JBCS



12:24, sáb out 25

Acesso Aberto/TP



Carta ao Editor

Comentários sobre o trabalho 'Estimativa da incerteza de medição: estudo de caso no ensaio de migração de ε-caprolactama com determinação por CG-DIC'


Belo Horizonte, 15 de setembro de 2014.

Prezados Editores da Química Nova,

Em suas páginas 1664-1667 do número 5 do volume 35 de 2012 a Química Nova publicou o artigo de Fabio Silvestre Bazilio, Marcus Vinícius Justo Bomfim, Rodrigo Justo de Almeida e Shirley de Mello Pereira Abrantes, intitulado "Estimativa da incerteza de medição: estudo de caso no ensaio de migração de ε-caprolactama com determinação por CG-DIC" (cromatografia gasosa com detector de ionização de chama), apresentando a estimativa da incerteza de medição do ensaio de migração de ε-caprolactama.1 Constatamos que, esse artigo apresenta inconsistências conceituais nas duas Equações 3 e 6, que comprometem seus cálculos, como mostraremos na sequência.

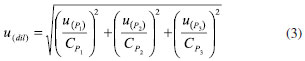
A Equação 3 do artigo,1 abaixo reproduzida, calcula uma incerteza combinada relativa, udil, para o produto ou a divisão das concentrações dos três padrões usados na calibração do CG-DIC, conforme prevê o caso particular da lei de propagação de incertezas, dado pela Equação 12 da seção 5.1.6 do GUM2 para pi = 1 e Regra 2 da seção 8.2.6 do QUAM3.

 

 

Assim, a Equação 3 está associada a equações do tipo: dil = CP1 X CP2 X CP3 ou dil = CP1/CP2/CP3. Essas duas equações, nenhuma delas presentes no artigo, não representam nenhuma grandeza física mensurável, uma vez que diluição (dil) não é uma grandeza, mas um procedimento experimental. Elas apenas calculam produtos ou divisões de valores. Logo, a Equação 3 não tem nenhum significado metrológico. Além do mais, ela também apresenta uma incoerência de notação, pois usa o símbolo u, seguido de um índice, para significar ao mesmo tempo incerteza relativa (udil) e incerteza padrão (uP1, uP2 e uP3), dificultando a compreensão do trabalho.

O mensurando é especificado no artigo como sendo a concentração C0 da ε-caprolactama, que migrou da embalagem plástica contendo poliamida 6 para um solvente simulante (etanol 95%), por meio de sua Equação 1. A incerteza padrão combinada do mensurando (uC0) é corretamente calculada pela Equação 4, a clássica equação para o desvio padrão de previsão sobre uma reta ajustada pelo método dos mínimos quadrados ordinário, a qual os autores chamam de "incerteza associada à curva analítica". Estranhamente, uma outra incerteza combinada para C0 é calculada, combinando a incerteza padrão relativa do próprio mensurando com a incerteza relativa combinada de diluição dos padrões (u(dil)) e com uma incerteza de repetibilidade (u(rep)) por meio de sua Equação 6:

 

 

A Equação 6 apresenta três inconsistências conceituais. A primeira delas reside no fato de que C0 é ao mesmo tempo grandeza de saída e grandeza de entrada, já que, segundo os autores, ucomb seria a incerteza padrão combinada do mensurando C0 e uC0 seria a incerteza padrão de C0. Essa equação não pode ser deduzida aplicando a lei de propagação de incertezas à Equação 1, inclusive porque as concentrações dos padrões de calibração, que não aparecem explicitamente na Equação 1, não se relacionam funcionalmente com o mensurando por simples multiplicações e divisões.

A segunda inconsistência da Equação 6 advém do fato de que ela contempla em duplicidade a incerteza de repetibilidade da resposta instrumental na amostra de ensaio. Isso porque a parcela 1/p, dentro do radical da Equação 4, já contempla essa contribuição para a incerteza de C0. Lembramos que desde a publicação do VIM4 e da Portaria do INMETRO n.º 232, de 08 de maio de 2012, a denominação oficial para o termo repetitividade, que aparece no artigo, passou a ser repetibilidade.

Finalmente, a terceira inconsistência da Equação 6 decorre do fato de que a única forma de corretamente transferir as incertezas dos padrões de calibração para a concentração do analito na amostra de ensaio é fazendo o ajuste da curva de calibração por meio de um método de mínimos quadrados bivariado (MMQB). Essa inconsistência fica ainda mais patente no seguinte raciocínio lógico: a Equação 3 prevê que, se a curva de calibração for obtida com um maior número padrões de calibração, maior será o valor de udil, pois mais parcelas haveria no seu radical. Assim, contrariamente aos conceitos básicos da estatística, a incerteza combinada do resultado da medição, dada pela Equação 6, cresceria se aumentássemos o número de pontos da curva de calibração.

