JBCS



15:08, sáb out 25

Acesso Aberto/TP



Artigo

Chemical study of Hortia superba (Rutaceae) and investigation of the antimycobacterial activity of crude extracts and constituents isolated from Hortia species

Vanessa Gisele Pasqualotto SeverinoI,*; Afif Felix MonteiroI; Maria Fátima das Graças Fernandes da SilvaII; Rodrigo LucariniIII; Carlos Henrique Gomes MartinsIII

IDepartamento de Química, Universidade Federal de Goiás, 75704-020 Catalão - GO, Brasil
IIDepartamento de Química, Universidade Federal de São Carlos, 13565-905 São Carlos - SP, Brasil
IIICentro de Pesquisa em Ciências Exatas e Tecnologia, Universidade de Franca, 14404-600 Franca - SP, Brasil

Recebido em 23/04/2014
Aceito em 21/08/2014
Publicado na web em 24/10/2014

Endereço para correspondência

*e-mail: vanessa.pasqualotto@pq.cnpq.br

RESUMO

In this paper, the chemical study of Hortia superba and antimycobacterial potential of Hortia species were investigated. Crude extracts and limonoids, alkaloids, dihydrocinnamic acid derivatives and coumarins isolated from Hortia superba, Hortia oreadica and Hortia brasiliana were evaluated against Mycobacterium tuberculosis H37Rv, Mycobacterium kansasii and Mycobacterium avium. The results obtained demonstrated an inhibitory effect of the dichloromethane extract of leaves of H. oreadica (MIC 31.25 µg mL-1), indolequinazoline (15.62 µg mL-1) and furoquinoline (31.25 µg mL-1) alkaloids, and dihydrocinnamic acid derivatives (62.50 µg mL-1), on the growth of M. tuberculosis. These results are promising in relation to the search for biologically active natural products and could be useful in the development of effective new drugs against mycobacteria.

Palavras-chave: Hortia species; alkaloids; dihydrocinnamic acid derivatives; antimycobacterial potential.

INTRODUCTION

Natural products, or their direct derivatives, play a crucial role in the modern day chemotherapy of mycobacterial infections. There is currently a re-emerging interest in natural products able to provide novel structures for drug discovery, particularly those which are effective as antibacterial leads.1

The Rutaceae family is comprised of around 150 genera with more than 1500 terrestrial species, which are considered to be sources of alkaloids, coumarins, flavonoids and limonoids.2 Hortia is a neotropical genus of Rutaceae that comprises 10 species,3 distributed in South America from Panama to the state of São Paulo, Brazil, most of them occurring in the Amazonian region.3 Previous studies have established a relationship between the compounds isolated from this genus and biological properties, including inhibition of the enzymes -glucosidase, α-amylase and lipase,4 against Plasmodium falciparum and Trypanosoma brucei rhodesiense5 and antibacterial action against oral pathogens6 and Xylella fastidiosa.7 However, to date, no information on the antimycobacterial activity of this genus has been reported. The development of antimycobacterial agents from plant compounds attracts interest based on the premise that natural products may be less toxic than synthetic antimycobacterial agents. In this context, this paper describes preliminary investigations on three Hortia species employing crude extracts and ten isolated compounds of the classes of terpenoids (limonoids), alkaloids, dihydrocinnamic acid derivatives and coumarins. Their antimycobacterial activity against Mycobacterium tuberculosis H37Rv (ATCC 27294), Mycobacterium kansasii (ATCC 12478) and Mycobacterium avium (ATCC 15769) was evaluated. A chemical study on the methanolic extract obtained from Hortia superba stems is also reported.

 

EXPERIMENTAL

General experimental procedures

All organic solvents used were of analytical grade and purchased from Merck (Darmstadt, Germany). 1H and 13C NMR spectra were recorded in deuterated chloroform, with tetramethylsilane as the internal standard, at ambient temperature on a Bruker DRX 400 instrument operating at 400 and 100 MHz, for 1H and 13C respectively. A Shimadzu HPLC, model LC-6AD, equipped with a Shimadzu SPD-6AV UV detector (detection UV λ 217 and 254) and a Shodex Asahipak GS-310 2Ga column (460 x 25 mm, 10 µm particle size) was used for the analysis. For the column chromatography, Silica gel 60 (Acros Organics) and Sephadex LH 20 (Amersham Pharmacia Biotech AB) were used.

