JBCS



17:51, sáb out 25

Acesso Aberto/TP



Artigo


Novos flavonoides de Margaritopsis carrascoana com atividade antioxidante
New flavonoids from Margaritopsis carrascoana with antioxidant activity

Raimundo Regivaldo G. NascimentoI; Jackelyne A. MonteiroI; Antônia Torres A. PimentaI; Maria Teresa S. TrevisanI; Raimundo Braz-FilhoII; Elnatan Bezerra de SouzaIII; Edilberto R. SilveiraI; Mary Anne S. LimaI,*

IDepartamento de Química Orgânica e Inorgânica, Centro de Ciências, Universidade Federal do Ceará, CP 12.200, 60021-940 Fortaleza - CE, Brasil
IILaboratório de Ciências Químicas, Universidade Estadual do Norte Fluminense Darcy Ribeiro, 28013-602 Campos dos Goytacazes - RJ, Brasil / Departamento de Química, Universidade Federal Rural do Rio de Janeiro, Seropédica - RJ, Brasil
IIIDepartamento de Biologia, Universidade do Vale do Acaraú, 62040-370 Sobral - CE, Brasil

Recebido em 07/05/2014
Aceito em 02/09/2014
Publicado na web em 24/10/2014

Endereço para correspondência

*e-mail: mary@dqoi.ufc.br

RESUMO

EtOH extracts of the stems and leaves of Margaritopsis carrascoana were found to contain new flavonoids luteolin 7-O-{β-D-apiofuranosil-(1→6)-[β-L-rhamnopyranosyl-(1→2)]-β-D-glucopyranosyl} (5) and luteolin 7-O-{α-L-rhamnopyranosyl-(1→6)-[β-L-rhamnopyranosyl-(1→2)]-β-D-glucopyranosyl} (6), in addition to the known dihydrodehydrodiconiferyl alcohol 4-O-β-D-glucopyranoside (1), luteolin 7-O-β-L-rhamnopyranosyl-(1→2)-β-D-glucopyranosyl (2), luteolin 7-O-[β-D-apiofuranosyl-(1→6)]-β-D-glucopyranoside (3), and chrysoeriol 7-O-[β-D-apiofuranosyl-(1→6)]-β-D-glucopyranoside (4). All isolated compounds presented higher antioxidant activities than the controls, BHT and quercetin, while the extract of the stems showed strong AChE inhibition.

Palavras-chave: Margaritopsis carrascoana; flavonoides; atividade antioxidante.

INTRODUÇÃO

Margaritopsis C. Wright é um pequeno gênero da família Rubiaceae, descrito originalmente para espécies encontradas no Caribe, especialmente na Ilha de Cuba e Ilha de Espanhola.1 O gênero, caracterizado por arbustos, ou pequenas árvores, com inflorescências brancas e frutos carnosos de cor alaranjada ou vermelha, é constituído principalmente de espécies que foram removidas do gênero Psychotria L. (Rubiaceae) por Andersson (2001), com base em dados moleculares e na distribuição geográfica das espécies.1,2

Apesar da existência de 50 espécies com ocorrência pantropical, das quais 27 são reconhecidas na América e 15 encontradas no Brasil,1,2 os estudos químicos do gênero são limitados à espécie Margaritopsis cymuligera, cujos resultados revelaram a presença de alcalóides pirrolidinoindólicos, comumente relatados para o gênero Psychotria.3

Visando contribuir para o conhecimento químico e taxonômico do gênero Margaritopsis, o presente trabalho descreve o estudo fitoquímico de M. carrascoana (sin: Psychotria carrascoana), um pequeno arbusto endêmico do nordeste do Brasil com habitat em solos arenosos da região litorânea, bem como do carrasco das chapadas da Ibiapaba e do Araripe, no estado do Ceará-Brasil.4 Adicionalmente, foi realizada a avaliação das atividades antioxidante e anticolinesterásica dos metabólitos isolados dos extratos etanólicos das folhas e dos talos.

 

PARTE EXPERIMENTAL

Instrumentação e material cromatográfico

Os espectros de RMN 1H e RMN 13C (1D e 2D), foram obtidos em espectrômetros Bruker Avance DRX-500 operando na frequência de hidrogênio a 500 MHz e na frequência do carbono-13 a 125 MHz. Os solventes utilizados na dissolução das amostras foram metanol e piridina deuterados. Os espectros na região do IV foram obtidos em espectrômetro Spectrum 100-FT-IR, modelo Universal UATR. Os espectros de massas de alta resolução foram obtidos em um espectrômetro Shimadzu LCMS-IT-TOF equipado com fonte de ionização por electrospray. Os pontos de fusão das substâncias isoladas foram obtidos em equipamento Marconi MA 318, utilizando capilar de vidro e uma placa aquecedora N480D a uma velocidade de aquecimento de 3 ºC/min, e não foram corrigidos. As medidas de rotação óptica foram obtidas a temperatura ambiente em polarímetro Perkin-Elmer modelo P-2000, na faixa do sódio (589 nm), a 20 ºC. As cromatografias por exclusão molecular foram efetuadas em gel de dextrana Sephadex LH-20® (Pharmacia), utilizando-se metanol puro como fase móvel, enquanto as cromatografias utilizando cartuchos de fase reversa C-18 foram realizadas utilizando cartuchos semipreparativos SPE C18-E 20 g/60 mL (Phenomenex). O fracionamento por cromatografia de alta eficiência (CLAE) foi realizado em equipamento constituído de uma bomba ternária de alta pressão SHIMADZU LC-20AT, detector UV-Visível com arranjo de diodo SHIMADZU SPD-M20A e um forno termostático para acomodação da coluna. As cromatografias em camada delgada analítica (CCD) foram realizadas com gel de sílica 60, (Ø µm 5-40, Merck) com indicador de fluorescência na faixa de 254 nm (F254), sobre cromatofolha de sílica gel sobre alumínio (Merck). A revelação das placas CCD foi feita por exposição à lâmpada ultravioleta (UV), em dois comprimentos de onda (315 e 365 nm), e por aspersão das placas com solução de vanilina/ácido perclórico em etanol, seguido de aquecimento por 5 min em placa aquecedora.