Um terceiro erro conceitual é cometido na definição de ui(y), presente na equação de Welch-Satterthwaite, quando se escreve: "ui(y) é a incerteza padrão da componente i". De fato, ui(y) é a contribuição da grandeza de entrada i para a incerteza combinada da grandeza de saída, o mensurando, y. No presente caso, no entanto, esse equívoco não tem efeito sobre o valor do grau de liberdade efetivo calculado, uma vez que os coeficientes de sensibilidade para as duas grandezas de entrada da função de medição que melhor representa o mensurando são ambos unitários, tornando de fato ui(y) = u(xi).

No material suplementar que acompanha esta carta detalhamos as discussões acima e mostramos que a função de medição que melhor representa o mensurando, por nós designado Canal, e a correta equação para o cálculo de sua incerteza padrão combinada são, respectivamente:

 

 

e

 

 

onde, u(C0) e u(Cprec) são, respectivamente, as incertezas padrão de calibração e da correção nula de precisão intermediária ou de reprodutibilidade. Não obstante os vários erros conceituais cometidos no artigo aqui comentado, o valor da incerteza padrão combinada do mensurando ali calculado (u(C0) = 1,30 mg/L) é somente 20% maior que seu valor corretamente calculado com os dados disponíveis no artigo: u(Canal) = 1,08 mg/L. Isto porque a parcela de incerteza dos padrões de calibração, indevidamente inserida na Equação 3, é desprezível. Mas será que podemos confiar na qualidade metrológica de um resultado de medição na esperança de que, por sorte, sua incerteza de medição seja corretamente calculada?

Atenciosamente,

Prof. Welington Ferreira de Magalhães
Depto. De Química, ICEx, Universidade Federal de Minas Gerais - UFMG
Email: welmag@ufmg.br, welmag@terra.com.br

 

REFERÊNCIAS

1. Bazilio, F. S.; Bomfim, M. V. J.; Almeida, R. J.; Abrantes, S. M. P.; Quim. Nova; 2012, 35, 1664.

2. Instituto Nacional de Metrologia Normalização, Qualidade e Tecnologia - INMETRO. Avaliação de dados de medição: guia para a expressão de incerteza de medição - GUM 2008. 1ª Edição Brasileira da 1ª Edição do BIPM de 2008: Evaluation of measurement data - Guide to the expression of uncertainty in measurement, Duque de Caxias, RJ: INMETRO/CICMA/SEPIN, ISBN: 978-85-86920-13-4, 2012.

3. EURACHEM/CITAC/CITAC Guide CG 4. Quantifying Uncertainty in Analytical Measurent. 3rd. ed. S. L. R. Ellison, M. Rosslein, A. Williams (Editors). 133p. 2012. Disponível em: http://eurachem.org/images/stories/Guides/pdf/QUAM2012_P1.pdf. Visitado em 20/10/2013.

4. Instituto Nacional de Metrologia Normalização, Qualidade e Tecnologia - INMETRO. Vocabulário Internacional de Metrologia: conceitos fundamentais e gerais de termos associados (VIM 2012). Duque de Caxias, RJ : INMETRO, 2012. (Traduzido de: International Vocabulary of Metrology: basic and general concepts and associated terms - JCGM 200:2012. 3rd. ed. 2012. Traduzido por: grupo de trabalho luso-brasileiro, ISBN: 978-85-86920-09-7.). Disponível em http://www.inmetro.gov.br/inovacao/publicacoes/vim_2012.pdf. Visitado em 20/10/2013.

 


 

RESPOSTA À CARTA ENVIADA AOS EDITORES

Rio de Janeiro, 1 de outubro de 2014.

Prezados Editores da Química Nova,

Primeiramente, gostaríamos de parabenizar o autor da carta aos editores pela minuciosa avaliação dos conceitos empregados e pelo enorme esforço para disseminar o assunto. É necessário que haja uma maior conscientização a cerca do tema e as discussões devem sempre ser bem recebidas.

A Equação 4 foi chamada de "incerteza associada à curva analítica" pois é associada somente à variabilidades decorrentes da estimativa da equação da reta pelo método dos mínimos quadrados ordinários - MMQO. A equação é decorrente do intervalo de confiança da reta estimada, onde para uma determinada área, proveniente da análise cromatográfica da amostra, é definido um intervalo de possíveis concentrações, como observado na figura a seguir.

