JBCS



12:28, sáb out 25

Acesso Aberto/TP



Educação


Química verdadeiramente verde - propriedades químicas do cloro e sua ilustração por experimentos em escala miniaturizada
Truly green chemistry - chlorine's chemical properties and its presentation by experiments on a miniaturised scale

Martin Wallau*; Daniela Bianchini; Camila Porto Ebersol; José Augusto dos Santos Júnior; Thiago Marques Barboza

Centro de Ciências Químicas, Farmacêuticas e de Alimentos, Universidade Federal de Pelotas, CP 354, 96010-900 Pelotas - RS, Brasil

Recebido em 13/03/2014
Aceito em 23/10/2014
Publicado na web em 12/12/2014

Endereço para correspondência

*e-mail: martin_wallau@ufpel.edu.br

RESUMO

Chlorine, one of the most frequent elements on earth and most important key chemicals, is indispensable in the syllabi of school and university courses in Inorganic Chemistry. However, its toxicity and high volatility preclude experimental demonstration of its properties in secondary and high schools and most university labs. This paper summarises the industrial role of chlorine and presents miniaturised experiments demonstrating some of the processes used in Industrial Inorganic Chemistry. Furthermore, experiments illustrating important concepts of Inorganic Chemistry such as Ion Bonding and Molecular Orbital Theory are describe.

Palavras-chave: chlorine; demonstration experiments; miniaturised techniques.

INTRODUÇÃO

Propriedades físico-químicas e toxicológicas do cloro

A palavra grega χλωρός (verde-amarelo) deu o nome ao único elemento químico realmente verde, o elemento nº 17, o Cloro.1,2 Sua descoberta é atribuída ao químico sueco Scheele, que obteve o gás cloro (Cl2), ou cloro elementar, em 1774 pela oxidação de ácido clorídrico por pirolusita (MnO2). Porém, seu caráter como elemento químico foi descoberto por Davy somente em 1810, atribuindo-lhe seu nome atual. Este elemento não é somente o 11º mais abundante na crosta terrestre,1 mas também um dos mais reativos na Tabela Periódica. Suas propriedades físico-químicas1 e a sua classificação3 segundo o Sistema Globalmente Harmonizado de Classificação e Rotulagem de Produtos Químicos (GHS)4,5 são mostrados na Tabela 1.6,7

 

 

Cloro: A espinha dorsal da Indústria Química

Produção industrial de cloro

Atualmente, 97% do cloro gasoso são produzidos, junto com soda cáustica, pela eletrólise1,8 de soluções aquosas de cloreto de sódio que, minerado como sal gema ou obtido pela evaporação da água do mar, é uma matéria prima praticamente inesgotável. As primeiras celas eletrolíticas utilizando diafragmas de asbesto (Figura 1a)9 entraram em operação no início dos anos 90 do século XIX (Processo Diafragma).1 Nesse processo, a salmoura introduzida no compartimento anódico passa pelo diafragma, permeável às moléculas de água, aos ânions cloreto e aos cátions sódio, para o compartimento catódico. O cloro é produzido no ânodo e no compartimento catódico se forma a soda cáustica que é removida da cela eletrolítica. A vantagem do processo diafragma é a possibilidade de usar soluções salinas de menor pureza, mas por outro lado, a permeabilidade do diafragma para os ânions cloreto que permanecem parcialmente no compartimento catódico resulta na produção de soda cáustica de baixa pureza. Soda cáustica de maior pureza é obtida pelo Processo Amálgama, (Figura 1b),10 que se tornou1 o mais importante processo para produção de gás cloro na Europa a partir de 1895.1,8,11 Na cela eletrolítica, que é alimentada com a salmoura, o gás cloro se desenvolve no ânodo enquanto o sódio forma uma amálgama com o mercúrio que constitui o cátodo. Esta amálgama é continuamente bombeada para o decompositor, no qual a amálgama reage com água formando soda cáustica com uma concentração de até 50% e gás hidrogênio, enquanto o mercúrio é reconduzido à cela eletrolítica. O impacto ambiental causado pelo uso de asbesto ou de mercúrio é um dos fatores responsáveis pela substituição desses processos pelo Processo Membrana (Figura 1c),12 no qual os compartimentos anódicos e catódicos são separados por uma Membrana de Nafion® ou Flemion® (polietilenos perfluorados) impermeáveis para os ânions cloreto.8 Assim, o gás cloro é gerado no compartimento anódico, que é continuamente alimentado com salmoura enriquecida, enquanto a soda cáustica se forma no compartimento catódico, que é continuamente alimentado com uma solução de NaOH diluída. Em comparação aos Processos Amálgama e Diafragma, o Processo Membrana necessita de 30% menos energia,12 um fator importante para viabilizar economicamente a produção, e para a proteção ambiental, considerando-se que a energia consumida na produção de 1 kg de gás cloro equivale a 1,5 kg de CO2.13 Recentemente, o Processo Membrana foi modificado pelo uso de cátodos despolarizados de oxigênio (OCD = oxygen depolarized cathodes; em Alemão SVK = Sauerstoffverzehrkathode; Figura 1d).12,14 Pela adição de oxigênio ao cátodo da cela eletrolítica (Figura 1d) se diminui a tensão da cela eletrolítica de aproximadamente 3 V para 2 V,12 permitindo assim uma economia de mais 30% de energia em relação ao Processo Membrana e evitando também a formação de gás hidrogênio como subproduto da eletrólise, o qual pode ser utilizado apenas parcialmente nas plantas para sínteses químicas12 ou como combustível para geração de energia.12 No Brasil, por exemplo, o aproveitamento de hidrogênio gerado nos processos cloro-álcali variou de 89,1 a 84,8% entre os anos de 2002 e 2012.15 Atualmente, plantas utilizando cátodos despolarizados de oxigênio, que podem melhorar o balanço ecológico e econômico do processo cloro-álcali, já estão disponíveis comercialmente.16 Apresentações animadas das três principais tecnologias de produção de gás cloro podem ser encontradas na página da Associação da Indústria Brasileira de Álcalis, Cloro e Derivados (ABICLOR).17

 


Figura 1. Celas eletrolíticas para produção de gás cloro e hidróxido de sódio: (a) Processo Diafragma,9 (b) Processo Amálgama,10 (c) Processo Membrana (adaptada de ref. 11 com permissão de Wiley-VCH), (d) Processo Membrana com cátodo despolarizado de oxigênio (SVK) (adaptada de ref. 11 com permissão de Wiley-VCH)

 

A Figura 2 mostra a participação dos diversos processos eletrolíticos na produção mundial,8 europeia8,18 e brasileira de gás cloro.15 Os dados indicam para o Brasil a predominância do Processo Diafragma e o declínio mundial do Processo Amálgama, o qual também no Brasil está sendo substituído pelo Processo Membrana, que atualmente é responsável por mais de 60% da produção mundial de gás cloro.12 Os dados mostrados para a Europa não atingem 100%, uma vez que aqui outros processos, como a oxidação ou eletrólise de HCl, contribuem em até 3% para a produção de gás cloro.1,18

