JBCS



20:16, sáb out 25

Acesso Aberto/TP



Artigo


Di-hidrocucurbitacina B: semi-síntese de novos derivados glicosilados
Dihydrocucurbitacin B: semisynthesis of new glicoside derivatives

Vanessa R. MachadoI; Karen L. LangII; Fernando J. DuránII; Gabriela M. CabreraIII; Jorge A. PalermoIII; Eloir P. SchenkelI; Lílian S. C. BernardesI,*

IDepartamento de Ciências Farmacêuticas, Centro de Ciências da Saúde, Universidade Federal de Santa Catarina, Campus Universitário, 88040-900 Florianópolis - SC, Brasil
IIDepartamento de Farmácia, Universidade Federal de Juiz de Fora, Campus Governador Valadares, 35020-220 Governador Valadares - MG, Brasil
IIIUMYFOR-CONICET - Departamento de Química Orgánica, Facultad de Ciencias Exactas y Naturales, Universidad de Buenos Aires, Argentina

Recebido em 14/04/2014
Aceito em 27/08/2014
Publicado na web em 24/10/2014

Endereço para correspondência

*e-mail: l.bernardes@ufsc.br

RESUMO

In the last ten years, the interest in natural and semi-synthetic cucurbitacin derivatives has increased, primarily due their cytotoxic and anti-tumoral activities. However, the isolation of glycosylated cucurbitacins has been difficult due the presence of β-glucosidase enzyme. With the aim of obtaining new glycosylated derivatives, the glycosylation of dihydrocucurbitacin B under Köenigs-Knorr and imidate reaction conditions was studied. Novel glycoside derivatives 16-(1,2-orthoacetate-3,4,6-tri-O-acetyl-α-D-glucopyranosyl)-dihydrocucurbitacin B (2), 2-O-β-D-2,3,4,6-tetra-O-acetyl-galactopyranosyl dihydrocucurbitacin B (3) and 2-O-β-D-galactopyranosyl dihydrocucurbitacin B (4) were synthesized for the first time in 17% (2 and 3) and 48% (4) yields.

Palavras-chave: Wilbrandia ebracteata; glycosylated cucurbitacins; O-glycosylation reaction; molecular modification.

INTRODUÇÃO

A busca por compostos bioativos, a partir de fontes naturais, continua sendo inspiração para os químicos medicinais no processo de descoberta e desenvolvimento de novos fármacos.1-4 Os produtos naturais (PNs) ocupam um espaço químico diferenciado quando comparados aos compostos totalmente sintéticos. A biossíntese fornece estruturas com características particulares difíceis de serem obtidas com a síntese total, como por exemplo: a diversidade de esqueletos, compostos altamente funcionalizados e controle estereoquímico.3-4 O Brasil apresenta uma ampla biodiversidade, a qual é considerada uma fonte de substâncias biologicamente ativas.2 Neste contexto, nosso grupo de pesquisa desenvolve trabalhos centrados na investigação da constituição química e na avaliação das propriedades biológicas de espécies vegetais da família Cucurbitaceae, utilizadas popularmente com o nome de taiuiá.5 Algumas dessas espécies são utilizadas na medicina tradicional para o tratamento das mais variadas enfermidades, dentre elas, artrite, sinusite, tumores de pele, doenças reumáticas e também contra efeitos de venenos de cobra.6

De maneira geral, os componentes majoritários de espécies da família Cucurbitaceae são as cucurbitacinas, triterpenos tetracíclicos de esqueleto incomum 19 (10→9β) abeo-5α-lanosteno (Figura 1). Até o presente momento, já foram descritas mais de 50 cucurbitacinas e suas principais diferenças estruturais estão relacionadas às funcionalidades no anel A, cadeia lateral e fatores estereoquímicos.7 Os compostos desta classe podem ser isolados na forma livre (aglicona) ou glicosilada, no entanto, o isolamento de glicosídeos de cucurbitacinas é dificultado pela presença da enzima β-glicosidase em muitos tecidos vegetais.8

 


Figura 1. Estrutura geral do esqueleto cucurbitano e da di-hidrocucurbitacina B

 

Entre as espécies investigadas destaca-se Wilbrandia ebracteata, da qual foram identificados mais de 20 cucurbitacinas até o momento.9,10 A di-hidrocucurbitacina B (1; Figura 1) é o composto majoritário do extrato diclorometânico das raízes W. ebracteata e apresentou resultados relevantes em estudos in vivo com redução significativa do crescimento celular, quando avaliada frente à linhagem de melanoma (B16F10), assim como inibição do edema de pata induzido por carragenina.11,12 Nos últimos anos, as cucurbitacinas têm despertado interesse, principalmente em função das atividades citotóxica e antitumoral que apresentam. Elas são capazes de induzir alterações morfológicas e fisiológicas em células tumorais, atuando por diferentes mecanismos de ação13 e alguns estudos demonstraram que os derivados glicosilados apresentam menor toxicidade quando comparado ao derivado não glicosilado.14