Material vegetal

Folhas e talos de Margaritopsis carrascoana (Delprete & E.B. Souza) C.M. Taylor & E.B. Souza foram coletados na Chapada do Araripe, município de Moreilândia, Pernambuco, Brasil, em Fevereiro de 2010. A identificação botânica foi realizada pelo Prof. E. B. Souza, do Departamento de Biologia da Universidade do Vale do Acaraú e a exsicata encontra-se depositada no Herbário Prisco Bezerra, no Departamento de Biologia - UFC, sob o número de registro 22075.

Extração e isolamento dos constituintes químicos

Os talos (7,6 kg) e folhas (1,8 kg) de M. carrascoana foram separados e secos à temperatura ambiente, triturados e extraídos exaustivamente com etanol. As soluções resultantes foram filtradas e o solvente foi destilado sob pressão reduzida, fornecendo 295,5 g (3,9%) de extrato dos talos e 118,5 g (6,6%) de extrato de folhas, respectivamente. Uma alíquota de 51,3 g do extrato etanólico dos talos foi solubilizada em uma solução de H2O:MeOH 9:1 e submetida a uma partição líquido/líquido utilizando os solventes hexano, diclorometano, acetato de etila e 1-butanol, em ordem crescente de polaridade, para fornecer quatro frações. A fração 1-butanol (3,9 g) foi submetida à cromatografia em Sephadex LH-20, por eluição com metanol, resultando em três frações: F-1 (98 mL, 482,4 mg), F-2 (35 mL, 3,2 g) e F-3 (67 mL, 106,3 mg). A fração F-2 foi submetida à cromatografia em cartucho de fase reversa C-18 e eluída com mistura binária de H2O/MeOH, seguindo um gradiente de polaridade, resultando em 4 sub-frações: F-2 (1) (40 mL de H2O/MeOH 4:1, 2,3 g), F-2 (2) (40 mL de H2O/MeOH 1:1, 96,8 mg), F-2 (3) (40 mL de H2O/MeOH 1:4, 92,8 mg) e F-2 (4) (60 mL de MeOH, 528,6 mg). A sub-fração F-2 (3) foi purificada por CLAE, utilizando como fase móvel a mistura de solventes H2O/MeOH 3:2 e fluxo de 4,72 mL min-1, para fornecer a neolignana álcool 4-O-β-D-glicopiranosil-di-hidro-desidrodiconiferílico 1 (6,7 mg). A cromatografia da sub-fração F-2 (2), utilizando CLAE e uma mistura isocrática H2O/MeOH (11:9) com fluxo de 4,72 mL min-1, resultou no isolamento do heterosídeo flavonoídico7-O-[β-L-ramnopiranosil-(1→2)-β-D-glicopiranosil] luteolina 2 (5,3 mg).

Uma alíquota de 21,0 g do extrato etanólico das folhas foi solubilizada em uma solução de H2O:MeOH 9:1 e submetida a uma partição líquido/líquido utilizando os solventes: hexano, diclorometano, acetato de etila e 1-butanol. A fração 1-butanol (1,5 g) foi submetida à cromatografia em Sephadex LH-20 por eluição com metanol, para fornecer três frações resultantes: F-1 (88 mL, 557,3 mg), F-2 (48 mL, 813,6 mg) e F-3 (64 mL, 37,2 mg). A fração F-3 foi submetida à cromatografia em CLAE, utilizando mistura isocrática de H2O/MeOH (57:43) como eluente e fluxo de 4,72 mL min-1, para levar ao isolamento de outro heterosídeo flavonoídico, 7-O-[β-D-glicopiranosil-(1→6)-β-D-apiofuranosil] luteolina 3 (11,2 mg). A fração F-2 foi submetida a sucessivos fracionamentos cromatográficos em cartucho de fase reversa SPE-C18, por eluição com H2O/MeOH, seguindo um gradiente de polaridade, para fornecer quatro sub-frações: F-2 (1) (40 mL de H2O/MeOH 4:1, 216,4 mg), F-2 (2) (40 mL de H2O/MeOH 1:1, 218,3 mg), F-2 (3) (40 mL de H2O/MeOH 1:4, 48,8 mg) e F-2 (4) (50 mL de MeOH, 299,2 mg). A sub-fração F-2 (2) foi submetida à cromatografia por CLAE usando como eluente H2O/MeOH (3:2) e fluxo de 4,72 mL min-1, para levar ao isolamento dos heterosídeos flavonoídicos 7-O-[β-D-glicopiranosil-(1→6)-β-D-apiofuranosil] crisoeriol 4 (13,3 mg), 7-O-{β-D-apiofuranosil-(1→6)-[β-L-ramnopiranosil-(1→2)]-β-D-glicopiranosil} luteolina 5 (5,1 mg) e 7-O-{α-L-ramnopiranosil - (1→6) - [β-L-ramnopiranosil-(1→2)]-β-D-glicopiranosil} luteolina 6 (2,6 mg).

