. K.; Epstein, I. R.; Chaos 2007, 17, 037110. DOI: http://dx.doi.org/10.1063/1.2752494 PMID: 17903017

13. Bansagi, T., Jr.; Vanag, V. K.; Epstein, I. R.; Science 2011, 331, 1309. DOI: http://dx.doi.org/10.1126/science.1200815 PMID: 21310963

14. Epstein, I. R.; Vanag, V. K.; Balazs, A. C.; Kuksenok, O.; Dayal, P.; Bhattacharya, A.; Acc. Chem. Res. 2012, 45, 2160. DOI: http://dx.doi.org/10.1021/ar200251j PMID: 22204671

15. Feldman, D.; Nagao, R.; Bansagi, T., Jr.; Epstein, I. R.; Dolnik, M.; Phys. Chem. Chem. Phys. 2012, 14, 6577. DOI: http://dx.doi.org/10.1039/c2cp23779b PMID: 22456449

16. Nagao, R.; Epstein, I. R.; Dolnik, M.; J. Phys. Chem. A 2013, 117, 9120 DOI: http://dx.doi.org/10.1021/jp4073069 PMID: 23991763

17. Christoph, J.; Otterstedt, R. D.; Eiswirth, M.; Jaeger, N. I.; Hudson, J. L.; J. Chem. Phys. 1999, 110, 8614. DOI: http://dx.doi.org/10.1063/1.478768

18. Christoph, J.; Strasser, P.; Eiswirth, M.; Ertl, G.; Science 1999, 284, 291. DOI: http://dx.doi.org/10.1126/science.284.5412.291 PMID: 10195888

19. Lee, J. Y.; Christoph, J.; Strasser, P.; Eiswirth, M.; Ertl, G.; Phys. Chem. Chem. Phys. 2003, 5, 935. DOI: http://dx.doi.org/10.1039/b209434g

20. Li, Y. J.; Oslonovitch, J.; Mazouz, N.; Plenge, F.; Krischer, K.; Ertl, G.; Science 2001, 291, 2395. DOI: http://dx.doi.org/10.1126/science.1057830 PMID: 11264532

21. Morschl, R.; Bolten, J.; Bonnefont, A.; Krischer, K.; J. Phys. Chem. C 2008, 112, 9548. DOI: http://dx.doi.org/10.1021/jp8039737

22. Bauer, P. R.; Bonnefont, A.; Krischer, K.; ChemPhysChem 2010, 11, 3002. DOI: http://dx.doi.org/10.1002/cphc.201000301 PMID: 20715270

23. Miethe, I.; Garcia-Morales, V.; Krischer, K.; Phys. Rev. Lett. 2009, 102, 194101. DOI: http://dx.doi.org/10.1103/PhysRevLett.102.194101 PMID: 19518955

24. Miethe, I.; Krischer, K.; J. Electroanal. Chem. 2012, 666, 1. DOI: http://dx.doi.org/10.1016/j.jelechem.2011.11.027

25. Schoenleber, K.; Krischer, K.; ChemPhysChem 2012, 13, 2989. DOI: http://dx.doi.org/10.1002/cphc.201200230

26. Ramirez-Alvarez, E.; Rico-Martinez, R.; Krischer, K.; Electrochim. Acta 2013, 112, 894. DOI: http://dx.doi.org/10.1016/j.electacta.2013.05.098

27. Imbihl, R.; Ertl, G.; Chem. Rev. 1995, 95, 697. DOI: http://dx.doi.org/10.1021/cr00035a012

28. Jakubith, S.; Rotermund, H. H.; Engel, W.; Vonoertzen, A.; Ertl, G.; Phys. Rev. Lett. 1990, 65, 3013. DOI: http://dx.doi.org/10.1103/PhysRevLett.65.3013 PMID: 10042757

29. Rotermund, H. H.; Surf. Sci. 2009, 603, 1662. DOI: http://dx.doi.org/10.1016/j.susc.2008.11.048

30. Zhao, Y.; Wang, S.; Varela, H.; Gao, Q.; Hu, X.; Yang, J.; Epstein, I. R.; J. Phys. Chem. C 2011, 115, 12965. DOI: http://dx.doi.org/10.1021/jp202881h

