JBCS



14:55, sáb out 25

Acesso Aberto/TP



Revisão


Degradação microbiológica e enzimática de polímeros: uma revisão
Microbial and enzymatic degradation of polymers: a review

Carolina Zanon CostaI,II; Marcos de C. C. de AlbuquerqueI,II; Maria Cristina BrumII; Aline Machado de CastroII,*

IUniversidade Federal do Rio de Janeiro, Escola de Química, 21945-970 Rio de Janeiro - RJ, Brasil
IIPETROBRAS, Centro de Pesquisas e Desenvolvimento da Petrobras, 21941-909 Rio de Janeiro - RJ, Brasil

 

Recebido em 25/07/2014
Aceito em 17/09/2014
Publicado na web em 24/10/2014

Endereço para correspondência

*e-mail: alinebio@petrobras.com.br

RESUMO

Polymer recycling has been one of the most important trend in the petrochemical area. Among different technologies, biotechnological (enzymatic and/or microbial) degradation of polymers for the recovery of monomers and oligomers is environmentally-friendly and meet some green chemistry principles. In this work, conditions for the biotechnological degradation of some industrially-relevant polymers (e.g. poly(ethylene terephthalate) and polyethylene) were revised, and the main biocatalysts were identified. In most cases, biodegradation mechanisms are still unclear, thus being necessary more studies to unravel these promising bioprocesses. Polymer biodegradation studies also present considerable importance for other fields, including biomedical and agricultural.

Palavras-chave: enzyme; biological degradation; lipase.

INTRODUÇÃO

Com o aumento da conscientização mundial em relação à necessidade de preservação dos recursos naturais e principalmente com a previsão de escassez dos recursos fósseis dentro de algumas décadas, houve a intensificação de pesquisas para a obtenção de processos industriais mais ambientalmente amigáveis. Em decorrência disso, áreas que utilizam processos menos intensivos em energia e fontes renováveis, como a biotecnologia, têm se destacado, com a implementação de novas vertentes em substituição aos processos químicos.

Uma das áreas da biotecnologia que vem se destacando nos últimos anos é a biocatálise, na qual enzimas são utilizadas como uma alternativa verde à síntese orgânica tradicional, apresentando algumas vantagens frente aos processos químicos tradicionais, como por exemplo atuação sob condições de operação mais brandas, aplicabilidade sobre moléculas térmica e quimicamente instáveis a altas temperaturas, elevado controle estéreo-, quimio- e regioseletivo e reduzida geração de subprodutos.1 Mesmo assim, há pontos que ainda necessitam ser aprimorados na biocatálise, como a perda de atividade catalítica ao longo do tempo, menores taxas de conversão com relação a outros processos e o elevado tempo de reação.

As enzimas podem ser aplicadas em uma ampla gama de processos industriais, sejam isoladas ou sendo produzidas in situ por microrganismos. Um uso das enzimas que vem recebendo destaque nos últimos anos é em tecnologia petroquímica,2 área na qual a degradação de polímeros se encontra inserida. Estes biocatalisadores podem, por exemplo, atuar de forma isolada ou associadamente a consórcios microbianos, para catalisar a hidrólise de ligações éster em polímeros de grande importância industrial, como poliuretanos e poliésteres. As enzimas podem atuar também como catalisadores da oxidação de grupos funcionais, tornando polímeros sintéticos mais hidrofílicos, e dessa forma mais sujeitos à degradação microbiana. Sua atuação se estende ainda à alteração de características como cristalinidade, orientação e morfologia dos polímeros pelo mesmo mecanismo de reações de hidrólise ou oxidação, que podem ocorrer na cadeia central ou na cadeia lateral dos polímeros. Estes parâmetros também influenciam a degradação destas espécies, porém alguns polímeros são menos suscetíveis à degradação catalisada enzimaticamente que outros.3

O estudo da degradação de polímeros apresenta relevância para diversas áreas, dentre as quais se destacam:

- ambiental: proposta de alternativas para a mais rápida degradação na natureza e/ou reciclagem de materiais plásticos (sacolas, garrafas, embalagens);4 aplicação de polímeros biodegradáveis na remediação de áreas impactadas por derrames de petróleo;5

- biomédica: no entendimento da liberação controlada de medicamentos encapsulados6,7 e de polímeros biocompatíveis utilizados em implantes cirúrgicos e curativos;5

- agrícola e veterinária: proposição de (bio)polímeros para encapsulamento de fertilizantes8 e de medicamentos veterinários;5 para liberação controlada;

- industrial: na recuperação dos oligômeros e monômeros correspondentes, visando seu novo uso na síntese de polímeros.9 O entendimento das rotas de biodegradação de polímeros mais significativos industrialmente também fornece informações sobre a estabilidade e integridade de materiais os contém em sua composição.10

Diferentemente dos processos de degradação biotecnológica (biodegradação, que pode ser enzimática e/ou biológica) de macromoléculas de origem renovável, como a celulose e o amido, cujos mecanismos são bem conhecidos,11,12 há ainda muito a se elucidar sobre a degradação biotecnológica de polímeros de origem fóssil, como o polietileno (PE) e o poli(tereftalato de etileno)(PET). Até mesmo a biodegradação de polímeros de origem renovável, como os da classe dos polihidroxialcanoatos (PHAs), ainda necessita de estudos mais aprofundados.

Dessa forma, a proposta deste trabalho é discutir os processos de degradação biológica e enzimática de polímeros, à luz de exemplos recentes da literatura, com destaque para polímeros de grande importância industrial, como o PET, o PE e poliuretanos.

 

DEGRADAÇÃO BIOTECNOLÓGICA DE POLÍMEROS

Na base de dados Scopus (www.scopus.com) já existem cadastrados mais de uma centena de artigos reportando processos de degradação enzimática e biológica de polímeros, tendo sido a maioria dos artigos publicada na última década. Esta constatação demonstra que esta aplicação da biocatálise é bastante contemporânea e de relevância científica.

A maioria dos artigos que descreve a degradação biológica ou enzimática de polímeros adota a estratégia de síntese química do polímero, (seja ele um homopolímero ou copolímero), em que pese à síntese catalisada enzimaticamente estar sendo apontada como uma rota promissora para a obtenção de macromoléculas.2 As rotas de degradação biológica e enzimática serão aqui abordadas de forma separada, para discussão mais detalhada das particularidades de cada uma.

Degradação biológica de polímeros

Nos processos de degradação biológica (também conhecida como degradação biótica),5 o polímero e o microrganismo coexistem em um mesmo sistema reacional. Uma vez identificado pelo mecanismo de sinalização do microrganismo que aquela macromolécula encontra-se no entorno, e que da forma como está ela não pode ser interiorizada para a célula, enzimas específicas para sua degradação são produzidas e excretadas para o meio, com o intuito de disponibilizar os monômeros, que por sua vez podem atuar como fonte de carbono para o crescimento do microrganismo. Os principais produtos da degradação biológica de polímeros são, na maioria das vezes, biomassa microbiana, água e dióxido de carbono.13,7

O processo de degradação biológica de polímeros é lento, apresentando uma fase lag de cerca de 5 dias14 e podendo levar até 120 dias para se observar uma redução significativa na massa molar numérica média (Mn) da macromolécula.15 Por outro lado, comparativamente às rotas químicas, a degradação biotecnológica de polímeros ocorre, na maioria dos casos, sob condições mais brandas de temperatura e pH.