Plant material

Hortia brasiliana Vand. ex DC. was collected (May 2000) in Linhares, Espírito Santo state, Brazil. Hortia oreadica Groppo, Kallunki & Pirani was collected (Sep 2005) in the Adolpho Ducke Forest Reserve, Itacoatiara, Amazonas state, Brazil. Hortia superba Ducke was collected (Dec. 2001) along the road running from Manaus to Itacoatiara, at km 31, Amazonas State, Brazil. All plants were identified by Prof. Dr. José Rubens Pirani of the Department of Botany, University of São Paulo, and vouchers are deposited in the herbarium of the same department (Pirani 4672, Groppo Jr. 458 and Groppo Jr. 950, respectively).

Preparation of the crude extracts

The dried and powdered stem bark and stems of H. superba, leaves and stems of H. brasiliana and ground taproots, stems and leaves of H. oreadica were successively extracted using hexane (hex) (10 L), dichloromethane (DCM) (10 L) and methanol (MeOH) (10 L), at room temperature (3 times, at 3-day intervals, totaling 9 days). Evaporation of the solvents under reduced pressure produced crude extracts (see Table 1), which were submitted to biological assays against Mycobacterium tuberculosis, M. avium and M. kansasii.

 

 

The crude extracts that provided a minimum inhibitory concentration (MIC) value of < 250 µg mL-1 against at least one of the tested mycobacterium were selected for fractionation (see Table 2).

 

 

The isolation of compounds 1, 2, 3, 4, 6, 7 and 10 from H. oreadica and H. brasiliana have been described previously.5,8

Isolation of compounds from H. superba

The concentrated methanol extract (5.0 g) obtained from stems of H. superba was partitioned into hex (1.5 L) (concentrated 1.4 g), DCM (1.5 L) (concentrated 2.3 g) and hydroalcoholic (4.0 L) (concentrated 1.3 g) soluble fractions. The hexane fraction was subjected to column chromatography (CC) over silica gel (230-400 mesh, Φ x h= 6.5 x 63.0 cm) and elution with a gradient of hex-ethyl acetate (EtOAc)-MeOH afforded 9 fractions (9-1 to 9-9). Fraction 9-2 yielded compound 6 (17.8 mg). Fraction 9-3 (48.5 mg) was subjected to recycling high performance liquid chromatography (R-HPLC) (MeOH-DCM 8:2, flow rate 5.0 mL min-1) to afford compounds 3 (6.4 mg) and 8 (7.5 mg) after recycling once. Fraction 9-4 yielded compound 3 (127.9 mg). Fraction 9-9 (31.9 mg) was rechromatographed on Sephadex LH 20 (Φ x h= 2.0 x 30.0 cm) using DCM-MeOH (1:9, 1.5 L) to give compounds 1 (1.9 mg) and 9 (1.5 mg). The dichloromethane fraction was subjected to CC over silica gel (230-400 mesh, Φ x h= 6.5 x 72.0 cm). Elution with a gradient of hex-acetone-MeOH yielded 25 new fractions. Based on the thin-layer chromatography (TLC) plate monitoring, all fractions were combined into 8 analytically distinct fractions (8-1 to 8-8). Fraction 8-3 (89.5 mg) was chromatographed on silica gel (Φ x h= 4.0 x 65.0 cm) and eluted with hex-EtOAc (6:4) to give compound 7 (4.1 mg). Fraction 8-4 (116.4 mg) was subjected to R-HPLC (MeOH, flow rate 5.0 mL min-1) to afford compound 5 (7.4 mg) after recycling once. Fraction 8-7 (373.6 mg) was rechromatographed on silica gel (230-400 mesh, Φ x h= 1.5 x 23.0 cm) eluting with hex-EtOAc (6:4) affording 4 new fractions (8-7-1 to 8-7-4). Fraction 8-7-1 was purified by CC (Φ x h= 2.0 x 25.0 cm) on Sephadex LH 20 using MeOH (1 L) to afford compound 9 (7.1 mg).

