JBCS



17:12, sáb out 25

Acesso Aberto/TP



Artigo


Análise comparativa do conteúdo em esteroides livres de diferentes óleos, gorduras e biodieseis por cromatografia gasosa
Comparative analysis of content in free steroids of different oils, fats and biodiesel by gas chromatography

Kelly da S. Bezerra; Nelson R. Antoniosi Filho*

Instituto de Química, Universidade Federal de Goiás, Campus II - Samambaia, CP 131, 74001-970 Goiânia - GO, Brasil

Recebido em 30/09/2014
Aceito em 15/01/2015
Publicado na web em 23/03/2015

Endereço para correspondência

*e-mail: nelson@quimica.ufg.br

RESUMO

In this study, the percentage content of free steroid in oils, fats and biodiesel was analyzed. For this, the saponification reaction on a microscale was used, and this procedure for extraction of unsaponifiable fraction was studied in several experimental steps. After the process of saponification, the unsaponifiable fraction was analyzed by gas chromatography with flame ionization detector, where all steroids present in each oil, fat and biodiesel were identified and their contents determined and compared to their respective biodiesel. A reduction in unsaponifiable fraction of each oil and fat and its biodiesel was noted, as well as a reduction in the content of free steroids. The results showed that, compared to the sedimentation problem of steroids in biodiesel, some raw materials, such as chicken fat and babassu oil may be promising because they have low content and high reduction percentages of steroids when converted to biodiesel.

Palavras-chave: unsaponifiable fraction; free steroids; gas chromatography.

INTRODUÇÃO

Na busca por combustíveis alternativos que venham a substituir o grande consumo de combustíveis fósseis, está o uso de biomassa. No Brasil, a utilização de biomassa para geração de energia é extremamente propícia, principalmente para produção de biodiesel. O país é consolidado como um grande produtor de soja e outras oleaginosas, o que garante perspectivas para produção de biodiesel a partir de várias matérias-primas diferentes.1-3

Em meio a tantas possibilidades de matérias-primas, a caracterização das mesmas é uma informação adicional e útil no controle de qualidade do biodiesel, uma vez que especificações diferentes serão obtidas por matérias-primas diferentes servindo, então, como parâmetro de rastreabilidade da fonte produtora do biocombustível.4,5

Dentre os métodos que podem ser utilizados na caracterização de óleos e gorduras graxas, pode-se citar o método desenvovildo por Bezerra e Antoniosi,6 baseado na composição de esteroides livres. Como os esteroides são considerados a impressão digital de óleos e gorduras - seu perfil, ou seja, tipos e proporções relativas não se repetem em diferentes óleos e gorduras - a caracterização dos mesmos é mais precisa pela ánalise dessa classe de compostos.7,8 Bezerra e Antoniosi também publicaram um trabalho sobre a extensão da caracterização de óleos e gorduras para caracterização de diferentes biodieseis,9 uma vez que os procedimentos usuais de produção de biodiesel não eliminam os esteroides livres por completo.

Esteroides são lipídeos presentes em quantidades na ordem de ppm, em óleos e gorduras, juntamente com pigmentos e tocoferóis, formando o conjunto de compostos encontrados na fração insaponificável de óleos e gorduras graxas.10,11 Em contraste com os animais, que contêm principalmente colesterol, as plantas sintetizam uma mistura complexa de diferentes tipos de esteroides, onde β-sitosterol é o principal.12,13 Embora os esteroides estejam amplamente distribuídos na natureza, muitos deles são constantemente sintetizados em laboratório, para aplicações químicas e farmacêuticas.14

Já se sabe que a presença de esteroides pode gerar sedimentos no biodiesel, por questões relacionadas principalmente à polaridade do meio e sua considerável concentração no referido biocombustível. Grandes quantidades dessas substâncias tem impacto sobre a qualidade e desempenho do biodiesel, podendo gerar problemas desde as usinas produtoras até o consumidor final.15 A sedimentação está relacionada mais diretamente à presença de esteroides conjugados a moléculas de glicose (esteroides glicosídeos), porém, como a presença desses compostos é dinâmica no meio que os contém, esteroides livres podem facilmente se ligar às cadeias glicosídicas, e com isso aumentar o conteúdo em esteroides conjugados, contribuindo para maior formação de sedimentos. Assim, a busca por matérias-primas que possuem baixos conteúdos em esteroides se tornará uma necessidade do mercado de biodiesel, já que a formação de sedimentos se tornou um problema em grandes proporções.16