O acompanhamento da degradação de polímeros catalisada por microrganismos pode ser realizado por diferentes técnicas, seja na formação de produtos,16 alteração das propriedades (por exemplo, termodinâmicas, reológicas e mecânicas) do polímero remanescente14,15,17,18 ou verificação da erosão do filme polimérico14,15 e da extensão de crescimento dos microrganismos sobre ele.19 Raramente a literatura mensura a degradação biológica de polímeros por meio do rendimento das reações (quantificação dos produtos formados ou dos substratos remanescentes), por se tratar de um acompanhamento difícil. Quando isso ocorre pode apresentar rendimento inferior a 100% na forma dos monômeros, visto que parte do carbono (e mesmo outros elementos) do polímero será incorporada à biomassa microbiana. A biodegradação depende de fatores externos como a presença de oxigênio, o que ditará condições de aerobiose ou anaerobiose, com diferentes vias metabólicas e agentes oxidantes e redutores.

A Tabela 1 apresenta resultados reportados pela literatura sobre processos de degradação biológica de polímeros, com destaque para os poliésteres. Recentemente, Shah et al.20 reportaram o uso de diferentes linhagens microbianas em processos de biodegradação de co-poliésteres aromáticos a alifáticos, à base de succinatos, adipatos, lactatos, tereftalatos e isoftalatos. Os autores apresentaram um método qualitativo para a avaliação inicial do potencial dos microrganismos na degradação das macromoléculas, baseado na observação da formação de um halo claro ao redor das colônias, crescidas sobre um meio emulsionado turvo.

 

 

Conato e Sumera19 sintetizaram quimicamente poliésteres e poliamidas a base de ácidos graxos e seus derivados aminados, avaliando as características de degradação biológica dos polímeros obtidos (vide Tabela 1) comparativamente a polímeros de referência, como o PET e o polipropileno (PP). Os autores empregaram um ensaio de degradação baseado em um método padrão (ASTM-G-21-96), em que os filmes poliméricos são colocados sobre uma placa de Petri com o microrganismo incubado, e observaram um percentual de cobertura dos filmes formados superior no caso dos polímeros sintetizados por eles, contatando assim que a funcionalização agrega maior caráter de biodegradação às macromoléculas avaliadas. Sung e Song17 avaliaram a biodegradação de poliésteres baseados em propanodióis e ácido succínico por meio da determinação de propriedades estruturais (massa molar numérica média - Mn, determinada por cromatografia de permeação em gel; e cristalinidade, determinada por calorimetria diferencial de varredura).

Wu15 adicionou diferentes teores de fibra de sisal para a formação de compósitos com poli(butileno adipato-co-tereftalato), verificando a biodegradação dos materiais obtidos, catalisada pelo fungo filamentoso Rhizopus oryzae. Embora o autor tenha observado que o grau de biodegradação aumentou com o aumento do teor de fibra de sisal constituinte do material compósito, constatou que houve biodegradação mesmo no material composto apenas pelo poliéster, quando a massa do polímero remanescente chegou a 18% da massa inicial do experimento. Em outro estudo, Li et al.16 avaliaram a degradação de poli(succinato de butileno) catalisada por linhagens selvagem e mutadas do fungo filamentoso Penicillium oxalicum, acompanhando a modificação da estrutura do polímero por meio de análise de imagens obtidas por microscopia eletrônica de varredura (MEV). Os autores puderam concluir que a degradação se iniciou pelas regiões amorfas do polímero, seguida das regiões cristalinas centrais e, finalmente, ocorreu nas regiões cristalinas periféricas.

Degradação enzimática de polímeros

Embora a degradação biológica de polímeros seja, de fato, catalisada pela ação de enzimas excretadas pelos microrganismos, nesta seção serão discutidos os processos em que enzimas extracelulares, já isoladas das células, são empregadas (biocatálise in vitro). Em muitos casos, reconhece-se que há uma enzima-chave na degradação dos polímeros, porém as identidades e as propriedades destas enzimas em muitos casos ainda não são bem conhecidas, como destacaram Li et al.,16 durante o processo de degradação biológica de poli(ε-caprolactona) (PCL), em que inferiu-se ser devido à atividade de uma enzima denominada como ‘enzima degradadora de PCL'.

A degradação enzimática de poliésteres é catalisada por enzimas hidrolíticas, principalmente esterases (ex. EC 3.1.1.1), lipases (EC 3.1.1.3, EC 3.1.1.23) e proteases (ex. EC 3.4.21.53),16 glicosidases (EC 3.2.1.50) e fosfatases (EC 3.1.3.16),7,23 porém no caso de alguns poliésteres são necessárias enzimas com atividades específicas sobre as estruturas dos polímeros. A degradação de PBS e PCL é reportada pela ação de lipases, cutinases (EC 3.1.1.3, EC 3.1.1.74) e esterases. Na de poli(ácido L-lático) (PLA), tanto proteases quanto lipases e cutinases foram apontadas como os agentes da catálise.20,24 Em menor frequência, outras enzimas hidrolíticas, como a proteinase K (EC 3.4.21.62, 3.4.21.64), também são reportadas como agentes de degradação de polímeros.25,26 A degradação enzimática de poliésteres também pode ocorrer associadamente a etapas de oxidação química.27

A Tabela 2 apresenta dados de literatura sobre degradação enzimática de polímeros. Como muitos dos polímeros biodegradáveis são poliésteres,20 novamente aqui dá-se foco para essa classe de macromoléculas, que são, em sua maioria, degradadas pela ação de enzimas esterolíticas (ester hidrolases, da subclasse EC 3.1), citadas em muitos artigos como lipases. Em que pese estas serem definidas como enzimas que catalisam a hidrólise de ligações éster em triacilgliceróis (EC 3.1.1.3) e acilgliceróis (EC 3.1.1.23),23 sabe-se que lipases são enzimas de grande versatilidade catalítica.1

 

 

A degradação enzimática de PLA e seus compósitos contendo L-lactídeo foi estudada por Dong et al..26 Os autores avaliaram o processo por meio de medidas de diversas propriedades dos polímeros antes e depois das degradações. Dentre as propriedades medidas, foram reportadas a temperatura de transição vítrea (Tg), a temperatura de fusão (Tm), a entalpia de fusão (ΔHm) a massa molar numérica média (Mn), o Índice de Polidispersão (PD), a perda de massa e a capacidade de absorção de água.

Sabe-se que o processo de hidrólise é o mais importante para iniciar a biodegradação de polímeros sintéticos (em especial os poliésteres) e que geralmente ocorre, como informado, pela atuação de enzimas da classe das hidrolases (EC 3). A degradação completa de uma longa cadeia polimérica se dá em etapas, com a formação de oligômeros nas etapas iniciais, que podem, com um tempo consideravelmente mais longo de processo, ser hidrolisados às unidades monoméricas do polímero,20 que no caso dos poliésteres são, em sua maioria, ácidos carboxílicos, álcoois e hidroxiácidos.2

As enzimas hidrolíticas são enzimas que catalisam a clivagem de ligações covalentes do substrato, promovida pela água. Como exemplos de enzimas hidrolíticas que atuam especialmente nas regiões mais internas das cadeias poliméricas têm-se as endopeptidases (ex. EC 3.4.21.53 e EC 3.4.24.15),23 enquanto exoenzimas catalisam reações principalmente nas extremidades do substrato. Cabe comentar que muitas esterases são chamadas de depolimerases, quando atuam sobre polímeros específicos, como é o caso da PBSA depolimerase (onde PBSA é poli(succinato-co-adipato de etileno)) e da PCL depolimerase (onde PCL é poli(e-caprolactona)).39