 


Figura 2. Participação percentual dos processos eletrolíticos na produção mundial (1980, 1990, 2010),8 europeia (1995,8 201318) e brasileira (2004, 2007, 2010, 2013)15 de gás cloro

 

Depois da diminuição da produção de gás cloro nos anos 80 do século passado,8,11 ela voltou a crescer mundialmente8 a partir de 1993 de forma sustentável, atingindo em 2008 uma produção mundial de 68 Mt,13 o que corresponde a um crescimento de aproximadamente 92% entre 199111 e 2008,13 sendo o Brasil responsável por aproximadamente 1,8% da produção mundial. A Figura 3 mostra o consumo de gás cloro nas diversas regiões do mundo em 199011 e 2012,19 indicando uma diminuição significativa do consumo na America do Norte, Europa e nos estados da antiga União Soviética (CES & Bálticos). Enquanto em 1990 essas três regiões eram responsáveis por mais de 70% do consumo de gás cloro, sua participação no consumo mundial caiu ate 2012 quase pela metade. Por outro lado se observa na Ásia, principalmente no Nordeste (Japão, Coreia e China) um crescimento significativo do consumo de gás cloro, e em 2012 estes países eram responsáveis por quase 50% do consumo mundial de gás cloro.19 Um crescimento significativo também se observou na África e no Oriente Médio, onde o consumo de gás cloro mais que dobrou de 1,1 Mt em 199011 para 2,5 Mt em 2012.19 Na America do Sul, cujo principal produtor e consumidor de gás cloro é o Brasil,11 observou-se somente um leve aumento do consumo de 1,5 Mt em 199011 para 1,9 Mt em 2012.19

 


Figura 3. Consumo regional de gás cloro em 199011 e 201219

 

Aplicação de cloro na indústria química

Estima-se que 70% de todos os produtos químicos8 e 85% dos produtos farmacêuticos15 contêm cloro ou são fabricados usando reagentes contendo cloro em pelo menos um estágio da síntese. Como mostra a Figura 4, aproximadamente 57% do cloro gasoso produzido no Brasil é utilizado na produção de dicloroetano (DCE) e óxido de propeno, os quais são utilizados principalmente na fabricação de cloreto de vinila (Esquema 1), precursor do cloreto de polivinila (PVC, polyvinyl chloride), e na produção de poliuretanos (PUs, polyurethanes).15 A importância desses produtos se reflete no fato de que na Europa PVC e PUs constituem aproximadamente 18% dos plásticos que foram produzidos em 2013,20 tornando-os indispensáveis no mundo atual.

 


Figura 4. Segmentação do consumo da produção nacional de gás cloro em 201315

 

 


Esquema 1. Produção de diclororetano (DCE) e de cloreto de vinila (adaptada da ref. 21)

 

Cloreto de vinila, o precursor do PVC, é o 4º produto orgânico mais produzido em quantidade no mundo.21 O produto intermediário DCE é obtido pela adição de gás cloro ao etileno (Esquema 1a) ou pela oxicloração do etileno (Esquema 1b) e subsequentemente transformado em cloreto de vinila pela eliminação de cloreto de hidrogênio do DCE (Esquema 1c).21

Enquanto o PVC obtido por meio da polimerização radicalar do cloreto de vinila contém aproximadamente 56% em massa de cloro, os PUs obtidos pela poliadição de diisocianotolueno e polipropilenoglicol não contêm cloro nas suas formulações finais, mas o gás cloro é indispensável para obter o óxido de propileno, o qual resulta da reação de hipoclorito, obtido pelo desproporcionamento de gás cloro com água (Esquema 2a), com propileno, seguida de uma de-hidroclorização em meio básico (Esquema 2b).21

 


Esquema 2. Produção de óxido de propileno (adaptada da ref. 21)

 

Dos produtos inorgânicos, o ácido clorídrico de alta pureza obtido pela reação de cloro com hidrogênio, um dos subprodutos da eletrólise da salmoura, é de longe o mais importante, principalmente para aplicações na indústria Química/Petroquímica e de Alimentos.15 O hipoclorito de sódio, resultado do desproporcionamento do gás cloro em soda cáustica, é de grande importância como desinfetante doméstico e industrial. Na forma elementar, o cloro gasoso também é indispensável no tratamento de água, e segundo Tundo13 é "difícil imaginar para água um desinfetante melhor e menos prejudicial que cloro."

Cloro: O calcanhar de Aquiles da Indústria Química?

Uma das características dos compostos clorados é sua maior estabilidade em comparação a outras substâncias, motivo pelo qual eles foram considerados inofensivos durante décadas.13 Porém, com o crescimento da Indústria Química se multiplicaram as observações dos riscos toxicológicos dos compostos clorados para os trabalhadores.13 Nos anos 60 do século XX, observou-se que compostos clorados utilizados como pesticidas e herbicidas, como por exemplo Dicloro-Difenil-Tricloroetano (DDT), não eram metabolizados e se acumulavam na cadeia alimentar tornando as doses ingeridas letais para os predadores no seu topo.11 Também os subprodutos não intencionais das reações com a participação de cloro ou seus compostos revelaram efeitos colaterais prejudiciais para os trabalhadores e os consumidores, como por exemplo os tetraclorodibenzo-p-dioxinas (TCDD's), especialmente o 2,3,7,8-tetraclorodibenzo-p-dioxina, conhecido como toxina de Seveso.22 Um outro problema causado pelos produtos clorados é a destruição da camada de ozônio pelos clorofluorocarbonetos, registrada a partir dos anos 70.23,24 Todos estes problemas relacionados ao cloro e seus compostos levaram, a partir dos anos 80, à exigência por parte de organizações ambientais de banir por completo o uso de cloro e seus compostos pela Indústria Química.11,13

Para demonização do cloro e seus compostos, certamente contribuiu a crença de que compostos orgânicos contendo cloro ou outros halogênios covalentemente ligados não ocorreriam naturalmente.25,26 Este paradigma da química de produtos naturais foi derrubada com a descoberta dos primeiros compostos organohalogenados há mais de 60 anos atrás.25 Desde então, o número de organohalogenados naturais conhecidos cresceu exponencialmente de 12 compostos em 195427 para aproximadamente 200 em 1972,25 2900 em 1997,27 3700 em 200225 e mais de 5000 em 2014.28 A maioria destes compostos é encontrada em organismos marinhos primitivos como algas, esponjas ou vermes.11,25,27 Entretanto, nas últimas décadas observavam-se compostos halogenados naturais também em vertebrados, inclusive em seres humanos.25,27 É interessante ressaltar que a biossíntese de diversos esteróis a partir da oxidação de lipoproteínas de baixa densidade, o assim chamado "colesterol mau", envolve cloro molecular.27,29,30 Como uma outra fonte de compostos halogenados no meio ambiente, identificou-se a emissão de cloretos e fluoretos C1 e C2 por vulcões e incêndios florestais.27