Ensaio de sequestro de radicais DPPH

A determinação da atividade antirradicalar foi feita através da capacidade dos compostos presentes nas amostras em sequestrar o radical estável DPPH•. Neste ensaio, o radical estável DPPH• absorve entre 515-528 nm (cor violeta) e a medida de absorbância da solução violeta foi feita em triplicata a 515 nm, em uma leitora de Elisa Thermoplate.6

Alíquotas de 0,1 mL das soluções das amostras foram individualmente colocadas em frascos e o metanol foi utilizado para a solução controle. Em seguida, 0,9 mL da solução de DPPH• (100 µmol L-1) foi adicionada a cada uma das soluções, que foram protegidas da luz e homogeneizadas. Após a aplicação de 200 µL de cada solução em microplacas, as leituras referentes a cinco concentrações (50 a 300 µg mL-1) foram obtidas após 30 minutos, utilizando butil-hidroxitolueno (BHT) e quercetina (5,7,3',4'-tetra-hidroxiflavona) como soluções padrões.

Para avaliar a atividade sequestradora de radical livre, foi obtida a porcentagem de inibição, descrita de acordo com a seguinte equação:

% de Inibição = [(absorvância do controle - absorvância da amostra)/absorvância do controle] × 100

A determinação da IC50, ou seja, a concentração da amostra ou do padrão que causa 50% de inibição da concentração inicial de DPPH•, foi obtida por regressão linear. Para o registro dos pontos, foram utilizados os valores das médias obtidas de triplicatas realizadas para cada um dos testes. Os padrões utilizados para a comparação foram o BHT e a quercetina. O BHT, por se tratar de um antioxidante sintético vastamente utilizado pelas indústrias alimentícias e cosméticas, e a quercetina para nível de comparação com as substâncias isoladas que apresentam estruturas semelhantes.

Avaliação da atividade anticolinesterásica - Ensaio em cromatografia de camada delgada (CCD)

As amostras (1,5 - 2,5 µL) foram aplicadas em cromatofolhas de alumínio de sílica gel 60 F254, 0,2 mm Merck. Borrifou-se a placa com as soluções de iodeto de acetiltiocolina (ACTI) e reagente de Ellman, deixando por 3 min. Após a secagem, borrifou-se a enzima AChE (3 U/mL) e, após 10 min., foi verificado o aparecimento de coloração amarela. A visualização da inibição foi feita pela observação de halos brancos. A coloração desapareceu em aproximadamente 20 a 30 min.

 

RESULTADOS E DISCUSSÃO

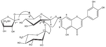
O estudo fitoquímico do extrato etanólico dos talos e folhas de M. carrascoana resultou no isolamento de uma neolignana (1) e de cinco flavonoides (2-6). A partir da fração 1-butanólica proveniente da partição líquido-líquido do extrato etanólico dos talos, foram isolados a neolignana álcool 4-O-β-D-glicopiranosil-di-hidro-desidrodiconiferílico (1),5 e o flavonoide 7-O-[β-L-ramnopiranosil-(1→2)-β-D-glicopiranosil] luteolina (2).6 Da fração 1-butanólica, oriunda da partição líquido-líquido do extrato etanólico das folhas, foram isolados os flavonóides 7-O-[β-D-glicopiranosil-(1→6)-β-D-apiofuranosil] luteolina (3) e 7-O-[β-D-glicopiranosil-(1→6)-β-D-apiofuranosil] crisoeriol (4),7 além dos inéditos 7-O-{β-D-apiofuranosil-(1→6)-[β-L-ramnopiranosil-(1→2)]-β-D-glicopiranosil} luteolina (5) e 7-O-{α-L-ramnopiranosil - (1→6) - [β-L-ramnopiranosil-(1→2)]-β-D-glicopiranosil} luteolina (6) (Figura 1). As estruturas dos compostos isolados foram determinadas através da análise dos espectros de RMN 1H, 13C, HMBC, HSQC, COSY e por comparação com dados descritos na literatura.

 


Figura 1. Estruturas das substâncias isoladas dos extratos etanólicos das folhas e talos de M. carrascoana

 

O composto 5 foi obtido como um sólido amarelo com p.f. 200,2 - 203,9 e [α]D20 = -93,1º, (MeOH, c 0,05). O espectro de massas de alta resolução mostrou o pico a m/z 725,1937 [M-H]- (C32H37O19 Calculado: 725,1935), compatível com a fórmula molecular C32H38O19.

A análise do espectro de RMN 1H (500 MHz, C5D5N) de 5 revelou um sistema aromático de spins do tipo ABX, através do conjunto de sinais em δ 7,93 (sl, H-2'), 7,56 (H-6') e 7,33 (d, J = 8,4 Hz, H-5'), além de dois sinais compatíveis com hidrogênios de anel aromático meta-posicionados em δ 7,01 (sl, H-8) e 7,03 (d, J = 1,8 Hz, H-6), e um simpleto em δ 6,90 (s, H-3), sugerindo a estrutura da aglicona luteolina.8 Adicionalmente, os sinais na região de hidrogênios heterosídeos na faixa de δ 4,84-4,04 e os três sinais de hidrogênios anoméricos em δ 6,41 (sl, H-1'"), 5,72 (d, J = 2,0 Hz, H-1"") e 5,65 (d, J = 7,8 Hz, H-1") revelaram a presença de três unidades heterosídicas.

A análise comparativa dos espectros de RMN 13C e DEPT 135 revelou a presença de 32 carbonos, dos quais 6 carbonos sp2 mono-hidrogenados e 12 oxi-metínicos; 3 carbonos oxi-metilênicos; 1 carbono metílico e 10 carbonos não hidrogenados.

