JBCS



14:55, sáb out 25

Acesso Aberto/TP



Artigo


Flavonoides de Piper glandulosissimum Yuncker (Piperaceae)
Flavonoids from Piper glandulosissimum Yuncker (Piperaceae)

Fabiano Pereira SantosI; Harley da Silva AlvesII,*; Edeltrudes de Oliveira LimaIII; Maria Célia de Oliveira ChavesIII

IDepartment of Health Sciences, University of Quebec, QC J9X 5E4, Rouyn-Noranda, Canada
IIDepartamento de Farmácia, Universidade Estadual da Paraíba, 58429-500 Campina Grande - PB, Brasil
IIICentro de Biotecnologia, Universidade Federal da Paraíba, CP 5009, 58051-970 João Pessoa - PB, Brasil

Recebido em 26/03/2014
Aceito em 23/10/2014
Publicado na web em 12/12/2014

Endereço para correspondência

*e-mail: harley.alves@hotmail.com

RESUMO

Three flavanones, two chalcones and one dihydrochalcone were isolated from the branches of Piper glandulosissimum. All isolated compounds were characterized based on IR, UV, 1H and 13C NMR, including 2D NMR analyses (HMQC, HMBC, COSY and NOESY) and comparison with the literature. The compound 7-hydroxy-5,8-dimethoxyflavanone displayed antimicrobial activity against Staphylococcus aureus, S. epidermidis, Trichophyton mentagrophytes and Microsporum canis.

Palavras-chave: Piper glandulosissimum; Piperaceae; 7-hydroxy-5,8-dimethoxyflavanone.

INTRODUÇÃO

O gênero Piper pertence à família Piperaceae e é composto por 1000 espécies. Compreende ervas, arbustos e pequenas árvores distribuídas nas regiões tropicais e subtropicais do globo.1 Várias espécies de Piper são utilizadas na medicina popular como analgésicas, anti-inflamatórias e para o tratamento de picadas de cobra.2 Uma variedade de compostos tem sido isolada de espécies de Piper, incluindo amidas, lignanas, neolignanas, hidroquinonas, alcaloides, terpenos, derivados do ácido benzóico e aristolactamas. Frequentemente observa-se o isolamento de flavonoides, representados por flavonas, di-hidrochalconas, chalconas e flavanonas.3-5

Piper glandulosissimum Yuncker (Piperaceae) é um arbusto nativo do Norte do Brasil,6 utilizado na medicina tradicional como anti-inflamatório. Testes realizados com o seu extrato hidroalcóolico revelaram uma elevada atividade antioxidante devido à presença de polifenóis.7 Foram realizados também testes de atividade antimicrobiana do seu extrato aquoso, contudo, não foi evidenciada nenhuma atividade.8 Existem poucos estudos fitoquímicos relacionados à espécie, podendo ser enfatizados a obtenção de óleos essenciais9 e a identificação de flavonóis, flavanóis e ácido hidroxicinâmico por CLAE.8

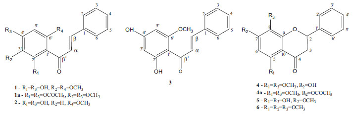
Durante os nossos estudos de espécies de Piperaceae do Norte e Nordeste brasileiro foram isolados alguns compostos químicos, tais como: flavonoides,10 amidas11 e aristolactamas.12 Neste trabalho descrevemos o isolamento e a identificação estrutural de 2',4'-di-hidroxi-3',6'-dimetoxichalcona (1), 2',4'-di-hidroxi-6'-metoxichalcona (2), 2',4'-di-hidroxi-6'-metoxidi-hidrochalcona (3), 7-hidroxi-5,8-dimetoxiflavanona (4), 5,8-di-hidroxi-7-metoxiflavanona (5) e 5,7,8-trimetoxiflavanona (6). As estruturas dos compostos foram determinadas pelas análises dos espectros de UV, IV e RMN de 1H e 13C, incluindo técnicas de RMN bidimensionais, além de comparações com dados descritos da literatura.

 

PARTE EXPERIMENTAL

Métodos gerais

Nas colunas cromatográficas foi utilizada como fase fixa Sephadex LH-20 (Merck) e gel de sílica 60 (MERCK - 0,063-0,200 mm e 0,2-0,5 mm), que também foi usada para a confecção de placas cromatográficas em camada delgada analítica e preparativa. Os compostos foram visualizados usando luz UV (λmax 254 e 366 nm). Espectros no IV foram obtidos em aparelho Perkin-Elmer (FT-IR-1750) utilizando pastilha de KBr. A análise espectroscópica na região do ultravioleta (UV) foi realizada em aparelho Vankel, modelo Vankel-50 UV-Vis, utilizando-se CH3OH e os seguintes reagentes de deslocamento: acetato de sódio (NaOAc) anidro P.A., solução de cloreto de alumínio (AlCl3) anidro P.A. em metanol e solução de ácido clorídrico (HCl) P.A. em água destilada (50% V:V).13 Os espectros uni e bidimensionais de RMN foram registrados em espectrômetros da Varian mod. MERCURY operando a 200 e 500 MHz (1H) e 50 MHz e 125 MHz (13C) e Bruker mod. AC operando a 300 (1H) e 75 MHz (13C). Os deslocamentos químicos foram relatados em ppm tendo como referência interna o TMS. Foram empregados os seguintes solventes: acetona-d6, CDCl3, CD3OD e DMSO-d6.

