JBCS



17:30, sáb out 25

Acesso Aberto/TP



Educação


Desenvolvimento de fármacos por hibridação molecular: uma aula prática de química medicinal usando comprimidos de paracetamol e sulfadiazina e a ferramenta virtual SciFinder®
Drug development by molecular hybridization: a medicinal chemistry practice class using paracetamol and sulfadiazine tablets and the virtual tool SciFinder®

Cleônia Roberta Melo Araújo*; Carlos Alberto Leite Filho; Victória Laysna dos Anjos Santos; Gabriela Lemos de Azevedo Maia; Arlan de Assis Gonsalves

Colegiado de Ciências Farmacêuticas, Universidade Federal do Vale do São Francisco, Campus Petrolina Centro, 56304-917 Petrolina - PE, Brasil

Recebido em 21/11/2014
Aceito em 03/03/2015
Publicado na web em 01/04/2015

Endereço para correspondência

*e-mail: cleonia.araujo@univasf.edu.br

RESUMO

Medicinal Chemistry is a multidisciplinary discipline and the discovery of new bioactive molecules is one of its objectives. Molecular Hybridization (MH) is a strategy of rational design of new prototypes, where the lead compound is produced through an adequate fusion of pharmacophoric sub-unities. Undergraduate laboratory experiments for Medicinal Chemistry education with a focus on MH are scarce. Therefore, the present paper describes a practice class for some undergraduate courses (Pharmacy, Chemistry and/or Chemical Engineering) involving drug development and MH that can be performed at low cost. In this work, alternative materials such as paracetamol and sulfadiazine tablets were used to engage student's attention and to contextualize important concepts of MH. The experiment describes the synthesis of a new compound involving the azo coupling between an aromatic amine (sulfadiazine) and a phenol (paracetamol) to show undergraduate students a practical example of MH. In this case, SciFinder® - a search website of the American Chemical Society - was also demonstrated and utilized as a search tool in the proposed experimental class.

Palavras-chave: medicinal chemistry; molecular hybridization; azo coupling; SciFinder.®

INTRODUÇÃO

A Química Medicinal (QM) é uma disciplina que tem por objetivos a descoberta de novas moléculas bioativas, a interpretação dos mecanismos de ação em nível molecular e a construção de relações existentes entre as estruturas químicas dos fármacos e suas respectivas atividades farmacológicas.1,2 Assim, por se tratar de um componente curricular de caráter multidisciplinar, já que abrange ciências exatas e ciências biológicas e da saúde,3 a divulgação de aulas experimentais que envolvam aspectos teóricos abordados nesta disciplina podem despertar um interesse maior pelo estudo de QM por graduandos de cursos afins, tais como: Farmácia, Química, Engenharia Química e Biotecnologia.

Conhecimentos adquiridos por meio do estudo de QM contribuem para a busca de novas moléculas bioativas. Neste sentido, a hibridação molecular, um termo estudado em QM e definido sucintamente como uma junção de fragmentos bioativos em uma estrutura molecular química única, é uma estratégia clássica eficiente para o desenho de novos protótipos.1

Estudantes que cursam QM normalmente relatam aos professores dificuldades para estudar esta disciplina, tendo em vista que temas importantes, tal como a hibridação molecular, são pouco explorados em livros texto, principalmente os disponíveis em língua portuguesa. Além disso, aulas práticas com foco em aspectos teóricos ministrados em QM são difíceis de serem implantadas em laboratórios de universidades públicas por questões de limitação de reagentes, equipamentos e vidrarias essenciais para a realização das mesmas. Em razão disto, este trabalho expõe uma abordagem teórica e fornece um exemplo de aula prática que pode ser realizada facilmente em laboratórios de química enfocando a estratégia de descoberta de novos protótipos denominada de hibridação molecular. No experimento serão utilizados materiais alternativos, como comprimidos de paracetamol e sulfadiazina, de forma a despertar um maior interesse dos estudantes e minimizar os custos da aula. O presente artigo também visa mostrar aos estudantes como o SciFinder®, uma ferramenta disponível na internet e vinculada ao Chemical Abstract Service (CAS), pode ajudar em aulas experimentais de Química e na pesquisa científica em geral.

