JBCS



17:12, sáb out 25

Acesso Aberto/TP



Artigo

Rapid and sensitive determination of palladium using homogeneous liquid-liquid microextraction via flotation assistance followed by graphite furnace atomic absorption spectrometry

Mohammad RezaeeI,*; Reyhaneh ShadaniyanII; Majid Haji HosseiniI; Faezeh KhalilianII

INuclear Fuel Cycle Research School, Nuclear Science & Technology Research Institute, Atomic Energy Organization of Iran, P.O. Box 14395-836, Tehran, Iran
IIDepartment of Chemistry, College of Basic Science, Yadegar -e- Imam Khomeini (RAH) Branch, Islamic Azad University, Tehran, Iran

Recebido em 28/09/2014
Aceito em 14/01/2015
Publicado na web em 23/03/2015

Endereço para correspondência

*e-mail: mrezaee@aeoi.org.ir

RESUMO

A method for the determination of trace amounts of palladium was developed using homogeneous liquid-liquid microextraction via flotation assistance (HLLME-FA) followed by graphite furnace atomic absorption spectrometry (GFAAS). Ammonium pyrrolidine dithiocarbamate (APDC) was used as a complexing agent. This was applied to determine palladium in three types of water samples. In this study, a special extraction cell was designed to facilitate collection of the low-density solvent extraction. No centrifugation was required in this procedure. The water sample solution was added to the extraction cell which contained an appropriate mixture of extraction and homogeneous solvents. By using air flotation, the organic solvent was collected at the conical part of the designed cell. Parameters affecting extraction efficiency were investigated and optimized. Under the optimum conditions, the calibration graph was linear in the range of 1.0-200 µg L-1 with a limit of detection of 0.3 µg L-1. The performance of the method was evaluated for the extraction and determination of palladium in water samples and satisfactory results were obtained. In order to verify the accuracy of the approach, the standard addition method was applied for the determination of palladium in spiked synthetic samples and satisfactory results were obtained.

Palavras-chave: homogeneous liquid-liquid microextraction; graphite furnace atomic absorption spectrometry; palladium.

INTRODUCTION

Palladium is an element with increasing demand in todays industries, and it is one of the most widely used elements of the platinum group metals (PGM).1 Furthermore, it is used in different areas of science and technology such as metallurgy, and it is also extensively used as a catalyst especially in hydrogenation and dehydrogenation of some of the important organic compounds.2 Due to its electrical conductivity and durability, Pd is widely used in electronic industry for production of multi-layer ceramic (chip) capacitors, conductive tracks in hybrid integrated circuits, plating connectors and lead frames and jewellery.3,4 One of the most important applications of Pd is the production of catalytic converters for car engines.5 Anthropogenic pd has been reported to be mobile and bioaccumulated by aquatic organisms, generally to a larger extent than other platinum group elements.6,7 Moreover, metallic pd has an allergenic potential on humans.8 The monitoring of Pd in environmental samples has great importance with respect to estimation of the future risk of the human health and the ecosystem. Palladium analysis requires analytical methods of high sensitivity, selectivity and the control of interference effects. The most widely used methods for the determination of Pd in environmental samples include graphite furnace atomic absorption spectrometry (GFAAS)9,10 and inductively coupled plasma-mass spectrometry (ICP-MS).11,12 In environmental samples, the low concentration of Pd often requires an enrichment step which allows an accurate and precise determination of Pd in samples with very low analyte content. Co-precipitation,13 sorption and ion exchange,14,15 liquid-liquid extraction (LLE),16,17 solid-phase extraction (SPE)18,19 and cloud point extraction (CPE)20,21 techniques have been developed and applied for preconcentration and separation of palladium prior to its detection.

The solvent microextraction technique such as dispersive liquid-liquid microextraction (DLLME)22-25 which overcomes these problems by reducing the amount of organic solvent.