Outro argumento para justificar o banimento do cloro é o fato de que processos químicos à base de cloro não obedecem aos dois primeiros dos doze princípios sagrados da "Química Verde",13,31 minimização de resíduos e economia de átomos. Neste caso, porém, deve-se levar em consideração que o principal consumo de cloro é na produção de plásticos como PVC e PUs (Figura 3), e que os subprodutos obtidos na produção de cloreto de vinila (Esquema 1) e óxido de propeno (Esquema 2) são cloreto de hidrogênio e cloreto de cálcio, ambos com aplicações técnicas8 e portanto, não prejudicando a economia de átomos. Lenardão et al.31 apontaram acertadamente que, em nível industrial, a análise de um processo com respeito a seu "verdor" deve se basear no fator E, que considera a quantidade de resíduo gerado por unidade de massa dos produtos. Estima-se que, para produtos produzidos na escala de Mt, o fator E seja < 0,1 kg de resíduo por kg de produto.31 Tendo em vista que de 1,25 Mt de gás cloro produzidos em 2013 no Brasil, 80% foram utilizados para produção de apenas 3 produtos (DCE, óxido de propeno e HCl), a eficiência desses processos industriais já está otimizada no sentido da "Química Verde". Por outro lado, especialmente na indústria farmacêutica, o fator E pode atingir valores de até 100 kg de resíduo por kg de produto, mostrando assim o grande potencial para a aplicação dos princípios da "Química Verde". Isto, porém, não inclui necessariamente a renúncia aos compostos clorados, seja como produto final ou intermediário, uma vez que organoclorados também são encontrados na natureza,25,27,29,30 o que por sua vez fornece os meios para sua preparação por catálise enzimática,32 cuja aplicação nos processos industriais pode, futuramente, contribuir significativamente para redução de resíduos. Mais um obstáculo para a eliminação radical do cloro da Indústria Química é o fato de que, dos aproximadamente 150000 produtos com interesse comercial registrados na Agência Europeia de Substâncias Químicas (ECHA), mais que 20000 são produtos clorados13 e que pelo menos 11000 produtos contendo cloro em pelo menos um estágio de sua confecção dificilmente podem ser substituídos.11

Sendo assim, o argumento que mais pesa contra o uso de cloro na base da Química Industrial é o alto consumo de energia necessário na sua produção por eletrólise, a qual gera o equivalente a 1,5 kg de CO2 por kg de Cl2, um valor maior do que na produção de cimento (0,95 kg de CO2 por kg de cimento).13 Este fato, porém, se relativiza considerando que o CO2 liberado pela produção de 68 Mt de gás cloro em 200813 corresponde a somente 0,19% dos 36,7 Gt liberados pela queima de combustíveis fósseis e pela produção de cimento.33

 

MINIATURIZAÇÃO DE EXPERIMENTOS DE DEMONSTRAÇÃO

Dificuldades no trabalho experimental com cloro em sala de aula

Devido não apenas à grande importância industrial do cloro, mas também à sua posição na Tabela Periódica como típico representante dos não-metais e dos halogêneos, a apresentação experimental de suas propriedades químicas deve fazer parte do currículo tanto do ensino superior quanto do ensino médio e do ensino fundamental. Porém, a toxicidade aguda do cloro dificulta o seu uso, embora ele seja obtido facilmente à temperatura ambiente por oxidação de ácido clorídrico concentrado em um aparelho de Kipp.34 Os aparelhos de Kipp possuem volumes de gás entre 0,5 e 2 L e, portanto, necessitam de grandes quantidades de substâncias químicas. Além disso, a evacuação total do aparelho não é possível e, assim, a quantidade residual de gás pode ser liberada durante a limpeza, elevando a sua concentração acima dos limites estabelecidos pela legislação. Por exemplo, a liberação de 0,5 L de gás cloro em um laboratório de 600 m3 (20 m × 10 m × 3 m) eleva sua concentração acima do limite de tolerância de 2,3 mg m-3, valor estabelecido no Anexo 11 da Norma Regulamentadora nº 15 do Ministério de Trabalho e Emprego,7 tornando o uso do aparelho de Kipp para preparação de gás cloro extremamente insalubre. Também o uso de cloro liquefeito não é uma alternativa viável, uma vez que requer um alto investimento, não somente para o produto químico em si, mas também na infraestrutura adequada como casa de gás separada, linhas de gás e válvulas, tornando proibitiva a realização de experimentos práticos não somente em escolas de ensino médio, mas também na maioria das universidades.

Princípios básicos para miniaturização de experimentos

Devido a estes problemas, experimentos práticos com cloro raramente são utilizados no ensino prático da química nas universidades e muito menos no ensino médio. Esta tendência não somente se manifesta no Brasil, onde já não existe uma cultura forte de aulas experimentais, mas também em países como Alemanha ou Áustria, onde desde os tempos de Liebig o experimento prático no laboratório é uma ferramenta indispensável do Ensino de Química.35 Com o objetivo de reduzir o consumo de reagentes e a geração de resíduos, manifestou-se a partir dos anos 90 uma tendência de miniaturização de experimentos didáticos com os seguintes objetivos:36

  • Diminuir o volume de reação e miniaturizar as reações para economizar reagentes, reduzir o tempo de reação, de preparação e de limpeza, assim como diminuir a quantidade de resíduos;
  • Dispensar o máximo possível o uso de suportes e uniformizar o equipamento utilizado para aumentar a mobilidade e facilitar a memorização das condições experimentais;
  • Substituir a vidraria de custo elevado por equipamentos de baixo custo e fácil acesso;
  • Utilizar sistemas fechados tanto quanto possível para possibilitar a realização dos experimentos fora de uma capela;
  • Separar experimentalmente e didaticamente a geração do gás e a sua reação intencionada.
  • O sistema miniaturizado para preparação de gases de Obendrauf

    Para atingir estes objetivos, Obendrauf apresentou em inúmeras publicações,36-39 infelizmente de difícil acesso, um sistema miniaturizado (Figura 5) para execução de experimentos com gases, utilizando como equipamento somente tubos de ensaio, rolhas de borracha e seringas descartáveis, que para este fim podem ser reutilizados inúmeras vezes. Mesmo que a pequena quantidade de substâncias utilizadas neste sistema minimize os perigos, as medidas básicas de segurança no laboratório devem ser tomadas, além de alguns cuidados específicos durante a manipulação das seringas:36

     


    Figura 5. Reator miniaturizado para preparação de gás cloro segundo Obendrauf36

     

  • Evitar pressão excessiva no tubo de ensaio, o que pode expulsar a rolha de borracha e projetar os reagentes e produtos do tubo;
  • Observar sempre se as agulhas das seringas não estão entupidas e se os êmbolos se movem facilmente;
  • Os reagentes líquidos devem ser literalmente gotejados (gota-a-gota).
  • Devido à flexibilidade do sistema Obendraufiano, a realização dos experimentos descritos nesse artigo não é limitada a um laboratório com infraestrutura sofisticada, portanto, podem ser realizados também em um espaço aberto ou bem ventilado, como por exemplo, em um pátio ou perto de uma janela aberta.36 Porém, deve-se mencionar que na União Europeia a manipulação de gás cloro é proibida para alunos até a 4ª série do Ensino Fundamental,3 sendo também não recomendável no Brasil. Nas suas publicações, Obendrauf aconselhou que as pontas das agulhas fossem cortadas para diminuir o risco de ferimentos. Nas aulas práticas realizadas na UFPel, foi decidido não cortar as pontas das agulhas, o que facilita a troca e o fechamento das mesmas. Mesmo assim, desde 2007 quando se começou a utilizar este sistema miniaturizado, não foram observados ferimentos causados pelas pontas das agulhas.