 

ASPECTOS TEÓRICOS

Paracetamol

Em 1950, o paracetamol (1) foi introduzido no mercado como analgésico e antipirético, tornando-se uma substância bastante popular desta classe farmacológica.4 Trata-se de um derivado do p-aminofenol, sendo o produto metabólico da fenacetina e acetanilida, que não possui atividade anti-inflamatória.5 No Brasil, o paracetamol (1) é considerado um fármaco de venda livre, exibindo poucos efeitos adversos se administrado dentro do recomendado. Em doses elevadas (200 a 250 mg kg-1) este fármaco pode causar a morte em indivíduos por necrose hepática.6 Trata-se de um pó cristalino branco, inodoro e de leve sabor amargo. Sendo ligeiramente solúvel em água, facilmente solúvel em etanol e em solução aquosa de hidróxido de sódio 1,0 mol L-1 e insolúvel em clorofórmio. Apresenta fórmula C8H9NO2, massa molar de 151,16 g mol-1 e faixa de fusão entre 168 ºC e 172 ºC.7

Sulfadiazina

A sulfadiazina (2) é um antibacteriano da classe das sulfonamidas, este fármaco atua inibindo a produção de ácido fólico no interior da célula bacteriana resultando na morte do patógeno.8 Trata-se de uma sulfa de ação curta, absorvida e excretada rapidamente, indicada para tratar infecções sistêmicas. Em oftamologia é usada no tratamento de tracoma e toxoplasmose ocular. Um derivado deste fármaco, a sulfadiazina de prata, é utilizado para a prevenção e tratamento de queimaduras infectadas.5 Por se tratar de um antibiótico, a venda de sulfadiazina (2) no Brasil somente é permitida com receita médica. Trata-se de um pó branco ou amarelado inodoro, que escurece lentamente por exposição à luz, é insolúvel em água e clorofórmio, pouco solúvel em etanol e solúvel em solução aquosa de hidróxido de sódio 1,0 mol L-1 e em solução aquosa de ácido clorídrico 3,0 mol L-1. Apresenta fórmula C10H10N4O2S, massa molar de 250,28 g mol-1 e faixa de fusão entre 252 ºC e 256 ºC, com decomposição.7

Hibridação molecular

Antes de focarmos em hibridação molecular, faz-se necessário relembrar o que são compostos protótipos em QM. Protótipo é definido como a primeira substância estudada com estrutura química definida, de origem natural ou sintética, que exiba alguma atividade farmacológica in vivo.9

A hibridação molecular (HM) é uma estratégia clássica de conjugação de estruturas de compostos bioativos distintos em uma única molécula, sendo uma alternativa eficaz de arquitetar racionalmente estruturas moleculares de novos compostos protótipos.9 Segundo Nepali e Colaboradores, a HM pode estar baseada na junção de fármacos distintos (HM do tipo droga-droga) ou de grupos farmacofóricos de fármacos distintos (HM do tipo farmacofórica). Em ambos os casos, a nova molécula produzida por HM passa a se chamar de híbrido, o qual frequentemente apresenta maior afinidade e eficácia que os compostos que lhe deram origem.10 A Figura 1 demonstra um esquema que resume os tipos de HM.

 


Figura 1. Tipos de hibridação molecular. Adaptado da Ref. 10

 

Um exemplo de hibridação do tipo droga-droga é a síntese do benorilato, um fármaco anti-inflamatório, analgésico e antipirético, obtido mediante reação entre o paracetamol (analgésico e antipirético) e o cloreto do ácido acetilsalicílico, um derivado do ácido acetilsalicílico (anti-inflamatório, analgésico e antipirético). A mesma estratégia foi utilizada para obter outro híbrido com as mesmas ações farmacológicas, o acetaminossalol, sintetizado a partir do paracetamol e do ácido salicílico.5,11

 


Figura 2. Estruturas químicas do benorilato e do acetaminossalol, híbridos obtidos por HM do tipo droga-droga

 

A HM é realizada no sentido de se alcançar um dos seguintes objetivos: a) sinergismo de ação farmacológica; b) terapia de dupla ação farmacológica; ou c) modulação de efeitos secundários indesejáveis.10

O híbrido de ação sinérgica é obtido quando se unem covalentemente fármacos inteiros, ou apenas os grupos farmacofóricos, e que exibem a mesma atividade farmacológica, mas que atuam em alvos bioquímicos distintos. O objetivo final do híbrido será incrementar uma única atividade farmacológica por vias distintas.

No híbrido de dupla ação são unidos covalentemente fármacos, ou grupos farmacofóricos, com atividades biológicas diferentes, mas que possuem alguma relação com o quadro patológico do enfermo. Neste caso, espera-se que o híbrido, também conhecido como agente simbiótico,9 exerça duas ações farmacológicas distintas no sentido de combater causas e sintomas decorrentes da doença.

Por fim, o híbrido modulador será obtido quando une-se um fármaco, ou grupo farmacofórico, que irá desempenhar a ação terapêutica e produzir uma ação secundária indesejável, a um segundo fármaco, ou grupo farmacofórico, que irá minimizar ou anular o efeito secundário indesejado provocado pelo primeiro.12

O método de HM faz uma analogia entre a evolução biológica proposta por Darwin e a evolução química das moléculas. Assim, moléculas-mãe dão origem a uma geração de moléculas-filha híbridas, resultantes de combinações de subunidades estruturais. Por meio deste processo é possível obter uma biblioteca com uma enorme variedade de moléculas híbridas por combinações distintas de fármacos ou grupos farmacofóricos. Considerando que as moléculas-mãe já tiveram sua toxicidade e características físico-químicas e farmacológicas estudadas, esta se torna uma metodologia de desenvolvimento de moléculas bioativas mais eficazes e que demanda menos tempo.12