As reações de acetilação foram realizadas com o uso de anidrido acético e piridina, obedecendo a proporção de 0,5 mL de anidrido acético e 1 mL de piridina para cada 100 mg de composto a reagir. O progresso das reações foi monitorado por CCDA. Após o término da reação, a mistura foi tratada com água destilada gelada até a formação de um precipitado, que foi filtrado e lavado com água destilada, dissolvido em CHCl3 e seco com Na2SO4. O solvente remanescente foi evaporado em evaporador rotativo.14

Material vegetal

As partes aéreas de Piper glandulosissimum Yuncker foram coletadas em maio de 2002 juntamente com a exsicata (número MG 165.227, Herbário João Murça Pires do Museu Paraense Emílio Goeldi - MPEG, Belém, PA) e identificada pela Dra. Elsie Guimarães.

Obtenção do extrato e isolamento dos compostos químicos

O material vegetal foi triturado em moinho com lâminas cortantes e o pó resultante (1.880 kg) foi exaustivamente extraído com etanol (6 x 2,5 L). Após a remoção do solvente em evaporador rotativo obteve-se o extrato etanólico bruto (180 g). Uma parte deste extrato (90 g) foi dissolvida em uma solução de CH3OH:H2O (7:3) na proporção de 1:5 e particionado em solventes de polaridade crescente fornecendo as fases hexânica (4,5 g), clorofórmica (26 g), acetato de etila (30 g) e CH3OH:H2O (6 g). Alíquota de 1,4 g da fase hexânica foi submetida à cromatografia em coluna com gel de sílica utilizando-se como fase móvel hexano e clorofórmio em misturas binárias e gradiente crescente de polaridade, fornecendo 26 frações. As frações 18-21 (0,145 g) foram reunidas e submetidas a coluna com Sephadex LH-20 utilizando como fase móvel CHCl3: CH3OH (1:1), obtendo-se, após recristalização em acetona, o composto 3 (0,015 g). Alíquota de 15 g da fase clorofórmica foi submetida à cromatografia em coluna usando gel de sílica e os solventes hexano, AcOEt e CH3OH em gradiente crescente de polaridade, fornecendo 130 frações. As frações 10-11 (0,085 g), após recristalização em tetracloreto de carbono, forneceram 1 (0,020 g), que foi acetilado para a obtenção de 1a. A CCDP da fração 14 (0,067g), usando-se como eluente CHCl3, resultou no isolamento de 2 (0,015 g). Da fração 76 (1,5 g), após recristalização com benzeno, obteve-se 70 mg de 4, acetilado para a obtenção de 4a. As frações 80-82 (0,195 g), após eluídas em coluna utilizando como fase móvel clorofórmio e acetato de etila em grau crescente de polaridade, forneceram 3 frações (80-82A, 80-82B, 80-82C). Cromatoplacas preparativas das frações 80-82B (0,035 g) e 80-82C (0,017 g) resultaram no isolamento de 5 (0,006 g) e de 6 (0,004 g), respectivamente.

2',4'-di-hidroxi-3',6'-dimetoxichalcona (1) cristais avermelhados, P.F.=144-146 ºC (lit. 124-125 ºC), RMN de 1H e 13C (300 e 75 MHz, acetona-d6), (Tabela 1).

 

 

2',4'-diacetoxi-3',6'-dimetoxichalcona (1a), RMN de 1H e 13C (200 e 50 MHz, CDCl3), (Tabela 1).

2',4'-di-hidroxi-6'-metoxichalcona (2) cristais vermelhos, P.F.=163-165 ºC (lit. 193-196 ºC), RMN de 1H e 13C (200 e 50 MHz, CDCl3), (Tabela 2).

 

 

2',4'-di-hidroxi-6'-metoxidi-hidrochalcona (3) cristais amarelos, P.F.=174-176 ºC (lit. 185-187 ºC), RMN de 1H e 13C (500 e 125 MHz, CD3OD), (Tabela 2).

7-hidroxi-5,8-dimetoxiflavanona (4) cristais amarelos, P.F. = 158,5-160,5 ºC (lit.190-192 ºC), RMN de 1H e 13C (300 e 75 MHz, acetona-d6), (Tabela 3).

 

 

7-acetoxi-5,8-dimetoxiflavanova (4a), RMN de 1H e 13C (200 e 50 MHz, CDCl3).

5,8-di-hidroxi-7-metoxiflavanona (5) cristais amarelos, P.F. = 216-218 ºC (lit. 220-225 ºC), RMN de 1H e 13C (300 e 75 MHz, DMSO-d6), (Tabela 3).

5,7,8-trimetoxiflavanona (6) cristais amarelos, P.F. = 160-162 ºC (154-156 ºC), RMN de 1H e 13C (300 e 75 MHz, CDCl3), (Tabela 3).

