JBCS



15:08, sáb out 25

Acesso Aberto/TP



Artigo


Determinação voltamétrica simultânea de besilato de anlodipino e hidroclorotiazida em amostras de urina sintética utilizando um eletrodo de diamante dopado com boro
Simultaneous voltammetric determination of amlodipine besylate and hydrochlorothiazide in synthetic urine samples using a boron-doped diamond electrode

Laís Pereira Silva; Bruna C. Lourencao; Orlando Fatibello-Filho*

Departamento de Química, Universidade Federal de São Carlos, 13565-905 São Carlos - SP, Brasil

Recebido em 26/01/2015
Aceito em 13/03/2015
Publicado na web em 08/05/2015

Endereço para correspondência

*e-mail: bello@ufscar.br

RESUMO

A novel method for simultaneous voltammetric determination of the antihypertensive drugs, amlodipine besylate (AML) and hydrochlorothiazide (HTZ) in synthetic urine samples was developed. Determination was carried out with a cathodically pretreated boron-doped diamond electrode (CPT-BDD) using square-wave voltammetry (SWV) and Britton-Robinson buffer solution at pH 2 as the supporting electrolyte. AML and HTZ exhibited oxidation peaks at 0.88 V and 1.30 V, respectively. The difference in potentials of 0.42 V allowed the simultaneous determination of these two analytes. The analytical curve showed linear response in the concentration range from 0.200 to 9.09 µmol L-1 for AML and from 4.00 to 100 µmol L-1 for HTZ, with a limit of detection (LOD) of 60.0 nmol L-1 and of 2.00 µmol L-1 for AML and HTZ, respectively. Recoveries of these analytes ranged from 91.0 to 107%. The proposed method using SWV and a CPT-BDD electrode is simple, fast and low cost, representing a good alternative for simultaneous determination of AML and HTZ in urine samples.

Palavras-chave: antihypertensive; amlodipine besylate; hydrochlorothiazide; BDD; square-wave voltammetry.

INTRODUÇÃO

A hipertensão tem atingido cada vez mais pessoas ao redor do mundo, podendo ser causada por diversos fatores, mas, principalmente, devido a contração dos vasos onde há a circulação de sangue.1 A hipertensão pode atacar o coração, os rins, os vasos sanguíneos e o cérebro, sendo assim um dos fatores de risco mais importantes para o desenvolvimento de doenças cardiovasculares, renais e cerebrovasculares.2

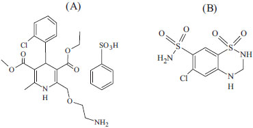
O AML (Figura 1A) é um fármaco da classe dos dihidropiridina utilizado no tratamento de hipertensão que atua como bloqueador dos canais de cálcio através da membrana celular. Por apresentar ação prolongada e interagir com elevada especificidade no sítio ativo dos complexos canais de cálcio, o AML é muito empregado, pois permite uma liberação controlada do medicamento no organismo.3 O AML é amplamente metabolizado no fígado em metabólitos inativos, com 10% do fármaco inalterado e 60% dos metabólitos excretados na urina.4

 


Figura 1. Estrutura química do AML (A) e HTZ (B)

 

A HTZ (Figura 1B) é um diurético da classe dos tiazídicos, muito utilizada no tratamento de doenças como hipertensão arterial sistêmica, hipercalcemia, edema renal, hepática, cardíaca e diabetes insípido nefrogênico, devido à sua eficácia terapêutica e seu baixo custo.5,6 É bastante eficaz via administração oral, sendo bem absorvida pelo trato gastrintestinal e excretada, principalmente, pela urina sem sofrer metabolização.7 Medicamentos dessa classe reduzem de forma satisfatória a pressão arterial quando utilizados em baixas dosagens e possuem excelente ação quando combinados aos bloqueadores do canal de cálcio, deste modo a combinação binária (AML e HTZ) tem sido empregada.8

