JBCS



14:54, sáb out 25

Acesso Aberto/TP



Educação

Enzymatic resolution of antidepressant drug precursors in an undergraduate laboratory

Luís M. R. SolanoI; Nuno M. T. LourençoII,*

IFaculdade de Farmácia da Universidade de Lisboa, Av. Prof. Gama Pinto, 1649-003 Lisboa, Portugal
IIDepartamento de Bioengenharia, Instituto de Biotecnologia e Bioengenharia, Instituto Superior Técnico, Av. Rovisco Pais, 1, 1049-001 Lisboa, Portugal

Recebido em 07/07/2014
Aceito em 17/09/2014
Publicado na web em 13/11/2014

Endereço para correspondência

*e-mail: nmtl@tecnico.ulisboa.pt

RESUMO

The use of biocatalysts in synthetic chemistry is a conventional methodology for preparing enantiomerically enriched compounds. Despite this fact, the number of experiments in chemical teaching laboratories that demonstrate the potential of enzymes in synthetic organic chemistry is limited. We describe a laboratory experiment in which students synthesized a chiral secondary alcohol that can be used in the preparation of antidepressant drugs. This experiment was conducted by individual students as part of a Drug Synthesis course held at the Pharmacy Faculty, Lisbon University. This laboratory experiment requires six laboratory periods, each lasting four hours. During the first four laboratory periods, students synthesized and characterized a racemic ester using nuclear magnetic resonance spectroscopy and gas chromatography. During the last two laboratory periods, they performed enzymatic hydrolysis resolution of the racemic ester using Candida antarctica lipase B to yield enantiomerically enriched secondary alcohol. Students successfully prepared the racemic ester with a 70%-81% overall yield in three steps. The enzymatic hydrolysis afforded (R)- secondary alcohol with good enantioselectivity (90%-95%) and reasonable yields (10%-19%). In these experiments, students were exposed to theoretical and practical concepts of aromatic acylation, ketone reduction, esterification, and enzymatic hydrolysis.

Palavras-chave: sec-alcohols; esters; lípase; enantiomers; resolution.

INTRODUCTION

Over the last decade biocatalysis has become an established manufacturing process for the synthesis of enantiomerically pure molecules in the pharmaceutical industry.1,2 The use of biocatalysts is extremely attractive for synthetic organic chemists since it allows a straightforward insertion of chirality and selectivity with regard to regio- and stereochemistry in molecules.3 Concerning the preparation of enantiomerically pure secondary alcohols, hydrolases are frequently the biocatalyst of choice for the enzymatic synthesis. This selection is clearly associated with the large number of readily available enzymes and their no co-factors requirement. In this line, enzymatic kinetic resolution (EKR) of racemic secondary alcohols by Lipases is a well-established method and often the most practical route for the preparation of enantiomerically pure alcohols, in particular if both enantiomers are needed. Due to their importance in organic synthesis as chiral building blocks, secondary alcohols have been by far the most commonly used targets in lipase-catalyzed resolutions.

Although, undergraduate laboratory experiments that emphasize the connection between enzymatic resolution of secondary alcohols and practical applications are limited. Over the last years only few lipase-catalyzed protocols with the focus on chemistry education have been reported.4-8 Therefore, in our opinion more innovative experiments with practical applications are needed and welcome.

An undergraduate organic chemistry laboratory experiment is described in which students prepare rac-3-chloro-1-(thiophen-2-yl)propyl acetate (4) (Scheme 1) and utilized the compound (4) on enzymatic hydrolysis resolution reaction (Scheme 2). The enzymatic reaction products are optically active building block used by the pharmaceutical industry in the production of antidepressant drugs, namely serotonin-norepinephrine reuptake inhibitors (SNRIs).

 


Scheme 1. Synthesis of rac-3-chloro-1-(thiophen-2-yl)propyl acetate (4)

 

 


Scheme 2. Enzymatic hydrolysis of rac-3-chloro-1-(thiophen-2-yl)propyl acetate (4)

 

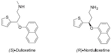
SNRIs are a class of antidepressant drugs used in the treatment of major depression and other mood disorders. Two examples of these drugs are norduloxetine and duloxetine (Figure 1). The latter sold under the brand name Cymbalta® among others. For norduloxetine the (R)-enantiomer was found more potent than the (S)-enantiomer whereas for duloxetine the (S)-enantiomer has been found to be twice as potent as the (R)-enantiomer.9

 


Figure 1. Chemical structures of (S)-Duloxetine and (R)-Norduloxetine

 

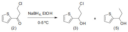
Several methods have been employed for the enantioselective synthesis of secondary alcohol moiety.10-11 Although 3-chloro-1-(thiophen-2-yl)propan-1-ol (3) have been previously used on enzymatic resolution reactions,12 their purification have shown same limitations. In particular, the chemical reduction of ketone, where the products of this reaction have been reported as a mixture of compounds (Scheme 3).