Adicionalmente, em trabalhos anteriores, foi descrita a atividade citotóxica em linhagens tumorais de cucurbitacinas obtidas de W. ebracteata, bem como de análogos obtidos por modificações moleculares da di-hidrocucurbitacina B, realizadas principalmente nas posições 2 e 16.10,15 Em sequência a esses trabalhos, tornou-se importante a obtenção de derivados glicosilados de cucurbitacinas, os quais ocorrem na planta em baixas concentrações, para avaliação de suas propriedades biológicas. Apesar do interesse renovado pelas propriedades biológicas de cucurbitacinas,13 são poucos os trabalhos direcionados para obtenção de novos derivados desta classe de produtos naturais, glicosilados ou não.15-17 Com esse objetivo, foram realizadas reações de glicosilação na di-hidrocucurbitacina B, seguindo metodologias clássicas como a reação de Köenigs-Knorr e as reações com os derivados tricloroacetimidato da glicose e galactose peracetiladas.18,19

 

RESULTADOS E DISCUSSÃO

O precursor di-hidrocucurbitacina B (1) foi isolado do extrato diclorometânico das raízes de W. ebracteata com rendimentos satisfatórios (20%), conforme metodologia já descrita.10

Os derivados glicosilados 16-(1,2-ortoacetato-3,4,6-tri-O-acetil-α-D-glicopiranose)di-hidrocucurbitacina B (2), 2-O-(2,3,4,6-tetra-O-acetil-β-D-galactopiranosil)di-hidrocucurbitacina B (3) e 2-O-(β-D-galactopiranosil)di-hidrocucurbitacina B (4), apresentados na Figura 2, foram preparados conforme método de Köenigs-Knorr e reações com imidatos, respectivamente.18,19

 


Figura 2. Derivados glicosilados de di-hidrocucurbitacina B 2, 3 e 4

 

Em ambas as reações estudadas foram utilizados derivados haletos e imidatos de glicose e galactose como unidades doadoras de glicosídeos (Esquema 1). A obtenção destes doadores envolve a preparação de intermediários comuns, os compostos 1,2,3,4,6-penta-O-acetil-D-glicopiranose (6a) e 1,2,3,4,6-penta-O-acetil-D-galactopiranose (6b), os quais foram obtidos a partir da proteção da D-glicose 5a e D-galactose 5b com anidrido acético, na presença de iodo molecular.20 Os derivados haletos, brometo de 2,3,4,6-tetra-O-acetil-α-D-glicopiranosila (7a) e brometo de 2,3,4,6-tetra-O-acetil-α-D-galactopiranosila (7b) foram preparados a partir das unidades monossacarídicas protegidas 6a e 6b com rendimentos de 67% e 62%, respectivamente, pela reação com ácido bromídrico em ácido acético (33%). Os derivados imidatos, 2,3,4,6-tetra-O-acetil-α-D-glicopiranosila tricloroacetimidato (9a) e tricloroacetimidato 2,3,4,6-tetra-O-acetil-α-D-galactopiranosila (9b) foram obtidos com rendimentos de 50% e 62%, respectivamente, pela reação inicial dos compostos 6a e 6b com acetato de hidrazina, para desproteção seletiva em C-1 (carbono anomérico) gerando os compostos 8a e 8b e posterior reação destes com tricloroacetonitrila, na presença de DBU.

 


Esquema 1. Rota de síntese para preparaçao dos doadores de unidades monossacarídicas 7a-b e 9a-b

 

O composto glicosilado 16-(1,2-ortoacetato-3,4,6-tri-O-acetil-α-D-glicopiranose)-di-hidrocucurbitacina B (2) foi obtido seguindo a metodologia clássica de Köenigs-Knorr com rendimento de 17%, pela reação entre di-hidrocucurbitacina B e quantidades equimolares do doador 7a e Ag2O como promotor da O-glicosilação (Esquema 2A).18 A mesma reação foi desenvolvida com o doador 7b, seguindo as mesmas condições reacionais e alternativamente com algumas variações como, por exemplo, tempo reacional, número de equivalentes, variação do solvente e do agente promotor (Ag2CO3). Porém, foram obtidas misturas complexas de difícil separação cromatográfica, não sendo possível identificar a formação de derivado glicosilado.

 


Esquema 2. Esquemas de síntese de obtençao dos derivados glicosilados 2 (2A), 3 e 4 (2B)

 

A identificação estrutural do derivado 1,2-ortoacetato 2 foi realizada com base na constatação da presença de apenas 3 grupos acetilas na unidade monossacarídica, ao invés dos 4 presentes no doador, ao mesmo tempo que se observa um sinal adicional no espectro de RMN 13C em δ 122,0 ppm, sendo este valor típico de ortoésteres.21 A análise do mapa de correlação heteronuclear (HMBC) demonstrou correlação do sinal em δ 122,0 ppm com um simpleto (3H) em δ 1,55 ppm, o qual não está presente no espectro de RMN 1H de 1. Por meio da correlação do simpleto em δ 1,55 ppm pode-se atribuir a posição de substituição do produto 2, uma vez que o mesmo correlaciona-se com o sinal em δ 73,8 ppm referente a C-16.

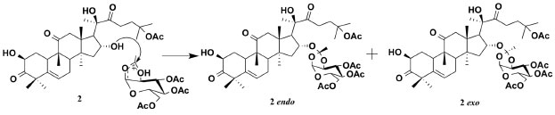
O mecanismo de formação do composto 2 pode ser explicado pelo ataque nucleofílico da hidroxila em C-16 ao íon oxocarbenium do composto 7a, porém no carbono carbonílico do grupamento acetato de C-2' (Figura 3).