No entanto, o tratamento combinado com estes fármacos tem causado reações colaterais adversas como tontura, arritmias ventriculares, hiperglicemia, dentre outros. Deste modo, o desenvolvimento de técnicas cada vez mais sensíveis para o controle e quantificação destes analitos em formulações farmacêuticas e urina dos pacientes é de grande importância.5,9,10

Na literatura, várias técnicas analíticas são descritas para a determinação individual de AML ou HTZ e também da combinação com outros fármacos, dentre as quais a cromatografia,4,11-15 eletroforese capilar,16,17 luminescência,18 espectrofotometria19,20 e voltametria têm sido utilizadas.21-34 Entretanto, não há relatada na literatura a determinação simultânea da combinação binária de AML e HTZ utilizando técnicas eletroanalíticas. Ademais, os métodos eletroanalíticos apresentam algumas vantagens quando comparados, por exemplo, aos métodos cromatográficos, a saber: menor tempo de análise, menor consumo de reagentes e instrumentação de baixo custo.

O eletrodo de BDD está sendo cada vez mais empregado em eletroanalítica para a determinação de compostos orgânicos35-41 e inorgânicos.42,43 Além de possuir uma ampla janela de potencial em meio aquoso e não-aquoso, o BDD possui estabilidade à corrosão em meios agressivos, resposta estável a longo prazo, baixa e estável corrente de fundo e fraca adsorção de substâncias orgânicas e inorgânicas. Sendo assim, os eletrodos de BDD possuem um número importante de propriedades diferentes das de outros eletrodos à base de carbono, tais como carbono vítreo, pasta de carbono, grafite pirolítico, dentre outros.44

De acordo com a literatura, a superfície dos filmes de BDD recém preparados apresentam terminação em hidrogênio, porém, a superfície pode ser facilmente modificada utilizando-se adequadas polarizações anódicas, nas quais os átomos de hidrogênio são convertidos em grupos funcionais oxigenados (carboxilas, carbonilas e hidroxilas) e ainda podem ser novamente re-hidrogenados utilizando-se polarizações catódicas.45,46 Como demonstrado por diversos autores, o comportamento eletroquímico do eletrodo de BDD é extremamente dependente destas terminações superficiais do eletrodo. Desta maneira, as superfícies dos filmes de BDD com terminações hidrogenadas ou com grupos oxigenados podem tanto facilitar ou inibir diferentes tipos de reação química sobre a sua superfície.47-50

Considerando o exposto anteriormente, neste estudo descreve-se o desenvolvimento e a otimização de um método eletroanalítico simples, rápido e de baixo custo para a determinação simultânea de AML e HTZ em amostras de urina, utilizando a voltametria de onda quadrada e um eletrodo de CPT-BDD. O método proposto é considerado bastante atraente, uma vez que não é de nosso conhecimento algum método eletroanalítico descrito na literatura para a determinação simultânea destes dois analitos.

 

PARTE EXPERIMENTAL

Reagentes e soluções

Todas as soluções foram preparadas utilizando reagentes de grau analítico e água ultrapura obtida em um sistema Millipore Milli-Q® (modelo Direct 8), com resistividade > 18,0 MΩ cm. A solução estoque de AML e HTZ 1,0 × 10-2 mol L-1 (Sigma-Aldrich) foram preparadas em etanol e acetona, respectivamente, estocadas sob refrigeração a 4 ºC e protegidas da luz.

Para as diluições, o eletrólito suporte selecionado foi utilizado. As soluções testadas como eletrólitos suporte foram H2SO4 (9,1 × 10-3 mol L-1), NaNO3 (ajustada para pH 2,0 com uma solução de HNO3), tampão fosfato (pH 2) e tampão Britton-Robson (BR) (pH 2).

Amostra de urina sintética

A amostra de urina sintética foi preparada como descrito por Laube et al.51 contendo a seguinte composição: 0,73 g NaCl, 0,40 g KCl, 0,27 g CaCl2.2H2O, 0,56 g Na2SO4, 0,35 g KH2PO4, 0,25 g NH4Cl e 6,25 g ureia em um balão volumétrico de 250 mL, completando-o com água deionizada. A amostra de urina foi utilizada logo após a preparação da mesma.

