JBCS



15:07, sáb out 25

Acesso Aberto/TP



Artigo


Influência da idade das folhas de Eugenia uniflora L. na composição química do óleo essencial
Influence of age of the leaves of E. uniflora L. on chemical composition of essential oil

Frances R. SantosI; Raimundo Braz-FilhoI,II,#; Rosane N. CastroI,*

IDepartamento de Química, Instituto de Ciências Exatas, Universidade Federal Rural do Rio de Janeiro, 23897-000, Seropédica - RJ, Brasil
IILaboratório de Ciências Químicas, Centro de Ciência e Tecnologia, Universidade Estadual do Norte Fluminense, 28013-602 Campos dos Goytacazes - RJ, Brasil

Recebido em 08/10/2014
Aceito em 05/03/2015
Publicado na web em 30/04/2015

Endereço para correspondência

*e-mail: nora@ufrrj.br

RESUMO

GC-FID, GC-MS and NMR spectral data were used to analyze the composition of the essential oils extracted from young and mature leaves of E. uniflora L. grown in Seropédica - RJ. Thirty and twenty-five compounds were identified, corresponding to approximately 98.19% and 93.77% of the total amount of oils, respectively. The major components of the young leaves were (3Z,7E)-3,7-dimethyl-10-(propan-2-ylidene)cyclodeca-3,7-dienone (germacrone, 34.59%), 4,5,6,7-tetrahydro-3,6-dimethyl-5-(prop-1-en-2-yl)-6-vinylbenzofuran (curzerene, 26.56%) and (1Z,5E)-1,5-dimethyl-8-(propan-2-ylidene)cyclodeca-1,5-diene (germacrene B, 12.72%), and of the mature leaves were curzerene (35.75%), germacrene B (19.22%) and β-(E,1R,9S)-4,11,11-trimethyl-8-methylenebicyclo[7.2.0]undec-4-ene (caryophyllene, 12.55%). The multivariate analysis applied to data from GC-MS allowed discrimination of the differences in the chemical composition of oils based on the age of the leaves. The components germacrone, curzerene e furanodiene (not observed during conventional chromatographic analysis) were isolated from the essential oil of young leaves. These compounds were characterized by GC-MS, and 1H and 13C NMR (1D and 2D).

Palavras-chave: Eugenia uniflora L.; essential oil; multivariate analysis; NMR data.

INTRODUÇÃO

Eugenia uniflora L. (Myrtaceae), conhecida como pitangueira, é uma árvore frutífera nativa do Brasil tendo seu cultivo bem difundido em outros países da América do Sul.1 Suas folhas jovens, apresentam uma coloração bronze passando a um verde escuro com o envelhecimento,2 sendo largamente utilizadas na medicina popular, na forma de infusão ou decocção, para a prevenção de inúmeras doenças.3

Relatos na literatura têm destacado o estudo dos constituintes químicos presentes no óleo essencial extraído das folhas de pitangueira, bem como das diversas atividades biológicas encontradas, tais como antimicrobiana e antioxidante,4 hepatoprotetora,5 antifúngica,6 antinociceptiva, hipetérmica,7 antitumoral,8 inseticida9 e indutor de fitoalexinas.10