The main disadvantage of DLLME is that the extraction solvent is generally limited to solvents of density higher than water in order to be sedimented by centrifugation. These solvents are typically chlorinated solvents such as chlorobenzene, chloroform and carbon tetrachloride, all of which are potentially toxic to human and environment. In addition, the use of high density solvents as extractant limits wider applicability of DLLME. This is caused by the more limited choices as the number of low-density solvents is more than high-density ones. Typically, most DLLME method has a centrifugation step, which is the extra time-consuming step in the extraction. Homogeneous liquid-liquid microextraction via flotation assistance (HLLME-FA) method was developed for the determination of polycyclic aromatic hydrocarbons (PAHs) in soil and water samples.26,27 This paper describes the development and application of HLLME-FA in combination with graphite furnace atomic absorption spectrometry (GFAAS) for the determination of palladium in water samples.

 

EXPERIMENTAL

Chemicals and reagents

A stock standard solution of Pd at a concentration of 1000 mg L-1 was prepared from Tarbiat Modares University (Tehran, Iran). Working standard solutions were prepared in doubly distilled water. All the standard solutions were stored in a fridge at - 4 ºC and brought to ambient temperature just prior to use. 1-undecanol, 1-octanol, toluene, methanol, ethanol, acetone,acetonitrile and sodium chloride as a salt were obtained from Merck (Darmstadt, Germany). A solution of ammonium pyrrolidine dithio carbamate (APDC) (0.37 % (w/v)) was prepared by dissolving appropriate amounts of this reagent in distilled water. Youngling ultra pure water purification system (Aqua MaxTM-ultra, Korea) was used for purification of water. The pH of solutions was adjusted by dissolving proper amount of ammonium acetate in distilled water (2.5×10-3 mol L-1) and drop wise addition of nitric acid (0.5 mol L-1) and/or sodium hydroxide solutions (0.5 mol L-1).

Instrumentation

In this work an atomic absorption spectrometer model PG-990 with a graphite furnace atomizer and deuterium back ground correction was used all determinations. A palladium hallow cathode lamp with a wavelength of 247.6 nm, a current of 9.0 mA, a slit with of 0.4 nm was used as radiation source. The temperature program for graphite furnace atomic absorption is given in Table 1.

 

 

HLLME-FA procedure

Figure 1 shows the schematic procedure of the proposed method. A mixture of 1.0 mL acetonitrile (homogeneous solvent) and 200 µL toluene (extraction solvent) were added to the home-designed extraction cell (Figure 1-1). 30 µL APDC (0.37 % (w/v)) as a ligand was added into the 22 mL saline aqueous solution which pH was adjusted at 6.0. This solution was injected into the extraction cell by syringe, rapidly (Figure 1-2). In this step, in the initial state of injection, a homogeneous solution was formed and then with the continuation of injection an emulsion consisting of fine droplets of the extraction solvent were formed (Figure 1-3). After about 1 min, by using air flotation, the organic solvent was collected on the top of the solution (Figure 1-4). After separation of the two phases, a few volumes of distilled water were added into the glass tube on the side of the cell (Figure 1-5). The floated organic solvent was raised into the conical part of the cell. Using a microsyringe, the collected organic solvent was injected into the GFAAS instrument

 


Figure 1. Schematic HLLME-FA procedure (Figure 1-1) a mixture of 1.0 mL acetonitrile containing 200.0 µL toluene was added to the home-designed microextraction cell, (Figure 1-2) 22.0 mL of the saline aqueous solution (pH=6) was added into the microextraction cell, (Figure 1-3) a homogeneous solution was formed in the cell, (Figure 1-4) using air flotation, organic solvent was moved to the top of the solution, (Figure 1-5) a small volume of distilled water was added into the glass tube on the side of the cell

 

 


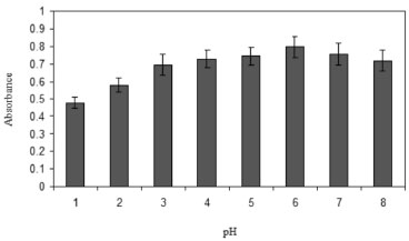
Figure 2. Effect of pH on the extraction efficiency

 

 


Figure 3. Effect of concentration of the chelating reagent on the extraction efficiency

 

 


Figure 4. Effect of NaCl concentration on the extraction efficiency

 

RESULTS AND DISCUSSION

This study explored the applicability of HLLME-FA to the analysis of Pd in the aqueous matrices. The effect of a number of variables, including the type and volume of extraction and homogeneous solvents, ionic strength, pH and concentration of APDC and extraction time on the sensitivity of the method was examined.