    Alguns dos experimentos descritos abaixo foram diretamente adaptados das publicações de Obendrauf,36,38,39 enquanto outros são experimentos "clássicos" descritos em livros-texto34,40 mas adaptados ao sistema miniaturizado. O efeito alvejante do cloro gasoso foi originalmente mostrado por Obendrauf,39 colocando pétalas ou papéis coloridos com canetinhas em uma seringa que foi preenchida com cloro gasoso. Devido à importância técnica do branqueamento de papel as pétalas e papéis marcados com tintas coloridas foram substituídos por papel não branqueado para mostrar o efeito alvejante.

    Embora os experimentos aqui descritos foram aplicados somente no ensino superior, acreditamos que os mesmos podem ser usados também no ensino médio. Mesmo a preparação do oxigênio singlete poderia ser aplicada, não para ilustrar a Teoria dos Orbitais Moleculares, mas como introdução ao efeito de quimiluminescência, já conhecida pelos alunos do ensino médio na forma de bastões luminosos (glow sticks), utilizados em festas ou atividades outdoor. Roesky e Möckel40 e Albertin et al.41 descrevem o aumento do efeito de quimiluminescência pela adição de luminol,40,41 fluoresceína41 ou colorantes indantrén40 à solução básica de H2O2, permitindo assim uma melhor demonstração do efeito de quimiluminescência para os alunos do ensino de química em nível médio e superior.41

     

    IMPORTÂNCIA PRÁTICA E TEÓRICA DE REAÇÕES INORGÂNICAS DO CLORO E SUA REALIZAÇÃO EM ESCALA MINIATURIZADA

    Síntese de gás cloro em escala miniaturizada segundo Obendrauf

    Para os experimentos em escala reduzida o gás cloro é obtido pela oxidação de ácido clorídrico com permanganato de potássio mostrado no Esquema 3.

     


    Esquema 3. Síntese de gás cloro por oxidação de ácido clorídrico

     

    Na síntese utilizam-se aproximadamente 2 a 3 g de KMnO4 finamente pulverizado, colocado no tubo de ensaio fechado com a rolha de borracha. Esta rolha é perfurada por duas agulhas conectadas a duas seringas, uma pequena contendo de 1 a 2 mL de HCl(aq) concentrado (7 mol L-1)34 e outra maior para coleta do gás. O ácido clorídrico é adicionado gota-a-gota ao tubo de ensaio, permitindo a coleta do gás cloro formado (Figura 5). Depois da coleta, a seringa contendo o gás cloro é retirada e a ponta é fechada, introduzindo-se a agulha em uma rolha de borracha (Figura 5). O tubo de ensaio é fechado com uma seringa pequena preenchida com carvão ativado (Figura 5), evitando-se assim a liberação do gás cloro para o ambiente. Uma das vantagens da redução da quantidade de produtos químicos usados nesses experimentos pode ser observada na quantidade máxima de gás cloro liberada (< 500 mg) pela adição de 2 mL de ácido clorídrico concentrado ao permanganato de potássio. Está quantidade eleva a concentração de cloro a um valor < 0,83 mg m-3 em um laboratório de 600 m3, bem abaixo do limite de tolerância de 2,3 mg m-3.7

    Desproporcionamento do cloro

    É de conhecimento geral,34 obtido nos livros didáticos, que em solução aquosa o cloro desproporciona-se em cloreto e hipoclorito (Esquema 2a). Na presença de hidróxido de sódio, o equilíbrio do desproporcionamento é deslocado para a formação de hipoclorito de sódio, o qual é utilizado como alvejante doméstico.

    Esta reação pode ser demonstrada facilmente borbulhando-se com a seringa o gás cloro em um tubo de ensaio pequeno (≈ 13 mm × 100 mm) contendo água destilada. A constante de equilíbrio (K) desta reação é igual a 2,65 × 10-9 como pode ser facilmente calculada a partir da força eletromotriz em condições padrão dessa reação (ΔE0 = -0,253 V, meio ácido). Considerando-se a solubilidade do gás cloro42 em água igual a 0,2 mol L-1 em uma solução de pH = 7, a concentração de Cl- e HClO é igual a 4,0 × 10-4 mol L-1. Dividindo-se a solução obtida em dois tubos de ensaio pequenos, a formação do cloreto pode ser mostrada adicionando-se uma gota de solução de nitrato de prata (0,1 mol L-1), o que leva à precipitação de cloreto de prata (Esquema 4), um sólido branco, em um dos tubos.34 Para a detecção do hipoclorito, adiciona-se no outro tubo de ensaio uma solução de NaOH para aumentar o pH e deslocar o equilíbrio (Esquema 2a) para o lado direito. Assim, o hipoclorito pode ser detectado indiretamente adicionando-se uma gota de uma solução de iodeto, o que resulta na oxidação do iodeto a iodo (Esquema 5), cuja coloração castanho observada indica a presença do hipoclorito.34 O cloreto de prata obtido na identificação do cloreto é separado por filtração e estocado até o tratamento final adequado. O iodo resultante da identificação do hipoclorito é reduzido com tiossulfato a iodeto (Esquema 6) e a solução final, após neutralização, pode ser descartada na rede de esgoto.

     


    Esquema 4. Detecção de cloreto por precipitação de cloreto de prata

     

     


    Esquema 5. Oxidação de iodeto por hipoclorita

     

     


    Esquema 6. Redução de iodo com tiossulfato

     

    O desproporcionamento também é usado para tratar o cloro residual no tubo de ensaio depois do término dos experimentos. A adição de uma solução diluída de hidróxido de sódio (2 mol L-1), por meio de uma seringa, ao tubo de ensaio contendo o gás cloro restante leva ao seu desproporcionamento em cloreto e hipoclorito. O hipoclorito e o restante do permanganato devem ser reduzidos com tiossulfato de sódio, como mostra o Esquema 7. O dióxido de manganês precipitado é separado por filtração e estocado com os resíduos metálicos de menor toxicidade até o tratamento final adequado. O filtrado contendo somente íons de potássio e sódio, junto com ânions atóxicos, é neutralizado e pode ser descartado na rede de esgoto.