Vários trabalhos na literatura discutem a composição química variada e as propriedades biológicas do óleo essencial das folhas de pitangueira cultivadas em diferentes regiões do Brasil e de outros países, demonstrando que E. uniflora L. apresenta um elevado potencial para exploração medicinal e cosmética.4-8,11-14 Esta variedade dos constituintes pode ser atribuída às mudanças climáticas, composição do solo, época de coleta, altitude, métodos de extração12 e a diferentes biótipos da espécie.6 Tais estudos demonstraram a complexidade enfrentada na análise da composição química e da concentração dos componentes no óleo essencial de E. uniflora L. Para tais amostras complexas e com grande variedade de constituintes, a quimiometria, por meio de tratamentos estatísticos, é uma ferramenta útil para a obtenção de informações relevantes e complementares, que evidenciam diferenças ou similaridades entre as amostras. As duas técnicas de análise multivariadas mais empregadas são a análise de componentes principais (ACP) e análise de agrupamentos hierárquicos (AAH). A ACP tem como proposta expressar as informações mais significativas contidas nas variáveis originais em um número menor de novas variáveis, chamadas de componentes principais (CPs), preservando, ao mesmo tempo, o máximo de informação. A procura de padrões é feita examinando-se os CPs que concentram as informações mais relevantes por meio de gráficos de "scores" e "loadings", que permitem ainda estimar a influência de cada variável em cada amostra. No caso da análise de agrupamentos hierárquicos, o resultado é expresso na forma de dendograma que relaciona as amostras ou variáveis de forma que aquelas mais semelhantes se agrupam entre si.15 Além disso, existe também uma vasta discussão a respeito de possíveis rearranjos térmicos revelados por diversas substâncias do tipo 1,4-dienos, tais como os sequiterpenos, que têm seus esqueletos rearranjados por meio de uma reação sigmatrópica (Rearranjo de Cope [3,3]). Este problema tem sido descrito como transformação química durante o processo de análise por cromatografia a gás em temperaturas superiores a 200 ºC, condições experimentais frequentemente utilizadas na análise de sesquiterpenos presentes em óleos essenciais, tais como germacrona (1), furanodieno (3) e germacreno-B (4), que rearranjam para β-elemenona (5), curzereno (2) e g-elemeno (6), respectivamente.16

Normalmente, essas substâncias não podem ser avaliadas por CG-EM utilizando as condições experimentais usuais com rampa de aquecimento no forno, porque esse rearranjo pode ocorrer dificultando a diferenciação e/ou quantificação das substâncias no detector. Assim, muitas das vezes as análises devem ser realizadas em condições brandas (isotermas a 100 ºC) e/ou as substâncias devem ser fracionadas e depois identificadas separadamente por técnicas espectroscópicas.

O objetivo do presente trabalho foi, portanto, estudar a composição química do óleo essencial obtido de folhas jovens e maduras de E. uniflora L. do município de Seropédica (RJ) por CG-EM e CG-DIC aplicando métodos de análise exploratória (ACP e AAH) nos resultados obtidos, além de isolar e caracterizar a germacrona (1), o curzereno (2) e o furanodieno (3), sesquiterpenos presentes no óleo, a fim de avaliar a ocorrência do rearranjo térmico que essas substâncias sofrem durante a cromatografia gasosa convencional.

 

PARTE EXPERIMENTAL

Procedimentos experimentais gerais

Obtenção do material vegetal e extração do óleo essencial

As folhas de E. uniflora L. (Myrtaceae) foram coletadas em diferentes meses do ano de 2013 (janeiro, março, julho e outubro), no período da manhã, no município de Seropédia - RJ, Brasil, sendo que a espécie utilizada foi identificada e uma exsicata da planta se encontra depositada no herbário do Jardim Botânico da UFRRJ sob nº RBE 2364.

As folhas frescas maduras (100 g) e as folhas frescas jovens (80 g) de E. uniflora L. foram submetidas à hidrodestilação durante 4 h utilizando-se um aparelho de Clevenger modificado. As folhas foram trituradas e depositadas no balão de destilação, juntamente com 500 mL de água destilada, e, depois de concluído o processo, o óleo essencial foi separado da água e seco sob sulfato de sódio anidro. Os óleos essenciais extraídos foram acondicionados em frasco de vidro âmbar a 4 ºC e ao abrigo da luz. O rendimento do óleo essencial foi calculado e expresso em peso de óleo por peso de folhas frescas. As análises foram realizadas com três repetições.