Selection of extraction solvent

Selection of an appropriate extraction solvent is of great importance in optimization of the HLLME-FA method. In the selection of extraction solvent, some factors should be considered. The selection of a suitable extraction solvent is limited by several characteristics, they must have low water solubility, low density than water, be able to extract the analyte of interest and be compatible with the analytical instrumentation to be used. Different low density solvents (1-undecanol, 1-octanol, and toluene) with different polarity and water solubility values were tested for this purpose. It is necessary to add an excess amount of solvent to recover an equal volume of different extraction solvents in the upper layer for comparison. The concentration of salt was 1.5 mol L-1 and 15.0 µL APDC (0.37 % (w/v)) was used. The results show that toluene has the highest extraction efficiency. It seems that the solubility of the complex in the toluene is more than the other tested solvents. Thus, toluene was selected for the subsequent experiments.

Selection of homogeneous solvent

Miscibility of homogeneous solvent in the extraction solvent and aqueous phase is the main point for selection of a homogeneous solvent. Therefore, acetone, acetonitrile, ethanol and methanol were selected for this purpose. A series of sample solutions was studied by 1.0 mL of each homogeneous solvent containing 200.0 µL toluene (as the extraction solvent). The concentration of salt was 1.5 mol L-1 and 15.0 µL APDC (0.37 % (w/v)) was used. The results showed that acetonitrile has the highest extraction efficiency with compare to the other tested solvents. Therefore, acetonitrile was selected as the homogeneous solvent in further experiments.

Selection of extraction and homogeneous solvent volumes

To examine the effect of extraction solvent volume, different amounts of toluene (200.0, 250.0 and 300.0 µL) were evaluated. By increasing the volume of toluene, the absorption of the analyte decreased, owing to the increase in the volume of the collected organic solvent. Based on the experimental results, 200.0 µL toluene was adopted for further experiments.

In order to study the influence of the volume of homogeneous solvent on the extraction efficiency, different volumes of acetonitrile (0.5, 1.0, 1.5 and 2.0 mL) was used. The results showed that with increasing of homogeneous solvent volume (acetonitrile) up to the 1.0 mL, absorption increases and then decreases. It seems that at a low volume of acetonitrile, cloudy state is not formed well, thereby, the absorption decreases. At the high volume of acetonitrile, the solubility of the complex in water increases, therefore, the absorption decreases. Therefore, 1.0 mL was selected as the optimum volume of acetonitrile.

Effect of pH

In procedures involving HLLME-FA, the pH of the aqueous solution is a very important factor for the extraction of metal ion, as it controls the interactions between the analyte and the chelating reagent. Thus, the pH of sample was studied for the extraction of palladium using buffer solutions with pH values ranging from 1-8. The results are shown in the figure 2. It was observed that the best results are obtained when the pH value is 6.0. Subsequently, a buffer solution of pH 6.0 was used in all additional experiments.

Concentration of the chelating reagent

The chelating reagent used in this HLLME-FA procedure was APDC, which was studied in the volume of 10.0 to 40.0 µL at the concentration level of (0.37 % (w/v)). The effect of APDC on the amount of palladium extracted is shown in figure 3. It can be observed that the absorption of the analytical signal reached a maximum at the volume of 30 µL. It seems that slight reduction of extraction in high concentration of APDC is due to the extraction of APDC itself, which can easily saturate the small volume of the extraction solvent. Also, at high concentration of APDC, the background absorbance was increased. Thus, for further studies, we used the volume of 30 µL of APDC with the concentration of 0.37 % (w/v).