     


    Esquema 7. Tratamento dos resíduos da preparação de cloro em escala miniaturizada

     

    Síntese de cloreto de sódio segundo Obendrauf

    Embora esta reação não apresente interesse industrial, uma vez que o cloreto de sódio é a matéria prima para o produção de gás cloro e sódio metálico,1,8 a grande quantidade de energia liberada na reação dos dois elementos mostra de forma impressionante a necessidade de um alto consumo de energia na síntese industrial do cloro. A síntese do cloreto de sódio (Esquema 8) também ilustra a formação de um composto iônico, permitindo assim a discussão de suas propriedades, como, por exemplo, a energia reticular e sua determinação pelo Ciclo de Born-Haber.

     


    Esquema 8. Síntese de cloreto de sódio a partir de sódio metálico e cloro elementar

     

    Em um tubo de ensaio pequeno, um pedaço pequeno de sódio metálico é aquecido na chama do bico de Bunsen até fusão. O gás cloro é coletado conforme descrito anteriormente e soprado com a seringa sobre o metal fundido,36 o qual reage em uma reação extremamente exotérmica (ΔfH0 = -411,2 kJ mol-1),43 formando o cloreto de sódio (Figura 1S). Depois do experimento, adiciona-se ao tubo de ensaio etanol para oxidar os resíduos do sódio (Esquema 9). A solução obtida é então neutralizada, permitindo assim que ela seja descartada na rede de esgoto.

     


    Esquema 9. Oxidação de sódio pela reação com etanol

     

    Síntese de cloreto de ferro(III) segundo Obendrauf

    Ao contrário da reação com sódio metálico, que é sem importância técnica, a cloração de ferro-velho (Esquema 10) é usada na produção industrial de cloreto de ferro(III),1 amplamente aplicado como floculante no tratamento de água.1,8

     


    Esquema 10. Preparação de FeCl3 pela cloração de ferro

     

    Para sua preparação em escala miniaturizada,38 lã de aço é colocada na abertura de um tubo de ensaio pequeno, de modo que parte do ferro permaneça fora do tubo de ensaio. Na chama do bico de Bunsen, o ferro é aquecido e o cloro, previamente coletado, é soprado com a seringa sobre o metal aquecido, que reage com o gás cloro em uma reação exotérmica (ΔfH0 = -399,5 kJ mol-1),43 visível como incandescência do metal (Figura 2S). Devido ao seu baixo ponto de fusão (≈ 316 ºC)43 o FeCl3 formado sublima nestas condições e pode ser observado como uma fumaça marrom38 saindo do tubo de ensaio (Figura 2S). Depois do experimento, a lã de aço é lavada com água e pode ser descartada no lixo comum.

    Síntese de bromo e iodo

    No início dos anos 90 foram produzidos, anualmente nos EUA, mais de 3500 kt de cloro, aproximadamente 170 kt de bromo e 2 kt de iodo.8 O principal processo industrial para produção de bromo e iodo é a oxidação de brometos e iodetos por cloro elementar (Esquema 11).8

     


    Esquema 11. Oxidação dos ânions (a) brometo e (b) iodeto por cloro elementar

     

    Esta reação, classicamente demonstrada usando-se uma solução aquosa saturada de cloro,34 pode ser facilmente realizada borbulhando-se o gás cloro em um tubo de ensaio pequeno contendo uma solução de brometo ou iodeto de potássio (0,5 mol L-1), (Figura 3S). Depois do experimento, os halogêneos são reduzidos com tiossulfato (Esquema 6 e Esquema 12) e as soluções aquosas contendo somente íons de potássio, sulfato e brometo ou iodeto podem ser, depois da neutralização, descartadas na rede de esgoto.

     


    Esquema 12. Redução de bromo por tiossulfato

     

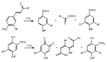
    Branqueamento de papel

    O Brasil é um dos maiores produtores mundiais de papel e aumentou sua produção anual de 7,7 Mt para 10,3 Mt entre 2002 e 2012.44 Uma etapa importante na produção do papel é o branqueamento da polpa de celulose obtida a partir da madeira, a qual ainda contém restos de lignina, resultando em uma indesejada coloração escura. A partir dos anos 20 do século passado, o principal processo de branqueamento foi a adição de cloro gasoso a uma suspensão aquosa da polpa. Como mostra o Esquema 13, o tratamento com gás cloro cinde os grupos metoxi nas unidades básicas da lignina e as o-quinonas intermediárias são oxidadas formando ácidos dicarboxílicos, os quais podem ser lixiviados da polpa por soluções de soda cáustica.45 Porém, o cloro também reage com o sistema aromático das unidades da lignina, formando compostos aromáticos clorados (Esquema 13). Aproximadamente 10% do cloro utilizado no branqueamento encontra-se na forma de compostos orgânicos clorados nas águas residuais.45 Estima-se que sejam gerados em torno de 7 kg de compostos orgânicos clorados por tonelada de celulose na água residual deste processo,45 ou seja, com a típica produção diária de 1000 a 2000 t de celulose, cada planta de produção de celulose libera por dia até 14 t de compostos aromáticos clorados no meio ambiente, o que corresponde a carga máxima de um caminhão. Por este motivo, o branqueamento de celulose com o cloro elementar foi completamente substituído nos países europeus como Suécia, Áustria e Alemanha pelo branqueamento com dióxido de cloro ou peróxido de hidrogênio.45 No Brasil, porém, 47% da celulose ainda são branqueadas usando-se cloro elementar.45

     


    Esquema 13. Oxidação das unidades básicas de lignina e formação de compostos aromáticos clorados durante o branqueamento de celulose com cloro elementar (adaptada da ref. 45)

     

    O branqueamento de celulose/papel por cloro elementar pode ser demonstrado colocando-se um pedaço de papel não branqueado (por exemplo, coador de café feito de papel ecológico) umedecido com soda cáustica aquosa (2 mol L-1) em uma seringa de 20 mL. Esta seringa é preenchida com gás cloro e depois de poucos segundos o papel torna-se branco e pode ser retirado da seringa e lavado com água. A descoloração do papel coador ecológico em comparação ao papel coador original e ao papel coador comum branqueado industrialmente é mostrada na Figura 4S.

