JBCS



1:57, dom out 26

Acesso Aberto/TP



Artigo


Determinação de Cd e Pb em amostras de goma xantana por GF AAS
Determination of Cd and Pb in xanthan gum samples by GF AAS

Alexander O. de SouzaI; Camila C. PereiraI; Bruna M. JadoI; Eliézer Q. OresteI; Mariana A. VieiraI; Anderson S. RibeiroI; Claire T. VendruscoloII ; Adriane M. NunesI,*

ICentro de Ciências Químicas, Farmacêuticas e de Alimentos, Universidade Federal de Pelotas, Campus Capão do Leão, 96160-000 Capão do Leão - RS, Brasil
IICentro de Desenvolvimento Tecnológico, Universidade Federal de Pelotas, Campus Capão do Leão, 96160-000 Capão do Leão - RS, Brasil

Recebido em 03/07/2014
Aceito em 02/10/2014
Publicado na web em 13/11/2014

Endereço para correspondência

*e-mail: adriane.mn@hotmail.com

RESUMO

This paper describes the evaluation of a method for determination of Cd and Pb in xanthan gum samples by Graphite Furnace Atomic Absorption Spectrometry (GF AAS) using NH4H2PO4 as the chemical modifier. The sample preparation was performed using a reflux system adapted in the digestion tubes. With this system it was possible to increase the temperature of the digester block above the boiling point of the reaction medium, preventing loss of analyte and excessive evaporation of acids during heating. Samples were digested with HNO3 for 3 h in a digester block at 220 ºC. The limits of detection for Cd and Pb were 2.2 and 33.8 ng g-1, respectively. The RSDs for both analytes were, on average, lower than 5.0% and accuracy was verified by recovery tests, yielding values in the 83-100% range.

Palavras-chave: cadmium; lead; xanthan gum; reflux system; GF AAS.

INTRODUÇÃO

A goma xantana é um heteropolissacarídeo, produzido pela bactéria Xanthomonas campestris, que apresenta uma gama de aplicações devido a sua reologia e estabilidade em uma ampla faixa de pH e temperatura. Dentre essas aplicações, destaca-se a sua utilização como espessante, emulsificante e estabilizante em diversos setores industriais, sendo empregada em fármacos, cosméticos, tintas e, principalmente, em indústrias alimentícias e petrolíferas.1-5

O meio de cultura para a produção da goma xantana contém uma fonte de carboidrato, geralmente glicose ou sacarose, uma fonte de nitrogênio e sais minerais, tais como potássio, ferro, cálcio, sódio e magnésio. Esses cátions apresentam-se em diferentes proporções, as quais devem ser controladas, uma vez que podem influenciar diretamente nas propriedades da goma xantana.1,6

A inclusão de elementos potencialmente tóxicos pode surgir durante a etapa de processamento com a utilização de reagentes de baixo grau de pureza, bem como a partir das fontes alternativas de carboidratos, as quais são utilizadas a fim de diminuir o custo de produção. Assim, faz parte do controle de qualidade das xantanas a determinação de Pb, que apresenta como limite tolerável o valor de 5000 ng g-1 e outros metais tóxicos (Cd, As, Hg, etc.) com limite tolerável de 20000 ng g-1.7,8

Dentre os elementos tóxicos para o ser humano e ao ecossistema, o Cd e Pb destacam-se dos demais, já que são capazes de substituir elementos essenciais em macromoléculas e enzimas, assegurando uma alta toxicidade mesmo em pequenas concentrações. Também, a grande afinidade com grupamento sulfidrila pode causar estresse oxidativo e baixa taxa de excreção. Esses elementos, além de poderem causar distúrbios renais, insuficiência pulmonar, lesões ósseas e hipertensão, são considerados cancerígenos (afetam principalmente rim, bexiga, próstata, e endométrio), embriotóxicos, teratogênicos, mutagênicos, neurotóxicos, nefrotóxicos e hepatotoxicos.9-13