31. Yang, J.; Song, Y.; Varela, H.; Epstein, I. R.; Bi, W.; Yu, H.; Zhao, Y.; Gao, Q.; Electrochim. Acta 2013, 98, 116. DOI: http://dx.doi.org/10.1016/j.electacta.2013.03.053

32. Varela, H.; Krischer, K.; Catal. Today 2001, 70, 411. DOI: http://dx.doi.org/10.1016/S0920-5861(01)00347-9

33. Grauel, P.; Varela, H.; Krischer, K.; Farad. Discussions 2001, 120, 165. DOI: http://dx.doi.org/10.1039/b103345j

34. Bonnefont, A.; Varela, H.; Krischer, K.; ChemPhysChem 2003, 4, 1260. DOI: http://dx.doi.org/10.1002/cphc.200300874 PMID: 14653011

35. Varela, H.; Bonnefont, A.; Krischer, K.; ChemPhysChem 2003, 4, 1348. DOI: http://dx.doi.org/10.1002/cphc.200300922 PMID: 14714385

36. Varela, H.; Beta, C.; Bonnefont, A.; Krischer, K.; Phys. Rev. Lett. 2005, 94, 174104. PMID: 15904297

37. Varela, H.; ChemistryOpen 2012, 1, 165. DOI: http://dx.doi.org/10.1002/open.201200017 PMID: 24551505

38. Kiss, I. Z.; Zhai, Y.; Hudson, J. L.; Phys. Rev. E: Stat. Phys., Plasmas, Fluids, Relat. Interdiscip. Top. 2008, 77, 046204. DOI: http://dx.doi.org/10.1103/PhysRevE.77.046204

39. Kori, H.; Rusin, C. G.; Kiss, I. Z.; Hudson, J. L.; Chaos 2008, 18, 026111. DOI: http://dx.doi.org/10.1063/1.2927531 PMID: 18601513

40. Kurths, J.; Romano, M. C.; Thiel, M.; Osipov, G. V.; Ivanchenko, M. V.; Kiss, I. Z.; Hudson, J. L.; Nonlinear Dyn. 2006, 44, 135. DOI: http://dx.doi.org/10.1007/s11071-006-1957-x

41. Zhai, Y.; Kiss, I. Z.; Hudson, J. L.; Ind. Eng. Chem. Res. 2008, 47, 3502. DOI: http://dx.doi.org/10.1021/ie0708632

42. Kiss, I. Z.; Rusin, C. G.; Kori, H.; Hudson, J. L.; Science 2007, 316, 1886. DOI: http://dx.doi.org/10.1126/science.1140858 PMID: 17525302

43. Kiss, I. Z.; Wang, W.; Hudson, J. L.; J. Phys. Chem. B 1999, 103, 11433. DOI: http://dx.doi.org/10.1021/jp992471h

44. Kiss, I. Z.; Zhai, Y.; Hudson, J. L.; Phys. Rev. Lett. 2002, 88, 238301. DOI: http://dx.doi.org/10.1103/PhysRevLett.88.238301 PMID: 12059402

45. Kiss, I. Z.; Zhai, Y. M.; Hudson, J. L.; Science 2002, 296, 1676. DOI: http://dx.doi.org/10.1126/science.1070757 PMID: 12040190

46. Wang, W.; Kiss, I. Z.; Hudson, J. L.; Chaos 2000, 10, 248. DOI: http://dx.doi.org/10.1063/1.166470 PMID: 12779380

47. Rusin, C. G.; Tokuda, I.; Kiss, I. Z.; Hudson, J. L.; Angew. Chem. Int. Ed. 2011, 50, 10212. DOI: http://dx.doi.org/10.1002/anie.201008194

48. Taylor, A. F.; Tinsley, M. R.; Wang, F.; Huang, Z. Y.; Showalter, K.; Science 2009, 323, 614. DOI: http://dx.doi.org/10.1126/science.1166253 PMID: 19179525