    Este experimento visa a simulação do branqueamento da polpa de celulose no processo industrial, que é realizado em condições básicas. Porém, é óbvio que nestas condições o equilíbrio do Esquema 2a é deslocado para o lado direito e assim, o principal oxidante é o hipoclorito e não o cloro. Para diferenciar o poder alvejante do hipoclorito, do cloro em solução aquosa e do cloro gasoso, pode-se repetir o experimento com um papel não branqueado umidificado com água destilada. Neste caso se observa uma descoloração lenta e mesmo depois de 15 min o papel ainda não é completamente branca, mas visivelmente menos escuro que um papel não umidificado tratado na mesma maneira.46

    Preparação do oxigênio singlete pela reação de Mallet

    Embora sem importância industrial, a reação de Mallet47,48 entre cloro e peróxido de hidrogênio em solução básica, formando oxigênio molecular e o ânion cloreto, é de grande interesse teórico e didático devido à formação de dioxigênio excitado no estado singlete, permitindo assim, para os alunos do ensino superior, a apresentação de conceitos importantes da Físico-Química e da Química Inorgânica.49 No seu estado fundamental, os orbitais moleculares ocupados de mais alta energia (HOMO) do dioxigênio são os orbitais antiligantes, degenerados 1πg*, contendo em cada orbital molecular um elétron com os spins (ms = ½) desemparelhados.50 Portanto, o spin total, (S = Σms) é igual a um e, consequentemente, a multiplicidade de spin (2S + 1) é igual a três, ou seja, um estado triplete. Nos estados excitados energeticamente mais próximos, o HOMO do dioxigênio é ocupado por dois elétrons com os spins emparelhados, resultando em um spin total de zero, com multiplicidade igual a um, ou seja, um estado singlete.

    A Figura 6 mostra a energia total da molécula associada à ocupação dos orbitais 1πg* no estado fundamental e nos dois estados singlete, com os respectivos símbolos dos termos espectroscópicos. Devido à regra de conservação de spin, transições eletrônicas entre o estado triplete (3Σg-) e os estados singlete (1Δg e 1Σg+) são proibidas, mas o estado excitado singlete pode ser observado no dioxigênio preparado por reação química.47,51 A grande maioria das moléculas no estado fundamental também encontra-se, em geral, no estado singlete com todos os elétrons emparelhados. A reação com o dioxigênio singlete é, portanto, favorecida pela regra de conservação de spin, resultando em uma maior reatividade química do dioxigênio no estado singlete, especialmente do estado [1Δg] com tempo de meia vida de 3000 s em fase gasosa e de 10-3 s em fase líquida.51,52 Assim, o dioxigênio singlete não é somente de interesse teórico,49 mas também possui um papel importante em síntese orgânica52-54 e em sistemas biológicos,55,56 sendo investigado, entre outros, seu papel em processos inflamatórios, na gênese de tumores e processos arteroscleróticos.51 Entre outras aplicações, a formação de dioxigênio singlete é empregada em terapia fotodinâmica (TFD), tanto no combate a células cancerígenas quanto na inativação de micro-organismos.57

     


    Figura 6. Diagrama de energia para as configurações eletrônicas nos orbitais moleculares 1πg* de dioxigênio

     

    Na reação de Mallet (Esquema 14), a reação entre o cloro elementar e o peróxido de hidrogênio em meio básico gera peroxi-hipoclorito (Esquema 14a).40,41 A etapa que controla a velocidade da formação de dioxigênio é a cisão de cloreto (Esquema 14b). Tanto o peroxi-hipoclorito como o ânion cloreto possuem todos os seus elétrons emparelhados, ou seja, possuem um spin total igual à zero. Seguindo a regra de conservação de spin, o dioxigênio formado também deve ter um spin igual à zero,41,47 ou em outras palavras, se formar em estado excitado singlete (1O2*).

     


    Esquema 14. Reação de Mallet para formação de dioxigênio no estado singlete (adaptada das refs. 40 e 41)

     

    Para as transições (3Σg-1Δg) e (3Σg-1Σg+), com energias de 7874 cm-1 e 13123 cm-1, respectivamente, espera-se a emissão de radiação na região do infravermelho com λ = 1270 e 762 nm, respectivamente. Embora proibidas pelas regras de seleção50 para transições eletrônicas, as mesmas foram observadas em fase gasosa, com baixas intensidades, por espectroscopia no infravermelho por Khan e Kasha.58 Uma alternativa à emissão direta de fótons é a emissão simultânea da energia em pares de moléculas, formados por impactos.41,47,49,51,58 Das três possíveis emissões bimoleculares mostradas no Esquema 15 e observadas por Khan e Kasha,58 o par [1Σg+][1Σg+] emite na região do ultravioleta (UV) em 381 nm, enquanto no visível pode-se observar as emissões do par [1Δg][1Δg] e do par [1Σg+][1Δg] no vermelho (635 nm) e no azul - verde (476 nm), respectivamente, sendo, na observação a olho nu, a última superada pela radiação vermelha mais intensa.

     


    Esquema 15. Emissões bimoleculares de dioxigênio singlete (adaptada da ref. 58)

     

    Este experimento, executado normalmente usando-se cloro liquefeito, que é borbulhado em uma solução básica de peróxido de hidrogênio,40 pode ser também realizado borbulhando-se 20 mL de gás cloro em uma mistura de 3 mL de peróxido de hidrogênio aquoso (10 mol L-1) e 12 mL de hidróxido de sódio aquoso (4 mol L-1) em um tubo de ensaio pequeno, previamente resfriado em um banho de gelo. A emissão no vermelho é facilmente observada, mesmo em uma sala não escurecida (Figura 5S). Depois do experimento, a solução básica é neutralizada e pode ser descartada na rede de esgoto.

     

    CONCLUSÃO

    O cloro, um dos elementos mais abundantes na lito- e hidrosfera terrestre, e devido a sua alta reatividade, que permite reações a temperaturas brandas, um ideal composto para demonstração experimental de fenômenos químicos. Também sua importância na indústria química e do impacto ambiental causado pelo seu uso, tornam indispensável que suas propriedades sejam tratadas no ensino da química em todos os níveis. Experimentos com cloro, porém, são raramente utilizados no ensino prático da química, uma vez que a alta toxicidade do cloro elementar requer o uso de aparelhos e vidrarias sofisticados. No entanto, experimentos em escala miniaturizada descritos neste artigo permitem a realização de diversas reações fazendo uso de quantidades pequenas de reagentes químicos, de materiais de baixo custo e de fácil acesso. Alguns experimentos aqui sugeridos não somente ilustram a reatividade do cloro, mas também processos aplicados na indústria química, permitindo assim a discussão de problemas relacionados com o uso industrial de cloro como matéria-prima. Outros experimentos não ilustram reações de importância industrial, mas permitem, valendo-se da alta reatividade do gás cloro, como ocorre na preparação do cloreto de sódio e do dioxigênio singlete, a demonstração experimental da quantidade de energia armazenada neste composto, além de importantes conceitos da Química Inorgânica, tais como a formação de ligações iônicas, quimiluminescência e a Teoria dos Orbitais Moleculares.

     

    MATERIAL SUPLEMENTAR

    As Figuras 1S - 5S encontram-se disponíveis em http://quimicanova.sbq.org.br, em arquivo pdf, com acesso livre.