De acordo com a literatura, para a determinação de elementos metálicos em amostras de goma xantana, diferentes métodos para o preparo dessas amostras são citados: a American Society for Testing and Materials (ASTM) recomenda o uso de calcinação a uma temperatura de 550 ºC por um período que varia de 5 a 8 horas. Entretanto, esse método é ineficiente para a determinação de elementos voláteis, uma vez que trata-se de um sistema aberto e que requer o uso de altas temperaturas, havendo assim perdas de analitos por volatilização durante o procedimento experimental. Além disso, trata-se de um método moroso e susceptível a contaminações.14,15

Com o intuito de contornar os inconvenientes observados quando as amostras de goma xantana são preparadas por calcinação usando o forno mufla, Klaic e colaboradores propuseram um método envolvendo a decomposição ácida em sistema aberto utilizando uma mistura ácida nitro-perclórica.6 Segundo os autores, esse método de preparo de amostra mostrou-se eficiente para a decomposição de diferentes amostras de goma xantana e subsequente determinação de Na, K, Ca e Mg por técnicas de espectrometria atômica. Entretanto, o uso do HClO4 tem se tornado cada vez mais inviável, pois trata-se de um reagente de alto custo, com compra restrita e controlada pelas forças armadas. Além disso, devido ao seu caráter altamente reativo, o seu manuseio pode apresentar um alto risco ao analista.16,17

Para as determinações de elementos traços voláteis em diferentes tipos de matrizes, a utilização da decomposição assistida por radiação micro-ondas vem sendo amplamente empregada, já que trata-se de um sistema fechado, que proporciona decomposições mais rápidas e seguras quando comparadas àquelas baseadas em aquecimento convencional.12,13,15,16 O uso de sistemas de refluxo para decomposição ácida é uma alternativa simples e segura para determinação de diferentes elementos metálicos, apresentando resultados satisfatórios inclusive para elementos voláteis. Estes sistemas possibilitam a condensação dos vapores gerados no interior do frasco de decomposição, minimizando assim possíveis perdas de analito e/ou ácido por volatilização.18-21

Das técnicas instrumentais de análise utilizadas para a quantificação de metais que se encontram em nível traço, a espectrometria de absorção atômica com forno de grafite (GF AAS) destaca-se pela alta sensibilidade e seletividade, sendo uma técnica adequada para a determinação de Cd e Pb em diferentes tipos de matrizes.20,22-24 Além disso, a GF AAS também torna-se atrativa devido o uso de pequenas quantidades de amostras.22

Considerando que há poucos estudos na literatura envolvendo a determinação de elementos metálicos em amostras de goma xantana, bem como a importância do controle de metais potencialmente tóxicos nestas amostras, o presente trabalho tem por objetivo o desenvolvimento de um método para a determinação de elementos traços voláteis como Cd e Pb por GF AAS, já que estes elementos são citados durante o controle de qualidade da goma xantana. Para isto, as amostras foram preparadas usando um sistema de refluxo adaptado individualmente aos tubos do bloco digestor convencional e os resultados analíticos foram avaliados.

 

PARTE EXPERIMENTAL

Equipamentos e parâmetros instrumentais de análise

Para a determinação de Cd e Pb em amostras comerciais de goma xantana foi utilizado um espectrômetro de absorção atômica com forno de grafite (GF AAS) modelo PinAAcle 900Z (Perkin Elmer, Shelton, CT, USA) equipado com amostrador automático modelo AS900. Sinal transiente foi utilizado para calcular a concentração dos analitos e as áreas de pico foram corrigidas por meio de um corretor de fundo baseado no Efeito Zeeman. Foram utilizados para ambos os elementos: tubo de grafite eletrolítico revestido de grafite pirolítico com plataforma de L'vov e aquecimento transversal (Perkin Elmer), lâmpadas de cátodo oco para cada elemento (Lumina, Perkin Elmer), argônio como gás de purga e de refrigeração com pureza de 99,996% (Linde, Barueri, SP). Os parâmetros instrumentais utilizados são apresentados na Tabela 1. As amostras foram pesadas em uma balança analítica (Ohaus Adventurer modelo AR 2140) com resolução de 0,1 mg e tara máxima de 210 g.