49. Tinsley, M. R.; Taylor, A. F.; Huang, Z. Y.; Showalter, K.; Phys. Rev. Lett. 2009, 102, 158301. DOI: http://dx.doi.org/10.1103/PhysRevLett.102.158301 PMID: 19518678

50. Taylor, A. F.; Tinsley, M. R.; Wang, F.; Showalter, K.; Angew. Chem. Int. Ed. 2011, 50, 10161. DOI: http://dx.doi.org/10.1002/anie.201008248

51. Tinsley, M. R.; Nkomo, S.; Showalter, K.; Nat. Phys. 2012, 8, 662. DOI: http://dx.doi.org/10.1038/nphys2371

52. Nkomo, S.; Tinsley, M. R.; Showalter, K.; Phys. Rev. Lett. 2013, 110, 244102. DOI: http://dx.doi.org/10.1103/PhysRevLett.110.244102 PMID: 25165927

53. Wickramasinghe, M.; Kiss, I. Z.; PLoS One 2013, 8, e80586. DOI: http://dx.doi.org/10.1371/journal.pone.0080586 PMID: 24260429

54. Tompkins, N.; Li, N.; Girabawe, C.; Heymann, M.; Ermentrout, G. B.; Epstein, I. R.; Fraden, S.; Proc. Natl. Acad. Sci. U. S. A. 2014, 111, 4397. DOI: http://dx.doi.org/10.1073/pnas.1322005111 PMID: 24616508

55. http://www.maxepoxi.com.br/, acessada em Abril 2014.

56. Sitta, E.; Varela, H.; Electrocatalysis 2010, 1, 19. DOI: http://dx.doi.org/10.1007/s12678-010-0005-2

57. Sitta, E.; Nascimento, M. A.; Varela, H.; Phys. Chem. Chem. Phys. 2010, 12, 15195. DOI: http://dx.doi.org/10.1039/c002574g PMID: 20661518

58. Lee, J.; Tese de Doutorado, Freien Universität Berlin, Berlim, 2001.

59. Sadeghi, S.; Thompson, M.; Phys. Chem. Chem. Phys. 2010, 12, 6795. DOI: http://dx.doi.org/10.1039/c000966k PMID: 20448882

60. Sadeghi, S.; Thompson, M.; Biosystems 2010, 102, 99. DOI: http://dx.doi.org/10.1016/j.biosystems.2010.08.001 PMID: 20705116

61. Trasatti, S.; Petrii, O. A.; Pure App. Chem. 1991, 63, 711.

62. Angerste, H.; Conway, B., E.; Sharp, W. B. A.; J. Electroanal. Chem. 1973, 43, 9. DOI: http://dx.doi.org/10.1016/S0022-0728(73)80307-9

63. Samjeske, G.; Miki, A.; Ye, S.; Osawa, M.; J. Phys. Chem. B 2006, 110, 16559. DOI: http://dx.doi.org/10.1021/jp061891l PMID: 16913790

64. Kuramoto, Y.; Chemical Oscillations, Waves and Turbulence; Spring-Verlag: New York, 1984.

65. Cabral, M. F.; Nagao, R.; Sitta, E.; Eiswirth, M.; Varela, H.; Phys. Chem. Chem. Phys. 2013, 15, 1437. DOI: http://dx.doi.org/10.1039/C2CP42890C PMID: 23165655

66. Nagao, R.; Sitta, E.; Varela, H.; J. Phys. Chem. C 2010, 114, 22262. DOI: http://dx.doi.org/10.1021/jp109554r

67. Plenge, F.; Varela, H.; Krischer, K.; Phys. Rev. Lett. 2005, 94, 198301. DOI: http://dx.doi.org/10.1103/PhysRevLett.94.198301 PMID: 16090220

On-line version ISSN 1678-7064 Printed version ISSN 0100-4042
Qu�mica Nova
Publica��es da Sociedade Brasileira de Qu�mica
Caixa Postal: 26037 05513-970 S�o Paulo - SP
Tel/Fax: +55.11.3032.2299/+55.11.3814.3602
Free access

GN1