Biological activity

The antimycobacterial activity of the crude extracts and compounds was assayed in vitro. The MIC values were determined in triplicate using the microdilution technique on a REMA, adapted from a procedure reported in the literature.9 The microorganisms used were M. tuberculosis H37Rv (ATCC 27294), M. kansasii (ATCC 12478) and M. avium (ATCC 15769). The crude extracts and compounds were dissolved in DMSO and serially diluted in Middlebrook 7H9 broth before inoculation. The concentrations used ranged from 10 to 2000 µg mL-1. In order to determine the maximum concentration of DMSO in the samples that allowed the test microorganisms to reach normal growth, DMSO concentrations of up to 0.3% (v:v) were used. Isoniazid was used as the reference antibiotic drug.

 

RESULTS AND DISCUSSION

The screening of crude extracts and natural products for antimicrobial activity has previously shown that higher plants represent a potential source of new anti-infective agents,10 as well as aiding the discovery of drugs obtained from natural products for primary lead compounds.11 Given their high metabolite content and common pathways which can be manipulated, as well as their high diversity, plants represent a main source of natural products compared to other organisms such as marine sponges, algae, fungi and cyanobacteria.12 Plant extracts containing terpenes, steroids, alkaloids, flavonoids, chalcones, coumarins, lignans, phenols, polyketides, alkanes, alkenes, alkynes, simple aromatics and peptides have been used in the treatment of different human diseases13 around the globe, including tuberculosis.12

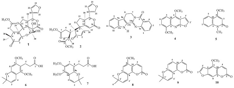
In this context, the crude extracts obtained from three Hortia species (see Table 2) were tested for their antimycobacterial activity against M. tuberculosis, M. avium and M. kansasii. The samples with MIC values < 250 µg mL-1 against at least one mycobacterium were considered active, although for M. tuberculosis H37Ra other authors14 have considered inactive the extracts of plant species distributed among 17 families from Turkey that could not prevent growth of this microorganism up to a concentration of 200 µg mL-1. Thus, we focused our attention on five active extracts obtained from H. oreadica [hexane extract of the ground taproots (HEGT), dichloromethane extract of the ground taproots (DEGT), methanol extract of the ground taproots (MEGT), methanol extract of the stem (MES) and dichloromethane extract of the leaves (DEL)], one from H. brasiliana [methanol extract of the stem (MES)] and one from H. superba [methanol extract of the stem (MES)]. Extensive chromatographic separation led to the isolation of the following secondary metabolites, which have been previously reported in the literature: hortiolide D (1),8 guyanin (2),15 rutaecarpine (3),5 γ-fagarine (4),16 4-methoxy-N-methyl-2-quinolone (5),17 5,7-dimethoxy-2,2-dimethyl-2H-1-benzopyran-6-propanoic acid (6),8 5,6-dimethoxy-2,2-dimethyl-2H-1-benzopyran-8-propanoic acid (7),8 5-methoxyseselin (8),18 seselin (9),19 and bergaptene (10)20 (see Figure 1).

 


Figure 1. Structure of compounds isolated from three species of Hortia

 

In this paper we report the chemical study of H. superba, although all isolated compounds from this specie have been described in the literature.

The isolates were tested against selected microorganisms (see Table 3) and the results demonstrated the inhibitory effect of some natural products, in particular indolequinazoline (3) (MIC 15.62 µg mL-1) and furoquinoline (4) (MIC 31.25 µg mL-1) alkaloids and dihydrocinnamic acid derivatives (6-7) (MIC 62.50 µg mL-1), on the growth of M. tuberculosis, but the activity against the other microorganisms was weak. The MIC values obtained are higher than that of isoniazid (0.03 µg mL-1 for M. tuberculosis and 1.00 µg mL-1 for M. avium and M. kansasii). However, these inhibitory concentrations were compared to the MIC of pyrazinamide (another first-line antimycobacterial drug), 20-100 µg mL-1.21 Rutaecarpine (3) was isolated from the most active crude extract (dichloromethane extract of the leaves of H. oreadica - MIC 31.25 µg mL-1) and showed good bioactivity against M. tuberculosis, but this compound had no relevant activity against the other microorganisms.