Supondo que a molécula-mãe 1 apresenta atividade analgésica/antipirética (tal como o paracetamol) e a molécula-mãe 2 trata-se de um antimicrobiano (tal como a sulfadiazina), uma biblioteca molecular poderia ser montada a partir de HM com o intuito de se obterem diversos híbridos com atividade analgésica/antipirética, antimicrobiana, ou até mesmo com ambas as propriedades. Caso fosse obtido sucesso na síntese do híbrido e na combinação das atividades farmacológicas citadas anteriormente, uma única molécula poderia ser usada para combater ao mesmo tempo uma infecção bacteriana e os sintomas de dor e febre que esta doença produz.

Reações de diazotação e acoplamento azo

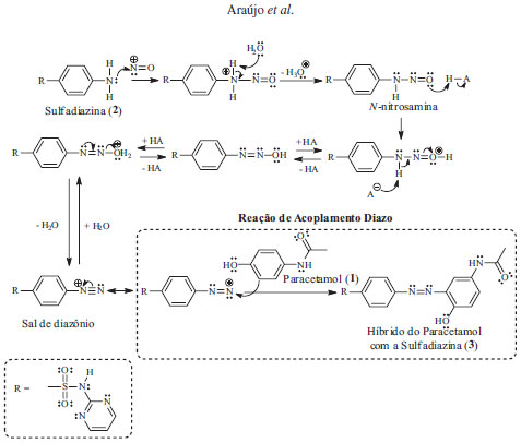
Os azocompostos são substâncias que apresentam a estrutura geral R-N=N-R. Os compostos desta classe com o radical arila (Ar-N=N-Ar') são coloridos e, em razão disto, são utilizados principalmente como corantes orgânicos. Compostos azo aromáticos podem ser obtidos por meio da reação clássica de acoplamento diazo, a qual envolve um cátion de arenodiazônio (eletrófilo) e outro anel aromático ativado por um grupo substituinte doador de elétrons, tal como uma amina primária ou fenol (nucleófilo). Para que o acoplamento azo aconteça é necessária uma preparação prévia do cátion de arenodiazônio, um eletrófilo que deve ser gerado a frio (T < 5 ºC) a partir de uma reação de diazotação entre uma amina aromática primária e um agente nitrosante, tal como o nitrito de sódio (NaNO2), em presença de uma solução aquosa de ácido clorídrico (HCl). Na diazotação, ocorre inicialmente o ataque nucleofílico da amina aromática ao cátion nitrosila (NO+), gerando a N-nitrosamina correspondente que, em seguida, elimina água para formar o eletrófilo (Figura 3). Posteriormente, o cátion de arenodiazônio pode sofrer uma reação de substituição eletrofílica, também chamada de reação de acoplamento azo, por aminas primárias aromáticas em meio levemente ácido (5 < pH < 7) ou por fenóis ativados em meio levemente alcalino (pH < 10). Cabe salientar que os acomplamentos azo envolvendo aminas aromáticas primárias e fenóis ocorrem preferencialmente na posição para, se este local estiver livre. Caso a posição para estiver ocupada, o acoplamento azo ocorrerá na posição orto (Figura 3).13-15

 


Figura 3. Mecanismo da reação de acoplamento azo entre o paracetamol (1) e a sulfadiazina (2) para a formação do híbrido (3), o protótipo da aula experimental

 

Ferramenta virtual de pesquisa - SciFinder®

O SciFinder® é uma ferramenta de pesquisa do Chemical Abstracts Service (CAS) desenvolvida para ser usado por estudantes e pesquisadores. O mesmo consiste de uma base de dados virtual na qual é possível encontrar indexados uma variedade enorme de artigos, patentes, teses, resumos de congressos e outros documentos disponibilizados pela comunidade científica mundial. Materiais bibliográficos de diferentes áreas, tais como: Química, Física, Biologia, Engenharia, Microbiologia, Farmácia, dentre outros, podem ser facilmente obtidos por meio desta plataforma.16

Na realidade, o SciFinder® busca literaturas científicas a partir do acesso de outras seis bases de dados: o CAPLUS, com artigos, patentes e teses; o MEDLINE, com informações sobre Saúde; o REGISTRY, com substâncias químicas; CASREACT, com reações químicas; o CHEMCATS, com os fornecedores de produtos; e o CHEMLIST, com listas regulatórias.16

O SciFinder® apresenta uma interface entre referências, substâncias e reações químicas, sendo esse o seu grande diferencial. Por meio desta interface é possível realizar a busca usando como parâmetro a estrutura molecular de um composto, um esquema reacional ou simplesmente um tópico.