Avaliação da atividade antimicrobiana

O método usado foi a técnica de difusão em meio sólido.15 Em placas estéreis foi depositado 1 mL de cada cepa de microrganismo em suspensão em soro fisiológico, padronizada pelo tubo 0,5 da escala de McFarland e ajustada para 90% T (530 nm), correspondendo aproximadamente a 106 UFC. Em seguida, adicionou-se 21 mL do meio sólido fundido a 50 ºC. Quando solidificado, foram feitas no meio de cultura cavidades de 6 X 8 mm de diâmetro. Após essa etapa, foram depositados 50 µL do composto 4 solubilizado em DMSO em diferentes concentrações. Os controles foram realizados com cloranfenicol para bactérias e cetoconazol para fungos. Os ensaios foram incubados a 24-48 h para bactérias e leveduras a temperatura ambiente (28-30 ºC) e durante 10-14 dias para fungos filamentosos.16 A atividade biológica do produto foi considerada positiva quando o halo de inibição de crescimento foi igual ou superior a 8 mm de diâmentro.17 Para os ensaios de avaliação da atividade antimicrobiana foram utilizados os seguintes microrganismos: Staphylococcus aureus - ATCC 6528, Staphylococcus epidermidis - ATCC 12.228, Pseudomonas aeruginosa - LM B6, Escherichia coli - B 04, Candida albicans - LM 32, Candida tropicalis - LM 25, Candida knisei - LM 07, Candida guilliermondii - LM 16, Trichophyton rubrum - LM 75, Trichophyton mentagrophytes - LM 06, Microsporum caniis - LM 828, Aspergillus flavus - LM 27, Penicillium - LM 131 e Fusarium - LM 135.

 

RESULTADOS E DISCUSSÃO

O espectro no IV de 1max., KBr, cm-1) mostrou banda de absorção forte em 3.511 cm-1 com ombro em 3.458 cm-1, sugerindo a presença de hidroxilas livre e quelada, bandas fracas entre 3.081-3.028 cm-1 e 2.992-2.832 cm-1, características de deformação axial de C-H olefínicos e de estiramento C-H de grupos metílicos e metínicos, além de bandas intensas entre 1.601 cm-1 - 1.434 cm-1 e em 1632 cm-1, sugestivas de deformação axial C=C de anel aromático e de grupamento carbonílico na molécula.18

O espectro de RMN de 1H (acetona-d6, 300 MHz) de 1 mostrou sinais característicos de hidroxila quelada (δH 14,40), de grupamento carbonílico α, β insaturado {δH: 8,03 (d, J=15,6 Hz) e 7,78 (d, J=15,6 Hz)], este corroborado pela presença de um sinal em δC 193,79 no espectro de RMN 13C (técnica BB), de anel aromático monossubstítuido [δH 7,74-7,70 (m, 2H); δH 7,49-7,42 (m, 3H)] e pentassubstítuido [δH 9,17 (sl, 1H); δH 6,13 (s, 1H); δH 3,98 (s, 3H); δH 3,76 (s, 3H) e δH 14,40 (s, 1H)] e permitiu atribuir δH: 14,40; 8,03; 7,78; 7,74-7,70; 7,49-7,42 e 3,76, respectivamente, para as posições 2', β, α, 2/6, 3/4/5 e OCH3-3', a última definida pelas correlações δH 14,40/δC 130,07; δC 106,69; δC 160,89 e δH 3,76/130,07, encontradas no experimento HMBC, que também definiu os sinais em δC: 160,89 e 106,69 para C-2' e C-1', respectivamente. O deslocamento químico de OCH3-3' (δC 60,69) permitiu propor a presença de substituinte na posição 4'; tal dado, ao lado das correlações cruzadas entre o sinal em δH 6,13 com δC: 130,07; 106,69; 159,84 e 158,14, definiu δH 6,13 para H-5', originando as possibilidades estruturais A (OH-4' e OCH3-6') e B (OH-6' e OCH3-4')

Preparação do derivado acetilado de 1 (1a) mostrou, no espectro 1H x 1H NOESY (CDCl3, 200 MHz), correlação entre δH 2,34 (s, 3H, CH3) e δH 6,62 (s, 1H, H-5' ) e permitiu sugerir δH 2,34 para a metila da acetoxila na posição 4' ou 6'. Tal dado aliado ao sinal da correlação entre δH 2,34 e δH 3,75 (OCH3-3') sugeriu substituinte OH [δH 9,17(sl, 1H)] em C-4' (A), proposta corroborada pelo espectro no UV de 1max., CH3OH), o qual mostrou um deslocamento batocrômico da banda I de 361 nm para 389 nm (após a adição de acetato de sódio) indicando a presença de uma chalcona10 com grupo OH livre na posição 4' do anel A19 e, consequentemente, o substituinte metoxílico em δH 3,98 para C-6' em 1.

Os demais sinais vistos no espectro de RMN de 13C de 1 (acetona-d6, 75 MHz) foram atribuídos com o auxílio dos espectros bidimensionais HMQC (300/75 MHz, acetona-d6) e HMBC (300/75 MHz, acetona-d6) (Tabela 1).