 

 

A Tabela 2 apresenta o programa de tempo e temperatura utilizado para as determinações de Cd e Pb nas amostras de goma xantana.

 

 

Para o preparo das amostras de goma xantana pelo método proposto foi utilizado um bloco digestor convencional modelo MA-4025 (Marconi, Piracicaba, SP, Brasil). Aos tubos de digestão foram acoplados sistemas de refluxo (dedo frio), os quais possuem um encaixe de teflon e apresentam uma ranhura lateral para alívio de pressão. O sistema citado tem circulação interna de água com temperatura controlada de 15 ºC por meio de um banho termostatizado modelo Q-214M2 (Quimis, Brasil). Esse sistema de refluxo foi desenvolvido por nosso grupo de pesquisa e descrito por Oreste e colaboradores.18 A Figura 1 apresenta a ilustração do sistema de refluxo utilizado para o preparo das amostras.

 


Figura 1. Esquema representativo do sistema de dedo frio com circulação de água. (adaptado da ref. 18)

 

Materiais, reagentes e amostras

Os reagentes utilizados em todos os experimentos foram de grau analítico. Água desionizada foi obtida por meio de um sistema Direct-Q 3 de purificação (Millipore Corporation, Bedford, USA) com resistividade de 18,3 MΩ cm. As soluções padrão de Cd e Pb foram preparadas em meio ácido a partir da diluição de soluções estoque contendo 1000 mg L-1 (Merck, Darmstadt, Germany) de cada analito. Para as curvas de calibração, os padrões foram preparados por diluição das respetivas soluções estoque e ficaram com concentrações variando entre 2,5 e 10,0 mg L-1 para Cd e 10,0 e 100,0 mg L-1 para Pb. Como modificador químico, foi utilizado o fosfato de amônio (NH4H2PO4) (Synth, São Paulo, Brasil) preparado a uma concentração final de 10000 mg L-1.

Para o preparo das amostras foi utilizado ácido nítrico 65% (m/m) (Synth, Brasil), o qual foi purificado a partir de um sistema de destilação de sub-ebulição de quartzo MA-075 (Marconi, Piracicaba, SP, Brasil).

Os frascos de polipropileno (PP), materiais de vidro, bem como os tubos do bloco digestor foram lavados primeiramente com água de torneira, seguidos de imersão em uma solução de HNO3 10% (v/v) por 48 h. Posteriormente, foram lavados com água desionizada e secos.

Três amostras de xantanas (Xanthomonas campestris) comerciais foram utilizadas neste trabalho (Sigma Aldrich, Farmaquímica e Alpha Química), as quais serão denominadas como Xantana Comercial A, Xantana Comercial B e Xantana Comercial C, respetivamente.

Preparo das amostras

Digestão ácida com sistema de refluxo

Aproximadamente 100 mg de amostra de goma xantana foram pesados diretamente nos tubos de digestão e, posteriormente, foram adicionados 5,0 mL de HNO3. Em seguida o sistema de refluxo foi acoplado aos tubos de digestão e, então, os tubos foram levados ao aquecimento no bloco digestor por 3 horas a 220 ºC. Após o resfriamento das amostras à temperatura ambiente, a solução resultante foi transferida de forma quantitativa para frascos volumétricos de polipropileno e avolumadas a 10,0 mL com água desionizada. Todas as amostras foram decompostas em triplicata e os brancos analíticos foram preparados pelo mesmo procedimento.

Metodologia

Para todas as análises foi utilizado um volume de 20 µL de solução da amostra e padrões, os quais foram introduzidos no interior do tubo de grafite através do amostrador automático e submetidos ao programa de aquecimento. Cabe salientar que todas as análises foram realizadas em triplicata.