Isolamento dos constituintes do óleo essencial

Os óleos essências foram submetidos, separadamente, à cromatografia em coluna convencional (CC) de sílica gel e as frações coletadas monitoradas por cromatografia de camada delgada analítica (CCDA). Uma porção do óleo (cerca de 100 mg) foi analisada em uma coluna recheada com sílica gel 60 (230-400 mesh, Merck, Darmstadt, Alemanha), pré-condicionada com éter de petróleo. Para a separação dos constituintes da folha madura a fração menos polar contendo hidrocarbonetos foi eluída com éter de petróleo, enquanto para a folha jovem uma eluição sucessiva com uma mistura de éter de petróleo: AcOEt (90:10, v/v) forneceu a fração mais polar. Os solventes foram removidos usando uma corrente de N2, as frações foram analisadas por CCDA (cromatofolhas de gel de sílica 60 F254 sobre alumínio) e a revelação das substâncias foi feita após imersão das placas em solução de vanilina sulfúrica, seguida de aquecimento. As susbtâncias isoladas por CC foram analisadas, posteriormente, por CG-DIC, CG-EM, CLAE-DAD e RMN 1H e 13C (1D e 2D).

Análises cromatográficas dos óleos essenciais e substâncias isoladas

Análises cromatográficas dos óleos essenciais e substâncias isoladas foram realizadas usando um sistema de cromatografia em fase gasosa acoplada à espectrometria de massa (Shimadzu CG-EM, GC-17A/ QP2010 Plus). As análises foram realizadas com coluna capilar Factor Four-VF-5ms (30 m × 0,25 nm de diâmetro interno × 0,25 µm de espessura de filme); com programação de temperatura de 60 ºC a 260 ºC (3 ºC min-1), depois 10 ºC/min até 290 ºC, temperatura do injetor a 220 ºC, interface de 310 ºC, fonte de íons a 220 ºC e energia de impacto de 70 eV. O gás carreador hélio com vazão de 1 mL min-1, razão de split 1:30 e 1,0 µL de óleo essencial injetado em diclorometano. Os fragmentos foram analisados na faixa de varredura de 40-500 u.m.a.. A identificação dos componentes do óleo essencial foi realizada por meio de seus índices de retenção (RI), calculados para cada constituinte por meio da injeção de uma série de padrões de hidrocarbonetos lineares (C8-C20) nas mesmas condições da amostra, e comparados com o valor tabelado,17 bem como com o banco de dados da biblioteca (Nist08).18

As análises quantitativas foram feitas utilizando um cromatógrafo em fase gasosa equipado com um detector de ionização de chamas (CG-DIC), utilizando-se um aparelho HP-5890- série II, nas mesmas condições experimentais e temperatura do detector de 280 ºC. A quantidade relativa (%) de cada componente do óleo foi expressa como percentagem da área do pico em relação à área total dos picos no extrato.

Tratamento dos dados

A análise estatística foi realizada para examinar a variabilidade da composição química entre as folhas jovens e maduras de E. uniflora L. onde foi utilizado o software The Unscramble® 10.3 para Análise de Componentes Principais (ACP) e Análise de Agrupamento Hierárquico (AAH). Os valores de porcentagem em área (% área) extraídos dos dados obtidos por CG-EM foram convertidos em uma matriz de dados (10 amostras x 33 variáveis) para a construção dos gráficos de ACP e AAH utilizando dez amostras dos óleos (cinco da extração por hidrodestilação das folhas jovens-FJ e cinco das folhas maduras-FM) e 33 variáveis (substâncias identificadas nos óleos). Análise de Agrupamento Hierárquico (AAH) foi realizada para estudar as semelhanças entre as amostras com base na distribuição de componentes químicos do óleo essencial. Para a obtenção do dendograma do AAH foram utilizadas a distância Euclidiana quadrática e o método de variância mínima de Ward.