 


Scheme 3. Chemical reduction of 3-chloro-1-(thiophen-2-yl)propan-1-one (2)

 

In fact, this has been even a practical problem at the industrial level. A method for the production of enantiomer-pure aminoalcohols was patented by BASF where the same observation was reported.13 Indeed, the researchers were pushed to use the mixture of compounds on the enzymatic resolution reaction. Consequently, a complex mixture of compounds is obtained making the products isolation an exigent industrial operation.

The goal of this work was to introduce students to chemical-enzymatic protocols that could be an alternative to the industrial processes. The students were introduced to several advanced techniques, such as the handling of reagents under inert atmosphere, gas flow neutralization, flash chromatography and microscale procedures. Additionally, the protocol has provided significant training in TLC reaction monitoring, 1H , 13C NMR and GC (especially for quantitative analysis of mixtures and enantioselectivity values determination).

The pedagogical goals of the experiment are two. The first objective was for students to be aware of the importance of biocatalysis in the preparation of chiral building blocks. The second objective was for students to learn how to prepare enantiomeric enrich compounds by chemo-enzymatic reactions.

 

EXPERIMENTAL

Reagents and equipment

All reagents were obtained commercially and used as received, unless otherwise noted. Immobilized Candida antarctica Lipase B, CAL B (Novozym 435® with1-2% water w/w and 7000 PLU/g) was a gift from Novo Nordisk Bioindustrial, Spain.

Column flash-chromatography was performed using Silica gel 60 Scharlau and aluminum-backed silica gel MN 60 F254 plates was used for analytical TLC. Iodine and phosphomolybdic acid stain were used.

1H and 13C NMR spectra were recorded on a Bruker Avance III 400 or 300 spectrometer. NMR chemical shifts (δ) are reported in parts per million (ppm) relative to a residual peak of the solvent, δ = 7.26 (1H) and δ = 77.16 (13C) for CDCl3. Coupling constants (J) are reported in Hz.

GC analysis was performed in a GC-2010-Plus Shimadzu with FID detection and a Varian CP-CHIRASIL-DEX-CB (25 m × 0.25 mm×0.25 µm) column. Column flow (He): 1.0 mL min-1; Injector: 250 ºC; detector: 250 ºC; split ratio: 100; oven: 120 ºC for 50 min, ramp 1 ºC/min to 150 ºC, and 150 ºC for 5 min, tr (6)=9.98; 10.53 min, tr(5)=18.46; 19.51 min, tr(4)=38.51; 41.39 min; tr(3)=77.71; 78.54 min.

Procedure

Synthesis of 3-chloro-1-(thiophen-2-yl)propan-1-one (2)

During the first laboratory period, briefly, 3-chloro-1-(thiophen-2-yl)propan-1-one (2) was synthesized by the reaction between thiophene (1) and chloropropionyl chloride in the presence of aluminium chloride as catalyst. This experiment illustrates a common Friedel-Crafts acylation procedure for the preparation of monoacylated aromatic products. Detailed experimental procedures may be found in the supporting information.

Reduction of 3-chloro-1-(thiophen-2-yl)propan-1-one (2)

During the second laboratory period, briefly, the reaction between 3-chloro-1-(thiophen-2-yl)propan-1-one (2) and NaBH4 resulted on a mixture of 3-chloro-1-(thiophen-2-yl)propan-1-ol (3) and 1-(thiophen-2-yl)propan-1-ol (5). Detailed experimental procedures may be found in the supporting information.

Synthesis of 3-chloro-1-(thiophen-2-yl)propyl acetate (4)

During the third and fourth laboratory periods, briefly, the reaction between acetic anhydride and the residue obtained from experiment 2 (3-chloro-1-(thiophen-2-yl)propan-1-ol (3) and 1-(thiophen-2-yl)propan-1-ol (5)) allowed the synthesis and isolation of 3-chloro-1-(thiophen-2-yl)propyl acetate (4). Detailed experimental procedures may be found in the supporting information.