Para a quantificação de Cd e Pb nas amostras de goma xantana, estudos de otimização das temperaturas de pirólise e atomização foram realizados a fim de obter uma melhor eliminação da matriz durante a etapa de pirólise, além de uma maior sensibilidade. Para este estudo foi utilizada uma quantidade conhecida de analito (1,0 e 30 mg L-1 de Cd e Pb, respetivamente), tanto em meio aquoso, como na presença da amostra, empregando 50 µg de NH4H2PO4 como modificador químico, o qual foi adicionado juntamente com as amostras e padrões durante as injeções no tubo de grafite.

Com o objetivo de verificar a possibilidade da obtenção das curvas de calibração em meio aquoso, um estudo adicional comparando a inclinação das curvas obtidas, tanto em meio aquoso como em meio ácido, foi realizado para ambos analitos. Como as curvas obtidas não apresentaram diferenças significativas, as análises foram feitas a partir da preparação das curvas de calibração em soluções aquosas.

A exatidão do método foi avaliada por meio de testes de adição e recuperação de analito. Para este estudo, durante a etapa de preparo das amostras, concentrações de 500; 750 e 1000 ng g-1 para Cd e 1000; 5000 e 10000 ng g-1 para Pb, foram adicionadas à amostra de xantana comercial A e o percentual de recuperação foi calculado ao final de cada análise.

 

RESULTADOS E DISCUSSÃO

Otimização do programa de temperatura do GF AAS para determinação de Cd e Pb

Conforme mencionado anteriormente, com o objetivo de avaliar as melhores condições do programa de aquecimento adotado para a quantificação de Cd e Pb em amostras de goma xantana por GF AAS, foi realizada a construção e análise das curvas de pirólise e atomização em função do sinal analítico obtido para cada elemento.

Otimização do programa de temperatura do GF AAS para determinação de Cd

A Figura 2 apresenta as curvas de pirólise e atomização obtidas para o Cd. Os estudos foram realizados em uma faixa de temperatura de pirólise de 500 a 1000 ºC e de temperatura de atomização de 1000 a 1900 ºC sem ou na presença de NH4H2PO4 como modificador químico (50 µg).

 


Figura 2. Curva de pirólise (aberto) e atomizaçao (sólido) para 1,0 µg L-1 de Cd em meio aquoso () () e na presença da amostra () () com a adiçao de 50 µg NH4H2PO4 como modificador químico

 

Por meio da análise das curvas de pirólise para Cd (Figura 2) foi possível verificar que, na presença do modificador químico, não houve perdas de analito em temperaturas de até 800 ºC. Sendo assim, a fim de garantir uma maior eliminação da matriz da amostra durante esta etapa, a temperatura de pirólise foi fixada em 800 ºC. Com relação à temperatura de atomização, percebe-se que há uma concordância entre os sinais analíticos em meio aquoso e, em meio da solução da amostra para as temperaturas de 1200 a 1300 ºC. Além disso, pode-se verificar também uma melhor sensibilidade nesta faixa de temperatura. Desta forma, a temperatura de atomização foi fixada em 1250 ºC. O programa completo de tempo e temperatura para Cd está apresentado na Tabela 2 (parte experimental).

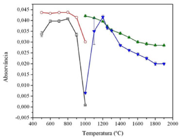
Otimização do programa de temperatura do GF AAS para determinação de Pb

A Figura 3 apresenta as curvas de pirólise e atomização obtidas para o Pb. O estudo de otimização do programa de temperatura do GF AAS para determinação de Pb em amostras de goma xantana foi realizado em uma faixa de 300 a 1100 ºC de temperatura de pirólise e 1100 a 2100 ºC de temperatura de atomização.

 


Figura 3. Curva de pirólise (aberto) e atomização (sólido) para 30 µg L-1 de Pb em meio aquoso () () e na presença da amostra () () com a adição de 50 µg NH4H2PO4 como modificador químico

 

Por meio da análise das curvas de pirólise e atomização (Figura 3) pode-se verificar que o modificador NH4H2PO4 mostrou-se também adequado para a determinação de Pb em amostras de goma xantana, pois houve uma similaridade entre a intensidade do sinal analítico, tanto em meio aquoso como na presença da amostra, em ambas as etapas de aquecimento. Sendo assim, temperaturas de 900 e 1400 ºC foram fixadas para as etapas de pirólise e atomização, respetivamente, garantindo desta forma uma maior eficiência do tratamento térmico, o que resultará na decomposição e volatilização dos concomitantes, tornando o processo menos suscetível a interferências, condição esta ideal para a análise. A Tabela 2 (parte experimental) apresenta o programa completo de tempo e temperatura utilizado para as análises.