Análise conjunta dos dados extraídos dos espectros citados permitiu sugerir que 1 trata-se de: 2',4'-di-hidroxi-3',6'-dimetoxichalcona (Figura 1), já isolada de uma espécie da família Poligonaceae,20 mas pela primeira vez em Piperaceae. O derivado 1a é descrito pela primeira vez na família Piperaceae.

 


Figura 1. Compostos isolados e derivados obtidos das partes aéreas de P. glandulosissimum

 

O espectro de 2 no IV (νmax., KBr, cm-1) mostrou bandas de absorção em 3.433 cm-1, indicativa de grupamento hidroxila na molécula, entre 3.065 cm-1 e 2.851 cm-1, sugestivas de deformação axial de C-H de olefinas e de grupos metílicos e metínicos, e em 1.682 cm-1 e 1.125 cm-1 que apontaram para a presença de grupamento carbonílico e para deformação axial de C-O-C de alquilaril éter,21 respectivamente.

O espectro de UV (λmax., CH3OH) apresentou a banda I em 348 nm e um ombro em 310 nm. O uso de AlCl3/HCl provocou um deslocamento batocrômico da banda I para 375 nm, com magnitude de 27 nm em relação ao espectro em CH3OH e ainda fez emergir uma banda II em 310 nm, esta menos intensa que a primeira, o que é característico de chalconas.10

O espectro de RMN de 1H (CDCl3, 200 MHz) de 2, semelhante ao de 1, sugeriu que 2 difere de 1 apenas quanto a substituição do anel A. O sinal simples em δH 14,35, característico de hidroxila quelada em C-2', mostrou, no experimento bidimensional HMBC, correlações com os sinais em δC 167,10, 105,59 e 96,15 e foram atribuídas as posições 2', 1' e 3', respectivamente. O espectro HMQC (CDCl3, 200/50 MHz) mostrou correlação de δC 96,15 e δH 5,92 (d, J=2,0 Hz, 1H), o que permitiu atribuir este sinal a H-3' e, consequentemente, δH 5,88 (d, J=2,0 Hz, 1H) para a posição 5'. O singleto em δH 3,83 (3H), juntamente com a correlação mostrada no HMBC, de δH 5,88 com os sinais: δC 164,82 e δC 163,21, sugeriram a existência de mais dois carbonos oxigenados no anel A e permitiram definir C-6'e C-4' como as posições que sustentam metoxila (δH 3,83, s, 3H) e hidroxila, respectivamente, uma vez que a inversão dessas posições levaria a um único valor de deslocamento químico para os dois hidrogênios (H-3' e H-5') do anel A. Os demais carbonos da molécula foram atribuídos com o auxílio dos espectros 1H x 13C- HMQC e HMBC (Tabela 2).

Análise dos espectros de RMN 1H e 13C uni e bidimensionais, IV e UV, e comparações com modelos da literatura, permitiram sugerir que 2 seja 2',4'-di-hidroxi-6'-metoxichalcona (Figura 1), conhecida como cardamonina e já isolada de espécies de Piper,22 e de espécies de Fabaceae,23 Lauraceae24 e Pteridaceae.25

O espectro no IV de 3max., KBr, cm-1) apresentou bandas de absorção em: 3.292, 1.373, 1.653, sendo as duas primeiras típicas de deformação axial de O-H em ligação de hidrogênio intramolecular e deformação angular no plano de OH, respectivamente e a terceira da presença de carbonila em ligação de hidrogênio.14 Anel aromático foi inferido a partir de bandas observadas em 1.618 e 1.568 cm-1, referentes à deformação axial de C=C de anel aromático. Bandas intensas em 1.298 e 1.195 cm-1 foram atribuídas a estiramento e deformação de grupo C-O.

O espectro de UV de 3max., CH3OH e CH3OH + AlCl3) apresentou uma banda de absorção em 289 nm, além de um ombro em 332 nm, sugerindo núcleo flavonoídico tipo di-hidrochalcona.13 O uso de AlCl3 provocou deslocamento batocrômico das bandas II e I para 310 e 365 nm, respectivamente.

O espectro de RMN de 1H de 3 (CD3OD, 500 MHz), semelhante a 2, diferiu apenas quanto a ausência de sinais correspondentes a hidrogênios olefínicos α, β-carbonílicos, sugerindo a estrutura de uma di-hidrochalcona, que foi confirmada pela presença de dois tripletos em δH 3,28 (J=7,5 Hz, 2H) e δH 2,95 (J=7,5 Hz, 2H), vistos correlacionados no espectro bidimensional 1H x 1H - COSY. O experimento gHMBC mostrou as correlações: δH 3,28/δC 32,25; δC 143,22 e δC 205,83 e δH 2,95/δC 47,11; δC 143,22 e δC 205,83 que permitiram propor δH 3,28 e δH 2,95 para as posições α e β e atribuir δC 32,35; δC 47,11; δC 143,22 e δC 205,83 para os carbonos β, α, 1 e β', respectivamente. O espectro HMBC ainda apresentou as correlações: δH 5,98 (d, J=2,2 Hz, 1H)/δC: 166,60; 106,00; 165,08 e 97,13 e de δH 5,92 (d, J=2,2 Hz, 1H)/δC: 106,00 e 92,25, o que permitiu sugerir δH 5,98 e δH 5,92 para H-5' e H-3' e os sinais de carbono em δC: 166,60; 106,00; 165,08; 97,13 e 92,25 para as posições 4', 1', 6', 3' e 5', respectivamente. As correlações cruzadas δH 3,86 (s, 3H)/δC 165,08 e δH 3,86 (s, 3H)/δH 5,98 vistas, respectivamente, nos experimentos gHMBC e NOESY, corroboraram δH 3,86/δC 165,08 e δC 166,60 para as posições 6' e 4' e permitiram inferir δC 168,37 para C-2'. Os dados relatados e sumarizados na Tabela 2 permitem identificar 3 (Figura 1) como 2'-4'-di-hidroxi,6'-metoxidi-hidrochalcona, conhecida como uvangoletina26 e anteriormente descrita em algumas famílias, como Myrtaceae,27 Annonaceae,28 Piperaceae.29