Em relação a algumas propriedades do biodiesel que podem ser afetadas pela concentração de esteroides estão o aspecto e a contaminação total, propriedades estas que já são controladas pela Agência Nacional do Petróleo, Gás Natural e Biocombustíveis (ANP).17 Em relação ao aspecto, a sedimentação de esteroides gera um sólido fácil de ser visualizado, geralmente de cor amarelada, afetando assim o aspecto do biocombustível. Já no que diz respeito à contaminação total, essa sedimentação contribui para exceder o limite oficial para material insolúvel no combustível, sendo a especificação de 24 ppm para os níveis de contaminação total.18 A massa dos resíduos insolúveis pode exercer influência nas características finais do biodiesel. Dentre os principais efeitos causados podemos destacar a formação de gomas e, consequentemente, a formação de depósitos nos tanques e filtros; a corrosão nos tanques de armazenamento; o desgaste de componentes do motor veicular; e o entupimento de filtros e bicos injetores.

Pensando nisso, este trabalho teve como objetivo correlacionar os conteúdos em esteroides de óleos e gorduras graxas ao de seus respectivos biodieseis, por meio da identificação e determinação da composição percentual em massa dos esteroides livres na fração insaponificável a partir da reação de saponificação em microescala e separação por cromatografia gasosa (CG) com detector por ionização em chama (DIC).

 

PARTE EXPERIMENTAL

Reagentes

Foram utilizados solventes e reagentes de alta pureza para cromatografia adquiridos junto à Tedia Brazil. Os padrões de referência (estigmasterol, colesterol, β-sitosterol, campesterol, brassicasterol, betulinol e MSTFA [N-metil-N-(trimetilsilil)-trifluoroacetamida]) foram adquiridos junto à Sigma Aldrich e são de pureza superior a 99%.

Óleos, gorduras graxas e biodieseis

Foram utilizados na análise de esteroides livres contidos na fração insaponificável os óleos de algodão, canola, mamona, milho e palmiste, os quais correspondem a amostras que foram submetidas a refino industrial; foram ainda utilizados os óleos de amendoim, babaçu, crambe, dendê, girassol, moringa, soja, além de sebo bovino e gordura de frango sem processo de refino industrial. Todas as amostras foram armazenadas sob refrigeração a 8 ºC.

Produção de biodiesel

Através da reação de transesterificação por catálise básica, foram produzidos biodieseis metílicos a partir de todos os óleos (refinados e brutos), além do sebo bovino e gordura de frango. O procedimento reacional utilizado está de acordo com o procedimento desenvolvido por Prados et al.19 Todas as amostras foram armazenadas sob refrigeração a 8 ºC até a análise.

Caracterização dos biodieseis

Para a caracterização dos biodieseis produzidos, foram analisados os principais parâmetros de controle de qualidade exigidos pela ANP para especificação do biodiesel. Os teores de ésteres totais, mono-, di- e triacilglicerídeos, glicerol livre e glicerol total, contidos nos biodieseis metílicos, foram determinados de acordo com o método simultâneo de análise desenvolvido por Prados et al19 por cromatografia gasosa. O teor de contaminação total foi determinado de acordo com o procedimento descrito na norma NBR 15995 (Biodiesel -Determinação da contaminação total)20 utilizando sistema de filtração com membrana a vácuo. O índice de acidez foi determinado de acordo com o procedimento descrito na norma ASTM D664 (Standard test methods for acid number of petroleum products by potenciometric titration)21 por titulação potenciométrica no equipamento AT-500N da Kyoto Eletronics.

Extração da fração insaponificável

O procedimento de extração da fração insaponificável foi realizado a partir de uma adaptação em microescala, desenvolvida por Bezerra e Antoniosi,6 de uma metodologia convencionalmente utilizada, a reação de saponificação. A Figura 1 descreve as etapas do procedimento experimental utilizado.