O valor da constante de acoplamento do hidrogênio anomérico em δ 5,65 (d, J =7,8 Hz) evidenciou a presença de uma unidade de glicose com configuração β, enquanto os sinais relativos ao simpleto largo em δ 6,41 e ao dupleto em δ 1,82 (d, J = 6,1 Hz, 3H-6'") revelaram a presença de uma unidade de ramnose com configuração α. A terceira unidade glicosídica foi estabelecida através do dupleto em δ 5,72 (d, J= 2,0 Hz), correlacionando no espectro de HSQC com o sinal de carbono em δ 111,5 (C-1""), além do sinal referente a um carbono não hidrogenado e oxigenado em δ 80,8 (C-3""), típicos de uma unidade apiose.9

A determinação da sequência dos hidrogênios relativos a cada unidade heterosídica foi realizada através das correlações homonucleares no espectro COSY: Rha [δ 6,41 ↔ 4,82 ↔ 4,58 ↔ 4,37 ↔ 4,83 ↔ 1,82]; Glu [δ 5,65 ↔ 4,50 ↔ 4,36 ↔ 4,06 ↔ 4,26 ↔ 4,15] e Api [δ 5,72 ↔ 4,83].

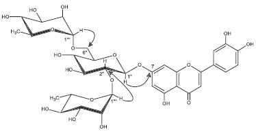
O espectro de RMN bidimensional de correlação carbono-hidrogênio à longa distância HMBC apresentou correlações entre o hidrogênio anomérico da unidade ramnose em δ 6,41 (H-1'") com o carbono em δ 78,0 (C-2") da glicose. Foi observada ainda a correlação do hidrogênio anomérico da apiose em δ 5,72 (H-1"") com o carbono metilênico da glicose em δ 68,9 (C-6"). A importante correlação do hidrogênio anomérico da glicose em δ 5,65 (H-1") com o carbono do esqueleto luteolina em δ 164,0 (C-7), em adição aos desvios observados na ressonância dos carbonos C-6 e C-8,10 foi decisiva para determinar a ligação entre a unidade heterosídica e a aglicona no carbono 7 do anel A, (Figura 2).

 


Figura 2. Correlaçoes heteronucleares observadas no espectro de HMBC de 5

 

A partir da compilação de todos os dados espectrais foi possível caracterizar o composto 5 como sendo o heterosídeo 7-O-{β-D-apiofuranosil-(1→6)-[β-L-ramnopiranosil-(1→2)]-β-D-glicopiranosil} luteolina, inédito na literatura.

O composto 6 foi obtido como um sólido amarelo com p.f. 262,7 - 264 e [α]D20 = -39,2º, (MeOH, c 0,23). O espectro de massas de alta resolução mostrou o pico do íon [M-H]- em m/z 739,2093 [M-H]- (C33H39O19 Calculado: 739,2091), compatível com a fórmula molecular C33H40O19.

A análise do espectro de RMN 1H (500 MHz, C5D5N) mostrou grande similaridade com o do composto 5, através dos sinais referentes ao sistema aromático de spin ABX em δ 7,97 (sl, H-2'); 7,55 (d, J = 8,0, H-6') e 7,35 (dl, J = 8,0 Hz, H-5'); dos dois sinais em δ 7,01 (sl, H-6) e 7,00 (sl, H-8), e do simpleto em δ 6,87 (s, H-3), característicos da luteolina.10

De forma análoga a 5, foram também observados sinais na região de hidrogênios heterosídicos (δ 4,84-4,04), aliados à presença de três sinais de hidrogênios anoméricos em δ 6,42 (sl, H-1""), 5,64 (d, J = 7,7 Hz, H-1") e 5,42 (sl, H-1'"). O sinal do hidrogênio anomérico em δ 5,64 sugeriu a presença de uma unidade de glicose com configuração β, enquanto que os dois simpletos largos em δ 6,42 e 5,42, e os dois dupletos intensos em δ 1,82 (d, J = 6,2 Hz, 3H-6"") e 1,58 (d, J = 5,9 Hz, 3H-6'"), foram sugestivos para a presença de duas unidades de ramnose.11

O espectro de RMN bidimensional de correlação homonuclear COSY possibilitou a identificação da sequência dos hidrogênios pertencentes a cada unidade heterosídica: Rha [δ 5,42 ↔ 4,71 ↔ 4,63 ↔ 4,36 ↔ 4,27 ↔ 1,58]; Glu [δ 5,64 ↔ 4,51 ↔ 4,38 ↔ 4,03 ↔ 4,21] e Rha [δ 6,42 ↔ 4,83 ↔ 4,59 ↔ 4,23 ↔ 4,83 ↔ 1,82].

Os deslocamentos químicos dos 33 carbonos observados no espectro de RMN 13C foram atribuídos de forma inequívoca através da análise dos espectros 2D de correlação heteronuclear HSQC e HMBC, que possibilitou inferir 21 carbonos metínicos, 1 carbono metilênico, 2 carbonos metílicos e 9 carbonos sp2 não-hidrogenados (um dos quais relacionados à carbonila de flavona e 6 outros oxigenados).

A análise do espectro de HMBC revelou os acoplamentos dos hidrogênios anoméricos das duas unidades de ramnose em δ 6,42 (H-1'") e 5,42 (H-1"") com os carbonos em δ 67,5 (C-6") e 77,8 (C-2") da unidade de glicose, respectivamente. Além disso, foi observada a correlação do hidrogênio anomérico em δ 5,64 (H-1") da unidade glicose com o carbono do anel aromático em δ 164,0 (C-7), em adição às mudanças observadas nos deslocamentos químicos dos carbonos C-6 e C-8,10 determinando a ligação da unidade heterosídica ao carbono 7 do anel A da aglicona (Figura 3).

 


Figura 3. Correlaçoes heteronucleares observadas no espectro de HMBC de 6

 

Os dados obtidos permitiram caracterizar o composto 6 como sendo a nova flavona 7-O-{α-L-ramnopiranosil-(1→6)-[β-L-ramnopiranosil-(1→2)]-β-D-glicopiranosil} luteolina.