     

    AGRADECIMENTOS

    Os autores agradecem às turmas da disciplina de Química Inorgânica I dos cursos de Química Bacharelado, Licenciatura e Química Industrial da UFPel, que testaram os experimentos em aula. Agradecemos também ao falecido Prof. Dr. Victor Obendrauf (1953 - 2010) pelo gentil fornecimento das referências 37 como também W. Oelen, que concedeu o acesso livre à Figura utilizada no graphical abstract.

     

    REFERÊNCIAS

    1. Wiberg, N.; Holleman-Wiberg Lehrbuch der Anorganischen Chemie, 102ª edição, Walter de Gruyter: Berlin, 2007.

    2. Embora os nomes dos elementos praseodímio, derivado de πράσινος (verde de alho-poró; ref. 1) e δίδυµος (gêmeo; ref. 1), e de tálio derivado de θαλλός (ramo verde; ref. 1) indicam também a cor verde, nesses casos o nome faz referência à cor do óxido (Pr2O3) e da principal linha espectral (535 nm), respectivamente, e não a cor do elemento.

    3. Institut für Arbeitsschutz der Deutschen Gesetzlichen Unfallversicherung (IFA); GESTIS- Stoffdatenbank (http://gestis.itrust.de procurar por Cl2, acessada em Dezembro 2014).

    4. Wallau, W. M.; dos Santos Jr., J. A; Quim. Nova 2013, 36, 607. DOI: http://dx.doi.org/10.1590/S0100-40422013000400021

    5. ABNT, Produtos químicos - Informações sobre segurança e meio ambiente, partes 1 - 4, Norma Brasileira ABNT NBR 14725, Associação Brasileira de Normas Técnicas, ed.; ABNT: Rio de Janeiro, 2012. (http://www.abntcatalogo.com.br; procurar a Norma pelo número, acessada em Maio 2013).

    6. Wieser, M. E.; Holden, N.; Coplen, T. B; Böhlke, J. K.; Berglund, M.; Brand, W. A.; De Bièvre, P.; Gröning, M.; Loss, R. D.; Meija, J.; Hirata, T.; Prohaska, T.; Schoenberg, R.; O'Connor, G.; Walczyk, T.; Yoneda, S.; Zhu, X.-K.; Pure Appl. Chem. 2013, 85, 1047.

    7. Ministério de Trabalho e Emprego, Norma Regulamentadora nº 15 - ATIVIDADES E OPERAÇÕES INSALUBRES em http://portal.mte.gov.br/legislacao/norma-regulamentadora-n-15-1.htm, acessada em Agosto 2013.

    8. Büchel, K. H.; Moretto, H.-H.; Woditsch, P.; Industrielle Anorganische Chemie, 3ª edição, Wiley-VCH: Weinheim, 1999; Büchel, K. H.; Moretto, H.-H.; Woditsch, P.; Industrial Inorganic Chemistry, 2ª ed., Wiley-VCH: Weinheim, 2000.

    9. Traduzido do Alemão de: http://de.wikipedia.org/wiki/Chloralkali-Elektrolyse#mediaviewer/File:Diaphragmaverf.PNG, acessada em Dezembro 2014.

    10. Traduzido do Alemão de: http://de.wikipedia.org/wiki/Chloralkali-Elektrolyse#mediaviewer/File:Chloralkali.svg, acessada em Dezembro 2014.

    11. Ayres, R.; J. Ind. Ecol. 1997, 1, 81. DOI: http://dx.doi.org/10.1162/jiec.1997.1.1.81

    12. Jörissen, J.; Turek, T.; Weber, R.; Chem. Unserer Zeit 2011, 45, 172. DOI: http://dx.doi.org/10.1002/ciuz.201100545

    13. Tundo, P.; Pure Appl. Chem. 2012, 84, 411.

    14. Tingle, M.; Educ. Chem. (London, U. K.) 2011, 48, 48.

    15. Indústria Brasileira de Álcalis, Cloro e Derivados (ABICLOR), Relatórios Anuais de 2005 - 2013 em http://www.abiclor.com.br/?a=down_visualizar&id=65, acessada em Julho 2014.

    16. http://www.thyssenkrupp-industrial-solutions.com/en/products-solutions/chemical-industry/electrolysis/nacl-odc-electrolysis/overview.html, acessada em Julho 2014.

    17. http://abiclor.com.br/v2/?page_id=31, acessada em Julho 2014.

    18. http://www.eurochlor.org/facts-figures-glossary/chlorine-production-capacities-per-country.aspx, acessada em Julho 2014.

    19. http://www.abiclor.com.br/cong2012/apresentacoes/1-0711-Global-Scenario-Joel-Lindhal-IHS.pdf, acessada em Agosto 2014.

    20. PlasticsEurope; Plastics - The Facts 2013 An analysis of European latest plastics production, demand and waste data; Association of Plastics Manufactures: Cidade de Bruxelas, 2013, em http://www.plasticseurope.org/plastics-industry/market-and-economics.aspx, acessada em Fevereiro 2014.

    21. Arpe, H. J.; Industrielle Organische Chemie, 6ª ed., Wiley-VCH: Weinheim 2007.

    22. Cole, P.; Trichopoulos, D.; Pastides, H.; Starr, T.; Mandel, J. S.; Regul. Toxicol. Pharmacol. 2003, 38, 378. DOI: http://dx.doi.org/10.1016/j.yrtph.2003.08.002

    23. Hübner, K.; Chem. Unserer Zeit 2005, 39, 140. DOI: http://dx.doi.org/10.1002/ciuz.200590016

    24. Molina, M. J.; Rowland, F. S.; Nature 1975, 249, 810. DOI: http://dx.doi.org/10.1038/249810a0

    25. Gribble, G. W. (ed.); Natural production of organohalogen compounds, Springer-Verlag: Berlin, 2003, parcialmente acessível em: http://books.google.com.br/books?id=V1467Ed9QrkC&printsec=frontcover&hl=de&source=gbs_ge_summary_r&cad=0#v=onepage&q&f=false, acessada em Setembro 2013)

    26. Clark, R. B.; Marine Pollution, Oxford University Press: Oxford, 2001 (apud [25]).

    27. Gribble, G. W.; Acc. Chem. Res. 1998, 31, 141.

    28. Hille-Rehfeld, A.; Chem. Unserer Zeit 2014, 48, 402. DOI: http://dx.doi.org/10.1002/ciuz.201400682

    29. Winterton, N.; Mutat. Res., Fundam. Mol. Mech. Mutagen. 1997, 373, 293. DOI: http://dx.doi.org/10.1016/S0027-5107(96)00239-4

    30. Iuliano, L.; Chem. Phys. Lipids 2011, 164, 457. DOI: http://dx.doi.org/10.1016/j.chemphyslip.2011.06.006 PMID: 21703250

    31. Lenardao, E. J.; Freitag, R. A.; Dabdoub, A. J.; Ferreira Batista, A. C.; Da Cruz Silveira, C.; Quim. Nova 2003, 26, 123. DOI: http://dx.doi.org/10.1590/S0100-40422003000100020