Determinação de Cd e Pb em amostras comerciais de goma xantana

Para avaliar a exatidão do método empregado, testes de adição e recuperação dos analitos foram realizados e os resultados obtidos foram satisfatórios. De acordo com Tabela 3, pode-se verificar uma faixa de recuperação que varia de 83 a 100% para ambos os analitos.

 

 

Tendo como base a grande aplicabilidade da goma xantana nos mais diversos setores industriais - com destaque para o seu uso em fármacos e, principalmente, como um aditivo bastante utilizado na indústria de alimentos - bem como em estudos que comprovam que esse biopolímero pode adsorver contaminantes como Cd e Pb durante o processamento, a determinação de metais potencialmente tóxicos faz parte do controle de qualidade das xantanas, o que vem garantir uma maior segurança na sua aplicação.7,8

Sendo assim, para obter informações a respeito da concentração de Cd e Pb nas amostras comerciais de goma xantana analisadas, o método proposto inseriu contribuições significativas quando comparado aos métodos já existentes na literatura. Neste estudo, as amostras foram tratadas a partir da decomposição ácida com um sistema de refluxo adaptado aos tubos do bloco digestor convencional, permitindo assim a análise de metais traço voláteis, o que não seria possível a partir do método recomendado pela ASTM, nem pelo método proposto por Klaic e colaboradores,6 já que ambos baseiam-se em sistemas de decomposição abertos, o que impossibilita a determinação de metais voláteis como Cd e Pb.

Cabe salientar também que o uso do sistema de refluxo adaptado aos tubos digestores possibilitou a decomposição das amostras de goma xantana em meio de apenas HNO3 como meio oxidante, já que a partir da utilização do sistema fechado foi possível a aplicação de uma temperatura do bloco digestor superior a 200 ºC, condição esta que, de acordo com Pichler e colaboradores,25 é a condição ideal para a completa decomposição de macromoléculas em meio de ácido nítrico. Assim, o processo de decomposição das respetivas amostras foi feito sem a presença de HClO4, o que, atualmente, pode ser considerado um grande avanço no desenvolvimento de novos métodos de preparo de amostras, uma vez que o uso deste reagente tem se tornado cada vez mais inviável, devido ao seu alto custo e o risco que este apresenta ao analista.

A partir da análise das amostras comerciais de goma xantana estudadas foi possível verificar que estas encontram-se adequadas para as mais diversas aplicações industriais, já que as amostras B e C apresentaram concentrações inferiores ao limite de detecção do método, tanto para Cd como para Pb. Conforme apresentado na Tabela 3, a amostra comercial A apresentou uma concentração superior ao limite de quantificação para Cd. No entanto, a concentração de Cd encontrada nesta amostra está dentro dos padrões exigidos, ou seja, bem abaixo do limite tolerável para xantana como aditivo alimentar que é de 20000 ng g-1.

Parâmetros de mérito

Os parâmetros de mérito obtidos para as curvas de calibração para Cd e Pb por GF AAS a partir do método proposto estão apresentados na Tabela 4. Como podem ser observados, os valores do coeficiente de correlação ao quadrado (R2) foram superiores a 0,99, atestando a boa linearidade do método, referente à faixa linear específica para cada analito. Os limites de detecção (LD) para Cd e Pb foram 2,2 e 33,8 ng g-1 e os limites de quantificação (LQ) foram 7,1 e 111,4 ng g-1 para Cd e Pb, respetivamente. Estes parâmetros foram calculados multiplicando-se o desvio padrão do branco da curva de calibração por 3 (no caso do LD) e por 10 (no caso do LQ) e dividindo-se o valor obtido pela inclinação da curva analítica.