Comparando com outras plataformas de pesquisa que utilizam tópicos como parâmetros de busca, o SciFinder® não apresenta novidades. Contudo, caso a pesquisa parta de uma substância, o usuário pode desenhar a estrutura molecular desejada, ao invés de empregar o nome comum, a nomenclatura segundo a IUPAC ou ainda o número de registro CAS da substância. O desenho é montado no editor de estruturas (Structure Editor) da própria ferramenta, que possui vários recursos e possibilita, por exemplo, a construção de centros com a estereoquímica definida, ou até mesmo a busca por uma série de compostos ao utilizar na molécula radicais (R) e defini-los como sendo uma variedade de átomos, pequenas cadeias ou ciclos carbônicos, grupos funcionais e outros.

O editor de estruturas também possibilita a busca por reações químicas através de esquemas com reagentes e seta de reação e produtos. Esta ferramenta mostra as condições reacionais encontradas e as literaturas que as relatam. A busca por reações também pode ser realizada apenas com um produto determinado e, desta forma, serão apresentadas as condições reacionais e os reagentes possíveis. Se o intuito for conhecer os produtos de uma reação, apenas os reagentes precisam ser colocados como parâmetros de busca, sendo os possíveis produtos e condições reacionais encontrados.

Outra inovação de grande valia que o SciFinder® traz é a possibilidade de busca por grupos Markush. O termo "Grupo Markush" é bastante utilizado em patentes e se refere a um esqueleto molecular proposto a partir de um protótipo, e representa inúmeras moléculas que possuem o mesmo esqueleto, mas com radicais diferentes, sendo assim "uma classe de substâncias".17

Dentro do contexto de desenvolvimento de novos protótipos sintéticos, o SciFinder® se coloca como uma ferramenta de valia inestimável, sendo possível verificar de forma rápida a existência de registro científico de uma substância inédita, ou não, utilizando apenas a estrutura molecular como parâmetro de busca. Informações sobre condições reacionais para sua síntese, propriedades físico-químicas, atividades biológicas, bem como outros dados também podem ser obtidos.

Uma aula experimental que vise ilustrar o desenvolvimento de fármacos sintéticos empregando HM é um momento oportuno para o professor apresentar o SciFinder® aos estudantes, estimulando, assim, o uso desta plataforma por estudantes de cursos de graduação, a qual também poderá lhe ser útil na elaboração de trabalhos acadêmicos em geral e, inclusive, na elaboração de seu próprio trabalho de conclusão de curso (TCC).

O acesso ao SciFinder® pode ser realizado por meio da rede de internet disponibilizada em instituições de ensino ou pesquisa que possuam acesso ao portal de periódicos da CAPES ou em qualquer local do planeta. Contudo, esta última opção de acesso só será permitida se a instituição que o usuário esteja vinculado disponibilize um serviço de PROXY autenticado. Maiores informações sobre este tipo de acesso podem ser obtidas no setor da instituição responsável por gerenciar a rede de internet local. No interesse em conhecer melhor o SciFinder®, tutoriais de cadastro de usuário e de utilização podem ser acessados em: http://www-periodicos-capes-gov-br.ez21.periodicos.capes.gov.br/index.php?option=com_ptreinaments&task=&boxchecked=0&controller=Docs&view=ptreinamentsdocs&limitstart=0&filter_typeid=2&search=scifinder.

 

PARTE EXPERIMENTAL

Planejamento dos experimentos

A sequência de experimentos apresentada neste trabalho foi idealizada para fornecer aos discentes, de forma simplificada, aspectos práticos da descoberta de novos fármacos por meio de HM. Assim, o experimento aqui exposto tem por objetivo final a produção de uma molécula híbrida a partir de um analgésico/antitérmico e um antimicrobiano.

Para a execução dos experimentos os autores sugerem que a turma seja separada em equipes de três estudantes, sendo sugeridas quatro aulas práticas de duas horas cada. A primeira aula visa apresentar o SciFinder® como interface de pesquisa no desenvolvimento de protótipos sintéticos; na segunda, o híbrido do paracetamol (1) e sulfadiazina (2) será sintetizado por meio de uma reação de diazotação e acoplamento azo (Figura 3); a terceira e quarta aula serão destinadas à avaliação do sucesso da reação por meio de cromatografia em camada delgada (CCD), medição de ponto de fusão (P.f.), obtenção do espectro de absorção molecular na região do ultravioleta-visível (UV-Vis) e avaliação do espectro de infravermelho do produto de reação.

Aula prática 1

SciFinder®

A primeira aula prática foi destinada ao uso do SciFinder® e dividida em dois momentos, sendo o primeiro focado na busca por estruturas moleculares e o segundo, na busca por reações químicas. Anteriormente ao início da aula um estudante de cada equipe foi cadastrado na plataforma.

Aula prática 2

Reagentes

Todos os solventes e reagentes foram utilizados sem purificação adicional. Comprimidos vencidos de sulfadiazina (500 mg) utilizados nos experimentos foram doados por uma unidade básica de saúde de Petrolina-PE. Comprimidos de paracetamol (500 mg) foram comprados em uma farmácia comercial de Petrolina-PE.