O espectro no IV de 4 mostrou bandas em 3.552 cm-1, 3.473 cm-1 e 3.242 cm-1, atribuídas a grupos hidroxila e deformação axial de C-H de carbonos aromáticos. Absorções na região entre 2.983 cm-1 e 2.851 cm-1 são oriundas de estiramento C-H de grupos metílicos, metilênicos e metínicos. Bandas devidas à deformação axial de C=C aromáticos são visíveis na região entre 1.605 cm-1 e 1.429 cm-1 e em 1.647 cm-1 absorção de deformação axial de C=O. Bandas de deformação axial de C-O-C assimétrica e simétrica de alquilaril éteres foram observadas em 1.285 cm-1, 1.200 cm-1 e 1.114 cm-1, sugerindo a presença de função éter no composto.

O espectro no UV, em CH3OH, mostrou banda I em 324 nm e banda II em 288 nm, esta última de maior intensidade, o que sugere esqueleto de flavanona.13 A adição de acetato de sódio ao metanol provocou deslocamento batocrômico da banda II para 328 nm, numa magnitude de 40 nm, que sugeriu a presença de grupo 7-OH livre na molécula.

O espectro de RMN de 1H de 4 (acetona-d6, 300 MHz) mostrou sinais em δH 9,03 (sl, 1H), δH 3,79 (s, 3H) e δH 3,76 (s, 3H), característicos de hidroxila aromática não quelada e de duas metoxilas aromáticas, respectivamente, além de um sinal simples em δH 6,21 (1H), dois multipletos em δH 7,62-7,61 (m, 2H) e δH 7,59-7,36 (m, 3H) e três duplo dubletos em δH 5,55 (J=12,7 e 3,0 Hz, 1H); δH 2,97 (J=12,7 e 16,38 Hz, 1H) e δH 2,71 (J=16,38 e 3,0 Hz, 1H). A análise dos duplos dubletos, aliada às correlações observadas no experimento COSY entre δH 5,55/δH 2,71 e δH 2,97, sugeriram estes sinais para hidrogênios oxi-metínico (H-2) e metilênicos (H-3) de esqueleto flavanônico. Correlações vistas no HMQC entre δH 5,55/δC 80,16 e δH 2,97 e δH 2,71/δC 46,44 permitiram atribuir δC 80,16 e δC 46,44 a C-2 e C-3. Esses dados aliados à presença dos dois sinais múltiplos em δH 7,62-7,61 (2H) e δH 7,59-7,36 (3H) permitiram sugerir que o composto 4 trata-se de uma flavanona com anel B monossubstítuido e anel A pentassubstítuido com duas metoxilas e uma hidroxila.

As correlações vistas no espectro HMBC entre: δH 7,62-7,61/δC 80,16 permitiram a atribuição de δH 7,62-7,61/δC 127,14 para as posições 2'/6'; δH 2,71/ δC 188,12 e δH 2,97/δC 188,12 e 140,69 sugeriram δC 188,12 e 140,69 para C-4 e C-1', respectivamente. O sinal em δH 6.21 mostrou correlação direta, no espectro HMQC, com δC 94,02 e foi sugerido para H-6. No HMBC foram observadas as correlações: δH 6,21/δC 158,85; 106,55; 130,29 e 157,35; δH 3,76/δC 130,29; δH 3,79/δC 158,85, além das correlações δH 3,79/δC 56,22 e δH 3,76/δC 61,32, vistas no experimento HMQC, que permitiram sugerir δH 3,79/δC 56,22 e δH 3,76/δC 61,32, para as posições 5 e 8 e, consequentemente, δC: 130,29; 158,85 e 106,55 para C-8, C-5 e C-10 do anel A de 4. A posição da hidroxila em C-7 e, consequentemente, de δ 6,21 (s, 1H) para H-6 foi estabelecida a partir da análise do espectro HMBC que mostrou a correlação de δH 6,21/δC 106,55 (C-10) e δC 157,35 (C-7). Os espectros de 1H e 13C (200 e 50 MHz, CDCl3) do derivado acetilado 4a mostraram os sinais dos átomos de carbonos das metoxilas em δC 56,30 e δC 60,95, além do sinal da acetoxila em δC 149,29, confirmando as posições das metoxilas em 5 e 8 e a presença de grupo OH em C-7 de 4. O sumário dos dados extraídos dos espectros analisados encontra-se na Tabela 3 e permite propor que 4 trata-se de 7-hidroxi-5,8-dimetoxiflavanona30 (Figura 1), isolado pela primeira vez na família Piperaceae.