Análise por RMN

Os espectros de RMN 1H e 13C (1D e 2D) da germacrona, curzereno e furanodieno foram obtidos em espectrômetro Bruker, modelo Avance III (500 MHz para 1H e 125 MHz para 13C), em acetona-d6 (1 e 3) e CDCl3 (2) como solventes. Os deslocamentos químicos (δH e δC) foram registrados em ppm com base na referência interna o sinal do TMS.

Germacrona (1): RMN 1H (acetona-d6, 500 MHz) δH (mult.; J em Hz; H): 1,41 (s; H-15), 1,61 (s; H-14), 1,72 (s; H-13), 1,78 (s; H-12), 2,88 (m; H-9a), 3,39 (d; 10,4; H-9b), 2,81 (m; H-6a), 2,90 (m; H-6b), 2,11 (m; H-3a), 2,13 (m; H-3b), 2,15 (m; H-2a), 2,40 (m; H-2b), 4,73 (dd; 11,4 e 2,8; H-5), 4,97 (dl; 12,3; H-1). RMN 13C (acetona d6, 125 MHz) δC: 15,67 (C-15), 15,67 (C-14), 19,86 (C-12), 22,37 (C-13), 24,58 (C-2), 26,69 (C-6), 38,65 (C-3), 56,26 (C-9), 126,25 (C-5), 127,69 (C-4), 129,77 (C-7), 133,01 (C-1), 135,77 (C-10), 138,11 (C-11), 206,63 (C-8).

Curzereno (2) RMN 1H (CHCl3, 500 MHz) δH (mult.; J em Hz; H): 1,06 (s; H-15), 1,74 (s; H-14), 1,92 (d; 1,2; H-13), 2,29 (t; 6,8; H-5), 2,36 (d; 6,2; H-9a), 2,67 (d; 6,2; H-9b), 2,41 (dd; 6,8 e 1,6; 2H-6), 4,75 (sl; H-3a), 4,86 (sl; H-3b), 4,97 (m; H-2a), 5,01 (m; H-2b), 5,87 (dd; 17,5 e 10,8; H-1), 7,05 (sl; H-12). RMN 13C (CHCl3, 125 MHz) δC: 8,25 (C-13), 19,58 (C-15), 24,35 (C-6), 24,62 (C-14), 36,24 (C-9), 40,25 (C-10), 50,08 (C-5), 111,10 (C-2), 112,89 (C-3), 116,64 (C-10), 119,14 (C-11), 137,42 (C-12), 147,27 (C-4), 147,51 (C-1), 149,00 (C-8).

Furanodieno (2) RMN 1H (CHCl3, 500 MHz) δH (mult.; J em Hz; H): 1,26 (s; H-15), 1,57 (s; H-14), 1,78 (m; H-3a), 1,92 (d; 1,2; H-13), 2,13 (m; H-2a), 2,15 (m; H-2b), 2,22 (dt; 11,9 e 3,0; H-3b), 3,05 (m; H-6a), 3,11 (m; H-6b), 3,42 (m; H-9a), 3,46 (m; H-9b), 4,74 (m; H-5), 4,98 (dd; 10,0 e 6,2; H-1), 7,14 (sl; H-12). RMN 13C (CHCl3, 125 MHz) δC: 8,89 (C-13), 16,38 (C-15), 16,55 (C-14), 24,85 (C-6), 27,37 (C-2), 40,01 (C-3), 41,39 (C-9), 119,61 (C-7), 122,57 (C-11), 128,39 (C-5), 129,30 (C-10), 129,85 (C-1), 134,78 (C-4), 136,95 (C-12), 150,13 (C-8).