Assim como apresentado sobre a degradação biológica, métodos de imagem também são empregados para se avaliar a degradação enzimática de polímeros. Ganesh et al.40 investigaram a degradação de PCL catalisada pela enzima comercial CALB (lipase B de Candida antarctica, comercializada pela empresa Novozymes), empregando, dentre outras técnicas, a Microscopia de Força Atômica. Os autores observaram a erosão na superfície, com a formação de orifícios de diâmetro de cerca de 10 µm, verificando ainda a existência de camadas do polímero (na forma de escamas) com diferentes graus de degradação. O uso de fotografias de câmeras digitais para demonstrar a atuação de enzimas na degradação de polímeros (por exemplo, pela turbidez de soluções em frascos ou pela alteração da superfície de películas poliméricas) também é bastante reportado.20,41

Fungos filamentosos, leveduras e bactérias são muito reportados tanto para a degradação biológica quanto como fonte de enzimas para a degradação enzimática de polímeros. Baker et al.,42 reportam o uso de cutinases de Alternaria brassicicola, Aspergillus fumigatus, Aspergillus oryzae, Humicola insolens e Fusarium solani para degradar poliésteres, a 40 ºC. Kemme et al.,43 diferentemente, utilizaram uma esterease de Mucor miehei para degradar poli(ácido lático-co-glicólico) em pH 7,4 e a 37 ºC.

Rizarelli et al.44 investigaram a degradação enzimática de diferentes co-poliésteres alifáticos, que podem ser obtidos a partir de monômeros de origem renovável, comparando-a com uma metodologia de degradação biológica, na presença de solo. Os autores observaram que o poli(adipato de butileno) foi mais degradado quando a lipase de Mucor miehei foi empregada (degradação normalizada de 2 mg cm-2 de filme polimérico), comparativamente à degradação em solo (0,8 mg cm-2). Eles avaliaram ainda o efeito da incorporação de succinato de butileno na composição do polímero (obtendo assim o poli(succinato de butileno-co-adipato de butileno)), verificando que a adição de 50% em massa desse novo éster aumentou a degradação enzimática normalizada para 4,3 mg cm-2, enquanto que a biológica subiu para apenas 1,4 mg cm-2.

Em alguns casos não é possível ocorrer a hidrólise da cadeia polimérica via reações convencionais catalisadas por hidrolases. Nesses casos, enzimas da classe das oxidorredutases (EC 1), como as da subclasse das monoxigenases (ex. EC 1.14.13.7 e EC 1.14.14.1) ou dioxigenases (ex. EC 1.13.11.9), podem ser capazes de degradar as cadeias poliméricas por meio da incorporação de um ou dois átomos de oxigênio, formando grupos álcool ou peroxil, que, por sua vez, são mais facilmente fragmentados. Já as peroxidases (ex. EC 1.11.1.7, EC 1.12.1.1) catalisam reações entre moléculas peroxil (por exemplo H2O2 e peróxido orgânico) e um grupo aceptor de elétrons como fenol, fenil, amino, carboxil, tiol ou insaturações alifáticas.45 Um terceiro grupo de oxidorredutases, chamadas de oxidases (ex. EC 1.14.14.1), são metaloproteínas, geralmente ocorrendo associadas ao átomo de íon cobre. Elas são produzidas pela maioria dos organismos ligninolíticos. Dois tipos de oxigenases são bem estudadas: um tipo catalisa reações de hidroxilação e o outro está envolvido em reações de oxidação.46 As enzimas ligninolíticas mais importantes são: lignina peroxidase (EC 1.11.1.14), manganês peroxidase (EC 1.11.1.13, EC 1.11.1.16) e lacase (EC 1.10.3.2). Elas podem atuar de forma sinérgica ou isoladamente, e na presença de diferentes co-fatores como íons ferro, manganês e cobre. Elas também podem interagir com moléculas de baixa massa molar que podem levar à formação de radicais livres e, consequentemente, levar à oxidação e à clivagem das ligações poliligno.23,47

Li et al.27 investigaram diferentes configurações de processo de degradação enzimática dos poliésteres poli(sebacato de glicerol)(PGS) e poli(sebacato de xilitol)(PXS), visando sua aplicação em engenharia de tecidos celulares. Quando empregaram apenas uma xantina oxidase (EC 1.1.3.22, EC 1.2.3.2, EC 1.17.3.2), as perdas de massa do PGS e do PXS, após 2 dias de reação, foram de, respectivamente, 10 e 27%. Por outro lado, a adição de uma esterase de fígado suíno ao sistema reacional elevou a perda de massa dos polímeros para, respectivamente, 15 e 35%. Interessante comentar que os autores também avaliaram nesse estudo a associação do processo enzimático com uma etapa de oxidação química (FeSO4/H2O2), porém, como a aplicação demanda biocompatibilidade do processo (especialmente do catalisador), foi observado que no caso em que os polímeros tratados com a etapa química foram empregados, houve um elevado percentual de morte celular (80-90%), enquanto que quando apenas etapas enzimáticas de degradação dos poliésteres foram adotadas, a morte celular foi inferior a 10%. O resultado desse estudo reforça a vantagem dos processos enzimáticos sobre os químicos, em termos de atuação sob condições mais amenas.

De uma forma geral, acredita-se que o processo de hidrólise é especialmente importante para a degradação de polímeros como o PET, o PLA e seus copolímeros, ácidos poli(α-glutâmicos) e polidimetilsiloxanas ou silicones.48 Os polímeros sintéticos mais suscetíveis à hidrólise enzimática são os poliuretanos e os poliésteres, e esta ocorre sobre ligações éster mediada por hidrolases. A seguir será analisada a degradação de alguns polímeros sintéticos de grande importância industrial, bem como de uma classe de biopolímero cuja importância industrial vem crescendo nos últimos anos, os polihidroxialcanoatos.

Degradação de polihidroxialcanoatos (PHAs)

Os polímeros a base de PHAs têm recebido interesse industrial devido à sua utilização como plásticos biodegradáveis e biocompatíveis, sendo o poli(4-hidroxibutirato)(PHB) e o poli(3-hidroxivalerato) (PHV) dois dos principais.49,50

Os PHAs, na condição de poliésteres, podem teoricamente ser degradados pela ação de enzimas esterolíticas, como esterases, lipases e proteases. No entanto, para alguns polímeros, como o PHB, a literatura chega a reportar o uso de enzimas específicas, como a PHB depolimerase (EC 3.1.1.75), seja ela de origem extracelular ou intracelular.16 As PHB depolimerases apresentam, geralmente, atuação ótima em pH entre 7,5 e 9,8, porém há exceções, como as PHB depolimerases de Pseudomonas picketti e de Penicillium funiculosum, que atuam melhor em pH de 5,5 a 7,0.48 Outras espécies, como Bacillus thuringiensis, Streptomyces sp., Alcaligenes faecalis e Pseudomonas fluorescens também são reportadas como produtoras de PHB depolimerases.20 A Figura 1 ilustra as reações de degradação de PHAs. A degradação completa do PHB e do PHV gera seus respectivos monômeros, os ácidos 4-hidroxibutírico e 3-hidroxivalérico. Vale comentar que, no caso da degradação de PHB na forma de grânulos ocorrentes intracelularmente, é reportado que sua degradação pode não ser completa, deixando oligômeros com até 5 unidades do hidroxiácido.20

 


Figura 1. Degradação enzimática de PHAs. (a) Reação geral; (b) Degradação de PHB; e (c) Degradação de PHV. Todas as reações se passam em meio aquoso

 

Sob outro ponto de vista, Boskhomdzhiev et al.51 avaliaram o uso de uma lipase comercial proveniente de pâncreas suíno, em um sistema tamponado em pH 7,7, para a degradação de filmes de PHB com massas molares entre 150 e 450 kDa. Embora não tenham observado perda na massa do filme polimérico, os autores constataram que houve a redução da massa molar média dos polímeros em até 70,4%, após 83 dias de incubação a 37 ºC.