Os espectros de RMN 1H de 5 (DMSO, 300 MHz) e 6 (Acetona-d6, 300 MHz) mostraram sinais característicos de esqueleto flavanônico com anel B não substítuido, como em 4, diferindo apenas quanto ao padrão de substituição do anel A. O espectro de 5 apresentou quatro sinais simples em δH: 11,80 (1H); 8,18 (1H); 6,22 (1H) e 3,84 (3H), os dois primeiros sugestivos de substituintes hidroxílicos e o último de grupo metoxílico no anel A do esqueleto flavanônico. O sinal em δH 11,80 permitiu definir a presença de grupo OH-5; além disso, as correlações deste sinal com δC 92,58; δC 102,34 e δC 155,75; vistas no espectro HMBC (DMSO, 300 e 75 MHz), permitiram atribuí-los para C-6, C-10 e C-5 e, portanto, o sinal em δH 6,22 (s, 1H), que no experimento HMQC (DMSO, 300 e 75MHz) mostrou correlação com δC 92,58, para H-6. As posições de OCH3H 3,84, s, 3H) e OH (δH 8,18, s, 1H) foram definidas para C-7 e C-8 por meio das correlações: δH 6,22/δC 126,65 e 157,23; δH 3,84/δC 157,23 e de δH 8,18/δC 126,65, 157,23 e 148,02, vistas no experimento HMBC e, como consequência, δC 157,23; δC 126,65 e δC 148,02 foram definidos para os carbonos 7, 8 e 9, respectivamente. O espectro de RMN 1H de 6 apresentou quatro sinais em δH : 3,71 (s, 3H), 3,86 (s, 3H), 3,94 (s, 3H) e 6,40 (s, 1H), os três primeiros característicos de metoxílas em anel aromático, o que permitiu deduzir a presença de anel A pentasubstítuido; por outro lado, o espectro bidimensional HMBC (Acetona-d6, 300 e 75 MHz) mostrou correlações de δH 3,71/δC 131,98, δH 3,86/δC 158,74, δH 3,94/δC 159,72 e de δH 6,40/δC 159,72; 158,74; 131,98 e 107,16, que ao lado das correlações vistas no HMQC (Acetona-d6, 300 e 75 MHz): δH 3,71/δC 60,99, δH 3,86/δC 56,45, δH 3,94/δC 56,59 e δH 6,40/δC 91,25 permitiram sugerir os sinais δH 3,71/δC 60,99 para a posição 8 do anel aromático e os demais em δH 3,86 e δH 3,94 para as posições 7 e 5, respectivamente. A flavanona 5 já foi isolada das folhas de Uvaria scheffleri,31 mas não de Piperaceae, e a flavanona 6 (Figura 1) é descrita pela segunda vez no gênero Piper.32

Atividade antimicrobiana de 7-hidroxi-5,8-dimetoxiflavanona (4)

Os resultados para a atividade antimicrobiana são mostrados na Tabela 4. O composto 7-hidroxi-5,8-dimetoxiflavanona (4) mostrou atividade antibacteriana fraca contra Staphylococcus aureus e Staphylococcus epidermidis. De uma forma geral, o efeito antibacteriano dos flavonoides deve-se a presença de grupos fenólicos que apresentam afinidade para as proteínas e, por essa razão, atuam como inibidores de enzimas bacterianas, assim como interferem nas suas vias de síntese.33 Já a atividade antifúngica contra Trichophyton mentagrophytes e Microsporum canis mostrou-se bem mais promissora, com a formação de halos de inibição de 20 e 22 mm, respectivamente, valores de diâmetro próximos aos halos de inibição dos antifúngicos controle. Os flavonoides exibem uma ampla capacidade de inibir a germinação de esporos patogênicos em plantas.34 Estes compostos também têm a capacidade de formar complexos com proteínas solúveis presentes nas paredes das células fúngicas e, por isso, têm sido frequentemente propostos para combater infecções causadas por fungos no homem.35

 

 

Não houve inibição do crescimento para os demais microrganismos testados.

 

CONCLUSÃO

O estudo químico de Piper glandulosissimum Yuncker e o consequente isolamento desses compostos contribuem para uma maior compreensão da quimiossistemática do gênero Piper3 e da família Piperaceae. Este é um dos primeiros relatos de estudo químico desta espécie e os compostos isolados pertencem a um grupo de metabólitos secundários (flavonoides) que responde por cerca de 4% do montante de compostos isolados no gênero Piper. Em pesquisas anteriores com Piper montealegreanum10 e Piper carniconnectivum,10 duas espécies de Piper oriundas também da região Norte do Brasil, foram obtidos vários flavonoides, alguns deles com um ótimo potencial biológico. A continuação dos estudos químico-farmacológicos com espécies desse gênero tem se mostrado bastante promissora, pois além de novos compostos isolados na família, tem sido registradas atividades biológicas interessantes, como é o caso da atividade antifúngica obtida com o composto 7-hidroxi-5,8-dimetoxiflavanona (4).