 

 

Com relação à precisão do método proposto, foi possível verificar uma boa reprodutibilidade dos resultados, já que em média os valores de desvio-padrão relativos (RSD) obtidos para ambos analitos foram em torno de 5,0%, garantindo assim a confiabilidade dos resultados.

 

CONCLUSÃO

A partir dos resultados obtidos foi possível observar que o método proposto se apresentou de forma adequada para a quantificação de Cd e Pb em amostras de goma xantana, já que houveram bons resultados de recuperação dos respetivos analitos, o que comprova sua exatidão. O uso do sistema de refluxo adaptado aos tubos digestores mostrou-se eficiente na mineralização destas amostras, evitando-se também possíveis perdas dos analitos por volatilização, pois trata-se de um sistema "semi-fechado".

Além disso, o método proposto mostrou ser uma alternativa promissora para a análise de metais tóxicos voláteis em amostras de goma xantana, o que se deve principalmente ao seu baixo custo de instrumentação. Sendo assim, o método desenvolvido irá contribuir de forma significativa no controle de qualidade dessas amostras, garantindo uma maior segurança na sua aplicação nos diversos setores industriais.

 

AGRADECIMENTOS

Os autores agradecem ao Conselho Nacional de Pesquisa e Desenvolvimento Tecnológico (CNPq) e à Coordenação de Aperfeiçoamento de Pessoal de Nível Superior (CAPES) - Edital Casadinho Processo nº 552197/2011-4, pelas bolsas concedidas e suporte financeiro.

 

REFERÊNCIAS

1. García-Ochoa, F.; Santos, V. E.; Casas, J. A.; Biotechnol. Adv.2000, 18, 549. DOI: http://dx.doi.org/10.1016/S0734-9750(00)00050-1 PMID: 14538095

2. Borges, C. D.; Bastos, C. P.; Vendruscolo, C. T.; Semina, Ci. Exatas/Tecnol.2007, 28, 107. DOI: http://dx.doi.org/10.5433/1679-0375.2007v28n2p107

3. Silva, M. F.; Fornari, R. C. G.; Mazutti, M. A.; Oliveira, D.; Padilha, F. F.; Cichoski, A. J.; Cansian, R. L.; Di Luccio, M.; Treichel, H.; J. Food Eng.2009, 90, 119. DOI: http://dx.doi.org/10.1016/j.jfoodeng.2008.06.010

4. Luvielmo, M. M.; Scamparini, A. R. P.; Estud. Tecnol.2009, 5, 50. DOI: http://dx.doi.org/10.4013/ete.2009.51.04

5. Menezes, J. D. S.; Druzian, J. I.; Padilha, F. F.; Souza, R. R.; Revista Eletrônica em Gestao, Educaçao e Tecnologia Ambiental2012, 8, 1761.

6. Klaic, P. M. M. A.; Nunes, A. M.; Moreira, A. S.; Vendruscolo, C. T.; Ribeiro, A. S.; Carbohydr. Polym.2011, 83, 1895. DOI: http://dx.doi.org/10.1016/j.carbpol.2010.10.059

7. Burdock, G. A.; Encyclopedia of Food & Color Additives v. 3, CDC Press: Boca Raton, 1997.

8. Xanthan gum. Food Chemicals Codex., 5ª ed., National Academy Press: Washington, 2003, p. 504-505.

9. Pandey, S.; Mishra, S.; Carbohydr. Polym.2012, 90, 370. DOI: http://dx.doi.org/10.1016/j.carbpol.2012.05.053 PMID: 24751054

10. Mera, R.; Torres, E.; Abalde, J.; Aquat. Toxicol.2014, 148, 92. DOI: http://dx.doi.org/10.1016/j.aquatox.2013.12.034 PMID: 24463493

11. Choong, G.; Liu, Y.; Templeton, D. M.; Chem. Biol. Interact.2014, 211, 54. DOI: http://dx.doi.org/10.1016/j.cbi.2014.01.007 PMID: 24463198