A degradação de poli(3-hidroxibutirato-co-3-hidroxivalerato) (PHB-co-HV) foi investigada por Rizarelli et al.,44 empregando uma metodologia de cobertura do filme polimérico por uma mistura úmida de solo e perlita. Após 15 dias incubado a 30 ºC, o copolímero sofreu uma degradação biológica normalizada de 1,4 mg cm-2, mostrando-se mais biodegradável que outros copolímeros avaliados, como o poli(succinato de butileno) e o poli(sebacato de butileno). Embora não cadastrada na Base de Dados BRENDA,23 uma depolimerase com atividade específica para a hidrólise de PHB-co-HV foi descrita por Shah et al..20

Degradação de poli(tereftalato de etileno) (PET)

As fibras de PET representam o maior volume de fibras sintéticas comercializadas até hoje. Sua persistência no meio ambiente (não biodegradabilidade) se deve à sua alta cristalinidade e ao seu tipo de cadeia polimérica. A reciclagem mecânica do PET, que resulta na formação de grânulos, não permite a obtenção de polímeros de alta qualidade, assim como este processo dificilmente leva a um nível de degradação completa, de modo a liberar novamente os monômeros, e sim majoritariamente oligômeros.9 As hidrólises química/térmica, por outro lado, demandam elevado aporte energético e geram muitos subprodutos, além de apresentarem baixo rendimento. A hidrólise alcalina leva a uma perda de até 15% do material original. A hidrólise enzimática, por outro lado, apresenta potenciais vantagens sobre os processos supracitados. Ribitsch et al.52 e Donelli et al.53 demonstraram que a hidrólise enzimática de PET usando uma cutinase, conjugada à hidrólise alcalina, levou a modificações estruturais na superfície do PET que aumentaram sua hidrofilicidade.

A Figura 2 ilustra a reação geral de degradação enzimática completa de PET, em que são formados seus monômeros, ácido tereftálico e etilenoglicol.

 


Figura 2. Reação geral da degradação enzimática de PET. A reação se passa em meio aquoso

 

Dentre os ainda poucos artigos que reportam processos de degradação biológica de PET, a maioria utiliza enzimas do gênero bacteriano Thermobifida,54-57 porém há estudos que empregaram outros microrganismos, como o fungo filamentoso Fusarium solani58 e a bactéria termofílica Saccharomonospora viridis.59

A hidrólise de PET catalisada por lipases é lenta e difícil, devido à baixa mobilidade das cadeias poliméricas. Como forma de contornar esse fato, estudos vêm sendo realizados para desenvolver a síntese de copolímeros com blocos de PET e poliésteres biodegradáveis. Nagata et al.60 reportaram a hidrólise enzimática eficiente de PET com copolímeros de poli(etilenoglicol) (PEG). Já Muller et al.54 reportaram que o uso de uma cutinase de Thermobifida fusca expressa em Escherichia coli levou a uma redução de até 54,2% na massa de filmes de PET usados nos ensaios, enquanto enzimas comerciais, como a Novozym 435, não levaram a perdas significativas.

Acero et al.55 reportaram resultados de uma pesquisa que contribui substancialmente para a elucidação do processo de degradação de PET. Os autores empregaram ferramentas de engenharia de proteínas para a alteração estrutural de uma cutinase de Thermobifida cellulosilytica e observaram que as propriedades eletrostáticas e hidrofóbicas dos aminoácidos localizados no entorno do sítio ativo das enzimas apresentam um papel fundamental na hidrólise do polímero. Quando o aminoácido arginina (positivamente carregado), localizado próximo ao sítio ativo de uma das enzimas, foi substituído por aminoácidos com carga neutra em suas cadeias laterais, como a serina e a asparagina, a atividade específica e a taxa de degradação de substratos solúveis, tidos como modelo das reações, foi aumentada em até 17 vezes. Agregando ainda mais melhorias ao processo, o emprego simultâneo de duas alterações no entorno do sítio ativo levou a um aumento na concentração de ácido tereftálico formado durante a degradação de PET, de 90 para 410 µM.

Novos polímeros similares ao PET, tal como o poli(tereftalato de trimetileno) (PTT), estão tendo ampla aplicação no mercado, devido às suas propriedades especiais. É necessário um aumento na hidrofilicidade das fibras de PTT e análogos, quando há um interesse em causar modificações em sua superfície, ou aumentar sua biodegradabilidade. Eberl et al.31 investigaram a hidrólise superficial de fibras de PTT e, novamente, as cutinases (de Thermobifida fusca) se mostraram enzimas mais eficientes que as lipases (de Thermomyces lanuginosus). Vale informar que, apesar da enzima ser eficiente para uma modificação homogênea da superfície da fibra, sem afetar assim suas propriedades mecânicas, a degradação alcalina ainda se mostrou mais eficiente que a enzimática, para as mesmas condições de processo.

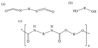
Degradação de poliuretanos (PU)

Os poliuretanos pertencem a uma classe de polímeros derivados da condensação entre di- ou poli(isocianatos) e di- ou polióis, podendo se apresentar sob uma ampla gama de formas, de rígidas a flexíveis, líquidas ou sólidas.62,63 A Figura 3 ilustra uma estrutura genérica dos monômeros e do polímero PU.

 


Figura 3. Representação dos monômeros (a e b) e de uma estrutura de PU (c). Elaborado com base em Mano e Mendes63

 

Apesar de serem normalmente insolúveis em água e possuírem elevada persistência no meio ambiente, poliuretanos podem sofrer hidrólise catalisada por certas enzimas.62,64 Como as principais enzimas associadas ao processo de hidrólise de PU (etapa inicial importante para que ocorra o processo de biodegradação do polímero) pode-se citar: esterases (catalisam a hidrólise das ligações éster); proteases (catalisam a hidrólise das ligações amina); e ureases (catalisam a hidrólise de grupos funcionais uréia). Dentre as enzimas específicas reportadas na literatura para a hidrólise de PU, são encontrados artigos citando o uso de: quimiotripsina (ex. EC 3.4.4.5), papaína (ex. EC 3.4.4.10), colesterol esterase (EC 3.1.1.3 e 3.1.1.13), lipase e PHA depolimerase.23,65 A degradação enzimática de PU foi reportada por Ozsagiroglu et al.33 como sendo composta por três etapas: dissolução química das ligações éster e amida; redução da massa molar e da viscosidade do polímero; e clivagem de toda a cadeia polimérica, resultando assim na formação dos monômeros.

Já o ataque microbiológico à superfície de PU é atribuído a algumas bactérias (por exemplo dos gêneros Pseudomonas, Comamonas e Acinetobacter), porém os fungos filamentosos (Aspergillus, Pestalotiopsis) são os principais microrganismos responsáveis pela modificação da superfície desses polímeros.62,65

Como exemplo desse processo, Akutsu et al.64 encontraram uma esterase proveniente da bactéria Comamonas acidovorans, que foi capaz de catalisar a degradação, de forma eficiente, do PU a 30 ºC durante 24 horas, levando à formação de dietileno glicol e ácido adípico. Em outro estudo, a bactéria Pseudomonas putida foi incubada a 25 ºC na presença do PU comercial Impranil DLNTM. Após 4 dias de processo, 92% do polímero havia sido degradado. Os autores ainda identificaram a atividade de uma esterase e de uma enzima com atividade poliuretanolítica no meio de cultivo da bactéria, contribuindo assim para o entendimento do processo de degradação desse polímero.65

A atividade de lipases comerciais (Novozym 735, Palatase 20000, Lipolase 100L e Novozyme 51032) para a degradação de lacas de poliuretano foi investigada por Pilch-Pitera.41 Após 42 dias de incubação a 37 ºC na presença de tampão fosfato, a máxima perda de massa do PU (3,8%) foi registrada na presença da enzima Lipolase 100L. Observa-se que, nesse caso, o processo é bastante demorado e ainda precisa de otimizações, de forma a aumentar o rendimento da degradação.