 


Figura 3. Mecanismo provável para formaçao do 1,2-ortoéster 2 (diasteroisômeros endo e exo)

 

Na análise do espectro de RMN 1H foi possível observar a formação de diasteroisômeros na proporção de 2:1, com base nas integrais do hidrogênio olefínico (H-6). De acordo com a literatura,22 a isomeria é com relação à estereoquímica da metila em δ 1,55 ligada ao carbono carbonílico (δ 122), o qual sofreu o ataque nucleofílico. A metila pode estar orientada em β caracterizando o composto exo (trans ao anel pirano) ou endo quando disposta em α (Figura 3).

O derivado 2-O-(2,3,4,6-tetra-O-acetil-β-D-galactopiranosil)di-hidrocucurbitacina B (3) foi obtido com rendimento de 17% pela reação do doador imidato 9b com a di-hidrocucurbitacina B, na presença de triflato de trimetilsilila (TMSOTf) como catalisador, sob atmosfera de nitrogênio (Esquema 2B).19 Porém, utilizando essa metodologia não foi possível obter o derivado de di-hidrocucurbitacina B contendo a unidade monossacarídica glicose (reação entre 1 e composto 9a). A formação do composto 3 foi confirmada por espectro de RMN 1H devido à presença de um dupleto em δ 4,63 ppm, cuja constante de acoplamento (J= 7,8 Hz) indica a formação do isômero β-D-galactopiranosídeo. A posição de substituição na aglicona di-hidrocucurbitacina B foi determinada por análise dos mapas de contorno HMBC e COSY. A confirmação foi possível devido ao deslocamento do sinal de espectro de RMN 13C referente a C-2, o qual apresentava-se em δ 71,7 ppm no produto de partida (1) e, após a formação da ligação glicosídica (3), deslocou-se para δ 76,0 ppm.

Finalmente, a desacetilação do derivado 3, na presença de metóxido de sódio e metanol, conduziu à formação do 2-O-(β-D-galactopiranosil)di-hidrocucurbitacina B (4), com 48% de rendimento.

Os compostos glicosilados 2, 3 e 4 foram avaliados quanto à atividade citotóxica frente à linhagem celular de adenocarcinoma de pulmão (A549) e os resultados contribuíram para estudos de QSAR (Quantitative Structure-Activity Relationship) de uma biblioteca de derivados de cucurbitacinas, obtidas em trabalhos anteriores.23

 

CONCLUSÃO

Os derivados glicosilados 16-(1,2-ortoacetato-3,4,6-tri-O-acetil-α-D-glicopiranose)-di-hidrocucurbitacina B (2) e 2-O-(2,3,4,6-tetra-O-acetil-β-D-galactopiranosil) de di-hidrocucurbitacina B (3) foram obtidos com 17% de rendimento, pela reação de di-hidrocucurbitacina B (1) na presença de Ag2O e TMSOTf, respectivamente. A reação de desacetilação de 3 forneceu o derivado 2-O-(β-D-galactopiranosil)di-hidrocucurbitacina B (4) com 48% de rendimento.

As metodologias de glicosilação estudadas permitiram a síntese de compostos glicosilados inéditos (compostos 2, 3 e 4), os quais se destacam pelo fato de que poucos derivados glicosilados de cucurbitacina com padrão de substituição em C-16 são descritos, além de não existirem relatos quanto ao isolamento de derivados contendo galactose como unidade monossacarídica.

 

PARTE EXPERIMENTAL

Os reagentes e os solventes utilizados nas reações e nos procedimentos de purificação foram previamente tratados conforme métodos descritos na literatura.24 Os espectros de RMN 1H e 13C foram realizados em CDCl3 a temperatura ambiente (25 ºC) em espectrofotômetro Bruker Avance 2 a uma frequência de 500 MHz para 1H e 125 MHz para 13C. Os deslocamentos químicos foram expressos em δ relativo ao tetrametilsilano (TMS). Espectrometria de Massas de alta resolução foi realizada em equipamento Bruker Daltonics MicroTOF-Q II. As colunas cromatográficas foram realizadas utilizando gel de sílica com granulometria 40-63 µm ou 63-200 µm. Agentes cromogênicos de detecção: vanilina fosfórica (2,5 g de vanilina em 50 mL de etanol e 12,5 mL de ácido orto-fosfórico 85%) e solução ácida de molibidato cério e amônio [cério molibdênio 1%, ácido molíbdico 1,5% diluídos em ácido sulfúrico concentrado 10% (v/v) e água destilada qsp.].