Reação de diazotação

Neste procedimento, 1 comprimido de sulfadiazina de um medicamento genérico contendo 500 mg deste fármaco (2,0 mmol) foi macerado com gral e pistilo. Posteriormente, 10,0 mL de HCl 6,0 mol L-1 foi adicionado para solubilizar o fármaco. A suspensão obtida permaneceu sob agitação manual durante 2 minutos e então foi filtrada direto para um balão de reação de 25 mL com duas bocas. O resíduo sólido (excipientes insolúveis) foi descartado. O filtrado foi posto em banho de gelo munido de termômetro e mantido sob agitação magnética. Em seguida, adicionou-se gota-a-gota a solução de NaNO2 (2,0 mmol; 0,14 g) dissolvido em água deionizada (2 mL) à solução ácida do fármaco. Durante a adição a temperatura não ultrapassou 5 ºC. Esta última mistura foi denominada de solução 1 e permaneceu em banho de gelo e sob agitação magnética até a preparação da solução 2.

Reação de acoplamento azo

Neste procedimento, 1 comprimido de paracetamol de um medicamento genérico contendo 500 mg deste fármaco foi inicialmente pesado em balança analítica. Posteriormente, o comprimido foi macerado com gral e pistilo, e uma quantidade de pó contendo o equivalente a 0,303 g de paracetamol (2,0 mmol) foi transferido para um béquer de 10 mL. Em seguida, adicionou-se 2 mL de uma solução aquosa 10% (m/v) de NaOH. A suspensão obtida permaneceu sob agitação manual durante 2 minutos e então foi filtrada direto para um balão reacional de 25 mL com duas bocas para produzir a solução 2. O resíduo sólido (excipientes insolúveis) foi descartado. O balão reacional contendo o filtrado foi imerso em banho de gelo sob agitação magnética e munido de termômetro. A solução 1 foi adicionada sob gotejamento sobre a solução 2 ao longo de 5 minutos, sendo mantido o banho de gelo e a agitação magnética durante mais 5 minutos. Por fim, foi adicionada à mistura anterior 2,0 mL de HCl 6,0 mol L-1. Após 5 minutos da adição do ácido, o sólido vermelho foi separado da suspensão por filtração a vácuo e lavado com 25,0 mL de água deionizada. O sólido obtido foi dissolvido a partir do próprio papel de filtro usando 25,0 mL de etanol absoluto. A solução marrom avermelhada coletada (filtrado alcoólico) teve seu solvente evaporado em evaporador rotativo até obtenção de um sólido amorfo avermelhado (0,46 g; P.f. 220-224 ºC), Figura 1S. Rendimento bruto 55%.

Aula prática 3

Cromatografia em camada delgada

Amostras de paracetamol (1), sulfadiazina (2) e produto reacional (3) foram dissolvidos em etanol absoluto e aplicadas a aproximadamente 0,3 cm na extremidade inferior de folhas de alumínio (2 cm x 4 cm) recobertas de sílica gel 60 com indicador de fluorencência UV254. Em seguida, a placa foi eluida em mistura de solvente metanol/acetato de etila (1:9) e revelada em lâmpada de ultravioleta, Figura 2S.18

Determinação do ponto de fusão

Para se determinar a temperatura de fusão, o sólido obtido foi macerado e compactado em tubo capilar previamente selado em uma das extremidades. O tubo capilar contendo a amostra foi fixado na extremidade metálica de um termômetro químico e suspenso dentro de um béquer contendo glicerina. Em seguida, a glicerina foi lentamente aquecida com o auxílio de placa aquecedora e a temperatura de fusão do sólido foi registrada. O procedimento foi realizado em triplicata.18

Aula prática 4

Espectros de absorção molecular na região do ultravioleta-visível

Espectros de absorção na região do ultravioleta-visível foram registrados em espectrofotômetro UV-Vis (Nova Instruments® modelo NI-1600 UV) usando cubetas de quartzo de 1,0 cm de percurso óptico. Inicialmente foram preparadas, usando etanol absoluto como solvente, soluções estoque distintas contendo 1000 mg L-1 do pó macerado de comprimidos de paracetamol (1), do pó macerado de comprimidos de sulfadiazina (2) e do pó macerado do produto de reação (3). Em seguida, foram realizadas diluições sucessivas das soluções estoque para obter soluções contendo 50 mg L-1 dos reagentes mencionados utilizando o mesmo solvente. As soluções diluídas tiveram suas absorbâncias determinadas na faixa de 200 a 600 nm, com intervalos de 10 nm, sendo etanol absoluto usado como branco, Figura 4.