    32. Blasiak, L. C.; Drennan, C. L.; Acc. Chem. Res. 2009, 42, 147. DOI: http://dx.doi.org/10.1021/ar800088r PMID: 18774824

    33. Le Quéré, C.; Andres, R. J.; Boden, T.; Conway, T.; Houghton, R.A.; House, J. I.; Marland, G.; Peters, G. P.; van der Werf, G.; Ahlström, A.; Andrew, R. M.; Bopp, L. J.; Canadell, G.; Ciais, P. S.; Doney, C.; Enright, C.; Friedlingstein, P.; Huntingford, C.; Jain, A. K.; Jourdain, C.; Kato, E.; Keeling, R. F.; Klein Goldewijk, K.; Levis, S.; Levy, P.; Lomas, M.; Poulter, B.; Raupach, M. R.; Schwinger, J.; Sitch, S.; Stocker, B. D.; Viovy, N.; Zaehle, S.; Zeng, N.; Earth Syst. Sci. Data Discuss. 2012, 5, 1107, (doi:10.5194/essdd-5-1107-2012). DOI: http://dx.doi.org/10.5194/essdd-5-1107-2012

    34. Strähle, J.; Schweda, E.; Jander-Blasius Lehrbuch der analytischen und präparativen anorganischen Chemie, 16ª ed., S. Hirzel Verlag: Stuttgart, 2006.

    35. Kreißl, F. R.; Krätz, O.; Feuer und Flamme, Schall und Rauch; Wiley - VCH: Weinheim, 2008.

    36. Obendrauf, V.; Chem. Unserer Zeit 1996, 30, 118 (CAN125:166791).

    37. Obendrauf, V.; Prax. Naturwiss., Chem. 1999, 48, 35 (CAN130:324737); Obendrauf, V.; Naturwiss. Unterr. Chem. 2004, 15, 22 (CAN141:190262); Obendrauf, V.; CLB Chem. Labor Biotech. 2007, 58, 408 (CAN148:378944); Obendrauf, V.; CLB Chem. Labor Biotech. 2009, 60, 8 (CAN150:494261).

    38. Obendrauf, V.; Chlor in der Schule (Teil 1), Klassische Experimente im neuen Gewand em http://schulen.eduhi.at/chemie/chlor1.htm, acessada em Outubro 2013.

    39. Obendrauf, V.; Chlor in der Schule (Teil 2), Klassische Experimente im neuen Gewand em http://schulen.eduhi.at/chemie/chlor2.htm, acessada em Outubro 2013.

    40. Roesky, H. W., Möckel, K.; Chemische Kabinettstücke, VCH: Weinheim, 1994.

    41. Albertin, R.; Arribas, M. A. G.; Bastos, E. L.; Röpke, S.; Sakai, P. N.; Sanches, A. M. N.; Stevani, C.V.; Umezu, I. S.; Yu, J.; Baader, W. J.; Quim. Nova 1998, 21, 772. DOI: http://dx.doi.org/10.1590/S0100-40421998000600018

    42. Substance id, entifier CAS: 7782-50-5; HTTPS://scifinder.cas.org; acessada em Agosto 2014.

    43. CRC Handbook of Chemistry and Physics; Haynes, W. M., ed.; 91ª ed., CRC Press: Boca Raton, 2010.

    44. Associação Brasileira de Celulose e Papel (BRACELPA), Conjuntura BRACELPA, setembro 2013 em http://bracelpa.org.br/bra2/sites/default/files/conjuntura/CB-058.pdf, acessada em Dezembro 2014.

    45. Offermanns, H.; Dittrich, G.; Steiner, N.; Chem. Unserer Zeit 2000, 34, 150. DOI: http://dx.doi.org/10.1002/1521-3781(200006)34:3<150::AID-CIUZ150>3.3.CO;2-1

    46. O Assessor 1 do manuscrito apontou acerdatamente ao fato, que a oxidação mais lenta obervada para o papel umedecido com água destilada não prova que a oxidação pelo cloro elementar é mais lenta, uma vez que em meio neutro ainda existe hipoclorito em pequena concentração, produzindo um alvejamento mais lento. Por isso ele sugeriu realizar o branqueamento também com papel umedecido com uma solução aquosa ácida. Assim a observação de um alvejamento mais lento indicaria realmente para o cloro um poder alvejante menor enquanto a ausência de um alvejamento mostraria que somente o hipoclorito e não o cloro elementar seria o alvejante ativo.

    47. Mallet, L.; C. R. Acad. Sci., Paris 1927, 185, 352 (apud ref. 58).

    48. Adelhelm, M.; Habekost, A.; Chem. Unserer Zeit 2008, 42, 200. DOI: http://dx.doi.org/10.1002/ciuz.200800391

    49. Schweitzer, C.; Schmidt, R.; Chem. Rev. 2003, 103, 1685. DOI: http://dx.doi.org/10.1021/cr010371d PMID: 12744692

    50. Atkins, P.; de Paula, J.; Atkins' Physical Chemistry, 8ª ed., Oxford University Press: Oxford, 2006.

    51. Albrecht, S.; Brandl, H.; Zimmermann, T.; Chem. Unserer Zeit 1998, 32, 251. DOI: http://dx.doi.org/10.1002/ciuz.19980320504

    52. Clennan, E. L.; Pace, A.; Tetrahedron 2005, 61, 6665. DOI: http://dx.doi.org/10.1016/j.tet.2005.04.017

    53. Gorman, A. A.; Rodgers, M. A. J.; Chem. Soc. Rev. 1981, 10, 205. DOI: http://dx.doi.org/10.1039/cs9811000205

    54. DeRosa, M. C.; Crutchley, R. J.; Coord. Chem. Rev. 2002, 233 - 234, 351. DOI: http://dx.doi.org/10.1016/S0010-8545(02)00034-6

    55. Pryor, W. A.; Houk, K. N.; Foote, C. S.; Fukuto, J. M.; Ignarro, L. J.; Squadrito, G. L.; Davies, K. J. A.; Am. J. Regul. Integr. Comp. Physiol. 2006, 291, R491. DOI: http://dx.doi.org/10.1152/ajpregu.00614.2005

    56. Kanofsky, J. R.; Chem.-Biol Interactions 1989, 70, 1. DOI: http://dx.doi.org/10.1016/0009-2797(89)90059-8

    57. Perussi, J. R.; Quim. Nova 2007, 30, 988. DOI: http://dx.doi.org/10.1590/S0100-40422007000400039

    58. Khan, A. U.; Kasha, M.; J. Am. Chem. Soc. 1970, 92, 3293. DOI: http://dx.doi.org/10.1021/ja00714a010

    On-line version ISSN 1678-7064 Printed version ISSN 0100-4042
    Qu�mica Nova
    Publica��es da Sociedade Brasileira de Qu�mica
    Caixa Postal: 26037 05513-970 S�o Paulo - SP
    Tel/Fax: +55.11.3032.2299/+55.11.3814.3602
    Free access

    GN1