Análise por CLAE-DAD

O sistema CLAE foi equipado com uma bomba Shimadzu LC-20AT, um detector de arranjo de diodos Shimadzu SPD-M20A, sistema de injeção automático Sil-10A, forno de coluna CTO e sistema de dados LCSolutions (Shimadzu). As amostras purificadas foram analisadas utilizando uma coluna de fase reversa C-18 (250 mm × 4,6 mm D.I × 5 µm, Betasil, Thermo) com fase móvel composta por acetonitrila:água (78:22, v/v). As análises foram realizadas a uma taxa de fluxo de 1,2 ml min-1; comprimento de onda de 214 nm e temperatura do forno de 28,7 ºC. A pureza das substâncias foi determinada usando o método da área do pico, no qual a área de pico da amostra de interesse foi dividida pela área total de todos os picos.

 

RESULTADOS E DISCUSSÃO

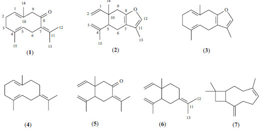
As principais substâncias (1 - 7) identificadas nas folhas jovens e maduras do óleo essencial de E. uniflora estão apresentadas na Figura 1.

 


Figura 1. Estruturas das substâncias germacrona (1), curzereno (2), furanodieno (3), germacreno B (4), β-elemenona (5), γ-elemeno (6) e β-cariofileno (7) presentes no óleo essencial das folhas de Eugenia uniflora L.

 

A composição química do óleo essencial das folhas de E. uniflora L. está apresentada na Tabela 1 a seguir.

 

 

A análise estatística foi realizada utilizando os valores de porcentagem em área dos constituintes identificados no óleo essencial (Tabela 1). Pela ACP foi verificado que o primeiro componente principal (CP1) descreveu 98% da variância total dos dados e o segundo (CP2) 1%, acumulando 99% da variância total. Em uma análise se os primeiros componentes principais acumularem uma porcentagem relativamente alta da variação total, em geral referida como acima de 80%, eles explicarão satisfatoriamente a variabilidade manifestada entre as amostras avaliadas.19 Os dados obtidos do gráfico de "scores" (Figura 2a) demostram a discriminação de dois grupos, constituição química dos óleos obtidos das folhas jovens e os obtidos das folhas maduras. Tal resultado foi confirmado também pela AAH para a mesma matriz de dados, apresentando um dendograma que revela claramente o agrupamento entre as amostras em duas classes distintas (Figura 2b).

 


Figura 2. Gráfico de scores de CP1 x CP2 (a) e dendograma (b) obtidos a partir dos dados de CG-EM das cinco amostras de óleos essenciais de folhas jovens (FJ) e cinco de folhas maduras (FM) de Eugenia uniflora L.

 

A partir da análise do gráfico de "loadings" (Figura 3) observa-se que as substâncias (L) (γ-gurjeneno), (O) (viridifloreno), (S) (α-cadineno), (T) (selina-3,7(11)-dieno), (V) (glóbulol), (X) (viridiflorol), (Z) (β-elemenona), (C') (atractilona) e (E') (germacrona) foram as mais importantes para a discriminação das amostras de óleo obtidos das folhas jovens.

 


Figura 3. Gráfico de "loadings" dos CP1 x CP2 aplicados à ACP para os dados CG-EM dos óleos essenciais de folhas jovens (FJ) e maduras (FM) de Eugenia uniflora L.

 

As abundâncias de germacrona (1) e curzereno (2) ressaltam a significativa variabilidade na composição do óleo essencial isolado de pitangueiras de diferentes regiões, já destacada na literatura por meio de resultados experimentais de espécimes do sul da Bahia,4 São Paulo,11 Goiás,6 Nigéria,8 Índia12 e Argentina13 (Tabela 2).

 

 

O isolamento das substâncias do óleo extraído das folhas maduras por cromatografia em coluna convencional forneceu curzereno 2 (3 mg) e furanodieno 3 (29,8 mg) e o monitoramento por CCDA deste óleo bruto não revelou a presença de germacrona 1. No entanto, o fracionamento do óleo obtido das folhas jovens forneceu 34,3 mg de 1 e 10,8 mg da substância 3.