 


Figura 1. Descriçao do procedimento experimental utilizado para extraçao dos esteroides contidos na fraçao insaponificável de óleos, gorduras e biodieseis

 

Análise cromatográfica dos esteroides contidos na fração insaponificável

Após extração da fração insaponificável, a amostra, preparada em frasco de análise, foi submetida ao procedimento de derivatização com MSTFA e diluída em piridina com volume final de 500 µL. A análise foi realizada em cromatógrafo a gás CG 2010 Shimadzu, equipado com detector por ionização em chama. Foi utilizada para separação cromatográfica coluna capilar DB17HT (30 m × 0,25 mm × 0,15 µm). A temperatura do injetor foi de 280 ºC, com injeção no modo splitless de 2 µL de amostra. H2 5,0 foi utilizado como gás de arraste à velocidade linear de 30 cm s-1 e como gás auxiliar à vazão de 40 mL min-1. O forno operou inicialmente à temperatura de 200 ºC, sendo aumentada até 330 ºC na razão de 3 ºC min-1, e mantido a essa temperatura por 5 min. O detector operou à temperatura de 320 ºC. O conteúdo percentual em esteroides livres foi determinado após a identificação dos picos cromatográficos e correlação entre a área e a massa do padrão interno betulinol às áreas dos esteroides identificados.

Estudo do método de extração e análise da fração insaponificável

A fração insaponificável do óleo de soja foi analisada previamente com o intuito de se determinar alguns parâmetros em relação ao procedimento de extração e análise cromatográfica dos esteroides livres. Dentre os ensaios realizados para o procedimento de extração foram estudados o solvente para extração da fração insaponificável e o uso de agente dessecante. Para os ensaios de análise cromatográfica, foram avaliados a utilização do procedimento de derivatização, o solvente de diluição para análise cromatográfica e o tempo de degradação dos esteroides após isolamento da fração insaponificável. Todos os ensaios foram realizados em triplicata e os coeficientes de variação (CV) calculados e expressos em porcentagem.

 

RESULTADOS E DISCUSSÃO

Caracterização dos biodieseis

Existem óleos com especificidades físico-químicas que os adéquam melhor como fonte de produção para biodiesel.2 O controle rígido do processo de produção deve ser realizado, a fim de se obter um biodiesel de alta qualidade. Para avaliar os biodieseis produzidos, foram analisados os principais parâmetros de qualidade exigidos pela Agência Nacional do Petróleo, Gás Natural e Biocombustíveis (ANP),17 os quais são descritos pela Resolução ANP Nº 14,18 sendo eles, índice de acidez, teor de ésteres metílicos totais, teor de monoacilglicerídeos, teor de diacilglicerídeos e teor de triacilglicerídeos, teor de glicerol livre e glicerol total. Os resultados obtidos para cada parâmetro estão descritos na Tabela 1.

 

 

Como a ANP exige índice de acidez máximo de 0,5 mg KOH g-1 no seu controle de qualidade, os biodieseis estão dentro do valor especificado (Tabela 1), sendo que apenas o biodiesel de gordura de frango apresentou índice de acidez maior que o limite máximo estabelecido pela ANP, com 0,55 ± 0,01 mg KOH g-1, porém, essa variação foi pequena e a mesma não influencia nas análises subsequentes que serão realizadas a partir desse biodiesel.

O rendimento teórico da reação de transesterificação é mensurado em relação ao percentual em massa de ésteres totais produzidos além do percentual em massa de mono-di-triacilglicerídeos residuais das matérias-primas. Para teor de ésteres totais a ANP determina teores superiores a 96,5% (m/m). Os rendimentos alcançados para os biodieseis produzidos em maioria atingiram o valor recomendado (Tabela 1). Os biodieseis de dendê (95,85 ± 0,10), gordura de frango (94,18 ± 0,26%) e sebo bovino (93,46 ± 0,22%) apresentaram teores de ésteres totais aquém do recomendado pela ANP. Esses resultados são considerados aceitáveis se considerarmos que o processo de transesterificação foi realizado em uma única etapa, e em escala industrial, é comum que a produção de biodiesel ocorra em até duas etapas reacionais de transesterificação, por exemplo.