Avaliação do potencial antioxidante

Os agentes antioxidantes utilizados pelo organismo humano para retardar ou prevenir processos oxidativos geralmente apresentam estruturas fenólicas, que são consideradas como as principais funções responsáveis pelo impedimento da formação de radicais livres. Muitas substâncias naturais, obtidas especialmente de plantas, têm sido identificadas como captadoras de espécies reativas de oxigênio. Estudos com flavonoides fenólicos glicosilados revelam, através do uso do método do radical estável DPPH•, que estes compostos são eficientes como captadores radicalares.12

Todos os flavonoides testados apresentaram atividade sequestradora do radical DPPH• superior à dos padrões BHT e quercetina. Os valores médios de concentração das amostras e dos padrões (BHT e quercetina) que causam 50% de inibição do radical DPPH• (IC50) estão representados na Tabela 1. A fração 1-butanólica das folhas apresentou o menor valor IC50 quando comparado aos dois padrões utilizados, cujo resultado pode estar associado ao sinergismo das substâncias presentes. No entanto, ao se comparar os valores de IC50 das substâncias isoladas 2, 3, 5 e 6 com o do padrão BHT e quercetina, percebe-se que a substituição na hidroxila do esqueleto da quercetina por grupos glicosilados na posição C-7 causou uma diminuição do valor de IC50. Embora dados da literatura citem a importância de grupos hidroxílicos livres para a atividade sequestradora de radicais, outros estudos realizados com diferentes classes de flavonoides demonstram que a atividade observada também estaria mais diretamente relacionada à posição de hidroxilação. Cao et al.13 comprovou a importância de grupos hidroxílicos em C-3' e C-4' na atividade sequestradora de radicais hidroperoxil. Isso pôde ser corroborado através da diferença das atividades observadas para os compostos 3 e 4, quando a hidroxila em C-3' passou a ser metoxilada e resultou em valores de IC50 maiores que o padrão BHT e quercetina. Outros relatos demonstram ainda que, dependendo da posição de substituição de glicosilação e tipo da unidade de açúcar, flavonoides glicosilados também se apresentam como excelente atividade antioxidante. No entanto, outros estudos ainda precisam ser realizados para o estabelecimento de fundamentos mais contundentes e precisos na avaliação da relação estrutura-atividade destes compostos.

 

 

Ensaio em CCD/AChE

Estudos demonstram que na Doença de Alzheimer os biomarcadores de stress oxidativo se encontram bastante alterados nos cérebros de pacientes com esse mal. O tratamento da doença é sintomático e consiste na tentativa de restauração da função colinérgica, já que a elevação do nível da acetilcolina pode se mostrar útil para amenizar a deficiência da aprendizagem, um dos principais sinais da doença. Desta forma, os inibidores da acetilcolinesterase são amplamente usados no tratamento da doença, procedimento que se baseia na hipótese colinérgica.14

 

 

Dentre os produtos naturais relatados como inibidores da acetilcolinesterase, os alcaloides são os mais eficientes, porém possuem efeitos colaterais adversos relacionados a hepatotoxicidade e distúrbios gastrointestinais.15 Dentro deste contexto, os flavonoides se apresentam como uma fonte promissora no desenvolvimento de medicamentos para o tratamento da Doença de Alzheimer, devido ao seu largo espectro de atividades farmacológicas, principalmente pela capacidade de se ligar aos polímeros biológicos (enzimas, hormônios e DNA), bem como agir como quelantes de íons metálicos (Fe2+, Cu2+, Zn2+), catalisando transporte eletrônico e impedindo a formação de radicais livres, além da baixa toxicidade.16

O resultado negativo para as substâncias puras foi observado através da placa de CCD que não mostrou a presença de halos brancos, indicando que as substâncias não possuem ação inibitória sobre a enzima de AChE. A verificação da inibição foi feita seguindo-se a metodologia de Elmann,17 adaptada por Rhee et al.18 para cromatografia em camada delgada fina. Neste ensaio, utiliza-se a solução dos reagentes ácido 5,5'-ditiobis-2-nitrobenzóico (DTNB) e iodeto de acetilcolina (ATCI) em tampão e, posteriormente, aplica-se a enzima AChE (3 U mL-1). A visualização da inibição dá-se pela observação de halos brancos.

Os extratos dos talos e folhas de Margaritopsis carrascoana mostraram atividade inibidora de acetilcolinesterase. O extrato etanólico das folhas mostrou-se 20 vezes mais potente que o extrato etanólico dos talos, enquanto que as substâncias isoladas 1-6 não inibiram a enzima. Este fato pode estar em concordância com a conclusão de que alguns autores chegaram de que a presença de grupos 4'-OMe e 7-O- glicosila são necessários para inibição da enzima.19 Por outro lado, em relação à atividade do extrato, sabe-se que muitas vezes o sinergismo das substâncias presentes no extrato faz com que ocorra uma inibição da acetilcolinesterase, a qual não ocorre nas substâncias isoladas separadamente.

Álcool 4-O-β-D-glicopiranosil-di-hidro-desidrodiconiferílico (1). Sólido amarelo; p.f. 123,4 - 125,6ºC; [α]D20 = -14,5º, CH3OH, c 0,37; IV υmaxcm-1 3384, 1603, 1513, 1452, 1264, 1212; EM-IES [M+Na]+ m/z 545,2058, [M+K]+ m/z 561,1753; RMN 13C (125 MHz, CD3OD) δ (ppm) 151,1 (C-3), 147,8 (C-4), 147,7 (C-4'), 145,4 (C-3'), 138,6 (C-1), 137,2 (C-1'), 129,8 (C-5'), 119,5 (C-6), 118,3 (C-5), 118,1 (C-6'), 114,4 (C-2'), 111,4 (C-2), 102,9 (C-1"), 88,6 (C-7), 78,4 (5"), 78,0 (C-3"), 75,1 (C-2"), 71,5 (C-4"), 65,2 (C-9), 62,7 (C-6"), 62,4 (C-9'), 56,9 (C-10'), 56,8 (C-10), C-55,8 (C-8).