Isolamento de di-hidrocucurbitacina B das raízes de W. Ebracteta

As raízes dessecadas de W. ebracteata (3,7 kg) foram moídas em moinho de facas e em seguida submetidas a maceração exaustiva em diclorometano (10,0 L). Inicialmente, foi realizado um fracionamento cromatográfico com o extrato DCM (10 G) do tipo CLV (coluna líquida à vácuo) em funil com placa de vidro sinterizado, utilizando como fase estacionária gel de sílica para CCD G60. A fase móvel foi constituída com a mistura de solventes hexano-acetato de etila, em gradiente de polaridade crescente até acetato de etila 100%. Deste fracionamento inicial foram obtidas 9 frações, sendo que 3 dessas foram reunidas devido a sua semelhança cromatográfica em CCD e também por apresentarem di-hidrocucurbitacina B como constituinte majoritário. A etapa seguinte foi a realização de uma nova coluna cromatográfica das frações reunidas contendo di-hidrocucurbitacina B majoritariamente. A fase estacionária foi sílica gel G60 e a fase móvel foi a mistura de solventes hexano e acetato de etila na proporção 60:40 (v/v). O rendimento final de di-hidrocucurbitacina B foi de 20% em relação ao extrato DCM (m/m).

Di-hidrocucurbitacina B (1): Sólido branco; P.F.: 180-184 ºC; Rf 0,53 [Hex:AcOEt:50:50 (v/v)]. ESI-EM [M - H]-: calculado para C32H47O8: 559,3276; encontrado: 559,3300. RMN 1H (CDCl3, 500 MHz)25, δ: 5,79 (1H, ddd, J6-7α = 6 Hz; J6-7β = 2 Hz; J6-10 = 2 Hz, H-6), 4,41 (1H, dd, J 2-1β = 13,0 Hz; J - 2-1α = 6,0, H-2), 4,31 (1H, ddd, J16-15β = 9,0; J16,17 = 7,4 Hz; J16,15α = 1,0, H-16), 3,25 (1H, d, J12α -12β = 14,5 Hz, H-12α), 2,82 (1H, m, 23a), 2,73 (1H, m, H-10), 2,70 (1H, d, J12β -12α =14,5 Hz, H-12β), 2,54 (1H, m, H-23b), 2,49 (1H, d, J 17,16 = 7,4 Hz , H-17), 2,41 (1H, m, H-7β), 2,31 (1H, ddd, J1α -1β = 13,0 Hz; J1α - 2 = 6,0 Hz; J1α -10 = 3,6 Hz, H-1α), 2,03 (2H, m, H-24a, H-24b), 1,99 (1H, m, H-7α), 1,98 (1H, m, H-8), 1,96 (3H, s, -OCOCH3), 1,85 (1H, dd, J15β-16 = 9,0 Hz ; J15β-15α = 13,0 Hz; H-15β), 1,46 (3H, s, CH3-27), 1,44 (3H, s, CH3-26), 1,43 (3H, s, CH3-21), 1,40 (1H, m, H-15α), 1,37 (3H, s, CH3-30), 1,35 (3H, s, CH3-28), 1,29 (3H, s, CH3-29), 1,24 (1H, m, H-1β), 1,08 (3H, s, CH3-19), 0,98 (3H, s, CH3-18). RMN 13C (CDCl3, 125,8 MHz), δ: 213,9 (C-22), 213,1 (C-3), 212,1 (C-11), 140,6 (C-5), 120,5 (C-6), 81,3 (C-25), 78,9 (C-20), 71,7 (C-2), 71,1 (C-16), 57,8 (C-17), 50,7 (C-14), 50,3 (C-4), 49,0 (C-13), 48,7 (C-12), 48,4 (C-9), 45,5 (C-15), 42,3 (C-8), 36,1 (C-1), 38,4 (C-24), 33,8 (C-10), 30,7 (C-23), 29,4 (C-29), 26,2 (C-26), 25,8 (C-27), 24,5 (C-21), 23,9 (C-7), 21,3 (C-28), 20,1 (C-19), 19,8 (C-18), 18,8 (C-30), -OAc (170,4; 22,0).