Degradação de polietileno (PE)

Poliolefinas, como o poletileno e o polipropileno, são polímeros capazes de formar filmes com alta durabilidade e resistência. Devido à sua baixa biodegradabilidade, eles podem persistir no ambiente durante décadas, contribuindo para a poluição dos solos. Para alterar essa característica, monômeros de polímeros naturais, como amido e celulose, podem ser introduzidos na estrutura, permitindo assim que sua degradação biológica ocorra de forma mais acelerada. Esses biopolímeros também podem ser graftizados em poliolefinas, porém em ambas as abordagens há uma redução das qualidades de resistência ou durabilidade do produto.66

Atualmente, se encontram reportadas na literatura diversas espécies de microrganismos com atividade de degradação de polímeros de polietileno, seja ele de baixa densidade (conhecido como PEBD) ou de alta densidade (PEAD), promovendo assim sua biodegradação. Este processo resulta na alteração de propriedades do polímero, como cristalinidade, hidrofobicidade/hidrofilicidade, topografia da superfície, distribuição de massa molar e propriedades mecânicas.10 Entre estes microrganismos estão as espécies: Acinetobacter baumannii, Aspergillus fumigatus, Aspergillus terreus, Bacillus brevies, Bacillus circulans, Bacillus sphaericus, Brevibacillus parabrevis, Fusarium solani, Pseudomonas citronellolis, Rhodococcus ruber e Staphyloccocus epidermis.45,67-69 A degradação biológica de PE pode transcorrer na presença de culturas puras de microrganismos ou de comunidades microbianas. A cinética de degradação biológica de PE é limitada por sua insolubilidade em água, ausência de grupos funcionais e alta massa molar.10

O mecanismo de degradação do polietileno ainda não foi completamente elucidado, mas sabe-se que as enzimas oxidorredutases apresentam um papel importante, sendo capazes de aumentar a hidrofilicidade das cadeias alifáticas por meio de reações radicalares, gerando assim grupamentos carboxila que podem então ser metabolizados pelas vias de β-oxidação e ciclo de Krebs.10 A Figura 4 ilustra esta proposta de biodegradação do PE. Fatores abióticos, como luz UV e temperatura, também podem mediar a oxidação inicial das cadeias de polietileno, atuando de forma sinérgica com os mecanismos bióticos de degradação.10

 


Figura 4. Degradação enzimática de PE. Mecanismo hipotético elaborado, com adaptações, a partir de Restrepo-Florez et al.,10 TCA: Ciclo dos Ácidos Tricarboxílicos

 

Atuando nessa linha, Santo et al.48 conseguiram reduzir em até 75% a massa de amostras de polietileno incubados com lacases (EC 1.10.3.2) de Rhodococcus ruber durante 30 dias. Essas enzimas apresentaram atividade ótima em 70 ºC e se mostraram ativas a até 100 ºC, o que representa uma propriedade interessante, que pode acelerar a cinética da reação de degradação destes polímeros. Outra enzima que apresentou papel importante na degradação de PE foi uma alcano hidroxilase (EC 1.14.15.3), ativa em moléculas com massa molar de até 27 kDa.70

Discussão sobre os fatores que afetam a degradação biológica

A degradação enzimática de polímeros é influenciada por diversos fatores, como a interação com a cadeia da macromolécula (difusão ou adsorção da enzima na superfície do polímero), propriedades físico-químicas do substrato (massa molar, área superficial), características da enzima (estrutural, cinética), fatores ambientais (pH, temperatura) e presença de ativadores ou inibidores no meio.7

A concentração de enzima é um dos parâmetros de maior importância nos processos de degradação enzimática de polímeros. A faixa de atividade enzimática aplicada aos sistemas reacionais depende do tipo de polímero a ser degradado e da fonte da enzima, dentre outros fatores. Foi observado que em muitos estudos de decomposição de poliésteres, a concentração da enzima fica em torno de 50 U mL-1, porém em alguns casos observou-se aplicação de enzimas com carga enzimática de até 100 U mL-1.71 Vale salientar, no entanto, que a definição de atividade enzimática é particular para cada tipo de biocatalisador, sendo influenciada, por sua vez, pelo tipo e concentração de substrato empregado, tempo de reação e condições ambientais (pH, temperatura). Devido à heterogeneidade dos sistemas reacionais de degradação de polímeros (substrato sólido, enzima em solução), alguns estudos adotam substratos análogos (estes solúveis) para a determinação da atividade de enzimas a serem empregadas na degradação de polímeros, e assim padronizar a quantidade de biocatalisador adicionado ao sistema.55,57-59 Em poucos casos, como o reportado por Wei et al.,56 uma metodologia mais específica é empregada. Estes autores desenvolveram um método turbidimétrico para a determinação da degradação de PET, empregado na forma de nanopartículas, empregando uma cutinase de T. fusca, e constataram, por meio de análise de Calorimetria Diferencial de Varredura (DSC), que a atuação da enzima na degradação do polímero é predominantemente do tipo endógeno (ou seja, nas regiões mais internas da cadeia polimérica).

A maioria dos artigos voltados para a degradação biotecnológica de polímeros estuda a degradação enzimática, que ocorre em geral na presença de uma solução tamponada. Devido à constante disponibilização de grupamentos carboxila durante a hidrólise (especialmente de poliésteres), o que pode reduzir significativamente o pH do meio, a manutenção do pH é necessária para evitar ou retardar a desnaturação dos biocatalisadores. Cabe comentar, porém, que como muitos dos processos de degradação enzimática reportados na literatura são de longo prazo (até meses de duração), mesmo com a manutenção do pH as enzimas tendem a perder suas atividades. Para que o processo de degradação enzimática continue, muitos autores adotam uma abordagem de renovar o conteúdo enzimático do sistema periodicamente.26,27,29,34,72

Muitos estudos apontam a estrutura, a composição e a hidrofilicidade como os principais fatores que influenciam a degradação de polímeros, mais especificamente de poliésteres.18 Para Rizzarelli et al.,44,47 por exemplo, a degradação enzimática é influenciada pela composição química, estrutura química, massa molar, cristalinidade e pela temperatura de fusão do polímero. Já os estudos de degradação enzimática de poli(succinato de butileno), realizados por Gigli et al.,72 levaram os autores a concluir que há uma correlação entre a taxa de biodegradação do polímero e seu grau de hidrofilicidade e de regiões amorfas. Eles concluíram que a incorporação de átomos de oxigênio na função éter aumenta consideravelmente a biodegradabilidade do polímero.