Enzymatic resolution of rac-3-chloro-1-(thiophen-2-yl)propyl acetate (4)

During the fifth and sixth laboratory periods, briefly, rac-3-chloro-1-(thiophen-2-yl)propyl acetate (4) was enzymatic hydrolyzed in the presence of CAL B. (S)-3-chloro-1-(thiophen-2-yl)propyl acetate (4) and (R)-3-chloro-1-(thiophen-2-yl)propan-1-ol (3) were isolated by chromatography. Detailed experimental procedures may be found in the supporting information.

Hazards

All experiments should be performed in an efficient fume cupboard; eye protection, gloves and a laboratory coat must be worn. Any eye or skin contact, inhalation, or ingestion should be avoided for all chemicals.

Aluminum chloride and sodium borohydride are highly corrosive in contact with skin, in contact with eyes causes serious damages and they react violently with water. Chloropropionyl chloride is highly corrosive in contact with skin, in contact with eyes causes serious damages. Thiophene is flammable and highly corrosive in contact with skin, in contact with eyes causes serious damages. Diethylether, ethyl acetate and hexane are flammable, skin and eye irritant. n-hexane is a neurotoxin. Ethanol is flammable. Dichloromethane in contact with skin and eyes causes irritation has shown limited evidence as a carcinogen. Pyridin is harmful. Acetic anhydride causes burns. Breathing silica gel dust is hazardous. Deuterated chloroform is a cancer suspect agent and mutagen.

 

RESULTS AND DISCUSSION

The laboratory experiment described is suitable for upper-level undergraduate organic chemistry, medicinal chemistry and biocatalysis courses since includes the synthesis and enzymatic resolution of a drug precursor. Before conducting the experiments, students were introduced to the chemistry associated to each synthetic step by following the laboratory handout (please see supplementary information). Over the last two years, two students, working independently, completed the experiment and participated in an evaluation and assessment. Both students were able to perform the laboratory experiment with success.

The experiment was initiated by the preparative synthesis of 3-chloro-1-(thiophen-2-yl)propan-1-one (2) by Friedel-Crafts acylation (Scheme 1, step 1). Acylation of thiophene by 3-chloropropanoylchloride in the presence of stoichiometric amout of aluminum chloride as Lewis acid was performed by the students. Students successfully prepared ketone (2) in excellent yields (80-90%) and excellent purity with no need of complex chromatographic purification. Purification was accomplished only by a simple filtration through a bed of celite and charcoal. Since HCl is liberated from reaction mixture a trap for the acid neutralization need to be coupled to the reaction (see supplemental material, Figure 6S). Additionally, in order to obtain good yields it is recommended to perform the reaction with dry solvents under inert atmosphere. From the second laboratory period, students performed the ketone reduction (2) with sodium borohydride at low temperature (0-5 ºC) to give the secondary alcohol 3-chloro-1-(2-thienyl)-1-propanol (3) (Scheme 1, step 2). Under these reaction conditions the students observed by NMR that the reaction proceeded via the formation of a secondary product (5) in 10-20% yield (Scheme 3). In the third and fourth laboratory period, students performed the esterification of the compounds mixture and their separation by chromatography column. The esterification was performed using acetic anhydride in the presence of pyridine as a weak basic catalyst. The reaction was refluxed in diethylether for 2 h (Scheme 1, step 3). The product (4) was efficiently purified by silica column and isolated in 60-72% yield and very good purity.

In the fifth laboratory period, the enzymatic hydrolysis of rac-3-chloro-1-(thiophen-2-yl)propyl acetate (4) was performed by the students in phosphate buffer pH 7.2 in the presence of lipase B from Candida antarctica (CAL B) at 35 ºC for 2 days. This enzyme has the advantage to be available in an immobilized form under the trademark Novozym 435®, allowing a simple handling and reuse.

The reaction outcome was analyzed using GC to determine the extent of enzymatic reaction in terms of enantiomeric excess and conversion. From the GC results students were able to calculate enantiomeric excesses and reaction conversion (see supplemental material, Figure 5S) The resolution proceeded with a conversion of 32-37%, 45-56% ee for (S)-5 and 90-95% ee for the (R)-3. In the sixth laboratory period, (R)-3 was isolated and purified by chromatographic column in 10-19% yield.