 

 

Previous investigations22 have revealed the antimycobacterial activity of the indole alkaloids ibogaine, voacangine, and texalin against M. tuberculosis H37Rv, M. avium and M. kansasii. The compound ibogaine was the most active (MIC 50 µg mL-1) against M. tuberculosis and M. kansasii, suggesting that the indole skeleton might be responsible for the observed activity, including in this study. In addition, authors have previously reported23 the antimicrobial activity of a root extract of Tabernaemontana elegans Stapf., which was rich in alkaloids, and the alkaloidal fraction containing voacangine and dregamine as major components, against Mycobacterium species (MIC of around 128-256 µg mL-1), which suggests that compounds in this class are potential candidates for antimicrobials.

With regard to compound 4, a previous study24 has shown that it was active against M. tuberculosis H37Rv (MIC 30 µg mL-1), which is in agreement with the result obtained in this research, and the same study revealed that the compound dictamnine, a direct biosynthetic precursor to γ-fagarine and skimmianine, was also active against M. tuberculosis (MIC 31.25 µg mL-1). According a report in the literature,25 skimmianine, a quinoline-type alkaloid with an additional O-methyl group at position C7, showed an MIC of 25 µg mL-1 against M. tuberculosis. Thus, the quinoline skeleton of these alkaloids may play an important role in mediating the antimycobacterial activity.

Secondary metabolites of terpenoid origin are among the most promising classes of natural products with antimycobacterial activity.26 In this context, studies have demonstrated the activity of terpenes, including monoterpenes, diterpenes, sesquiterpenes, triterpenes and steroids.13,27 However, in our study the limonoids 1 and 2 did not display any antimycobacterial activity against the three microorganisms at the concentrations tested (MIC > 2000 µg mL-1).

With regard to the structure-activity relationships of coumarins, it appears that the linear furo-cycle in 10 slightly increases the antimicrobial activity, notably against M. tuberculosis, when compared to pyrano-coumarins 8 and 9. However, 10 exhibited a higher MIC value and the antimycobacterial activity was considered weak.

For the dihydrocinnamic acid derivatives, a review of the Rutaceae species revealed that the major source of these compounds with prenyl or pyrano substituents is various species of Hortia.8 Consequently, we examined the activity of 6 and 7 and both showed good inhibitory potency against M. tuberculosis (MIC 62.50 µg mL-1). Thus, the antimycobacterial activity of this compound class is being reported herein for the first time.

 

CONCLUSIONS

In this investigation we report the chemical study of H. superba and the antimycobacterial activity of some crude extracts and compounds isolated from three Hortia species, which may be related to the presence of alkaloids and dihydrocinnamic acid derivatives, or to more than one component, in the bioactive extracts. Further pharmacological and toxicity studies on the bioactive compounds 3, 4, 6 and 7 are required to confirm the biological action of these natural products. Therefore, this study provides an important basis for further investigations regarding the isolation of other compounds present in the active extracts of Hortia species, which will permit the establishment of a correlation between structure and antimycobacterial activity.

 

ACKNOWLEDGEMENTS

We are grateful for the financial support of the Brazilian research funding agencies CNPq (Conselho Nacional de Desenvolvimento Cientifico e Tecnológico), FAPESP (Fundação de Amparo à Pesquisa do Estado de São Paulo) and CAPES (Coordenação de Aperfeiçoamento de Pessoal de Ensino Superior).