 

AGRADECIMENTOS

Ao CNPq pelo suporte financeiro, à Dra. Maria das Graças B. Zoghbi (Museu Paraense Emílio Goeldi) pela coleta do material vegetal, à Dra. Elsie Guimarães pela identificação do material botânico, a Vicente Carlos Oliveira Costa e ao Prof. Edilberto Rocha Silveira pelos espectros de RMN.

 

REFERÊNCIAS

1. Marques, J. V.; Oliveira, A.; Raggi, L.; Young, M. C. M.; Kato, M. J.; J. Braz. Chem. Soc. 2010, 21, 1807. DOI: http://dx.doi.org/10.1590/S0103-50532010001000003

2. Di Stasi, L. C.; Oliveira, G. P.; Carvalhaes, M. A.; Queiroz Jr, M.; Tien, O. S.; Kakinami, S. H.; Reis, M. S.; Fitoterapia 2002, 73, 69; Giorgetti, M.; Negri, G.; Rodrigues, E.; J. Ethnopharmacol. 2007, 109, 338. DOI: http://dx.doi.org/10.1016/S0367-326X(01)00362-8 PMID: 11864767

3. Parmar, V.; Jain, S. C.; Bisht, K. S.; Jain, R.; Tanela, P.; Jha, A.; Tyagi, O. D.; Prasad, A. D.; Wengel, J.; Olsen, C. E.; Boll, P. M.; Phytochemistry 1997, 49, 597; DOI: http://dx.doi.org/10.1016/S0031-9422(97)00328-2

. Wu, Q-L.; Wang, S-P.; Tu, G. Z.; Feng, Y.; Yang, J. S.; Phytochemistry 1997, 44, 727; DOI: http://dx.doi.org/10.1016/S0031-9422(96)00585-7

. Yamaguchi, L. F.; Lago, J. H. G.; Tanikazi, T. M.; Mascio, P. D.; Kato, M. J.; Phytochemistry 2006, 67, 1838. DOI: http://dx.doi.org/10.1016/j.phytochem.2006.03.001 PMID: 16624353

6. http://floradobrasil.jbrj.gov.br/jabot/floradobrasil/FB24230, acessada em Junho 2014.

7. Lizcano, L. J.; Bakkali, F.; Ruiz-Larrea, M. B.; Ruiz-Sanz, J. I.; Food Chem. 2009, 119, 1566. DOI: http://dx.doi.org/10.1016/j.foodchem.2009.09.043

8. Lizcano, J. L.; Bernal, M. V.; Vicente, F.; Berrueta, L. A.; Gallo, B.; Martínez-Cañamero, M.; Ruiz-Larrea, M. B.; Ruiz-Sanz, J. I.; Int. J. Mol. Sci. 2012, 13, 5454. DOI: http://dx.doi.org/10.3390/ijms13055454 PMID: 22754307

9. Erade, E. H. A.; Zoghbi, M. das G. B.; J. Essent. Oil Res. 2007, 19, 401. DOI: http://dx.doi.org/10.1080/10412905.2007.9699935

10. Alves, H. S.; Souza, M. F. V.; Chaves, M. C. O.; J. Braz. Chem. Soc. 2011,22, 1610; Alves, H. S.; Oliveira, G. E.; Zoghbi, M. G.; Chaves, M. C. O.; Braz. J. Pharmacogn. 2010, 20, 160. DOI: http://dx.doi.org/10.1590/S0103-50532011000800026

11. Chaves, M. C. O.; da Cunha, E. V. L.; Gray, A. I.; Phytochemistry 1997, 44, 559; Chaves, M. C. O.; Santos, B. V. O.; Biochem. Syst. Ecol. 1999, 27, 113; Chaves, M. C. O.; Santos, B. V. O.; Oliveira, A. H.; Biochem. Syst. Ecol. 2003, 31, 1213. DOI: http://dx.doi.org/10.1016/S0031-9422(96)00503-1

12. Chaves, M. C. O.; Araújo Júnior, J. X.; da Cunha, E. V. L.; Gray, A. I.; Biochem. Syst. Ecol. 1999, 27, 325; Chaves, M. C. O.; Cardozo Júnior, E. L.; Pharm. Biol. 2003, 41, 216. DOI: http://dx.doi.org/10.1016/S0305-1978(98)00049-0

13. Mabry, T. J.; Markham, K. R.; Thomas, M. B.; The Systematic Identification of Flavonoids. Springer-Verlag: New York, 1970, 354 p.

14. Silva, T. M. S; Carvalho, M. G.; Braz-Filho, R.; Quim. Nova 2009,32, 1119. DOI: http://dx.doi.org/10.1590/S0100-40422009000100025

15. Bauer, A. W.; Kirby, W. M.; Sherris, J. C.; Tueck, M.; Am. J. Clin. Pathol. 1966, 45, 493. PMID: 5325707

16. Cleland, R.; Squires, E.; Antibiotics in Laboratory Medicine, 3th ed., Willians & Wilkins: Baltimore, 1991; Hadacek, F.; Greger, H.; Phytochem. Anal. 2000, 11, 137.