 

CONCLUSION

The findings from the current experiment demonstrate that biocatalysis serve as an effective tool for enhancing organic chemistry learning. This experiment demonstrated the application of chemo-enzymatic reactions on the synthesis of important chiral building blocks used on the preparation of antidepressive drugs. Additionally, the novelty and practical applicability of this experiment were crucial to captivate and engage students' attention. At the same time, students had the opportunity to learn with their own experiments and understand the chemistry involved in each reaction. At the end, the students were able to execute most of the chemical procedures with success.

 

SUPPLEMENTARY MATERIAL

Detailed experimental procedures, notes for the instructor, copies of spectral data, copies of GC chromatogram and pictures of some apparatus used in the laboratory are available.

 

ACKNOWLEDGMENTS

We thank Fundação para a Ciência e Tecnologia (POCI 2010) and FEDER (PTDC/QUI-QUI/119210/2010, SFRH/BPD/41175/2007) for the financial support and also Novozymes for the generous enzyme supply. Instituto de Biotecnologia e Bioengenharia is funded by grant PEst - OE/EQB/LA0023/2011 from FCT/MCTES. Portuguese NMR Network (IST-UTL Center) for providing access to the NMR facility.

 

REFERENCES

1. Solano, D. M.; Hoyos, P.; Hernaiz, M. J.; Alcantara, A. R.; Sanchez-Montero, J. M.; Bioresour. Technol. 2012, 115, 196. DOI: http://dx.doi.org/10.1016/j.biortech.2011.11.131

2. Nestl, B. M.; Nebel, B. A.; Hauer, B.; Curr. Opin. Chem. Biol.2011, 15, 187. DOI: http://dx.doi.org/10.1016/j.cbpa.2010.11.019 PMID: 21195018

3. Hudlicky, T.; Reed, J. W.; Chem. Soc. Rev.2009, 38, 3117. DOI: http://dx.doi.org/10.1039/b901172m PMID: 19847346

4. Monteiro, C. M.; Afonso, C. A. M.; Lourenço, N. M. T.; J. Chem. Educ.2010, 87, 423. DOI: http://dx.doi.org/10.1021/ed800119m

5. Stetca, D.; Arends, I. W. C. E.; Hanefeld, U.; J. Chem. Educ.2002, 79, 1351. DOI: http://dx.doi.org/10.1021/ed079p1351

6. Lee, M.; J. Chem. Educ.1998, 75, 217. DOI: http://dx.doi.org/10.1021/ed075p217

7. Drouin, J.; Costante, J.; Guibe-Jampel, E.; J. Chem. Educ.1997, 74, 992. DOI: http://dx.doi.org/10.1021/ed074p992

8. Rebolledo, F.; Liz, R.; J. Chem. Educ.2005, 82, 930. DOI: http://dx.doi.org/10.1021/ed082p930

9. Cashman, J. R.; Ghirmai, S.; Bioorg. Med. Chem.2009, 17, 6890. DOI: http://dx.doi.org/10.1016/j.bmc.2009.08.025 PMID: 19740668

10. Suthrapu, S.; Sripathi, S.; Veeramalla, R.; Bojja, R. R.; Kamati, V. R.; Org.Process. Res. Dev.2009, 13, 854. DOI: http://dx.doi.org/10.1021/op800289h

11. Majer, J.; Kwiatkowski, P.; Jurczak, J.; Org. Lett.2009, 11, 4636. DOI: http://dx.doi.org/10.1021/ol901906r PMID: 19764789

12. Liu, H. L.; Hoff, B. H.; Anthonsen, T.; Chirality2000, 12, 26. DOI: http://dx.doi.org/10.1002/(SICI)1520-636X(2000)12:1<26::AID-CHIR5>3.0.CO;2-Z PMID: 10602263

13. Sturmer, R.; US pat.10 587,4402007.

On-line version ISSN 1678-7064 Printed version ISSN 0100-4042
Qu�mica Nova
Publica��es da Sociedade Brasileira de Qu�mica
Caixa Postal: 26037 05513-970 S�o Paulo - SP
Tel/Fax: +55.11.3032.2299/+55.11.3814.3602
Free access

GN1