Effect of salt addition

Effect of salt addition on the extraction efficiency was studied by changing NaCl concentration from 0.5 to 5 mol L-1. Figure 4 demonstrates the absorption of the analyte versus concentration of the NaCl. By increasing the NaCl concentration up to 3.0 mol L-1, the extraction efficiency of the analyte increases, because of salting-out effect. Higher than 3.0 mol L-1 of salt, decreased extraction efficiency, because of increased solution viscosity that reduces dispersion phenomenon. Therefore, 3.0 mol L-1 was selected as the optimal value for subsequent analysis.

Effect of extraction time

In this experiment, extraction time is the interval between beginning of the dispersion and the end of dispersion just before air flotation. Effect of extraction time was examined in the time range of 1-20 min. The results show that extraction time has no significant effect on the extraction efficiency of the analyte, because of large surface area between extraction solvent and sample solution. Hence, in the following experiments, the extraction time of 1 min was adopted to achieve maximal extraction efficiency of the analyte.

Interferences

The potential interferences of some ions on the preconcentration and determination of metal ion were examined. In these experiments, solutions of 100 µg L-1 of the analyte containing the interfering ions were treated according to the optimized procedures. Table 2 shows tolerance limits of the interfering ions. In addition, a number of common anions like Cl-, SO42-, NO3-, I- and F- were tested. The results showed that they did not interfere at the concentration up to 100 mg L-1.

 

 

Quantitative analysis

The characteristics of calibration curve was obtained under optimized conditions. Linearity was observed in the range of 1.0-200 µg L-1 for Pd with correlation coefficient (r2) of 0.9971. The relative standard deviation (RSD) was 7.5% (n=5). The limit of detection (LOD), based on signal-to-noise (S/N) of three was 0.3 µg L-1.

Table 3 compares the proposed method with the other extraction methods for the determination of palladium. Comparison of the proposed method with cloud point extraction,20 for the extraction and determination of the analyte indicates that this novel method has a short extraction time for the determination of the analyte. Quantitative results of the proposed method such as detection limit and linear range are better than of solid-phase extraction,28 solidification floating organic drop microextraction based on ultrasound-dispersion29 and dispersive liquid-liquid microextraction30 methods and comparable with cloud point extraction method. Also, the main advantages of the proposed method are this novel method does not need centrifugation to separate the organic phase and it is possible to use of low-density extraction solvents. The limitation of the presented method is the design of the special extraction cell. However, it is easy to design and made it in every laboratory. Finally, it can be concluded that the proposed method is an efficient, rapid, simple and cheap microextraction method that can be a complement technique for DLLME and HLLE methods that have been used with organic solvents more dense than water for the determination of palladium in water samples.

 

 

Sample analysis

During the present investigation, matrix effects on the extraction were also evaluated by investigating the applicability of the proposed method to determine palladium concentration in river, tap and sea water samples. These samples were extracted using HLLME-FA method and analyzed by GFAAS. These samples were spiked with palladium standard to assess matrix effects. The results of relative recoveries were between 92 to 95%. These results (Table 4) demonstrate that the tap (salinity is 0%), sea (salinity is approximately 1.2%) and river water (salinity is approximately 0.007%) matrices, in our present context, had little effect on HLLME-FA method. In order to verify the accuracy of the approach, the standard addition method was applied for the determination of palladium in spiked synthetic samples which are mentioned in Table 4. Cations which could compete significantly with for chelate formation were chosen for this purpose. The concentration of Pd in the samples was found to be 9.8 ± 0.6 and 9.9 ± 0.5 and are in good agreement with the certified value of 10.0 for Pd. Thus, the method is reliable for the determination of Pd in the water samples.