As amostras de urina foram dopadas com duas concentrações diferentes de AML e HTZ, alíquotas de 200 µL foram adicionadas à célula eletroquímica e a solução final foi analisada.

Instrumentação

Todas as medidas voltamétricas foram realizadas utilizando-se um potenciostato / galvanostato (EcoChemie BV) µAutolab do tipo III controlado com o software GPES 4.9, acoplado a uma célula eletroquímica de três eletrodos (volume de 10 mL), utilizando um eletrodo de BDD (0,25 cm2 de área exposta) como eletrodo de trabalho, uma placa de platina como eletrodo auxiliar e Ag/AgCl (KCl 3,0 mol L-1) como eletrodo de referência. Todos os voltamogramas obtidos foram corrigidos pelo método da média móvel e, quando necessário, os ruídos foram suavizados utilizando-se o algoritmo de Savitzky-Golay.52

O filme de BDD (8000 ppm), obtido da NeoCoat SA, Suíça, foi preparado como descrito na literatura.53 O substrato contendo o filme de BDD foi fixado sobre uma placa de cobre utilizando-se cola condutora de prata para garantir o contato elétrico e, por fim, a área exposta para as medidas voltamétricas foi delimitada com o uso de resina epóxi.

Diariamente, antes dos experimentos, o eletrodo de BDD foi pré-tratado eletroquimicamente em solução de H2SO4 0,5 mol L-1.

Após a escolha do pré-tramento catódico como o melhor pré-tramento para a determinação simultânea dos analitos, o processo galvanostático realizado diariamente no eletrodo foi: pré-tratamento anódico (30,0 mA cm-2 durante 30 s) para limpeza da superfície do eletrodo e, em seguida, pré-tratamento catódico (-100 mA cm-2 durante 180 s) para condicionamento da superfície preferencialmente em terminações de hidrogênio.

Procedimento experimental

O comportamento eletroquímico dos analitos foram estudados, bem como o número de elétrons envolvidos nos processos foram calculados utilizando-se a voltametria cíclica (CV).

A SWV foi empregada para os estudos do pré-tratamento eletroquímico, pH, eletrólito suporte e também para o desenvolvimento do método analítico para a determinação simultânea dos analitos em amostras de urina sintética. Assim, todos os parâmetros da técnica (frequência (ƒ), amplitude (a) e incremento de varredura (ΔEs)) foram otimizados.

Após a otimização de todos os parâmetros, a curva analítica foi construída adicionando-se simultaneamente concentrações crescentes de soluções padrão dos analitos em uma célula eletroquímica contendo 10 mL de eletrólito suporte. O LOD foi calculado pela relação sinal-ruído (3:1 S/N).54,55

 

RESULTADOS E DISCUSSÃO

Comportamento eletroquímico de AML e HTZ

Inicialmente, estudou-se o efeito do pré-tratamento eletroquímico anódico (30,0 mA cm-2 / 30 s) e catódico (-100 mA cm-2 / 180 s) do eletrodo de BDD sobre a resposta eletroquímica dos analitos. As condições de polarização já foram definidas em trabalhos anteriores do grupo, sendo que o tempo de polarização e as correntes aplicadas mostraram ser suficientes para uma melhora da resposta eletroquímica (sinal analítico), além de garantir a estabilidade de resposta do eletrodo ao longo do tempo.35 Após cada pré-tratamento, foram obtidos os perfis voltamétricos do AML e da HTZ em H2SO4 0,03 mol L-1 utilizando a SWV, Figura 2. O voltamograma obtido com o eletrodo CPT-BDD apresentou uma magnitude de corrente aproximadamente duas vezes maior para o AML e três vezes maior para a HTZ quando comparado ao sinal analítico obtido com o eletrodo pré-tratado anodicamente (APT-BDD - BDD anodically pretreated). Este aumento de sinal analítico do eletrodo CPT-BDD pode ser devido à lipofilicidade de sua superfície, que pode ter maior afinidade pelos analitos orgânicos, além de sua alta condutividade superficial e baixa corrente de fundo. Sendo assim, o eletrodo CPT-BDD foi selecionado para desenvolvimento do método proposto.