 


Figura 4. Espectros de UV-Vis das matérias-primas (1) e (2) e do produto reacional (3) na concentração de 50 ppm

 

Espectro de absorção molecular na região do infravermelho

Espectros de absorção na região do infravermelho foram registrados em espectrômetro FT-IR (Perkin Elmer® modelo Spectrum 400), na faixa de 400 a 4000 cm-1, e incorporando o produto de reação (3) em pastilha de KBr, Figura 5.

 


Figura 5. Espectro de IV do produto reacional, o azo composto híbrido (3)

 

RESULTADOS E DISCUSSÕES

Seguindo a sequência de aulas práticas propostas, no primeiro momento os estudantes utilizaram a interface de busca SciFinder® para obter informações sobre os reagentes orgânicos que seriam utilizados na segunda aula prática, bem como do produto esperado após o acoplamento azo. Inicialmente, os estudantes utilizaram as estruturas moleculares como parâmetro de busca. Ao realizar a pesquisa com a molécula do paracetamol (1) a plataforma apresentou 641 estruturas, sendo a molécula correta identificada e selecionada pelos estudantes. Na ocasião, as seguintes informações foram obtidas: número de registro no CAS, peso molecular, temperaturas de fusão e ebulição, e nomenclatura segundo a IUPAC. Além disso, também foi observado que alguns espectros experimentais do composto estavam disponíveis, tais como: espectro de infravermelho, UV-Vis, ressonância magnética nuclear de hidrogênio (H1 RMN) e carbono (C13 RMN), Figuras 6S, 7S, 8S e 9S. As mesmas informações da sulfadiazina (2) foram obtidas quando a sua estrutura molecular foi pesquisada, conforme Figuras 10S, 11S, 12S, 13S e 14S. Ao realizar a busca com a estrutura molecular do híbrido (3) nenhum composto foi encontrado pelo SciFinder®, sugerindo que a molécula sintetizada pode ser um composto inédito (Figura 15S e 16S). A partir dos dados obtidos, os alunos construíram uma tabela de informações, Tabela 1S.

Em seguida, os estudantes desenharam o esquema da reação desejada. Neste momento foram colocados os reagentes, o paracetamol (1) e a sulfadiazina (2), a seta de reação e o híbrido esperado (3), e nenhuma informação foi encontrada pela plataforma (Figura 17S e 18S). O resultado corrobora com a ideia de que o referido azo aromático (3) ainda não tenha sido preparado anteriormente. Para conseguir as condições reacionais para a reação de acoplamento azo, uma reação utilizando reagentes mais simples, o fenol e a sulfonamida, foi pesquisada e as informações necessárias alcançadas, conforme Figuras 19S e 20S.

A segunda aula prática destinou-se à realização das reações de diazotação e acoplamento azo, empregando os comprimidos de paracetamol (1) e sulfadiazina (2) para obtenção do híbrido (3), Figura 1S. Após a evaporação do solvente, foi obtido 0,46 g de um sólido amorfo avermelhado.

A aula de síntese do azo composto híbrido foi bastante proveitosa, pois os discentes puderam inserir de forma prática a síntese orgânica dentro da QM e do processo de desenvolvimento de novos fármacos. Os estudantes ficaram bastante entusiasmados com a possibilidade de obter novos protótipos usando materiais alternativos como reagentes de partida, como os comprimidos comerciais de paracetamol (1) e sulfadiazina (2) utilizados nos experimentos.

Caso não seja possível a obtenção dos comprimidos de sulfadiazina, os autores sugerem outros compostos bioativos de baixo custo e fácil aquisição que podem ser empregados para esta atividade: a sulfanilamida (atividade antibacteriana)20 e o ácido salicílico (atividade anti-inflamatória).21 O material suplementar traz o experimental da hibridação da sulfanilamida com o ácido salicílico, Experimental 1S, Esquema 1S, Figuras 21S, 22S, 23S e 24S. E a reação de hibridação da sulfanilamida com o paracetamol, Experimental 2S, Esquema 2S, Figuras 25S, 26S, 27S e 28S.

A terceira e quarta aula foram destinadas à análise do produto reacional obtido, visando averiguar o sucesso da reação de acoplamento azo. Para isso foram empregadas as técnicas de cromatografia em camada delgada (CCD), determinação do ponto de fusão do sólido obtido, análise espectrofotométrica na região do ultravioleta-visível das matérias-primas (1) e (2) e do híbrido (3) e análise de infravermelho.

Na CCD os fatores de retenção (Rf) encontrados para o paracetamol (1), sulfadiazina (2) e híbrido (3), usando a fórmula: Rf = distância pecorrida pela substância/distância pecorrida pelo solvente (metanol/acetato de etila 1:9), foram bastante próximos, sendo de aproximadamente de 0,54, 0,57 e 0,48, respectivamente. Contudo, é possível perceber que os sinais das substâncias reveladas no UV exibem colorações diferentes, sugerindo que se trata de substâncias distintas (Figura 2S) e que a reação de azo acoplamento provavelmente tenha ocorrido.