Para mono-di-triacilglicerídeos, os teores percentuais determinados na maioria das amostras de biodieseis estão de acordo com os limites estabelecidos pela ANP, de 0,80% (m/m), 0,20% (m/m) e 0,20% (m/m), respectivamente. Os biodieseis de amendoim, dendê, girassol, gordura de frango, mamona e sebo bovino desviaram dos limites determinados pela ANP quanto ao conteúdo de monoacilglicerídeos e/ou diacilglicerídeos e/ou triacilglicerídeos (Tabela 1). O biodiesel de amendoim foi o único a ultrapassar os limites tanto de monoacilglicerídeos, diacilglicerídeos e triacilglicerídeos, mesmo o valor percentual em ésteres totais tendo alcançado a valor mínimo especificado. Esses limites excedidos não foram elevados e assim não causam influência direta nas análises subsequentes que serão realizadas a partir dos biodieseis produzidos.

Outros componentes residuais do processo de produção e que são avaliados no controle de qualidade do biodiesel são os resíduos de glicerol, subproduto formando durante a transesterificação do óleo para produção do biodiesel. Os limites máximos estabelecidos pela ANP são de 0,02% (m/m) e 0,25% (m/m) para glicerol livre e glicerol total, respectivamente. Os biodieseis de palmiste e crambe tiveram os limites de glicerol livre excedidos. Os biodieseis de amendoim, gordura de frango, mamona e sebo bovino tiveram os limites de glicerol total excedidos (Tabela 1). Os biodieseis de babaçu e dendê tiveram os limites tanto de glicerol livre quanto glicerol total excedidos (Tabela 1). Assim como para os limites de mono-di-triacilglicerídeos, os limites de glicerol livre e glicerol total não foram drasticamente excedidos e esses resultados não vem a influenciar o uso posterior desses biodieseis.

Estudo do método de extração e análise da fração insaponificável

O procedimento de isolamento dos esteroides presentes na fração insaponificável de óleos, gorduras e biodieseis foi estudado quanto a algumas condições experimentais, com o propósito de melhorar a etapa de extração por saponificação e análise cromatográfica dos esteroides livres.

Como solvente de extração da fração insaponificável foram testados hexano, éter de petróleo e ciclohexano. Os resultados mostraram que a extração foi semelhante para os diferentes solventes, com coeficientes de variação de 2,54%, 2,47% e 2,58% para hexano, éter de petróleo e ciclohexano, respectivamente. Assim, qualquer desses solventes poderia ser utilizados na etapa de extração da fração insaponificável. Optou-se por utilizar hexano pois esse é de menor custo, maior disponibilidade e menor toxicidade.

O sulfato de sódio, por ser um ótimo agente dessecante, pode ser utilizado na secagem da fração insaponificável, antes da evaporação do solvente, tornando o produto livre de água residual proveniente da solução de lavagem etanol/água. Porém, essa etapa foi estudada para saber a que ponto a utilização de sulfato de sódio anidro é útil, ou se ele poderia vir a reter por adsorção os esteroides livres previamente isolados. Os resultados obtidos, via análise cromatográfica, mostraram que o isolamento com utilização de sulfato de sódio não afetou o rendimento da extração dos esteroides, com coeficientes de variação de 3,07% e 3,23% para utilização de dessecante e não utilização de dessecante, respectivamente. Apesar dos coeficientes de variação serem semelhantes, optou-se por utilizar sulfato de sódio, uma vez que a fração insaponificável isolada sem secagem continha resíduos de água quando submetida à evaporação total do solvente de extração.

Em cromatografia gasosa é comum amostras que eventualmente venham a promover problemas na separação cromatográfica pela baixa instabilidade, devido à presença de grupos funcionais como hidroxilas, serem submetidas ao processo de derivatização, garantindo, dentre outros benefícios, picos bem definidos.22 A utilização dessa etapa no preparo da amostra pré-análise foi avaliada e os resultados foram emblemáticos, onde a análise sem derivatização não proporcionou separação e definição na eluição dos esteroides, o que comprometeu a análise. De forma oposta, com a amostra derivatizada percebeu-se uma definição clara dos picos eluídos, proporcionando a identificação e quantificação dos esteroides livres.