Síntese dos derivados O-glicosilados

16-(1,2-ortoacetato-3,4,6-tri-O-acetil-α-D-glicopiranose)-di-hidrocucurbitacina B (2): Em um balão de 2 bocas contendo o composto brometo de 2,3,4,6-tetra-O-acetil-α-D-glicopiranosila (7a) (242,0 mg; 0,54 mmol), di-hidrocucurbitacina B (100,0 mg; 0,18 mmol), Ag2O (124,0 mg; 0,54 mmol) e peneira molecular 4Å (300,0 mg) foram adicionados 5 mL de 1,2-dicloroetano seco. Posteriormente o sistema foi submetido à atmosfera de N2 sob proteção de luz e mantido com agitação por 24 horas à temperatura ambiente, sendo acompanhado por CCD [hexano: acetato de etila 4:6 (v/v)]. Após 24 horas a mistura reacional foi diluída em diclorometano e filtrada em Celite® utilizando funil com placa de vidro sinterizado. O produto bruto da reação foi purificado por coluna cromatográfica em gel de sílica [hexano: acetato de etila 1:1 (v/v)] e o composto 2 foi isolado como um sólido branco com 17% de rendimento (27,0 mg, 0,030 mmol). Dados do composto: Rf 0,38 [AcOEt: Hex 1:1 (v/v)]. ESI-EM: calculado para C46H70O17N [M + NH4]+: 908,4638; encontrado 908,4632; calculado para C46H66NaO17 [M + Na]+: 913,4192; encontrado 913,4181. RMN 1H (CDCl3, 500 MHz) δ: 5,85 (1H, ddd, J6-7α = 6 Hz; J6-7β = 2 Hz; J6-10 = 2 Hz, H-6), 5,61 (1H, d, J1',2' = 5,0 Hz, H-1), 5,10 (1H, m, H-5'), 4,89 (1H, dd, J3',4' = 9,7 Hz; J4',5' = 2,8 Hz, H-4'), 4,40 (1H, m, H-2), 4,30 (1H, ddd, J16-15β = 9,0; J16,17 = 7,4 Hz; J16,15α = 1,0 H-16), 4,20 (2H, m, H-2', H-6a'), 4,18 (1H, m, H-6b'), 3,89 (1H, m, H-3'), 3,60 (1H, d, JOH,2 = 4,0 Hz), 3,20 (1H, d, J12α ,12β = 15,0 Hz, H-12α), 2,72 (1H, d, J12α ,12β =15,0 Hz, H-12β), 2,70 (1H, m, H-10), 2, 68 (1H, m, H-23a), 2,58 (1H, d, J16,17 = 7,0 Hz, H-17), 2,51 (1H, m, H-23b), 2,03 (2H, m, H-24a, H-24b), 2,13 (3H, s, COCH3), 2,10 (3H, s, COCH3), 2,09 (3H, s, COCH3), 1,98 (1H, m, H-8), 1,96 (3H, s, OCOCH3), 1,74 (1H, m, H-15β), 1,65 (1H, m, H-15α), 1,55 (3H, s, CH3'), 1,45 (3H, s, CH3-27), 1,44 (3H, s, CH3-26), 1,42 (3H, s, CH3-21), 1,34 (3H, s, CH3-28), 1,27 (3H, s, CH3-29), 1,26 (3H, s, CH3-30), 1,24 (1H, m, H-1β), 1,09 (3H, s, CH3-19), 0,98 (3H, s, CH3-18). RMN 13C (CDCl3,125,8 MHz), δ: 213,9 (C-22), 212,9 (C-3), 211,9 (C-11), 170,7 (C-OAc), 170,2 (C-OAc), 169,7 (C-OAc), 169,3 (C-OAc), 140,0 (C-5), 122 (C-7'), 120,8 (C-6), 96,7 (C-1'), 81,3 (C-25), 78,9 (C-20), 73,8 (C-16), 72,3 (C-2'), 71,7 (C-2), 70,6 (C-5'), 68,0 (C-4'), 67,0 (C-3'), 62,9 (C-6'), 56,3 (C-17), 50,1 (C-4), 49,0 (C-13), 48,7 (C-12), 48,3 (C-9), 48,1 (C-14),42, 3 (C-8), 41,1 (C-15), 35,9 (C-1), 35,0 (C-24), 33,8 (C-10), 30,1 (C-23), 29,4 (C-29), 26,2 (C-26), 25,8 (C-27), 24,4 (C-21), 23,6 (C-7), 22,4 (C-OAc), 21,3 (C-28), 21,3 (C-8'), 20,1 (C-19, C-OAc), 19,8 (C-18, C-OAc), 19,6 (C-OAc) 18,8 (C-30).