 

 

CONCLUSIONS

In the present study, a novel HLLME-FA method was developed for the extraction and determination of palladium in water samples. The method was successfully applied to the determine palladium in water samples and satisfied recoveries and suitable reproducibilites were obtained. In HLLME-FA method, consumption of toxic organic solvents is minimum. Also the proposed method has low LOD and short extraction time for the determination of palladium in water samples. We demonstrate that the optimization provides good linear ranges and improved detection limit. The proposed method was convenient for the usage of low-density extraction solvents. Air flotation was used to break up organic solvent in water emulsion and to finish the extraction process and it does not need centrifugation to separate the organic phase.

ACKNOWLEDGEMENT

Financial support by Nuclear Fuel Cycle Research School, Nuclear Science & Technology Research Institute (Tehran, Iran) for the support during the period of this research is gratefully acknowledged.

 

REFERENCES

1. Green Wood, N. N.; Earnshaw, A.; Chemistry of the Elements, 2nd ed., Buttewirth Heinemann: Oxford, 1997.

2. Balcerzak, M.; Anal. Sci. 2002, 18, 737. DOI: http://dx.doi.org/10.2116/analsci.18.737 PMID: 12137367

3. Bagheri, A.; Taghizadeh, M.; Behbahani, M.; Asgharinezhad, A. A.; Salarian, M.; Dehghani, A.; Ebrahimzadeh, H.; Amini, M. M.; Talanta 2012, 99, 132. DOI: http://dx.doi.org/10.1016/j.talanta.2012.05.030 PMID: 22967532

4. Salih, B.; Celikbicak, O.; Doker, S.; Dogan, M.; Anal. Chim. Acta 2007, 587, 272. DOI: http://dx.doi.org/10.1016/j.aca.2007.01.063 PMID: 17386783

5. Palladium emission in the environment; Zereini, F.; Alt, F., eds.; Springer-Verlag: Berlin Heidelberg, 2006.

6. Sures, B.; Zimmermann, S.; Messershmidt, J.; Von Bohlen, A.; Alt, F.; Environ. Pollut. 2001, 113, 341. DOI: http://dx.doi.org/10.1016/S0269-7491(00)00185-8 PMID: 11428142

7. Sures, B.; Zimmermann, S.; Messerschmidt, J.; Von Bohlen, A.; Ecotoxicology 2002, 11, 385. DOI: http://dx.doi.org/10.1023/A:1020517624371 PMID: 12463686

8. Vanketel, W. G.; Ntebber, C.; Contact Dermatitis 1981, 7, 331. DOI: http://dx.doi.org/10.1111/j.1600-0536.1981.tb04092.x

9. Bencs, L.; Ravindra, K.; Van Grieken, R.; Spectrochim. Acta, Part B 2003, 58, 1723. DOI: http://dx.doi.org/10.1016/S0584-8547(03)00162-9

10. Godlewska-Zylkiewicz, B.; Microchim. Acta 2004, 147, 189. DOI: http://dx.doi.org/10.1007/s00604-004-0234-2

11. Gomez, M. B.; Gomez, M. M.; Palacios, M. A.; Anal. Chim. Acta 2000, 404, 285. DOI: http://dx.doi.org/10.1016/S0003-2670(99)00723-0

12. Rauch, S.; Motelica-Heino, M.; Morrison, G.M.; Donard, O. F. X.; J. Anal. At. Spectrom. 2000, 15, 329. DOI: http://dx.doi.org/10.1039/a909100i

13. Gomez, M. B.; Gomez, M. M.; Palacios, M. A.; J. Anal. At. Spectrom. 2003, 18, 80. DOI: http://dx.doi.org/10.1039/b209727n

14. Whiteley, J. D.; Murray, F.; Sci. Total. Environ. 2003, 317, 121. DOI: http://dx.doi.org/10.1016/S0048-9697(03)00359-0 PMID: 14630416

15. Elci, L.; Soylak, M.; Buyuksekerci, E. B.; Anal. Sci. 2003, 19, 1621. DOI: http://dx.doi.org/10.2116/analsci.19.1621 PMID: 14696925