A pureza da germacrona (1, 99,10%), curzereno (2, 96,17%) e furanodieno (3, 99,02%) foi avaliada por CLAE-DAD confirmando-se a ausência de rearranjo térmico para a germacrona (1) e o furanodieno (3). Porém, quando tais amostras foram analisadas por cromatografia em fase gasosa sob condições convencionais (rampa de aquecimento), verificou-se a formação dos produtos de rearranjo, a β-elemenona (5, 1,77%) e curzereno (2, 15,73%), respectivamente (Figura 4), assim como descrito na literatura.16

 


Figura 4. Cromatograma de íons totais e espectros de massa do furanodieno (3, A-b) e germacrona (1, B-b) e seus respectivos produtos de rearranjo térmico, curzereno (2, A-a) e β-elemenona (5, B-a)

 

Os dados fornecidos pelos espectros 1D e 2D de RMN1H e 13C permitiram a caracterização das substâncias 1, 2 e 3 e a atribuição inequívoca dos deslocamentos químicos dos átomos de hidrogênio (δH) e carbono-13 (δC), envolvendo, inclusive, comparação com valores descritos na literatura.20

Os espectros de massas da germacrona (1) e da β-elemenona (5) obtidos pela análise de CG-EM apresentaram os picos dos íons moleculares em m/z 218 ([M].+, 1A/5A, 8/4%), confirmando a fórmula molecular C15H22O, e outros picos classificados também como principais em m/z 175 (21/9%), 150 (0/27%), 136 (58/14%), 135 (67/87%), 121 (29/91%) e 107 (100/100%, pico base), atribuídos aos fragmentos 1a/5a a 1e/5e, respectivamente, permitindo observar diferenças significativas nas abundâncias relativas, principalmente no caso do pico em m/z 136, que apareceu com 58% no EM de 1 e praticamente a percentagem correspondente à abundância natural (14%) no EM de 5 (Figura 5). Situação análoga verificou-se com pico em m/z 150 presente com 27% no espectro de 5 e praticamente zero no de 1 e pode ser usado para distinguir essas substâncias. Os espectros de massas do curzereno (2) e furanodieno (3) revelaram-se praticamente idênticos, apresentando somente pequenas diferenças nas intensidades relativas de alguns picos e compatíveis com a formação de equilíbrio envolvendo as duas substâncias no espectrômetro de massas nas condições experimentais de registro de tais espectros, com pico do íon molecular em m/z 216 ([M].+, 2A, ~3% e 3A, 8%) e pico base em m/z 108 (2a, 100% e 3a, 100%) justificado por meio de fragmentação do tipo retro Diels-Alder (Figura 6).

 


Figura 5. Proposta de fragmentaçao para as substâncias 1 e 5 e as abundâncias relativas indicadas entre parênteses. Estruturas ionizadas de 1 e 5 indicadas como 1A e 5A, respectivamente. Estruturas tautoméricas ionizadas de 1A descritas como 1B e 1C

 

 


Figura 6. Proposta de fragmentaçao para as substâncias 2 e 3 e as abundâncias relativas indicadas entre parênteses. Estruturas ionizadas de 2 e 3 indicadas como 2A e 3A, respectivamente

 

As análises por CLAE-DAD e RMN destacaram-se como procedimentos adequados de isolamento e caracterização da germacrona (1) e do furanodieno (3) sem a presença de produto do rearranjo térmico.

 

CONCLUSÃO

O óleo essencial extraído de Eugenia uniflora L (pitangueira), coletada no Município de Seropédica - RJ, revelou a presença de, principalmente, sesquiterpenos em sua composição química. Comparando-se tal composição química com a da Nigéria, verifica-se que os componentes e as concentrações das substâncias no óleo revelam-se muito complexas e, consequentemente, tal diversidade pode ser postulada como consequência das condições edafoclimáticas de cada região.21 Já a análise multivariada aplicada aos dados de CG-EM foi satisfatória para discriminar as diferenças na composição química destes óleos em função da idade das folhas.