17. Catao, R. M. R.; Barbosa-Filho, J. M.; Gutierrez, S. J. C.; Lima, E. O.; Pereira, M. S. V.; Arruda, T. A.; Antunes, R. P. M. A.; Rev Bras. Anal. Clin. 2005, 37, 247.

18. Pavia, D. L.; Lampman, G. M.; Kriz, G. S.; Introduçao à espectroscopia, 4ª ed, Cengage Learning: Sao Paulo, 2010, 700 p.

19. Bohm, B. A.; Biochem. Syst. Ecol. 1999, 27, 755. DOI: http://dx.doi.org/10.1016/S0305-1978(98)00062-3

20. Maradufu, A.; Ouma, J. H.; Phytochemistry 1978, 14, 823. DOI: http://dx.doi.org/10.1016/S0031-9422(00)94251-1

21. Silverstein, R. M.; Bassler, G. C.; Morril, T. C.; Identificaçao espectrométrica de compostos orgânicos, 6ª ed., LTC Editora: Rio de Janeiro 2000, 460 p.

22. Terreaux, C.; Gupta, M. P.; Hostettmann, K.; Phytochemistry 1998, 49, 461. DOI: http://dx.doi.org/10.1016/S0031-9422(98)00197-6

23. Bohlmann, F.; Planta Med. 1984, 50, 271. DOI: http://dx.doi.org/10.1055/s-2007-969699 PMID: 17340312

24. Jakupovic, J.; Kuhnke, J.; Schuster, A.; Metwaaly, M. A.; Bohlmann, F.; Phytochemistry 1986, 25, 1133. DOI: http://dx.doi.org/10.1016/S0031-9422(00)81569-1

25. Jaipetch, T.; Aust. J. Chem. 1982, 35, 351. DOI: http://dx.doi.org/10.1071/CH9820351

26. Cheenpracha, S.; Karalai, C.; Ponglimanont, C.; Subhadhirasakul, S.; Tewtrakul, S.; Bioorg. Med. Chem. 2006, 14, 1710. DOI: http://dx.doi.org/10.1016/j.bmc.2005.10.019 PMID: 16263298

27. Kuo, Y. C.; Yang, L. M.; Lin, L. C.; Planta Med. 2004, 70, 1237. DOI: http://dx.doi.org/10.1055/s-2004-835859 PMID: 15643565

28. Ichimaru, M.,; Nakatani, N.; Takanashi, T.; Nishiyama, Y.; Moriyasu, M.; Kato, A.; Mathenge, S. G.; Juma, F. D.; Nganga, J. N.; Chem. Pharm. Bull. 2004, 52, 138. DOI: http://dx.doi.org/10.1248/cpb.52.138 PMID: 14709883

29. Isobe, T.; Ohsaki, A.; Nagata, K.; J. Pharm. Soc. Jpn. 2002, 122, 291 (CA 137:291662)

30. Lopez, S. N.; Sierra, M. G.; Gattuso, S. J.; Furlan, R. L.; Zacchino, S. A.; Phytochemistry, 2006, 67, 2152 ; Bratoeff, E. A.; Perez-Amador, M. C.; Phyton 1994, 55, 71. DOI: http://dx.doi.org/10.1016/j.phytochem.2006.06.018 PMID: 16884749

31. Moshi, M.; Joseph, C.; Innocent, E.; Pharm. Biol. 2004, 42, 269. DOI: http://dx.doi.org/10.1080/13880200490511035

32. Vieira, P.; De Alvarenga, M. A.; Gottlieb, O. R.; Gottlieb, H. E.; Planta Med. 1980, 39, 153. DOI: http://dx.doi.org/10.1055/s-2008-1074918

33. Alcaráz, L. E.; Blanco, S. E.; Puig, O. N.; Tomás, F.; Ferreti, F. H.; J. Theor. Biol. 2000, 205, 231; Avila, P. H.; Smânia, E. F. A.; Monache, F. D.; Júnior, A. S.; Bioorg. Med. Chem. 2008, 16, 9790; Li, Y.; Luo, Y.; Hu, Y.; Zhu, D. D.; Zhang, S.; Liu, Z. J.; Gong, H. B.; Zhu, H. L; Bioorg. Med. Chem. 2012, 20, 4316. DOI: http://dx.doi.org/10.1006/jtbi.2000.2062 PMID: 10873434

34. Tiwari, V. K.; Opportunity, challenge and scope of Natural Products in Medicinal Chemistry. 1st ed., Research Signpost: Trivandrum, 2011, chap. 9.

35. Salas, P. M.; Céliz, G.; Geronazzo, H.; Daz, M.; Resnik, S. L.; Food Chem. 2011, 124, 1411. DOI: http://dx.doi.org/10.1016/j.foodchem.2010.07.100

On-line version ISSN 1678-7064 Printed version ISSN 0100-4042
Qu�mica Nova
Publica��es da Sociedade Brasileira de Qu�mica
Caixa Postal: 26037 05513-970 S�o Paulo - SP
Tel/Fax: +55.11.3032.2299/+55.11.3814.3602
Free access

GN1