2-O-(2,3,4,6-tetra-O-acetil-β-D-galactopiranosil)di-hidrocucurbitacina B (3):em um balão foram reunidos os compostos di-hidrocucurbitacina B (100,0 mg; 0,178 mmol), 1-tricloroacetimidato de 2,3,4,6-tetra-O-acetil-α-D-galactopiranosila (9b) (105,0 mg; 0,214 mmol) e peneira molecular 4 Å. Em seguida, foram diluídos em diclorometano destilado (5,0 mL) e mantidos sob N2 a temperatura de -10 ºC para a adição do promotor triflato de trimetilsilila (TMSOTf) (14 µL; 77 µmol). O sistema foi agitado por 1 hora nas condições mencionadas anteriormente e, em seguida, a reação foi finalizada com a adição de Et3N concentrada. O produto bruto da reação foi purificado por coluna cromatográfica em gel de sílica [hexano: acetato de etila 1:1 (v:v)], sendo o composto 3 isolado como um sólido branco com rendimento de 17% (27,0 mg; 0,030 mmol). Dados do composto: Rf 0,31 [AcOEt: Hex 1:1 (v/v)]. ESI-EM: calculado para C46H65O17 [M - H]-: 889.4227; valor encontrado 889,4191. RMN 1H (CDCl3, 500 MHz), δ: 5,76 (1H, ddd, J6-7α = 6 Hz; J6-7β = 2 Hz; J6-10 = 2 Hz, H-6), 5,39 (1H, dd, J3',4' = 3,4 Hz, J4',5' = 1,0 Hz, H-4'), 5,20 (1H, dd, J1',2' = 7,9 Hz, J2',3' = 10,8 Hz, H-2'), 5,03 (1H, dd, J3',4' = 3,4 Hz; J3',2' = 10,8 Hz, H-3'), 4,63 (1H, d, J1',2' = 7,8 Hz, H-1'), 4,54 (1H, dd, J2,1β = 13,0 Hz, J2,1α =5,7 Hz, H-2), 4,31 (1H, ddd, J16-15β = 9,0; J16,17 = 7,4 Hz; J16,15α = 1,0, H-16), 4,25 (1H, dd, J6a',5' = 5,7 Hz, J6a',6b' = 11,2 Hz, H-6a'), 4,05 (1H, dd, J6b',5' = 7,8 Hz, J6a',6b' = 11,2 Hz, H-6b'), 3,81 (1H, m, H-5'), 3,28 (1H, d, J12α ,12β = 15,0 Hz, H-12α), 2,82 (1H, m, H-23a), 2,76 (1H, m, H-10), 2,70 (1H, d, J12α ,12β = 15,0 Hz, H-12β), 2,54 (1H, d, J16,17 = 7,0 Hz, H-17), 2,52 (1H, m, H-23b), 2,40 (1H, m, H-7β), 2,20 (1H, m, H-1β), 2,18 (3H, s, OCOCH3), 2,16 (3H, s, OCOCH3), 2,06 (3H, s, OCOCH3), 2,05 (2H, m, H-24a, H-24b), 2,00 (3H, s, OCOCH3), 1,97 (1H, m, H-8), 1,96 (1H, s, COOCH3), 1,95 (1H, m, H-7α), 1,84 (1H, m, H-15β), 1,46 (3H, s, CH3-27), 1,44 (3H, s, CH3-26), 1,42 (3H, s, CH3-21), 1,42 (1H, m, H-1α), 1,40 (1H, m, H-15α), 1,36 (3H, s, CH3-30), 1,27 (3H, s, CH3-28), 1,25 (3H, s, CH3-29), 1,07 (3H, s, CH3-19), 0,98 (3H, s, CH3-18). RMN 13C (CDCl3,125,8 MHz), δ: 213,9 (C-22), 212,0 (C-11), 208,7 (C-3), 170,5 (C-OAc), 170,4 (C-OAc), 170,3 (C-OAc), 170,2 (C-OAc), 170,0 (C-OAc), 140,0 (C-5), 120,3 (C-6), 100,1 (C-1'), 81,3 (C-25), 78,9 (C-20), 76,0 (C-2), 71,1 (C-16), 70,8 (C-3'), 70,5 (C-5'), 68,8 (C-2'), 66,8 (C-4'), 60,9 (C-6'), 57,8 (C-17), 50,7 (C-14), 50,3 (C-4), 48,9 (C-12), 48,5 (C-13), 48,4 (C-9), 45,5 (C-15), 42,3 (C-8), 34,9 (C-24), 34,4 (C-10), 33,8 (C-1), 30,7 (C-23), 28,8 (C-29), 26,2 (C-26), 25,8 (C-27), 24,5 (C-21), 23,9 (C-7), 22,4 (C-OAc), 21,5 (C-28), 21,1 (C-OAc), 20,8 (C-OAc), 20,6 (C-OAc, C-OAc), 20,0 (C-19), 19,8 (C-18), 18,7 (C-30).

2-O-(β-D-galactopiranosil)di-hidrocucurbitacina B (4):o composto 2-O-β-D-(2,3,4,6-tetra-O-acetil-galactopiranosídeo) de di-hidrocucurbitacina B (3) (33,0 mg, 0,037 mmol) foi dissolvido em MeOH (1,0 mL) seguido do tratamento com solução de NaOMe 1 mol L-1 até pH 9-10. O sistema reacional foi mantido sob agitação à temperatura ambiente por 1 hora, e em seguida resfriado a 0 ºC para a adição de resina Dowex 50WX8-200 para a neutralização (pH 7,0) da mistura reacional. O produto bruto da reação foi filtrado, concentrado e purificado por coluna cromatográfica com sistema de solventes [DCM: MeOH 5:0,5 (v:v)]. O composto 2-O-β-D-galactopiranosídeo de di-hidrocucurbitacina B 4 foi isolado com 48% de rendimento (13 mg; 0,018 mmol). Dados do composto: Rf 0,17 [DCM: MeOH: 5:0,5 (v/v)]. ESI-EM: calculado para C38H62O13N [M + NH4]+: 740.4216; valor encontrado 740,4204; calculado para C38H58NaO13 [M + Na]+: 745.3770; valor encontrado 745.3768. ESI-EM/EM m/z 740 (15 eV): 501.3213 [M + NH4- Gal-AcOH]+, 100% (calculado para C30H45O6: 501.3211), 663.3739 [M + NH4-AcOH]+, 26% (calculado para C36H55O11: 663.3739). RMN 1H (CDCl3,500 MHz), δ (ppm): 5,77 (1H, H-6), 4,57 (1H, H-2), 4,31 (1H, H-16), 4,28 (1H, H-1'), 4,08 (1H, H-6a'), 3,99 (1H, H-4'), 3,84 (1H, H-6b'), 3,75 (1H, H-2'), 3,63 (1H, H-5'), 3,55 (1H-H3'), 3,28 (1H,H-12a), 2,81 (1H, H-23a), 2,76 (1H,H-10),2,70 (1H, H-12b), 2.54 (1H, H-17), 2,52 (1H, H-23b), 2,44 (1H, H-1a) 2,41 (1H, H-7a), 2,04 (2H, H-24), 1,97 (1H, H-7b), 1,96 (3H, COOCH3), 1,84 (1H, H-15a), 1,81 (1H, H-1a), 1,47 (1H, H-1b) 1,46 (3H, CH3 - 27 ) 1,44 (3H, CH3-26), 1,42 (3H, CH3-21), 1,40 (1H, H-15b), 1,36 (3H, CH3-30), 1,28 (3H, CH3-28 ), 1,26 (3H, CH3-29), 1,06 (3H, CH3-19), 0,96 (3H, CH3-18). RMN 13C (CDCl3, valores de 13C atribuidos com base no mapa de contornos HSQC), δ: 120,3 (C-6), 104,0 (C-1'), 79,2 (C-2), 75,2 (C-3'), 73,7 (C-5'), 71,4 (C-2'), 71,3 (C-16), 68,4 (C-4'), 62,5 (C-6'), 57,9 (C-17), 48,9 (C-12), 45,2 (C-15), 42,3 (C-8), 34,8 (C-1), 30,7 (C-23) 28,7 (CH3-29), 26,1 (CH3-26), 25,8 (CH3-27), 24,3 (CH3-21), 21,4 (C-OAc), 19,9 (CH3-19), 19,7, (CH3-18), 18,5 (CH3-30).