O furanodieno (3) foi isolado do óleo essencial das folhas jovens e não foi observado na análise cromatográfica convencional (CG-DIC), sugerindo que tenha ocorrido a sua conversão completa em curzereno (2) a partir do rearranjo térmico (Reação de Cope), em consonância com relato da literatura.16

Finalmente, a expressiva diferença observada no óleo essencial da pitangueira de Seropédica pode ser atribuída à concentração elevada de germacrona (1, 35,59%) para folha jovem, um dado ainda não relatado até o momento na literatura. Destacando-se tal resultado experimental significativo, os componentes minoritários presentes na folha madura são bem conhecidos em óleos essenciais de folhas de pitangueira de diferentes regiões do Brasil e de outros países.

 

MATERIAL SUPLEMENTAR

Disponível em http://quimicanova.sbq.org.br, na forma de arquivo PDF, com acesso livre.

 

AGRADECIMENTOS

Ao CNPq, à CAPES e à FAPERJ, pela bolsa concedida e pelo apoio financeiro.

 

REFERÊNCIAS

1. Bicas, J. L.; Molina, G.; Dionísio, A. P.; Barros, F. F. C.; Wagner, R.; Maróstica Jr., M. R.; Pastore, G. M.; Food Res. Int. 2011, 44, 1843. DOI: http://dx.doi.org/10.1016/j.foodres.2011.01.012

2. Melo, R. M.; Corrêa, V. F. S.; Amorim, A. C. L.; Miranda, A. L.; Rezende, C. M.; J. Braz. Chem. Soc. 2007, 18, 179. DOI: http://dx.doi.org/10.1590/S0103-50532007000100020

3. Schapoval, E. E. S.; Silveira, S. M.; Miranda, M. L.; Alice, C. B.; Henriques, A. T.; J. Ethnopharmacol. 1994, 44, 137; Consolini, A. E.; Baldini, A. N.; Amat, A. G.; J. Ethnopharmacol. 1999, 66, 33; Oliveira, C. B.; Soares, D. G. S.; Paulo, M. Q.; Padilha, W. W. N.; Rev. Bras. Ciênc. Saúde 2008, 12, 239. DOI: http://dx.doi.org/10.1016/0378-8741(94)01178-8 PMID: 7898120

4. Victoria, F. N.; Lenardao, E. J.; Savegnago, L.; Perin, G.; Jacob, R. G.; Alves, D.; Silva, W. P.; Motta, A. S.; Nascente, P. S.; Food Chem. Toxicol. 2012, 50, 2668. DOI: http://dx.doi.org/10.1016/j.fct.2012.05.002 PMID: 22583648

5. Victoria, F. N.; Anversa, R G.; Savegnago, L.; Lenardao, E. J.; Food Biosci. 2013, 4, 50. DOI: http://dx.doi.org/10.1016/j.fbio.2013.09.001

6. Costa, D. P.; Alves Filho, E. G.; Silva, L. M. A.; Santos, S. C.; Passos, X. S.; Silva, M. R. R.; Seraphin, J. C.; Ferri, P. H.; J. Braz. Chem. Soc. 2010, 21, 851. DOI: http://dx.doi.org/10.1590/S0103-50532010000500012

7. Amorim, A. C. L.; Lima, C. K. F.; Hovell, A. M. C.; Miranda, A. L.; Rezende, C. M.; Phytomedicine 2009, 16, 923. DOI: http://dx.doi.org/10.1016/j.phymed.2009.03.009 PMID: 19423309

8. Ogunwande, I. A.; Olawore, N. O.; Ekundayo, O.; Walker, T. M.; Schmidt, J. M.; Setzer, W. N.; Int. J. Aromather. 2005, 15, 147. DOI: http://dx.doi.org/10.1016/j.ijat.2005.07.004