Para a análise cromatográfica foi necessária a diluição final da fração insaponificável, antes da injeção no cromatógrafo, para evitar a saturação dos analitos. Para diluição final foram testados como solventes n-heptano e piridina. Apesar do n-heptano ser universalmente utilizado como solvente para essa finalidade,23 e a piridina ser considerada um solvente nocivo à saúde, os resultados mostraram que a diluição final em piridina é, do ponto de vista analítico, mais favorável uma vez que demonstrou uma capacidade de diluição dos esteroides superior à apresentada pelo n-heptano, com coeficientes de variação de 2,52% e 3,28%, respectivamente. Assim, o uso de n-heptano como solvente de diluição final poderia vir a comprometer a análise quantitativa destes esteroides, diminuindo a sensibilidade do método. Em relação ao estudo de degradação dos esteroides após isolamento da fração insaponificável, observou-se que os mesmos se mantêm mais estáveis quando são diluídos em piridina, ocorrendo degradação somente 13 h após o isolamento da fração insaponificável. Para a diluição final em n-heptano a degradação ocorreu após 8 h de isolamento.

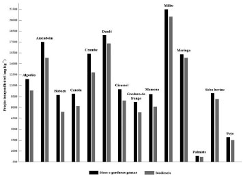
Determinação do conteúdo em massa da fração insaponificável

Para análise dos óleos, gorduras e biodieseis quanto aos seus conteúdos em esteroides na forma livre, primeiramente, determinou-se a massa da fração insaponificável (mg kg-1) previamente isolada para cada óleo ou gordura graxa, bem como de seus respectivos biodieseis. Entre os óleos e gorduras, o conteúdo de fração insaponificável para óleo de milho (21500 mg kg-1) foi superior ao determinado para as outras matérias-primas graxas. Os óleos de palmiste (1310 mg kg-1) e soja (3900 mg kg-1) foram os que apresentaram menores conteúdos. Os resultados mostraram, ainda, que todos os biodieseis analisados tiveram seus conteúdos em massa de fração insaponificável inferior ao de seus respectivos óleos e gorduras provenientes, porém, de maneira geral, a redução foi discreta (Figura 2). O óleo de babaçu foi o que apresentou maior diferença percentual em massa, comparado ao biodiesel de babaçu, com percentual de reduçaõ de 23,71%. Os óleos de moringa e milho apresentaram a menor diferença percentual, 3,33% e 4,79%, respectivamente, quando comparados aos seus respectivos biodieseis.

 


Figura 2. Comparaçao dos conteúdos em massa da fraçao insaponificável obtida para óleos e gorduras ao de seus respectivos biodieseis

 

Como já dito, a fração insaponificável de um óleo ou gordura está relacionada à presença de algumas classes de compostos, por exemplo, tocoferóis, bem como de esteroides livres. Portanto, o conteúdo em massa de fração insaponficável está relacionada ao conteúdo das várias classes de compostos que possam estar presentes. Da mesma forma, as observações se estendem à análise dos biodieseis, e a redução dos conteúdos de fração insaponificável, comparado aos conteúdos de seus óleos e gorduras graxas, pode estar relacionada não somente à redução do conteúdo em esteroides, mas ao conteúdo de qualquer outro composto que faça parte de sua composição.

Identificação dos esteroides livres nos óleos, gorduras e biodieseis

A análise cromatográfica permitiu a identificação de vinte e cinco diferentes esteroides distribuídos entre os óleos, gorduras e biodieseis, com a determinação de seus tempos de eluição absoluto e relativo ao padrão interno betulinol (Tabela 2). O padrão interno betulinol eluiu no tempo de 29,13 min. A identificação da presença de brassicasterol, campesterol, estigmasterol, β-sitosterol e colesterol foi realizada utilizando-se dados do perfil cromatográfico mediante à análise dos padrões de referência destes esteroides. A identificação dos esteroides denominados de St. 1 a St. 20 foi realizada por comparações entre tempo e ordem de eluição, que apresentaram nas amostras que os continham, pelos dados da literatura.6,9

 

 

A Figura 3 apresenta o perfil cromatográfico obtido pela análise dos esteroides livres no sebo bovino e biodiesel de sebo bovino, sendo apenas dois esteroides identificados em ambos. A Figura 4 apresenta o perfil cromatográfico obtido pela análise dos esteroides livres no óleo de palmiste e biodiesel de palmiste, sendo dez diferentes esteroides identificados no óleo e sete diferentes esteroides identificados no biodiesel de palmiste. Esses resultados apresentam a diversidade em esteroides que podem conter amostras provenientes de fontes vegetais, ao passo que amostras animais contém pouca diversidade em esteroides.