Ao se determinar o P.f. do sólido avermelhado sintetizado foi obtida a seguinte faixa de fusão: 220 a 224 ºC. Não foi possível comparar o P.f. do produto da reação com os dados da literatura para o azo (3), pois a pesquisa no SciFinder® baseando-se na estrutura química do híbrido (3) não localizou nenhuma literatura, fato que nos leva a crer que esta substância trata-se de uma molécula orgânica inédita. Contudo, a temperatura de fusão obtida foi diferente dos P.f. das matérias-primas de partida, que no caso do paracetamol é de 168 a 172 ºC e da sulfadiazina 252 a 256 ºC. Este é um forte indício de que a reação de azo acoplamento tenha dado certo.

O espectro de absorção na região do UV-Vis de soluções etanólicas de paracetamol (1), sulfadiazina (2) e do produto azo obtido (3) apresentaram bandas com máximo de absorção (λmax) diferentes, incluindo uma banda na região do visível para espectro do produto (3), fato que sugere que a síntese do composto azo tenha ocorrido com êxito (Figura 4). Além disso, o espectro do azo composto (3) apresentou três bandas de absorção, a primeira delas, com comprimento de onda de absorção máxima (λmax) em 247 nm, pode ser atribuída à transição π→π* do heterociclo da sulfadiazina. A segunda banda, com λmax em 330 nm, pode ser atribuída à transição eletrônica n→π* do grupo azo (N=N). Já a terceira e última banda, na região do visível e com λmax em 425 nm, provavelmente resulta da transição π→π* dos elétrons envolvidos no sistema hiperconjugado do azobenzeno sintetizado, conforme citações de Gup e col. (2007).19 Um último indício de que a reação tenha ocorrido é a própria coloração da solução etanólica do híbrido (3), de cor marrom avermelhada, o que sugere que o composto azo foi sintetizado.

O espectro de infravermelho (IV) do produto obtido em fase sólida após prensagem em pastilha de KBr mostram bandas de absorção de ambos os fármacos que deram origem ao protótipo (Figura 5). Além disso, o espectro apresentou uma banda fraca em 1372 cm-1, a qual pode ser atribuída à vibração de deformação N=N característica de azobenzenos assimétricos conforme o relatado por Gup e col. (2007).19 Este espectro foi comparado com os IV do paracetamol (1) e da sulfadiazina (2) obtidos na busca realizada pelos estudantes no SciFinder®, Figuras 9S e 14S.

Em seguida, o rendimento bruto da reação foi calculado empregando-se a Equação 1.

Na qual R% representa o rendimento bruto reacional percentual, sendo RR o rendimento real em mol e RT o rendimento teórico em mol. Aplicando-se esta equação aos resultados experimentais, obteve-se 55% de rendimento bruto reacional. Neste caso, usou-se o termo rendimento bruto, já que após a obtenção do híbrido (3) não foi realizada uma purificação do mesmo, sendo que a CCD obtida (Figura 2S) mostra que o produto reacional ainda contém impurezas. Um fato que explica este rendimento moderado é o controle do pH durante o experimento. Como foi sintetizada uma molécula anfótera, ou seja, com grupo fenol ácido e um grupo pirimidina básico, se faz necessário controlar rigorosamente o pH para favorecer uma maior precipitação do híbrido (3), composto pouco solúvel em sua forma não ionizada, previamente à etapa de filtração a vácuo. Cabe salientar que um estudo visando obter o pH ótimo de precipitação/filtração do protótipo não foi realizado, tendo em vista que o rendimento bruto da reação obtido (55%) foi suficiente para o propósito da aula prática.

 

CONCLUSÃO

O trabalho apresentou uma atividade prática de fácil execução que exemplifica como a Síntese Orgânica pode atuar no desenvolvimento de novas moléculas bioativas através da estratégia de HM. Como proposta de aula prática foi apresentada a síntese de um híbrido possivelmente inédito obtido a partir da junção entre os fármacos paracetamol e sulfadiazina, via reações de diazotação e acoplamento azo, e alguns experimentos de caracterização do produto. Além de expor aspectos experimentais que ajudaram a contextualizar alguns aspectos teóricos de HM, os autores julgaram o momento oportuno para utilizar o aplicativo SciFinder® em aulas da graduação, e assim estimular o uso desta ferramenta de busca entre os estudantes de Química, Farmácia e áreas afins.

 

MATERIAL SUPLEMENTAR

As fotos do produto da reação de acoplamento azo (Figura 1S) e da CCD (Figura 2S), as imagens obtidas no SciFinder® (Figuras 3S à 20S), os experimentais para a reação de hibridação da sulfanilamida com o ácido salicílico e com o paracetamol (Experimental 1S e 2S, Esquemas 1S e 2S) e os resultados obtidos nestes experimentos (Figuras 21S à 28S) estão gratuitamente disponíveis no endereço http://quimicanova.sbq.org.br.