16. Anthemidis, A. N.; Themelis, D. G.; Stratis, J. A.; Talanta 2001, 54, 37. DOI: http://dx.doi.org/10.1016/S0039-9140(00)00620-2 PMID: 18968223

17. Pan, L.; Qin, Y. C.; Hu, B.; Jiang, Z. C.; Chem. Res. Chin. Univ. 2007, 23, 399. DOI: http://dx.doi.org/10.1016/S1005-9040(07)60086-5

18. Pyrzynska, K.; Talanta 1998, 47, 841. DOI: http://dx.doi.org/10.1016/S0039-9140(98)00158-1 PMID: 18967389

19. Godlewska-Zylkiewicz, B.; Spectrochim. Acta, Part B 2003, 58, 1531. DOI: http://dx.doi.org/10.1016/S0584-8547(03)00076-4

20. Tavakoli, L.; Yamini, Y.; Ebrahimzadeh, H.; Nezhadali, A.; Shariati, S.; Nourmohammadian, F.; J. Hazard. Mater. 2008, 152, 737. DOI: http://dx.doi.org/10.1016/j.jhazmat.2007.07.039 PMID: 17728058

21. Da Silva, M. A. M.; Frescura, V. L. A.; Curtius, A. J.; Spectrochim. Acta, Part B 2001, 56, 1941. DOI: http://dx.doi.org/10.1016/S0584-8547(01)00323-8

22. Rezaee, M.; Assadi, Y.; Milani Hosseini, M.R.; Aghaee, E.; Ahmadi, F.; Berijani, S.; J. Chromatogr. A 2006, 1116, 1. DOI: http://dx.doi.org/10.1016/j.chroma.2006.03.007 PMID: 16574135

23. Rezaee, M.; Yamini, Y.; Faraji, M.; J. Chromatogr. A 2010, 1217, 2342. DOI: http://dx.doi.org/10.1016/j.chroma.2009.11.088 PMID: 20005521

24. Rezaee, M.; Yamini, Y.; Shariati, S.; Esrafili, A.; Shamsipur, M.; J. Chromatogr A 2009, 1216, 1511. DOI: http://dx.doi.org/10.1016/j.chroma.2008.12.091 PMID: 19167003

25. Garcia-Lopez, M.; Rodriguez, I.; Cela, R.; J. Chromatogr. A 2007, 1166, 9. DOI: http://dx.doi.org/10.1016/j.chroma.2007.08.006 PMID: 17720171

26. Haji Hosseini, M.; Rezaee, M.; Mashayekhi, H. A.; Akbarian, S.; Mizani, F.; Pourjavid, M. R.; J. Chromatogr. A 2012, 1265, 52. DOI: http://dx.doi.org/10.1016/j.chroma.2012.09.099

27. Haji Hosseini, M.; Rezaee, M.; Akbarian, S.; Mizani, F.; Pourjavid, M. R.; Arabieh, M.; Anal. Chim. Acta 2013, 762, 54. DOI: http://dx.doi.org/10.1016/j.aca.2012.10.030

28. Ojeda, C. B.; Sanchez Rojas, F.; Cano Pavon, J.; Microchim. Acta 2007, 158, 103. DOI: http://dx.doi.org/10.1007/s00604-006-0700-0

29. Mohamadi, M.; Mostafavi, A.; Talanta 2010, 81, 309. DOI: http://dx.doi.org/10.1016/j.talanta.2009.12.004 PMID: 20188924

30. Kokya, T. A.; Farhadi, K.; J. Hazard. Mater. 2009, 169, 726. DOI: http://dx.doi.org/10.1016/j.jhazmat.2009.04.005 PMID: 19423217

On-line version ISSN 1678-7064 Printed version ISSN 0100-4042
Qu�mica Nova
Publica��es da Sociedade Brasileira de Qu�mica
Caixa Postal: 26037 05513-970 S�o Paulo - SP
Tel/Fax: +55.11.3032.2299/+55.11.3814.3602
Free access

GN1