 

AGRADECIMENTOS

Os autores agradecem ao Conselho Nacional de Desenvolvimento Científico e Tecnológico (CNPq), Fundação de Amparo à Pesquisa e Inovação do Estado de Santa Catarina (FAPESC), Consejo Nacional de Investigaciones Científicas y Técnicas (UMYFOR-CONICET, Argentina) e UBA (Universidad de Buenos Aires, Argentina) pelo apoio financeiro.

 

REFERÊNCIAS

1. Harvey, A. L.; Drug Discovery Today 2008, 13, 894; Beghyn, T.; Deprez-Poulin, R.; Willand, N.; Folleas, B.; Deprez, B.; Chem. Biol. Drug Des. 2008, 72, 3; Chin, Y. W.; Balunas, M. J.; Chai, H. B.; Kinghorn, A. D.; AAPS J. 2006, 8, E239; Koehn, F. E.; Carter, G. T.; Nat. Rev. Drug Discovery 2005, 4, 206; Viegas Junior, C.; Bolzani, A. S.; Furlam, M.; Fraga, C. A. M.; Barreiro, E. J.; Quim. Nova 2004, 27, 655. DOI: http://dx.doi.org/10.1016/j.drudis.2008.07.004 PMID: 18691670

2. Barreiro, E. J.; Bolzani, V. S.; Quim. Nova 2009, 32, 679. DOI: http://dx.doi.org/10.1590/S0100-40422009000300012

3. Ganesan, A.; Curr. Opin. Chem. Biol. 2008, 12, 306. DOI: http://dx.doi.org/10.1016/j.cbpa.2008.03.016 PMID: 18423384

4. Newman, D. J.; Cragg, G. M.; J. Nat. Prod. 2012,75, 311. DOI: http://dx.doi.org/10.1021/np200906s PMID: 22316239

5. Farias, M. R.; Schenkel, E. P.; Vianna, R. M. J.; Santos, R. I.; Rev. Bras. Farmacogn. 1986, 1, 200. DOI: http://dx.doi.org/10.1590/S0102-695X1986000200011

6. Moreira, N. J.; Diccionário de plantas medicinales brasileiras. 1862,1, 144

7. Valente, L. M. M.; Quim. Nova 2004, 27, 944; Cheng, H.; Cao, X.; Xian, M.; Fang, L.; Cai, T. B.; Ji, J. J.; Tunac, J. B.; Sun, D.; Wang, P. G.; J. Med. Chem. 2005, 48, 645; Chen, J. C.; Chiu, M. H.; Nie, R. L.; Cordell, G. A.; Qiu, S. X.; J. Nat. Prod. Rep. 2005,22, 386; Miro, M.; Phytoter. Res. 1995, 9, 159. DOI: http://dx.doi.org/10.1590/S0100-40422004000600019

8. Lavie, D.; Gloter, E.; Fortschritte der Chemie Organischer Naturstoffe 1971,29, 307

9. Schenkel, E. P.; Farias, M. R.; Mayer, R.; Breitmaier, E.; Rücker, G.; Phytochemistry 1992, 31, 1329. DOI: http://dx.doi.org/10.1016/0031-9422(92)80284-L

10. Lang, K. L.; Guimaraes, T. R.; Machado, V. R.; Zimmermann, L. A.; Silva, I. T.; Teixeira, M, R.; Durán, F. J.; Palermo, J. A.; Simoes, C. M. O.; Caro, M. S. B.; Schenkel, E. P.; Planta Med. 2011,59, 272.

11. Krepsky, P. B.; Cervelin, M. O.; Porath, D.; Peters, R. R.; Ribeiro-do-Valle, R. M.; Farias, M. R.; Pharmacognosy 2009,19, 715.