A morfologia do polímero, incluindo a ocorrência e frequência da fase cristalina, tamanho, forma e número de cristalitos, desempenha um papel importante na determinação da taxa de biodegradação do polímero. Isso porque as regiões amorfas presentes em polímeros são mais suscetíveis à hidrólise enzimática do que regiões cristalinas. Esse resultado foi demonstrado em vários estudos, na qual foi observado que a biodegradação se iniciava com a hidrólise rápida das regiões amorfas, sendo seguida pela degradação lenta das regiões cristalinas. Com isso, o comportamento da biodegradação destas amostras é fundamentalmente determinado não só pela sua composição, mas também por suas estruturas de fase e todas as alterações que ocorrem durante este processo. 73 Especificamente no caso do PET, Wei et al.56 sugeriram que a degradação enzimática do polímero é substancialmente influenciada pela mobilidade das cadeias do poliéster, e que isto determina a afinidade e a acessibilidade da enzima às ligações éster.

Uma estratégia que pode ser aplicada para melhorar a biodegradabilidade dos polímeros é o aumento da hidrofilicidade do polímero, o qual é realizado pela introdução de segmentos hidrofílicos no seu esqueleto. Isso pode ser feito por meio da adição de uma hidroxila, e a formação de grupos carbonil ou carboxil. Essa incorporação aumenta a polaridade das moléculas, o que incorre em aumento do caráter hidrofílico dos componentes, favorecendo assim o ataque biológico das moléculas. Estruturas cristalinas e redes moleculares muito organizadas são desfavoráveis ao ataque enzimático, pois tornam extremamente constritivo o acesso dos biocatalisadores à parte interna dos polímeros. Em conclusão, a presença de uma proporção adequada e equilibrada de hidrofobicidade-hidrofilicidade na estrutura do polímero facilita a atuação das enzimas na degradação dos mesmos.74,75

Outra abordagem empregada com frequência neste assunto é a formação dos blocos compósitos entre moléculas poliméricas teoricamente menos biodegradáveis com macromoléculas de ocorrência natural (renováveis), como o amido e fibras vegetais,76 assim como a inserção de novos monômeros dentro da mesma fibra polimérica. Segundo a literatura, a copolimerização pode gerar polímeros com maior biodegradabilidade que aqueles gerados por reações de homopolimerização. Isso ocorre pois a copolimerização permite que haja mais facilmente a adequação e o controle do grau de cristalinidade, da razão hidrofóbica/hidrofílica e das propriedades térmicas e mecânicas do polímero formado e isso é obtido por meio da variação do comprimento do bloco sintetizado.72

Outro fator que foi observado nos testes de decomposição de polímeros utilizando enzimas e microrganismos produtores de enzimas é que o aumento da viscosidade do solvente aplicado ao sistema pode diminuir a taxa de degradação. Em contrapartida, foi percebido também que o aumento da polaridade melhora o comportamento de degradação.77 Para o experimento preliminar de degradação de polímero com a lipase B de Candida antarctica, por exemplo, foi confirmado que a taxa de degradação é dependente da quiralidade do polímero.67

 

CONCLUSÕES

O estudo da degradação de polímeros apresenta importância para diversas áreas, dentre as quais a biomédica, ambiental e a indústria petroquímica. A degradação biológica, mediada por microrganismos ou enzimas in vitro, particularmente, tem captado grande atenção por ser conduzida sob condições brandas de reação (pH, temperatura, solventes), além de os biocatalisadores serem ambientalmente amigáveis e biocompatíveis, característica fundamental para as aplicações na área biomédica (por exemplo, na degradação de curativos e na liberação de drogas encapsuladas). No entanto, em muitos dos casos, é demonstrado que a cinética desses bioprocessos ainda é um gargalo para sua implementação, com a duração das reações podendo chegar a alguns meses. Tais processos biológicos são conduzidos principalmente na presença de bactérias, leveduras e fungos filamentosos, e de enzimas esterolíticas (lipases, cutinases, esterases).

A ampla gama de polímeros passíveis de degradação e a diversidade dos mecanismos de hidrólise dessas macromoléculas são, em parte, responsáveis pelos diferentes métodos empregados para o acompanhamento dos processos de biodegradação. Dentre as principais propriedades acompanhadas durante esses processos, encontram-se a massa molar numérica média (Mn), o índice de polidispersão e a perda de massa do polímero, a concentração de produtos formados e a observação da estrutura dos filmes poliméricos via análise de imagens.

Propriedades dos polímeros, como a composição química, a estrutura química, a massa molar, a cristalinidade e a temperatura de fusão demonstraram exercer grande influência sobre os rendimentos das degradações biológicas. Foi visto que a hidrólise de polímeros ocorre mais fácil e rapidamente em regiões amorfas, comparativamente às regiões cristalinas. Observou-se, ainda, que copolímeros tendem a apresentar maior biodegradabilidade que seus homopolímeros correspondentes.

Os processos de degradação de polímeros de grande relevância industrial, como poli(tereftalato de etileno)(PET), poliuretanas e polietileno, ainda precisam ser estudados com maior profundidade, para elucidação de seus mecanismos de reação e otimização operacional. Os processos biológicos de degradação dessas moléculas apresentam elevado potencial de uso em larga escala.

 

REFERÊNCIAS

1. Ribeiro, B. D.; Castro, A. M.; Coelho, M. A. Z.; Freire, D. M. G.; Enzyme Res. (2011) doi: 10.4061/2011/615803 DOI: http://dx.doi.org/10.4061/2011/615803

2. Albuquerque, M. C. C.; Ribeiro, C. M. S.; Rabelo, C. R. K.; Siqueira, B. G.; Marinha, A. B. A. S.; Castro, A. M.; Quim. Nova2014, 37, 699.

3. Shah, A. A.; Hasan, F.; Hameed, A.; Ahmed, S.; Biotechnol. Adv.2008, 26, 246. DOI: http://dx.doi.org/10.1016/j.biotechadv.2007.12.005 PMID: 18337047

4. Accinelli, C.; Saccà, M. L.; Mencarelli, M.; Vicari, A. Chemosphere2012, 89, 136. DOI: http://dx.doi.org/10.1016/j.chemosphere.2012.05.028 PMID: 22717162

5. Amass, W.; Amass, A.; Tighe, B.; Polym. Int. 1998, 47, 89. DOI: http://dx.doi.org/10.1002/(SICI)1097-0126(1998100)47:2<89::AID-PI86>3.0.CO;2-F

6. Nair, L. S.; Laurencin, C. T.; Progr. Polym. Sci. 2007, 32, 762. DOI: http://dx.doi.org/10.1016/j.progpolymsci.2007.05.017

7. Marin, E.; Briceño, M. I.; Cabellero-George, C.; Int. J. Nanomed.2013, 8, 3071. DOI: http://dx.doi.org/10.2147/IJN.S47186

8. Wu, C. S.; Macromol. Biosci. 2008, 8, 560. DOI: http://dx.doi.org/10.1002/mabi.200700181 PMID: 18322910

9. Brum, M. C.; Leite, L. F. M.; Dias, M. L.; Nascimento, C. R.; Br PI0605201-0 A, 2006.

10. Restrepo-Flórez, J.-M.; Bassi, A.; Thompson, M. R.; Int. Biodeterior. Biodegrad.2014, 88, 83. DOI: http://dx.doi.org/10.1016/j.ibiod.2013.12.014

11. Castro, A. M.; Pereira Jr., N.; Quim. Nova2010, 33, 181. DOI: http://dx.doi.org/10.1590/S0100-40422010000100031

12. Cinelli, B. A.; Lopez, J. A.; Castilho, L. R.; Freire, D. M. G.; Castro, A. M.; Fuel2014, 124, 41. DOI: http://dx.doi.org/10.1016/j.fuel.2014.01.076

13. Ghaffari Mosanenzadeh, S.; Naguib, H. E.; Park, C. B.; Atalla, N.; J. Polym. Sci. Part B: Polym. Sci. 2014, 52, 1002. DOI: http://dx.doi.org/10.1002/polb.23522