7-O-[β-L-Ramnopiranosil-(12)-β-D-glicopiranosil] luteolina (2). Sólido amarelo; p.f. 245,1 - 247,6 ºC; [α]D20 = -47,9º, CH3OH, c 0,1; IV υmax cm-1 3269, 1655, 1599, 1499, 1448, 1256, 1180; EM-IES [M-H]- m/z 593,1525, [M+Cl]- m/z 629,1251; RMN 13C (125 MHz, C5D5N) δ (ppm) 183,1 (C-4), 165,6 (C-2), 163,9 (C-7), 162,9 (C-5), 158,1 (C-9), 152,2 (C-4'), 148,0 (C-3'), 122,9 (C-1'), 120,0 (C-6'), 117,2 (C-5'), 114,9 (C-2'), 106,9 (C-10), 104,4 (C-3), 102,8 (C-1'"), 100,8 (C-6), 99,9 (C-1"), 95,5 (C-8), 79,5 (C-5"), 79,3 (C-3"), 78,2 (C-2"), 74,4 (C-4'"), 73,0 (C-3'"), 72,7 (C-2'"), 71,5 (C-4"), 70,3 (C-5'"), 62,4 (C-6"), 19,2 (C-6'").

7-O-[β-D-Glicopiranosil-(16)-β-D-apiofuranosil] luteolina (3). Sólido amarelo; p.f. 188,8 - 191,7 ºC; [α]D20 = -76,6º, CH3OH, c 0,05; IV υmax cm-1 3263, 1654, 1599, 1493, 1444, 1255, 1173; EM-IES [M-H]- m/z 579,1144, [M+Cl]- m/z 615,1118; RMN 13C (125 MHz, C5D5N) δ (ppm) 183,2 (C-4), 165,7 (C-2), 164,4 (C-7), 162,9 (C-5), 158,2 (C-9), 152,2 (C-4'), 148,1 (C-3'), 123,1 (C-1'), 120,2 (C-6'), 117,3 (C-5'), 115,0 (C-2'), 111,5 (C-1'"), 107,0 (C-10), 104,5 (C-3), 102,4 (C-1"), 101,1 (C-6), 95,8 (C-8), 80,8 (C-3'"), 78,8 (C-5"), 78,2 (C-2'"), 77,9 (C-3"), 75,5 (4'"), 75,1 (C-2"), 71,8 (C-4"), 69,1 (C-6"), 66,1 (C-5'").

7-O-[β-D-glicopiranosil-(16)-β-D-apiofuranosil] crisoeriol (4). Sólido amarelo; p.f. 163,7 - 169,3 ºC; [α]D20 = -105,8º, CH3OH, c 0,1; IV υmax cm-1 3263, 1654, 1599, 1493, 1444, 1255, 1173; EM-IES [M-H]- m/z 593,1589, [M+Cl]- m/z 629,1326; RMN 13C (125 MHz, C5D5N) δ (ppm) 183,2 (C-4), 165,4 (C-2), 164,4 (C-7), 162,9 (C-5), 158,2 (C-9), 152,9 (C-4'), 149,3 (C3'), 122,7 (C-1'), 121,9 (C-6'), 117,4 (C-5'), 111,5 (C-1'"), 110,8 (C-2'), 106,7 (C-10), 104,6 (C-3), 102,2 (C-1"), 101,0 (C-6), 95,9 (C-8), 80,7 (C-3'"), 78,7 (C-5"), 78,2 (C-2'"), 77,8 (C-3"), 75,5 (C-4'"), 75,0 (C-2"), 71,7 (C-4"), 68,9 (C-6"), 66,0 (C-5'"), 56,5 (C-7').

7-O-{β-D-apiofuranosil-(16)-[β-L-ramnopiranosil-(12)]-β-D-glicopiranosil} (5). Sólido amarelo; p.f. 200,2 - 203,9; [α]D20 = -93,1º, CH3OH, c 0,05; IV υmax cm-1 3358, 1656, 1604, 1499, 1447, 1259, 1177; EM-IES [M-H]-m/z 725,1937; RMN 1H (500 MHz,C5D5N) δ (ppm) 13,6 (sl, HO-5), 7,93 (sl, H-2'), 7,56 (d*, H-6') 7,33 (d, J = 8,4 Hz, H-5'), 7,03 (d, J = 1,8 Hz, H-6), 7,01 (sl, H-8), 6,90 (s, H-3), 6,41 (s, H-1'"), 5,72 (d, J = 2,0 Hz, H-1""), 5,65 (d, J = 7,8 Hz, H-1"), 4,83 (m, H-2""e H-5'"), 4,82 (m, H-2'"), 4,71 (d, J = 10,9 Hz, H-6"), 4,62 (d, J = 9,3 Hz, H-4""), 4,58 (dd, J = 9,3 e 2,9 Hz, H-3'"),4,50 (t, J = 8,8 Hz, H-2"), 4,37 (m, H-4'"), 4,36 (m, H-3" e H-4""), 4,26 (m, H-5"), 4,22 (sl, H-5""), 4,15 (dd, J = 11,0 e 7,0 Hz, H-6"), 4,06 (t, J = 9,4 Hz, H-4"), 1,82 (d, J = 6,1 Hz, H-6'"). RMN 13C (125 MHz, C5D5N) δ (ppm) 183,1 (C-4), 165,7 (C-2), 164,0 (C-7), 163,1 (C-5), 158,2 (C-9), 152,3 (C-4'), 148,1 (C-3'), 123,1 (C-1'), 120,1 (C-6'), 117,3 (C-5'), 114,9 (C-2'), 111,5 (C-1""), 107,1 (C-10), 104,4 (C-3), 102,8 (C-1'"), 100,8 (C-6), 100,3 (C-2"), 95,7 (C-8), 80,8 (C-3""), 79,6 (C-3"), 78,2 (C-2""), 78,0 (C-2"), 77,6 (C-5"), 75,5 (C-4""), 74,5 (C-4'"), 73,1 (C-3'"), 72,8 (C-2'"), 71,8 (C-4"), 70,3 (C-5'"), 68,9 (C-6"), 66,1 (C-5""), 19,3 (C-6'"). * Sinal sobreposto ao solvente.