 


Figura 3. Cromatogramas referentes à análise de esteroides livres no sebo bovino e biodiesel de sebo

 

 


Figura 4. Cromatogramas referentes à análise de esteroides livres no óleo e biodiesel de palmiste

 

Determinação do conteúdo percentual em esteroides livres nos óleos, gorduras e biodieseis

Feita a identificação dos esteroides, foi calculado o percentual em massa de seus conteúdos, sendo que para o total em esteroides livres foi atribuído o valor de 100%, e os demais esteroides tiveram seus percentuais ponderados em relação ao total. As Tabelas 3 e 4 apresentam os valores percentuais obtidos para o conteúdo em esteroides para cada óleo, gordura e biodiesel.

 

 

 

 

Os resultados indicam que β-sitosterol é o esteroide mais abundante nos óleos, gorduras e biodieseis provenientes de fontes vegetais, com valores percentuais acima de 35% para todas as amostras. De modo geral, outros esteroides com altos conteúdos presentes nas amostras foram estigmasterol, campesterol e St. 1. Apenas β-sitosterol, estigmasterol e campesterol tiveram seus conteúdos percentuais mensurados em todos os óleos, gorduras e biodieseis. Além disso, os óleos e seus respectivos biodieseis apresentaram diversidade na composição em esteroides, com mensuração de vinte e três diferentes esteroides.

O óleo e biodiesel de soja foram as amostras que apresentaram maior diversidade em esteroides livres, seguido do óleo e biodiesel de milho. Alguns esteroides presentes nos óleos de algodão, amendoim, babaçu, crambe, girassol, palmiste e soja não tiveram percentuais mensurados em seus respectivos biodieseis, devido basicamente ao processo reacional de produção de biodiesel. A relevância desses esteroides na composição dos determinados óleos e biodieseis não é tão expressiva, exceto para St. 11, que contribui com 34,45% na composição em esteroides do óleo de dendê. Assim, em termos de composição, a falta desses esteroides não contribui para a indevida identificação dos biodieseis, pois como já dito, a diversidade pela presença de outros esteroides e os conteúdos percentuais são caraterísticos de cada óleo, gordura e/ou biodiesel. Óleos e biodieseis de canola (St. 14), palmiste (St. 19), milho (St. 4) e soja (St. 12, St. 13 e St. 17) contêm esteroides característicos que tornam mais fácil a sua caracterição em meio à mistura com outros óleos e biodieseis.

A gordura de frango e o sebo bovino são matérias-primas utilizadas na produção de biodiesel, provenientes de fontes animais. Portanto, os esteroides identificados nessas matérias-primas, bem como de seus respectivos biodieseis, não são os mesmos que para as outras matérias-primas descritas, as quais são provenientes de fontes vegetais. Assim, o esteroide predominante nessas amostras é o colesterol, chegando a representar mais de 88% em massa para sebo bovino e biodiesel de sebo bovino. Além do colesterol, outro esteroide denominado de St. 18 foi identificado nas amostras de sebo bovino. A gordura de frango e biodiesel de gordura de frango apresentaram conteúdo de 100% em colesterol e, portanto, este foi o único esteroide identificado nessas amostras.

Comparação entre os conteúdos em esteroides livres de óleos e gorduras e de biodieseis

Como já citado, alguns esteroides que foram identificados nos óleos e gorduras não foram identificados em seus respectivos biodieseis, bem como os conteúdos de certos esteroides também foram percentualmente menores. Com isso, foram determinados os percentuais em massa de redução, do total em esteroides livres, para os diferentes biodieseis, quando comparados ao conteúdo de seus respectivos óleos e gorduras. O percentual de redução de esteroides para cada biodiesel está apresentado na Figura 5. Os biodieseis de babaçu, gordura de frango, amendoim, palmiste, sebo bovino, milho e dendê apresentaram percentuais de redução expressivos. Para moringa, crambe e girassol os percentuais de redução não foram tão expressivo, mas são consideráveis, e seus valores percentuais foram semelhantes entre si. Soja, mamona, algodão e canola foram os biodieseis que tiveram menor redução nos conteúdos de esteroides.