 

AGRADECIMENTOS

Ao CNPq, à FACEPE e à UNIVASF. À Profª Débora Santos Carvalho dos Anjos e ao Prof. Helinando Pequeno de Oliveira, pela análise de FT-IR dos produtos de reação.

 

REFERÊNCIAS

1. Barreiro, E. J.; Fraga, C. A. M.; Miranda, A. L. P.; Rodrigues, C. R.; Quim. Nova 2002, 25, 129. DOI: http://dx.doi.org/10.1590/S0100-40422002000100022

2. http://www.chem.qmul.ac.uk/iupac/medchem/ix.html, acessada em Novembro 2014.

3. Lima, L. M.; Quim. Nova 2007, 30, 1456. DOI: http://dx.doi.org/10.1590/S0100-40422007000600015

4. Barbosa, M. L. C.; Eur. J. Med. Chem. 2009, 44, 3612. DOI: http://dx.doi.org/10.1016/j.ejmech.2009.02.026 PMID: 19327871

5. Korolkovas, A.; Burckhalter, J. H.; Química Farmacêutica, 1ª ed., Guanabara Koogan, 1988.

6. Brunton, L. L.; Lazo, J. S.; Parker, K. L.; Goodman & Gilman: As Bases Farmacológicas da Terapêutica, 11ª ed., Editora McGraw-Hill: Rio de Janeiro, 2006.

7. Brasil; Farmacopeia Brasileira, volume 2, Agência Nacional de Vigilância Sanitária. Brasília: Anvisa, 2010, 904p.

8. Ali, M. S.; Al-Lohedan, H. A.; J. Mol. Liq. 2014, 197, 124. DOI: http://dx.doi.org/10.1016/j.molliq.2014.04.029

9. Barreiro, E. J.; Fraga, C. A. M.; Química Medicinal: As Bases Moleculares da Açao dos Fármacos, 2ª ed., Artmed, 2008.

10. Nepali, K.; Sharma, S.; Sharma, M.; Bedi, P. M. S.; Dhar, K. L.; Eur. J. Med. Chem. 2014, 77, 422. DOI: http://dx.doi.org/10.1016/j.ejmech.2014.03.018 PMID: 24685980

11. Azara, P. O.; Dicionário de substâncias farmacêuticas comerciais, 5ª ed., Associaçao Brasileira de Indústria Farmoquímica (ABIQUIF): Rio de Janeiro, 2013. 724 p.

12. Viegas-Junior, C.; Danuello, A.; Bolzani, V. da S.; Barreiro, E. J.; Fraga, C. A. M.; Curr. Med. Chem. 2007, 14, 1829. DOI: http://dx.doi.org/10.2174/092986707781058805 PMID: 17627520

13. Solomons, T. W. G.; Fryhle, C. B.; Química Orgânica, 7ª ed., vol. 2., Editora LTC: Rio de Janeiro, 2002.

14. Carey, F. A.; Organic Chemistry, 4ª ed., McGraw-Hill, 2001, cap. 22.

15. Smith, M. B.; March, J.; March's Advanced Organic Chemistry, 6ª ed., John Wiley & Sons, 2007, cap. 11.

16. https://www.periodicos.capes.gov.br/?option=com_pcollection&mn=70&smn=%2079&cid%20=64, acessado em Novembro 2014.

17. Jannuzzi, A. H. L.; Vasconcellos, A. G.; de Souza, C. G.; Cadernos de Saúde Pública 2008, 24, 1205. DOI: http://dx.doi.org/10.1590/S0102-311X2008000600002 PMID: 18545747

18. Pavia, D. L.; Lampman G. M.; Engel R. G.; Química Orgânica Experimental; Alencastro, R. B., trad.; 2ª ed., Bookman, 2009, técnica 9 e 20.

19. Gup, R.; Giziroglu, E.; Kirkan, B.; Dyes Pigm. 2007, 73, 40. DOI: http://dx.doi.org/10.1016/j.dyepig.2005.10.005

20. Mitscher, L. A.; Lemke, T. L.; Gentry, E. J. Em Foye's Principles of Medicinal Chemistry, 6th ed.; Lemke, T. L.; Roche, V. F.; Williams, D. A.; Zito, S. W., eds.; Lippincott Williams & Wilkins, 2008, cap. 38.

21. Borne, R.; Levi, M.; Wilson, N. Em Foye's Principles of Medicianl Chemistry, 6th ed.; Lemke, T. L.; Roche, V. F.; Williams, D. A.; Zito, S. W., eds.; Lippincott Williams & Wilkins, 2008, cap. 36.

On-line version ISSN 1678-7064 Printed version ISSN 0100-4042
Qu�mica Nova
Publica��es da Sociedade Brasileira de Qu�mica
Caixa Postal: 26037 05513-970 S�o Paulo - SP
Tel/Fax: +55.11.3032.2299/+55.11.3814.3602
Free access

GN1