7-O-{α-L-ramnopiranosil-(16)-[β-L-ramnopiranosil-(12)]-β-D-glicopiranosil} luteolina (6). Sólido amarelo; p.f. 262,7 - 264,0; [α]D20 = -39,2º, CH3OH, c 0,23; IV υmax cm-1 3377, 1655, 1604, 1498, 1448, 1258, 1177; EM-IES [M-H]- m/z 739,2093; RMN 1H (500 MHz,C5D5N) δ (ppm) 7,97 (sl, H-2'), 7,55 (dl, J = 8,0 Hz, H-6'), 7,35 (d, J = 8,0 Hz, H-5'), 7,01 (sl, H-6), 7,00 (sl, H-8), 6,87 (s, H-3), 6,42 (sl, H-1'"), 5,64 (d, J = 8,0 Hz, H-1"), 5,42 (sl, H-1""), 4,83 (m, H-2"" e H-5""), 4,71 (m, 2'"), 4,68 (d, J = 6"), 4,63 (m, H-3'"), 4,59 (m, H-3""), 4,51 (t, J = 8,3 Hz, H-2"), 4,38 (m, H-3"), 4,36 (m, H-4'"), 4,27 (m, H-5'"), 4,23 (m, H-4""), 4,21 (m, H-5"), 4,09 (m, H-6"), 4,03 (t, J = 9,4 Hz, H-4"), 1,82 (d, J = 6,2 Hz, H-6""), 1,58 (d, 5,9 Hz, H-6'"). RMN13C (125 MHz, C5D5N) δ** (ppm) 182,9 (C-4), 165,8 (C-2), 164,0 (C-7), 163,5 (C-5), 157,9 (C-9), 152,3 (C-4'), 147,9 (C-3'), 122,8 (C-1'), 120,1 (C-6'), 117,2 (C-5'), 114,8 (C-2'), 107,1 (C-10), 104,4 (C-3), 102,6 (C-1""), 102,5 (C-1'"), 100,8 (C-6), 100,1 (C-1"), 95,3 (C-8), 79,3 (C-3"), 77,8 (C-2"), 77,4 (C-5"), 74,3 (C-4'"), 74,1 (C-4""), 73,1 (C-3'" e C-3""), 72,9 (C-2""), 72,5 (C-2'"), 71,6 (C-4"), 70,1 (C-5""), 70,0 (C-5'"), 67,5 (C-6"), 19,1 (C-6""), 18,7 (C-6'"). **Os deslocamentos químicos dos átomos de carbono de 6, foram atribuídos pela análise dos espectros 2D de correlação heteronuclear HSQC e HMBC.

 

CONCLUSÃO

O estudo químico de Margaritopsis carrascoana resultou no isolamento do álcool 4-O-β-D-glicopiranosil-di-hidro-desidrodiconiferílico (1), 7-O-[β-L-ramnopiranosil-(1→2)-β-D-glicopiranosil] luteolina (2), 7-O-[β-D-glicopiranosil-(1→6)-β-D-apiofuranosyl] luteolina (3), 7-O-[β-D-glicopiranosil-(1→6)-β-D-apiofuranosil] crisoeriol (4), além dos inéditos 7-O-{β-D-apiofuranosil-(1→6)-[β-L-ramnopiranosil-(1→2)]-β-D-glicopiranosil} luteolina (5) e 7-O-{α-L-ramnopiranosil - (1→6) - [β-L-ramnopiranosil-(1→2)]-β-D-glicopiranosil} luteolina (6).

Os metabólitos isolados (1-6) e os extratos dos talos e folhas foram submetidos a testes de atividade antirradicalar e anticolinesterásica. Todas as amostras testadas apresentaram atividade sequestradora do radical DPPH• melhor que a dos padrões BHT e quercetina. Embora o extrato das folhas tenha apresentado atividade anticolinesterásica vinte vezes maior que o extrato dos talos, os compostos 1-6 não inibiram a enzima AChE.

 

MATERIAL SUPLEMENTAR

Disponível em http://quimicanova.sbq.org.br, em pdf e com acesso livre.

 

AGRADECIMENTOS

Os autores agradecem as instituições de fomento à pesquisa CNPq, FUNCAP, FINEP, PRONEX e CAPES pelo auxílio financeiro e pelas bolsas de estudo e de pesquisa.Ao CENAUREMN e ao LEMANOR pelos espectros de RMN e de massa de alta resolução, respectivamente.

 

REFERÊNCIAS

1. Andersson, L.; Systematics and Geography of Plants 2001, 71, 73. DOI: http://dx.doi.org/10.2307/3668754

2. Taylor, C. M.; Systematics and Geography of Plants 2005, 75, 161.

3. Brand, G.; Henriques, A. T.; Passos, C. S.; Baldoqui, D. C.; Santin, S. M. O.; Costa, W. F.; Sarragiotto, M. H.; Biochem. Syst. Ecol. 2012, 45, 155. DOI: http://dx.doi.org/10.1016/j.bse.2012.07.009

4. Taylor, C. M.; Zappi, D. C. Margaritopsis in Lista de Espécies da Flora do Brasil. Jardim Botânico do Rio de Janeiro, disponível em: http://floradobrasil.jbrj.gov.br/, acessada em Agosto 2014; Delprete, P. G.; Souza, E. B.; Novon 2004, 14, 158.