14. Zhao, J-H.; Wang, X-Q.; Zeng, J.; Yang, G.; Shi, F-H.; Yan, Q.; J. Appl. Polym. Sci.2005, 97, 2273. DOI: http://dx.doi.org/10.1002/app.22009

15. Wu, C-S.; J. Polym. Environ. 2011, 19, 706. DOI: http://dx.doi.org/10.1007/s10924-011-0318-0

16. Li, F.; Yu, D.; Lin, X.; Liu, D.; Xia, H.; Chen, S.; World J. Microbiol. Biotechnol.2012, 28, 2929. DOI: http://dx.doi.org/10.1007/s11274-011-0799-y PMID: 22806733

17. Sung, Y. K.; Song, D. K.; Macromol. Symp. 2005, 224, 239. DOI: http://dx.doi.org/10.1002/masy.200550621

18. Shang, X-S.; Fu, X.; Chen, X-D.; Yang, L-S.; J. Appl. Polym. Sci.2009, 114, 3574. DOI: http://dx.doi.org/10.1002/app.30982

19. Conato, M.; Sumera, F. J.; Polym. Environ.2012, 20, 217. DOI: http://dx.doi.org/10.1007/s10924-011-0397-y

20. Shah, A. A.; Kato, S.; Shintani, N.; Kamini, N. R.; Nakajima-Kambe, T.; Appl. Microbiol. Biotechnol. 2014, 98, 3437. DOI: http://dx.doi.org/10.1007/s00253-014-5558-1 PMID: 24522729

21. Wu, C-S.; J. Appl. Polym. Sci.2011, 121, 427. DOI: http://dx.doi.org/10.1002/app.33713

22. Shibasaki, S.; Kawabata, A.; Tanino, T.; Kondo, A.; Ueda, M.; Tanaka, M.; Biocontrol Sci.2009, 14, 171. DOI: http://dx.doi.org/10.4265/bio.14.171 PMID: 20055222

23. Brenda. http://www.brenda-enzymes.org/index.php4, acessado em 19 de julho de 2014.

24. Omar, D.; Güvenilir, Y.; Int. Polym. Processing2014, 29, 221. DOI: http://dx.doi.org/10.3139/217.2835

25. Tücking, K.-S.; Handschuh-Wang, S.; Schönherr, H.; Aust. J. Chem.2014, 67, 578 DOI: http://dx.doi.org/10.1071/CH13527

26. Dong, J.; Liao, L.; Ma, Y.; Shi, L.; Wang, G.; Fan, Z.; Li, S.; Lu, Z.; Polym. Degrad. Stab.2014, 103, 26. DOI: http://dx.doi.org/10.1016/j.polymdegradstab.2014.03.004

27. Li, Y.; Thouas, G. A.; Shi, H.; Chen, Q.; J. Biomat. Appl. 2014, 28, 1138. DOI: http://dx.doi.org/10.1177/0885328213499195

28. Nikolic, M.; Djonlagic, J.; Polym. Degrad. Stab.2001, 74, 263. DOI: http://dx.doi.org/10.1016/S0141-3910(01)00156-2

29. Kemme, M.; Prokesch, I.; Heinzel-Wieland, R.; Polym. Test.2011, 30, 743. DOI: http://dx.doi.org/10.1016/j.polymertesting.2011.06.009

30. Pepic, D.; Nikolic, M. S.; Djonlagic, J.; J. Appl. Polym. Sci.2007, 106, 1777. DOI: http://dx.doi.org/10.1002/app.26860

31. Eberl, A.; Heumann, S.; Kotekc, R.; Kaufmannd, F.; Mitschee, S.; Cavaco-Paulo, A.; Gübitzb, G. M. G.; J. Biotechnol.2008, 135, 45. DOI: http://dx.doi.org/10.1016/j.jbiotec.2008.02.015 PMID: 18405994

32. Baker, P. J.; Poultney, C.; Liu, Z.; Gross, R.; Montclare, J. K.; Appl. Microbiol. Biotechnol.2012, 93, 229. DOI: http://dx.doi.org/10.1007/s00253-011-3402-4 PMID: 21713515

33. Ozsagiroglu, E.; Iyisan, B.; Guvenilir, Y. A.; Pol. J. Environ. Stud.2012, 21, 1777.

34. Chu, D.; Curdy, C.; Riebesehl, B.; Zhang, Y.; Beck-Broichsitter, M.; Kissel, T.; Eur. J. Pharm. Biopharm. 2013, 85, 1232. DOI: http://dx.doi.org/10.1016/j.ejpb.2013.04.011 PMID: 23639738

35. Tserki, V.; Matzinos, P.; Pavlidou, E.; Vachliotis, D.; Panayiotou, C.; Polym. Degrad. Stab.2006, 91, 367. DOI: http://dx.doi.org/10.1016/j.polymdegradstab.2005.04.035

36. Herrera, R.; Franco, L.; Rodríguez-Galán, A.; Puiggalí, J.; J. Polym. Sci., Part A: Polym. Chem.2002, 40, 4141. DOI: http://dx.doi.org/10.1002/pola.10501

37. Sivalingam, G.; Madras, G.; J. Appl. Polym. Sci.2004, 91, 2391. DOI: http://dx.doi.org/10.1002/app.13394

38. Ganesh, M.; Gross, R. A.; Polymer (United Kingdom)2012, 53, 3454.

39. Arutchelvi, J.; Sudhakar, M.; Arkatkar, A.; Doble, M.; Bhaduri, S.; Uppara, P. V.; Indian J. Biotechnol. 2008, 7, 9.

40. Ganesh, M.; Nachman, J.; Mao, Z.; Lyons, A.; Rafailovich, M.; Gross, R.; Biomacromolecules2013, 14, 2470. DOI: http://dx.doi.org/10.1021/bm400552u PMID: 23808571

41. Pilch-Pitera, B.; J. Polym. Environ.2013, 21, 215. DOI: http://dx.doi.org/10.1007/s10924-012-0519-1

42. Baker, P. J.; Poultney, C.; Liu, Z.; Gross, R.; Montclare, J. K.; Appl. Microbiol. Biotechnol.2012, 93, 229. DOI: http://dx.doi.org/10.1007/s00253-011-3402-4 PMID: 21713515

43. Kemme, M.; Prokesch, I.; Heinzel-Wieland, R.; Polym. Test.2011, 30, 743. DOI: http://dx.doi.org/10.1016/j.polymertesting.2011.06.009

44. Rizzarelli, P.; Puglisi, C.; Montaudo, G.; Polym. Degrad. Stab.2004, 85, 855. DOI: http://dx.doi.org/10.1016/j.polymdegradstab.2004.03.022

45. Hofrichter, M.; Enzyme Microb. Technol.2002, 30, 454. DOI: http://dx.doi.org/10.1016/S0141-0229(01)00528-2

46. Chiellini, E.; Corti, A.; Del Sarto, G.; D'Antone, S.; Polym. Degrad. Stab.2006, 91, 3397. DOI: http://dx.doi.org/10.1016/j.polymdegradstab.2006.05.021

47. Rizzarelli, P.; Impallomeni, G.; Biomacromolecules2004, 5, 433. DOI: http://dx.doi.org/10.1021/bm034230s PMID: 15003003

48. Santo, M.; Weitsman, R.; Sivan, A.; Int. Biodeterior. Biodegrad.2013, 84, 204. DOI: http://dx.doi.org/10.1016/j.ibiod.2012.03.001