9. Jung, P. H.; Silveira, A. C.; Nieri, E. M.; Potrich, M.; Lozano, E. R.; Refatti, M.; Floresta e Ambiente 2013, 20, 191. DOI: http://dx.doi.org/10.4322/floram.2013.015

10. Mazaro, S. M.; Citadin, I.; De Gouvêa, A.; Luckmann, D.; Guimaraes, S. S.; Cienc. Rural 2008, 38, 1824. DOI: http://dx.doi.org/10.1590/S0103-84782008000700004

11. Lago, J. H. G.; Souza, E. D.; Mariane, B.; Pascon, R.; Vallim. M. A. ; Martins, R. C.; Baroli, A. A.; Carvalho, B. A.; Soares, M. G. , Santos, R. T.; Sartorelli, P.; Molecules 2011, 16, 9827. DOI: http://dx.doi.org/10.3390/molecules16129827 PMID: 22117172

12. Thambi, M.; Tava, A.; Mohanakrishna, M.; Subburaj, M.; Pradeepkumar, K. M.; Shafi, P. M.; Int. J. Pharm. Biomed. Sci. 2013, 4, 46.

13. Urbiego, G.; Taher, H. A.; Talenti, E. C.; An. Asoc. Quim. Argent. 1987, 75, 377.

14. Almeida, D. J. A.; Faria, M. V.; Silva, P. R.; Ambiência 2012, 8, 177. DOI: http://dx.doi.org/10.5777/ambiencia.2012.01.02rb

15. de Barros Neto, B.; Scarminio, I. S.; Bruns, R. E.; Quim. Nova 2006, 29, 1401. DOI: http://dx.doi.org/10.1590/S0100-40422006000600042

16. Baldovani, N.; Tomi, F.; Casanova, J.; Phytochem. Anal. 2001, 12, 58; Adio, A. M.; Tetrahedron 2009, 65, 1533; Chang, R.; Morais, A. L.; Napolitano, D. R.; Duarte, K. C.; Gusman, V. B.; Nascimento, E. A.; Rev. Bras. Farmacogn. 2011, 21, 392. DOI: http://dx.doi.org/10.1002/1099-1565(200101/02)12:1<58::AID-PCA559>3.0.CO;2-9

17. Adams, R. P.; Identification of Essential Oil Components by Gas Chromatography/Mass Spectrometry, 4th ed., Allured Pub. Corp.: Illinois, 2007.

18. NIST/EPA/NIH: Search/Analysis Program and Data (Nist 08); Shimadzu Corp. Japao, 2008.

19. Mardia, K. V.; Kent, J. T.; Bibby, J. M.; Multivariate analysis, Academic Press: London, 1979, 521 p.

20. Takahashi, T.; Kitamura, K.; Nemoto, H.; Tsuji , J.; Tetrahedron Lett. 1983, 24, 3489; Yang, F. Q.; Wang, H. K.; Chen, H.; Chen, J. D.; Xia, Z. N.; J. Autom. Methods Manage. Chem. (2011), doi:10.1155/2011/942467; Debeko, A.; Dagne, E.; Sterner, O.; Fitoterapia 2002, 73, 48. DOI: http://dx.doi.org/10.1016/S0040-4039(00)86020-7

21. Costa, D. P.; Santos, S. C.; Seraphin, J. C.; Ferri, P. H.; J. Braz. Chem. Soc. 2009, 20, 1287. DOI: http://dx.doi.org/10.1590/S0103-50532009000100026

 

#Pesquisador Visitante Emérito - UENF/FAPERJ

On-line version ISSN 1678-7064 Printed version ISSN 0100-4042
Qu�mica Nova
Publica��es da Sociedade Brasileira de Qu�mica
Caixa Postal: 26037 05513-970 S�o Paulo - SP
Tel/Fax: +55.11.3032.2299/+55.11.3814.3602
Free access

GN1