 


Figura 5. Distribuiçao percentual de reduçao de esteroides livres nos diferentes biodieseis

 

A redução desses esteroides ocorre devido às próprias condições reacionais de conversão a biodiesel, sendo utilizado, principalmente, reações de transesterificação em condições brandas, muito parecidas com as condições reacionais da reação de saponificação, a qual promove a extração da fração insaponificável que contém os esteroides livres. A principal diferença é que na reação de saponificação utiliza-se base como reagente, em excesso, e o produto de interesse é a fração insaponificável. Já na transesterificação, utiliza-se álcool em excesso, pois o produto de interesse são os esterés de ácidos graxos livres de impurezas, e ao retirar essas impurezas, parte da fração insaponificável pode ser eliminada.

Do ponto de vista da cadeia produtiva de biodiesel no Brasil, considerando-se o problema de sedimentação que altas concentrações de esteroides pode gerar, os resultados mostram que as matérias-primas que tiveram seus conteúdos em esteroides consideravelmente reduzidos quando convertidos à biodiesel, como babaçu e palmiste, podem tornar-se promissoras, quando se pondera os problemas de sedimentação e armazenamento de biodiesel causados pelas altas concetrações desses esteroides.

 

CONCLUSÃO

Este trabalho apresentou uma método eficiente para a análise de esteroides livres contidos na fração insaponificável de óleos, gorduras e biodieseis. O método se mostrou aplicável e robusto, mesmo com alterações nas etapas de extração da fração insaponificável e separação cromatográfica dos esteroides livres.

A diversidade de óleos, goduras e biodieseis aqui estudados foi ampla, além da grande diversidade de esteroides identificados. Os conteúdos de fração insaponificável para cada óleo e gordura foram comparados aos conteúdos de fração insaponificável de seus respectivos biodieseis, e todos sofreram redução em massa de suas frações insaponificáveis.

Os resultados foram úteis para subsidiar o controle de qualidade de matérias-primas graxas utilizadas na produção de biodiesel, já que o teor de esteroides influencia na formação de sedimentos sendo, portanto, necessário avaliá-los antes de se decidir pelo uso de uma determinada matéria-prima graxa. Com isso, diminui-se a probabilidade de ocorrência de formação desses sedimentos que comprometem a qualidade do biodiesel e de suas misturas ao óleo diesel. Apesar dos óleos de frango, babaçu e palmiste apresentarem os maiores percentuais de redução de esteroides livres, dentre os diferentes biodieiseis, suas matérias-primas ainda são pouco utilizadas pela cadeia produtiva de biodiesel no Brasil.

 

AGRADECIMENTOS

Ao Ministério da Ciência Tecnologia e Inovação (MCTI) pelo apoio financeiro, à CAPES pela bolsa concedida à K. da S. Bezerra, ao CNPq pela bolsa concedida a N. R. Antoniosi Filho (Produtividade em Pesquisa, Processo 309832/2010-1) e à FUNAPE pela administração dos recursos financeiros.

 

REFERÊNCIAS

1. Ma, F.; Hanna, A.; Bioresour. Technol. 1999, 70, 1. DOI: http://dx.doi.org/10.1016/S0960-8524(99)00025-5

2. Beltrao, N. E. M.; Oliveira, M. I. P.; Embrapa Algodao, Documentos 201, Campina Grande, 2008.

3. Fukuda, H.; Kondo, A.; Noda, H.; J. Biosci. Bioeng. 2001, 92, 405. DOI: http://dx.doi.org/10.1016/S1389-1723(01)80194-8 PMID: 16233120

4. Lôbo, I. P.; Ferreira, S. L. C.; Cruz, R. S.; Quim. Nova 2009, 32, 1596. DOI: http://dx.doi.org/10.1590/S0100-40422009000600044