12. Peters, R. R.; Farias, M. R.; Ribeiro-do-Valle, R. M.; Planta Med. 1997,63, 525; Siqueira Jr., J. M.; Peters, R. R.; Gazola, A. C.; Krepsky, P. B.; Farias, M. R.; Rae, G. A.; Brum-Fernandes, A. J.; Ribeiro-do-Valle, R. M.; Life Sci. 2007,80, 1382; Siqueira Jr., J. M.; Gazola, A. C.; Farias, M. R.; Volkov, L.; Rivard, N.; Brum-Fernandes, A. J.; Ribeiro-do-Valle, R.M.; Cancer Chemother. Pharmacol. 2009,64, 529. DOI: http://dx.doi.org/10.1055/s-2006-957755 PMID: 9434604

13. Lee, D. H.; Iwanski, G. B.; Thoennissen, N. H.; Sci. World J. 2010, 10, 413; Chan, K. T.; Meng, F. Y.; Li, Q.; Ho, C. Y.; Lam, T. S.; To, Y.; Lee, W. H.; Li, M.; Chu, K. H.; Toh, M.; Cancer Lett. 2010, 294, 118; Thoennissen, N. H.; Iwanski, G. B.; Doan, N. B.; Okamoto, R.; Lin, P.; Abbassi, S.; Song, J. H.; Yin, D.; Toh, M.; Xie, W. D.; Said, J. W.; Koeffler, H. P.; Cancer Res. 2009, 69, 5876; Escandell, J. M.; Kaler, P.; Recio, M. C.; Sasazuki, T.; Shirasawa, S.; Augenlicht, L.; Ríos, J. L.; Klampfer, L.; Biochem. Pharmacol. 2008, 76, 198; Wakimoto, N.; Yin, D.; O'Kelly, J.; Haritunians, T.; Karlan, B.; Said, J.; Xing, H. Koeffler, H. P.; Cancer Sci. 2008, 99, 1793; Sun, J.; Blaskovich, M. A.; Jove, R.; Livingston, S. K.; Coppola, D.; Sebti, S. M.; Oncogene 2008, 27, 1344; Yang, L.; Wu, S.; Zhang, Q.; Liu, F.; Wu, P.; Cancer Lett. 2007, 256, 267; Shi, X.; Franko, B.; Frantz, C.; Amin, H. M.; Lai, R.; Br. J. Haematol. 2006, 135, 26. DOI: http://dx.doi.org/10.1100/tsw.2010.44

14. Tannin-Spitz, T.; Grossman, S.; Dovrat, S.; Gottlieb, H. E.; Bergman, M.; Biochem. Pharmacol. 2007, 73, 56; Bartalis, J.; Halaweish, F. T.; J. Chromatogr. B 2005, 818, 159. DOI: http://dx.doi.org/10.1016/j.bcp.2006.09.012 PMID: 17049494

15. Lang, K. L.; Silva, I . T.; Zimmermann, L. A.; Machado, V. R.; Teixeira, M. R.; Lapuh, M. I.; Galettu, M. A.; Palermo, J. A.; Cabrera, G. M.; Bernardes, L. S. C.; Simoes, C. M. O.; Schenkel, E.P.; Caro, M. S. B.; Durán, F. J.; Bioorg. Med. Chem. 2012, 20, 3016. DOI: http://dx.doi.org/10.1016/j.bmc.2012.03.001 PMID: 22472043

16. Jung, M. E.; Lui, M. R.; J. Org. Chem. 2010,75, 7146. DOI: http://dx.doi.org/10.1021/jo101242e PMID: 20873743

17. Ryu, S. Y.; Choi, S. U.; Lee, S. H.; Lee, C. O.; No, Z.; Ahn, J. W.; Arch. Pharm. Res. 1995, 18, 60. DOI: http://dx.doi.org/10.1007/BF02976506

18. Köenigs, W.; Knorr, E.; Chem. Ber. 1901,34.

19. Schmidt, R. R.; Kinzy, W.; Adv. Carbohydr. Chem. Biochem. 1992, 50, 21. PMID: 7942254

20. Kartha, K. P.; Field, R. A.; Tetrahedron. 1997,53, 11753. DOI: http://dx.doi.org/10.1016/S0040-4020(97)00742-4

21. Seebacher, W.; Haslinger, E.; Weis, R.; Monatsh. Chem. 2001,132, 839. DOI: http://dx.doi.org/10.1007/s007060170072

22. Milijkovic, M.; Carbohydrates Synthesis, Mechanisms and Stereoeletronic Effects, Springer: New York, 2010. 539 p.

23. Lang, K. L.; Silva, I . T.; Machado, V. R.; Zimmermann, L. A.; Caro, M. S. B.; Simoes, C. M. O.; Schenkel, E. P.; Bernardes, L. S. C.; Melo, E. B; J. Mol. Graphics Modell. 2014, 48, 70. DOI: http://dx.doi.org/10.1016/j.jmgm.2013.12.004

24. Perrin, D. D.; Armarego, W. L.; Perrin, D. R.; Purification of Laboratory Chemicals, 4ª ed., Elsevier: EUA, 1996.

25. Farias, M. R.; Tese de doutorado, Universitât Bonn, Alemanha, 1991.

On-line version ISSN 1678-7064 Printed version ISSN 0100-4042
Qu�mica Nova
Publica��es da Sociedade Brasileira de Qu�mica
Caixa Postal: 26037 05513-970 S�o Paulo - SP
Tel/Fax: +55.11.3032.2299/+55.11.3814.3602
Free access

GN1