 

REFERENCES

1. Koehn, F. E.; Carter, G. T.; Nat. Rev. Drug. Discov. 2005, 4, 206; Butler, M. S.; Buss, A. D.; Biochem. Pharmacol. 2006, 71, 919. DOI: http://dx.doi.org/10.1038/nrd1657 PMID: 15729362

2. Waterman, P. G. In Phylogenetic implications of the distribution of secondary metabolites within the Rutales; Waterman, P. G.; Grundon, M. F., eds.; Academic Press: London, 1983, pp. 377-400.

3. Groppo, M.; Kallunki, J. A.; Pirani, J. R.; Brittonia 2005, 57, 28; Groppo, M.; Pirani, J. R.; Salatino, M. L. F.; Blanco, S. R.; Kallunki, J. A.; Am. J. Bot. 2008, 95, 985; Groppo, M.; Cruz-Barros, M. A. V.; Correa, M. A. S.; Rev. Brasil. Bot. 2010, 33, 13. DOI: http://dx.doi.org/10.1663/0007-196X(2005)057[0028:SOHAWH]2.0.CO;2

4. Queiroz, D. P. K.; Ferreira, A. G.; Lima, A. S.; Lima, E. S.; Lima, M. P.; Int. J. Pharm. Pharm. Sci. 2013, 5, 336.

5. Severino, V. G. P.; Cazal, C. M.; Forim, M. R.; da Silva, M. F. G. F.; Rodrigues-Filho, E.; Fernandes, J. B.; Vieira, P. C.; J. Chromatogr. A 2009,1216, 4275; Severino, V. G. P.; Freitas, S. D. L.; Braga, P. A. C.; Forim, M. R.; da Silva, M. F. G. F.; Fernandes, J. B.; Vieira, P. C.; Venâncio, T.; Molecules 2014, 19, 12031. DOI: http://dx.doi.org/10.1016/j.chroma.2009.02.009 PMID: 19249788

6. Severino, V. G. P.; da Silva, M. F. G. F.; Lucarini, R.; Montanari, L. B.; Cunha, W. R.; Vinholis, A. H. C.; Martins, C. H. G.; Braz. J. Microbiol. 2009, 40, 535. DOI: http://dx.doi.org/10.1590/S1517-83822009000300015 PMID: 24031396

7. Ribeiro, A. B.; Abdelnur, P. V.; Garcia, C. F.; Belini, A.; Severino, V. G. P.; da Silva, M. F. G. F.; Fernandes, J. B.; Vieira, P. C.; Carvalho, S. A.; Souza, A. A.; Machado, M. A.; J. Agric. Food Chem. 2008, 56, 7815. DOI: http://dx.doi.org/10.1021/jf801103p PMID: 18683948

8. Braga, P. A. C.; Severino, V. G. P.; Freitas, S. D. L.; da Silva, M. F. G. F.; Fernandes, J. B.; Vieira, P. C.; Pirani, J. R.; Groppo, M.; Biochem. Syst. Ecol. 2012,43, 142; Severino, V. G. P.; Braga, P. A. C.; da Silva, M. F. G. F.; Fernandes, J. B.; Vieira, P. C.; Theodoro, J. E.; Ellena, J. A.; Phytochemistry 2012, 76, 52. DOI: http://dx.doi.org/10.1016/j.bse.2012.03.005

9. Palomino, J. C.; Martin, A.; Camacho, M.; Guerra, H.; Swings, J.; Portaels, F.; Antimicrob. Agents Chemother. 2002, 46, 2720. DOI: http://dx.doi.org/10.1128/AAC.46.8.2720-2722.2002 PMID: 12121966

10. Press, J. B.; Chemtracts: Org. Chem. 1996, 9, 286.

11. Lawrence, R. N.; Drug Discov. Today 1999, 4, 449. DOI: http://dx.doi.org/10.1016/S1359-6446(99)01405-1 PMID: 10481139

12. Santhosh, R. S.; Suriyanarayanan, B.; Planta Med. 2014, 80, 9. DOI: http://dx.doi.org/10.1055/s-0033-1350978 PMID: 24218370