5. Monteiro, M. R.; Ambrozin, A. R. P.; Liao, L. M.; Ferreira, A. G.; Talanta 2008, 77, 593. DOI: http://dx.doi.org/10.1016/j.talanta.2008.07.001

6. Bezerra, K. S.; Antoniosi Filho, N. R.; J. Braz. Chem. Soc. 2014, 2, 238.

7. Choong, Y-M.; Lin, H-J.; Chen, C-W.; Wang, M-L.; J. Food Drug Anal. 1999, 7, 279.

8. Al-Ismail, K. M.; Alsaed, A. K.; Ahmad, R.; Al-Dabbas, M.; Food Chem. 2010, 121, 1255. DOI: http://dx.doi.org/10.1016/j.foodchem.2010.01.016

9. Bezerra, K. S.; Antoniosi Filho, N. R.; Fuel 2014, 130, 149. DOI: http://dx.doi.org/10.1016/j.fuel.2014.04.024

10. Giese, J.; Food Technology 1998, 52, 47.

11. Piironen, V.; Lindsay, D. G.; Miettinen, T. A.; Toivo, J.; Lampi, A-M.; J. Sci. Food Agric. 2000, 80, 939. DOI: http://dx.doi.org/10.1002/(SICI)1097-0010(20000515)80:7<939::AID-JSFA644>3.0.CO;2-C

12. Bloch, K.; Nobel Lectures 1964, 11, 79.

13. Hang, J.; Dussault, P.; Steroids 2010, 75, 879. DOI: http://dx.doi.org/10.1016/j.steroids.2010.05.016 PMID: 20685279

14. Liere, P.; Akwaa, Y.; Weill-Engerera, S.; Eychennea, B.; J. Chromatogr. B 2001, 739, 301. DOI: http://dx.doi.org/10.1016/S0378-4347(99)00563-0

15. Bondioli, P.; Cortesi, N.; Mariani, C.; Proteomics 2008, 110, 120.

16. Webpage, Sterol Glucoside Content in Vegetable Oils as a Risk for the Production of Biodiesel - Study of the Technological Chain Impact 23.01.14, <http://www.agqmbiodiesel.de/files/9913/2999/1436/ApplicationToAmericanSoybeanAssociation_FinalReport.pdf>.

17. Webpage ANP - Agência Nacional do Petróleo, Gás Natural e Biocobustíveis 02/03/14<http://nxt.anp.gov.br/nxt/gateway.dll/leg/resolucoes_anp/2012/maio/ranp%2014%20-%202012.xml>.

18. http://nxt.anp.gov.br/nxt/gateway.dll/leg/resolucoes_anp/2012/maio/ranp%2014%20-%202012.xml, acessada em Março 2014.

19. Prados, C. P.; Rezende, D. R.; Batista, L. R.; Alves, M. I. R. Antoniosi Filho, N. R. Fuel 2012, 96, 476. DOI: http://dx.doi.org/10.1016/j.fuel.2011.11.060

20. NBR 15995, Biodiesel - Determinaçao da contaminaçao total, ABNT - Associaçao Brasileira de Normas Técnicas, Sao Paulo, 2011, www.abnt.com.br.

21. ASTM D664-11a, Standard Test Method for Acid Number of Petroleum Products by Potentiometric Titration, ASTM International, West Conshohocken, PA, 2011, www.astm.org.

22. Ferreira, H. E. C. S.; Elliott, W. H.; J. Chromatogr. B: Biomed. Sci. Appl. 1991, 562, 697. DOI: http://dx.doi.org/10.1016/0378-4347(91)80619-N

23. Urioste, D.; Castro, M. B. A.; Biaggio, F. C.; Castro, H. F.; Quim. Nova 2008, 31, 407. DOI: http://dx.doi.org/10.1590/S0100-40422008000200038

On-line version ISSN 1678-7064 Printed version ISSN 0100-4042
Qu�mica Nova
Publica��es da Sociedade Brasileira de Qu�mica
Caixa Postal: 26037 05513-970 S�o Paulo - SP
Tel/Fax: +55.11.3032.2299/+55.11.3814.3602
Free access

GN1