5. Otsuka, H.; Hirata, E.; Takeda, Y.; Chem. Pharm. Bull 2000, 48, 1084. DOI: http://dx.doi.org/10.1248/cpb.48.1084 PMID: 10923846

6. Kokotkiewicz, A.; Luczkiewicz, M.; Sowinski, P.; Glod, D.; Gorynski, K.; Bucinski, A.; Food Chem. 2012, 133, 1373. DOI: http://dx.doi.org/10.1016/j.foodchem.2012.01.114

7. Bucar, F.; Ninov, S.; Ionkova, I.; Kartnig, T.; Schubert-Zsilavez, M.; Asenov, I.; Konuklugil, B.; Phytochemistry 1998, 48, 573. DOI: http://dx.doi.org/10.1016/S0031-9422(98)00048-X

8. Agrawal, P. K.; Studies In Organic Chemistry Carbon-13 NMR of Flavonoids, Elsevier: Amsterdam, 1989, v. 39.

9. Lami, M.; Rondi, M. L.; Foure, R.; Debrauwer, L.; Nze-Ekekang, L.; Balansard, G.; Ollivier, E.; C. R. Chimie 2006, 9, 1309; Markham, K. R.; Ternai, B.; Stanley, R.; Geiger, H.; Mabry, T. J.; Tetrahedron 1977, 34, 1389. DOI: http://dx.doi.org/10.1016/j.crci.2006.05.004

10. Degáspari, C. H.; Waszczynskyj, N.; Propriedades Antioxidantes de Compostos Fenólicos, 5º ed., Wiley: Curitiba, 2004.

11. Gulçin, I.; Oktay, M.; Kireçci, E.;Kufrevioglu, O. I.; Food Chem. 2003, 83, 371; Li, C.; Du, H.; Wang, L.; Shu, Q.; Zheng, Y.; Xu, J.; Zhang, J.; Yang, R.; Ge, Y.; J. Agric. Food Chem. 2009, 57, 8496.

12. Li, C.; Du, H.; Wang, L.; Shu, Q.; Zheng, Y.; Xu, Y.; Zhang, J.; Yang, R.; Ge, Y.; J. Agric. Food Chem. 2009, 57, 8496; Mensor, L. L.; Menezes, F. S.; Leitao, G. G.; Reis, A. S.; Santos, T. C.; Coube, C. S.; Leitao, S. G.; Phytother. Res. 2001, 15, 127. DOI: http://dx.doi.org/10.1021/jf902103b PMID: 19711909

13. Cao, G.; Sofi, E.; Prior, R. L.; Free Radical Biol. Med. 1997, 22, 749. DOI: http://dx.doi.org/10.1016/S0891-5849(96)00351-6

14. Williams, P.; Sorribas, A.; Howes, M. J. R.; Nat. Prod. Rep. 2011, 28, 48. DOI: http://dx.doi.org/10.1039/C0NP00027B PMID: 21072430

15. Hammel, P.; Larrey, D.; Bernuau, J.; Kalafat, M.; Freneaux, E.; Babany, G.; Degott, C.; Feldmann, G.; Pessayre, D.; Benhamou, J. P.; J. Clin. Gastroenterol. 1990,12, 329; Watkins, P. B.; Zimmerman, H. J.; Knapp, M. J.; Gracon, S. I.; Lewis, K. W.; J. Am. Med. Assoc. 1994,271, 992. DOI: http://dx.doi.org/10.1097/00004836-199006000-00021 PMID: 2362104

16. Ji, H. F.; Zhang, H. Y.; J. Mol. Struc.: THEOCHEM 2006, 767, 3; Jung, H. A.; Yokozawa, T.; Kim, B. W.; Jung, J. H.; Choi, J. S.; Am. J. Chin. Med. 2010, 38, 415; Ding, X.; Ouyang, M.-A.; Liu, X.; Wang, R.-Z.; J. Chem. 2013, 2013, 1 (http://dx.doi.org/10.1155/2013/645086); Jin, C. H.; Shin, E. J.; Park, J. B.; Jang, C. G.; Li, Z.; Kim, M. S.; Koo, K. H.; Yoon, H. J.; Park, S. J.; Choi, W. C.; Yamada, K.; Nabeshima, T.; Kim, H. C.; J. Neurosci. Res. 2009, 87, 3658. DOI: http://dx.doi.org/10.1016/j.theochem.2006.04.041

17. Ellman, G. L.; Biochem. Pharmacol. 1961, 7, 88. DOI: http://dx.doi.org/10.1016/0006-2952(61)90145-9 PMID: 13726518

18. Rhee, I. K.; Meent, M. V.; Ingkaninan, K.; Verpoorte, R.; J. Chromatogr. A. 2001, 915, 217. DOI: http://dx.doi.org/10.1016/S0021-9673(01)00624-0 PMID: 11358251

19. Fan, P.; Hay, A. E.; Marston, A.; Hostettmann, K.; Pharm. Biol. 2008,46, 596. DOI: http://dx.doi.org/10.1080/13880200802179592

On-line version ISSN 1678-7064 Printed version ISSN 0100-4042
Qu�mica Nova
Publica��es da Sociedade Brasileira de Qu�mica
Caixa Postal: 26037 05513-970 S�o Paulo - SP
Tel/Fax: +55.11.3032.2299/+55.11.3814.3602
Free access

GN1