 

 

A "incerteza associada à curva analítica" não engloba nenhuma fonte de incerteza associada ao ensaio de migração, sendo esta estimada através da repetibilidade do método. Vale lembrar que o termo repetibilidade foi adotado pelo Vocabulário Internacional de Metrologia - VIM, em sua edição de 2012, publicado posteriormente à publicação do referido artigo. A incerteza combinada ucomb (Equação 6) combina as incertezas associadas à curva analítica uC0, à repetibilidade do método urep e ao preparo dos padrões udil. A incerteza C0 é somente grandeza de saída, uma vez que apesar de a "incerteza associada à curva analítica" ser representada por uC0, esta é somente uma contribuição da estimativa da reta pelo MMQO para a concentração final do analito. A incerteza associada à repetibilidade apresentada no artigo não é somente relacionada às variações das respostas instrumentais, como sugerido pela carta entregue aos editores. Tal incerteza engloba todas as fontes de variações decorrentes do ensaio de migração, tais como tamanho da amostra, tempo e temperatura de migração, transferência do analito para a solução de migração, além da variabilidade do equipamento. Contudo, esta última é desprezível frente às demais. Assim, a contribuição da variabilidade do equipamento para uC0 não pode de forma alguma, neste caso em particular, ser considerada como incerteza da repetibilidade do método, como sugerido na carta aos editores. Com base no descrito, a incerteza estimada de 1,08 mg/L, sugerida como sendo a "correta" incerteza a ser reportada, deixa de lado todas as contribuições das variações do ensaio de migração, apresentando um erro na sua estimativa. Com isso, o autor apresenta uma incerteza com a aplicação de todos os conceitos apresentados, porém incorreta.

Para o autor da carta entregue aos editores, para que seja transferida a incerteza da diluição dos padrões para a concentração do analito, seria necessária a utilização do método de mínimos quadrados bivariado (MMQB). De fato, segundo o EURACHEM (2000), o procedimento utilizado para o ajuste linear pelo MMQO assume que as incertezas dos valores da abscissa são consideravelmente menores comparados a incerteza dos valores da ordenada. Na metodologia analítica estudada, a incerteza associada ao preparo dos padrões (variação dos valores da abscissa) é consideravelmente menor em relação à incerteza associada à repetibilidade (variação dos valores da ordenada), fazendo com que o modelo possa ser aplicado. Como corretamente apontado pelo autor da carta aos editores, a inclusão desta fonte de incerteza não interfere no resultado final. No entanto, apesar de sua baixa contribuição para a incerteza combinada final é importante que esta fonte esteja presente na sua estimativa para uma melhor representação do ensaio, e ainda corroborar a correta aplicação do MMQO.

Por fim, concordamos que o método empregado pode não ser o mais adequado, porém além de relatar uma experiência passada no laboratório, o objetivo principal do artigo foi o de trazer atenção para a importância da estimativa da incerteza de medição para os resultados analíticos. Porém, a estimativa da incerteza de medição apresentada foi baseada em referências nacionais e internacionais, de revistas e autores respeitados no assunto. Os GUIAS são referências a serem consultadas, contudo não possuem obrigatoriedade de aplicação e não devem em momento algum ser utilizados sem que se leve em consideração a experiência analítica. Existem diversas opiniões sobre o assunto, cada qual com o seu mérito e descrédito. Esta diversidade leva a extensas discussões sobre qual a melhor metodologia a ser aplicada, porém devemos observar cada caso e aplicar a que melhor atenda ao propósito. Devemos observar que até mesmo estudiosos sobre o assunto, como o autor da carta aos editores, podem cometer falhas e desconsiderar importantes fontes de incerteza, como observado em suas colocações e discutido anteriormente.

Atenciosamente,

Fabio Silvestre Bazilio, Marcus Vinícius Justo Bomfim, Rodrigo Justo de Almeida e Shirley de Mello Pereira Abrantes
Departamento de Química, Instituto Nacional de Controle de Qualidade em Saúde (INCQS), Fundação Oswaldo Cruz (FIOCRUZ), Av. Brasil 4365, Manguinhos, 21040-900 Rio de Janeiro, RJ, Brasil.

On-line version ISSN 1678-7064 Printed version ISSN 0100-4042
Qu�mica Nova
Publica��es da Sociedade Brasileira de Qu�mica
Caixa Postal: 26037 05513-970 S�o Paulo - SP
Tel/Fax: +55.11.3032.2299/+55.11.3814.3602
Free access

GN1