13. Copp, B. R.; Pearce, A. N.; Nat. Prod. Rep. 2007, 24, 278; García, A.; Bocanegra-García, V.; Palma-Nicolás, J. P.; Rivera, G.; Eur. J. Med. Chem. 2012, 49, 1. DOI: http://dx.doi.org/10.1039/B513520F PMID: 17389998

14. Tosun, F.; Akyuz Kizilay, C.; Sener, B.; Vural, M.; J. Ethnopharmacol. 2004, 95, 273. DOI: http://dx.doi.org/10.1016/j.jep.2004.07.011 PMID: 15507348

15. Jacobs, H.; Ramdayal, F.; Tetrahedron Lett. 1986, 27, 1453. DOI: http://dx.doi.org/10.1016/S0040-4039(00)84283-5

16. Cuca, L. E.; Martínez, J. C.; Monache, F. D.; Rev. Colomb. Quim. 1998, 27, 23.

17. Nayar, M. N. S.; Sutar, C. V.; Bhan, M. K.; Phytochemistry 1971, 10, 2843. DOI: http://dx.doi.org/10.1016/S0031-9422(00)97306-0

18. Melliou, E.; Magiatis, R.; Mitaku, S.; Skaltsounis, A. L.; Chinou, E.; Chinou, I.; J. Nat. Prod. 2005, 68, 78. DOI: http://dx.doi.org/10.1021/np0497447 PMID: 15679322

19. Dean, F. M. In Progress in the Chemistry of Organic Natural Products; Zechmeister, L., ed.; Springer Verlag: Vienna, 1952, vol. IX.

20. Muller, M.; Byres, M.; Jaspars, M.; Kumarasamy, Y.; Middleton, M.; Nahar, L.; Shoeb, M.; Sarker, S. D.; Acta Pharm. 2004,54, 277. PMID: 15634612

21. Grover, S. G.; Takkar, J.; Indian J. Community Med. 2008, 33, 219. DOI: http://dx.doi.org/10.4103/0970-0218.43238 PMID: 19876493

22. Rastogi, N.; Abaul, J.; Goh, K. S.; Devallois, A.; Philogeéne, E.; Bourgeois, P.; FEMS Immunol. Med. Microbiol. 1998, 20, 267. DOI: http://dx.doi.org/10.1111/j.1574-695X.1998.tb01136.x PMID: 9626931

23. Pallant, C. A.; Cromarty, A. D.; Steenkamp, V.; J. Ethnopharmacol. 2012, 140, 398. DOI: http://dx.doi.org/10.1016/j.jep.2012.01.036 PMID: 22313627

24. Huang, H. Y.; Ishikawa, T.; Peng, C. F.; Tsai, I. L.; Chen, I. S.; J. Nat. Prod. 2008, 71, 1146. DOI: http://dx.doi.org/10.1021/np700719e PMID: 18564877

25. Luo, X.; Pires, D.; Aínsa, J. A.; Gracia, B.; Duarte, N.; Mulhovo, S.; Anes, E.; Ferreira, M. J. U.; J. Ethnopharmacol. 2013, 146, 417. DOI: http://dx.doi.org/10.1016/j.jep.2013.01.013 PMID: 23337743

26. Copp, B. R.; Nat. Prod. Rep. 2003, 20, 535. DOI: http://dx.doi.org/10.1039/b207130b PMID: 14700198

27. Higuchi, C. T.; Pavan, F. R.; Leite, C. Q. F.; Sannomiya, M.; Vilegas, W.; Leite, S. R. A.; Sacramento, L. V. S.; Sato, D. N.; Quim. Nova 2008, 31, 1719; Aguiar, R. M.; David, J. P.; David, J. M.; Phytochemistry 2005, 66, 2388. DOI: http://dx.doi.org/10.1590/S0100-40422008000700023

On-line version ISSN 1678-7064 Printed version ISSN 0100-4042
Qu�mica Nova
Publica��es da Sociedade Brasileira de Qu�mica
Caixa Postal: 26037 05513-970 S�o Paulo - SP
Tel/Fax: +55.11.3032.2299/+55.11.3814.3602
Free access

GN1