49. Pouton, C. W.; Akhtar, S.; Adv. Drug Delivery Rev.1996, 18, 133. DOI: http://dx.doi.org/10.1016/0169-409X(95)00094-N

50. Jiang, Y.; Hebly, M.; Kleerebezem, R.; Muyzer, G.; van Loosdrecht, M. C. M.; Water Res.2011, 45, 1309. DOI: http://dx.doi.org/10.1016/j.watres.2010.10.009 PMID: 21067791

51. Boskhomdzhiev, A. P.; Bonartsev, A. P.; Makhina, T. K.; Myshkina, V. L.; Ivanov, E. A.; Bagrov, D. V.; Filatova, E. V.; Iordanskii, A. L.; Bonartseva, G. A.; Biochemistry (Moscow) Supplement Series B: Biomedical Chemistry2010, 2, 177. DOI: http://dx.doi.org/10.1134/S1990750810020083

52. Ribitsch, D.; Birner-Gruenberger, R.; Deller, S.; Weber, T.; Riehle, R. J.; ACS Symp. Ser.2005, 900, 302.

53. Donelli, I.; Freddi, G.; Nierstrasz, V. A.; Taddei, P.; Polym. Deg. Stab.2010, 95, 1542. DOI: http://dx.doi.org/10.1016/j.polymdegradstab.2010.06.011

54. Muller, R-J.; Schrader, H.; Profe, J.; Dresler, K.; Deckwer, W-D.; Macromol. Rapid Commun.2005, 26, 1400. DOI: http://dx.doi.org/10.1002/marc.200500410

55. Acero, E. H.; Ribitsch, D.; Dellacher, A.; Zitzenbacher, S.; Marold, A.; Steinkellner, G.; Gruber, K.; Schwab, H.; Guebitz, G. M.; Biotechnol. Bioeng. 2013, 110, 2581. DOI: http://dx.doi.org/10.1002/bit.24930

56. Wei, R.; Oeser, T.; Barth, M.; Weigl, N.; Lübs, A.; Schultz-Siegmund, M.; Hacker, M. C.; Zimmermann, W.; J. Mol. Catal. B: Enzym.2014, 103, 72. DOI: http://dx.doi.org/10.1016/j.molcatb.2013.08.010

57. Roth, C.; Wei, R.; Oeser, T.; Then, J.; Föllner, C.; Zimmermann, W.; Sträter, N.; Appl. Microbiol. Biotechnol. 2014. doi 10.1007/s00253-014-5672-0, no prelo. DOI: http://dx.doi.org/10.1007/s00253-014-5672-0 PMID: 24728714

58. Gomes, D. S.; Matamá, T.; Cavaco-Paulo, A.; Campos-Takaki, G. M.; Salgueiro, A. A.; Electron. J. Biotechnol. 2013. DOI: 10.2225/vol16issue5-fulltext-12. DOI: http://dx.doi.org/10.2225/vol16issue5-fulltext-12

59. Kawai, F.; Oda, M.; Tamashiro, T.; Waku, T.; Tanaka, N.; Yamamoto, M.; Mizushima, H.; Miyakawa, T.; Tanokura, M.; Appl. Microbiol. Biotechnol. 2014, doi 10.1007/s00253-014-5860-y, no prelo. DOI: http://dx.doi.org/10.1007/s00253-014-5860-y PMID: 24929560

60. Nagata, M.; Kato, K.; Sakai, W.; Tsutsumi, N.; Macromol. Biosci.2006, 6, 333. DOI: http://dx.doi.org/10.1002/mabi.200600058 PMID: 16676379

61. Eberl, A.; Heumann, S.; Kotekc, R.; Kaufmannd, F.; Mitschee, S.; Cavaco-Paulo, A.; Gübitzb, G. M. G.; J. Biotechnol.2008, 135, 45. DOI: http://dx.doi.org/10.1016/j.jbiotec.2008.02.015 PMID: 18405994

62. Peng, Y.-H.; Shih, Y.-H.; Lai, Y.-C.; Liu, Y.-Z.; Liu, Y.-T.; lin, N.-C.; Environ. Sci. Pollut. Res., doi 10.1007/s11356-014-2647-8, no prelo. DOI: http://dx.doi.org/10.1007/s11356-014-2647-8

63. Mano, E. B.; Mendes, L. C.; Introduçao a Polímeros, 2º ed., Edgar Blücher Ltda.: Sao Paulo, 2004.

64. Akutsu, Y.; Kambe, T. N.; Nomura, N.; Nakahara, T.; Appl. Environ. Microbiol. 1998, 64, 62. PMID: 16349494

65. Loredo- Trevino, A.; Sánchez, G. G.; Herrera, R. R.; Aguilar, C. N.; J. Polym. Environ.2012, 20, 258. DOI: http://dx.doi.org/10.1007/s10924-011-0390-5

66. Arutchelvi, J.; Sudhakar, M.; Arkatkar, A.; Doble, M.; Bhaduri, S.; Uppara, P. V.; Indian J. Biotechnol. 2008, 7, 9.

67. Xiao, Y.; Cummins, D.; Palmans, A. R. A.; Koning, C. E.; Heise, A.; Soft Matter2008, 4, 593. DOI: http://dx.doi.org/10.1039/b717059a

68. Watanabe, T.; Ohtake, Y.; Asabe, H.; Murakami, N.; Furukawa, M.; J. Appl. Polym. Sci.2009, 111, 551. DOI: http://dx.doi.org/10.1002/app.29102

69. Pramila, R.; Padmavathy, K.; Ramesh, K. V.; Mahalakshmi, K.; J. Bacteriol. Res.2012, 4, 9.

70. Yoon, M. G.; Jeon, J. H.; Kim, M. N. J. Bioremed Biodegr. 2012, 3, 145.

71. Walter, T.; Augusta, J.; Müller, R.-J.; Widdecke, H.; Klein, J.; Enzyme Microb. Technol.1995, 17, 218. DOI: http://dx.doi.org/10.1016/0141-0229(94)00007-E

72. Gigli, M.; Negroni, A.; Soccio, M.; Zanaroli, G.; Lotti, N.; Fava, F.; Munari, A.; Green Chem. 2012, 14, 2885. DOI: http://dx.doi.org/10.1039/c2gc35876j

73. Shuai, X.; Wei, M.; Porbeni, F. E.; Bullions, T.A.; Tonelli, A. E.; Biomacromolecules2001, 3, 201. DOI: http://dx.doi.org/10.1021/bm015609m PMID: 11866574

74. Gigli, M.; Negroni, A.; Zanaroli, G.; Lotti, N.; Fava, F.; Munari, A.; React. Funct. Polym.2013, 73, 764. DOI: http://dx.doi.org/10.1016/j.reactfunctpolym.2013.03.007

75. Gigli, M.; Negroni, A.; Soccio, M.; Zanaroli, G.; Lotti, N.; Fava, F.; Munari, A.; Polym. Degrad. Stab.2013, 98, 934. DOI: http://dx.doi.org/10.1016/j.polymdegradstab.2013.02.019

76. Wu, C-S.; J. Appl. Polym. Sci.2011, 121, 427. DOI: http://dx.doi.org/10.1002/app.33713

77. Sivalingam, G.; Chattopadhyay, S.; Madras, G.; Chem. Eng. Sci.2003, 58, 2911. DOI: http://dx.doi.org/10.1016/S0009-2509(03)00155-6

On-line version ISSN 1678-7064 Printed version ISSN 0100-4042
Qu�mica Nova
Publica��es da Sociedade Brasileira de Qu�mica
Caixa Postal: 26037 05513-970 S�o Paulo - SP
Tel/Fax: +55.11.3032.2299/+55.11.3814.3602
Free access

GN1