JBCS



15:06, sáb out 25

Acesso Aberto/TP



Geral

Comentário sobre o artigo: "modificação do polímero condutor polianilina para uso como trocador catiônico"


São Carlos, 24 de outubro de 2014

Prezados Editores da Química Nova,

Em artigo recém aceito para publicação neste periódico, Zornitta et al.1 apresentaram a avaliação da troca iônica associada aos processos redox em polianilina modificada com o ânion p-toluenosulfonato, com o objetivo de aumentar as características de troca de cátions com vistas à remoção de íons Cu2+.

Desde a sua descoberta,2 polímeros condutores eletrônicos vêm sendo considerados em diversas aplicações. Dadas as especificidades de cada aproveitamento em particular, diversos tipos de modificação dos polímeros originais, viz. polianilina, polipirrol, politiofeno, etc., têm sido propostos. Uma classe em particular de polímeros modificados consiste dos chamados polímeros auto-dopados.3 Os autores deste comentário trabalharam há alguns anos com diferentes polianilinas auto-dopadas com o objetivo de investigar o efeito da estrutura dopante nas propriedades de troca iônica desses materiais. Especificamente, a motivação era a potencial utilização desses materiais em cátodos de baterias secundárias de íons-lítio. Dessa forma, o dopante incluído na polianilina favoreceria a troca de cátions, em detrimento à de ânions, da mesma maneira que pretendido no artigo mencionado.

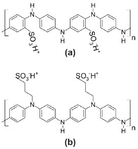
A Figura 1 ilustra dois exemplos de polianilinas modificadas: (a) polianilina sulfonada (SPAN) e (b) poli-(anilina-co-N-ácido propanosulfônico-anilina) (PAPSAH). O mecanismo de compensação de cargas nesses polímeros foi estudado por meio da microbalança eletroquímica a cristal de quartzo4 em meios aquoso e orgânico há alguns anos.5-9

 


Figura 1. Estruturas de polianilinas auto-dopadas, (a) polianilina sulfonada (SPAN) e (b) poli-(anilina-co-N-ácido propanosulfônico-anilina) (PAPSAH)

 

Não obstante os resultados interessantes relatados, resta aparente ao longo do texto que os autores não consideraram essa literatura relativamente antiga. De fato, os autores afirmam "Até onde sabemos, não são encontrados na literatura trabalhos relatando o uso da polianilina como trocador iônico em um processo de sorção catiônica semelhante ao ilustrado na Figura 1".1 Na figura em questão, os autores descrevem o efeito do ânion p-toluenosulfonato na compensação de cargas, enfatizando a troca de cátions, em detrimento à de ânions, como amplamente discutido nas referências citadas anteriormente.

Acreditamos que a inclusão desses trabalhos prévios na discussão dos resultados apresentados por Zornitta et al.1 em muito contribuiria para o artigo, além de fazer justiça aos trabalhos anteriores desenvolvidos nessa direção.

Atenciosamente,

Hamilton Varelaa e Roberto M. Torresib

aInstituto de Química de Sao Carlos, Universidade de Sao Paulo, CP 780, CEP 13560-970, Sao Carlos - SP, Brasil
bInstituto de Química, Universidade de Sao Paulo, Sao Paulo - SP, Brasil

 

REFERÊNCIAS

1. Zornitta, R. L.; Pincelli, G.; Ruotolo, L. A. M.; Quím. Nova 2014, no prelo. DOI: http://dx.doi.org/10.5935/0100-4042.20140227

2. Mattoso, L. H. C.; Quím. Nova 1996, 19, 388.

3. Freund, M. S.; Deore, B. A.; Self-Doped Conducting Polymers, 2007 John Wiley & Sons, Ltd, Chichester, 2007.

4. Varela, H.; Malta, M.; Torresi, R. M.; Quím. Nova 2000, 23, 664. DOI: http://dx.doi.org/10.1590/S0100-40422000000500016

5. Varela, H.; Torresi, R. M.; J. Electrochem. Soc. 2000, 147, 665. DOI: http://dx.doi.org/10.1149/1.1393250

6. Varela, H.; Torresi, R. M.; Buttry, D. A.; J. Electrochem. Soc. 2000, 147, 4217. DOI: http://dx.doi.org/10.1149/1.1394044

7. Varela, H.; Torresi, R. M.; Buttry, D. A.; J. Braz. Chem. Soc. 2000, 11, 32. DOI: http://dx.doi.org/10.1590/S0103-50532000000100007

8. Mello, R. M. Q.; Torresi, R. M.; Córdoba de Torresi, S. I.; Ticianelli, E. A.; Langmuir 2000, 16, 7835. DOI: http://dx.doi.org/10.1021/la000391v

9. Varela, H.; Maranhao, S. L. A.; Mello, R. M. Q.; Ticianelli, E. A.; Torresi, R. M.; Synthetic Metals 2001, 122, 321. DOI: http://dx.doi.org/10.1016/S0379-6779(00)00359-3

On-line version ISSN 1678-7064 Printed version ISSN 0100-4042
Qu�mica Nova
Publica��es da Sociedade Brasileira de Qu�mica
Caixa Postal: 26037 05513-970 S�o Paulo - SP
Tel/Fax: +55.11.3032.2299/+55.11.3814.3602
Free access

GN1