12. Varaksin, A.; Katsnelson, B.; Panov, V.; Privalova, L.; Kireyeva, E.; Valamina, I. E.; Beresneva, O. Y.; Food Chem. Toxicol.2014, 64, 144. DOI: http://dx.doi.org/10.1016/j.fct.2013.11.024 PMID: 24291454

13. Yuan, G.; Dai, S.; Yin, Z.; Lu, H.; Jia, R.; Xu, J.; Song, X.; Li, L.; Shu, Y.; Zhao, X.; Food Chem. Toxicol.2014, 65, 260. DOI: http://dx.doi.org/10.1016/j.fct.2013.12.041 PMID: 24394482

14. ASTM D1428-64; Annual Book of ASTM Standard, v. 10. Philadelphia, 1981.

15. Oliveira, E.; J. Braz. Chem. Soc.2003, 14, 174. DOI: http://dx.doi.org/10.1590/S0103-50532003000200004

16. Krug, F. J.; Métodos de Preparo de Amostras: Fundamentos sobre preparo de amostras orgânicas e inorgânicas para análise elementar, 1ª ed., Piracicaba, 2010, p. 340.

17. Brasil. Decreto Federal n. 3.665 de 19 de Novembro de 2000 - (R-105) do Ministério do Exército, Lei n. 9.017, de 30 de março de 1995 e Resoluçao n. 01, de 07 de novembro de 1995 do Ministério da Justiça; Decreto Estadual n. 6.911, de 19 de Janeiro de 1935 Comunicado D. Oficial 09/08/2003 e Portaria nº 17 - DLOG, de 28 de dezembro de 2004 e Portaria 03- DLOG de 16/07/2008. Relaçao de produtos controlados.

18. Oreste, E. Q.; Oliveira, R. M.; Nunes, A. M.; Vieira, M. A.; Ribeiro, A. S.; Microchem. J.2013, 109, 5. DOI: http://dx.doi.org/10.1016/j.microc.2012.05.034

19. Ferreira, S. L. C.; Silva, L. O. B.; Santana, F. A.; S. Junior, M. M.; Matos, G. D.; Santos, W. N. L.; Microchem. J.2013, 106, 307. DOI: http://dx.doi.org/10.1016/j.microc.2012.08.015

20. Oreste, E. Q.; Jesus, A.; Oliveira, R. M.; Silva, M. M.; Vieira, M. A.; Ribeiro, A. S.; Anal. Method.2013, 5, 1590. DOI: http://dx.doi.org/10.1039/c3ay26454h

21. Pinheiro, A. C. A.; Lisboa, M. T.; Ribeiro, A. S.; Nunes, A. M.; Yamasaki, A.; Quim. Nova2014, 37, 6. DOI: http://dx.doi.org/10.1590/S0100-40422014000100002

22. Welz, B.; Sperling, M.; Atomic Absorption Spectrometry, 3ª ed., Wiley-VCH: Weinheim, 1999.

23. Maranhao, T. A.; Borges, D. L. G.; Da Veiga, M. A. M. S.; Curtis, A. J.; Spectrochim. Acta, Part B2005, 60, 667. DOI: http://dx.doi.org/10.1016/j.sab.2005.02.004

24. Lemos, V. A. L.; Carvalho, A. L.; Environ. Monit. Assess.2010, 171, 255. DOI: http://dx.doi.org/10.1007/s10661-009-1268-z PMID: 20033280

25. Pichler, U.; Haase, A.; Knapp, G.; Anal. Chem.1999, 71, 4050. DOI: http://dx.doi.org/10.1021/ac9903048

On-line version ISSN 1678-7064 Printed version ISSN 0100-4042
Qu�mica Nova
Publica��es da Sociedade Brasileira de Qu�mica
Caixa Postal: 26037 05513-970 S�o Paulo - SP
Tel/Fax: +55.11.3032.2299/+55.11.3814.3602
Free access

GN1