 


Figura 2. Voltamogramas de onda quadrada obtidos para AML e HTZ 9,9 × 10-5 mol L-1 empregando-se um eletrodo de CPT-BDD (a) e APT-BDD (b). (f = 70 s-1, a = 60 mV, ΔEs = 4 mV) em H2SO4 0,03 mol L-1

 

O efeito da concentração hidrogeniônica (ou do pH) sobre o comportamento voltamétrico de ambos os analitos também foi estudado utilizando-se o eletrodo de CPT-BDD e a técnica de SWV.

Na Figura 3 são apresentados os voltamogramas obtidos para a oxidação simultânea do AML e da HTZ em tampão BR em diferentes valores de pH (2, 3, 4 e 5). Como pode ser observado, para o AML houve um aumento da magnitude do sinal analítico no valor de pH igual a 3, porém, acima deste valor de pH a magnitude do sinal analítico diminuiu. Um comportamento diferente foi observado para a HTZ; um aumento do valor de pH levou a uma diminuição gradativa da magnitude da corrente anódica. Sendo assim, considerando-se o melhor compromisso entre as magnitudes de pico de corrente para ambos os analitos e uma melhor separação dos picos de oxidação (maior resolução), selecionou-se o pH 2 para os estudos posteriores.

 


Figura 3. Voltamogramas de onda quadrada obtidos para a oxidação simultânea de AML e HTZ em tampão BR nos diferentes pHs (2,3,4 e 5) e eletrodo de CPT-BDD. (f = 70 s-1, a = 60 mV, ΔEs= 4 mV)

 

Após a seleção do pH da solução, o estudo do eletrólito suporte foi realizado empregando-se diferentes soluções: H2SO4 9,1 × 10-3 mol L-1, NaNO3 (pH 2,0; o pH foi ajustado com solução de HNO3), tampão fosfato (pH 2,0) e tampão BR (pH 2,0). O eletrólito suporte selecionado para os estudos posteriores foi o tampão BR pH 2 (resultados não apresentados), uma vez que obteve-se as maiores magnitudes de corrente, alta estabilidade, boa definição de pico de oxidação sendo 0,88 V para AML e 1,30 V para HTZ, garantindo assim, uma boa separação entre os potencias de oxidação dos analitos (ΔE > 0,40 V) para a determinação simultânea.

Mecanismo de oxidação do AML e da HTZ sobre o eletrodo de CPT-BDD

Voltametria cíclica e o número de elétrons envolvidos na reação de oxidação do AML e da HTZ

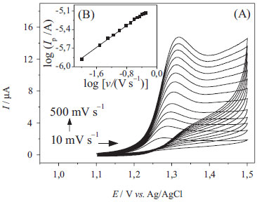
A fim de estudar o comportamento do sistema e o número de elétrons envolvidos na reação de oxidação do AML sobre o eletrodo de CPT-BDD, realizou-se um estudo deste analito em diferentes velocidades de varredura de potencial (10 a 500 mV s-1) utilizando-se a técnica CV e eletrólito suporte tampão BR pH 2, Figura 4A.

 


Figura 4. Voltamogramas cíclicos para (A) AML 1,98 × 10-4 mol L-1 em diferentes velocidades de varredura de potencial (10, 30, 50, 70, 100, 150, 200, 250, 300, 350, 400, 450 e 500 mV s-1). Inserido: (B) Dependência do logaritmo da corrente de pico com o logaritmo da velocidade de varredura de potencial para o AML. Equação da reta: log I = 4,34 + 0,668 log v [AML]

 

Observando-se os voltamogramas cíclicos obtidos nas diferentes velocidades de varredura de potencial, nota-se que houve um deslocamento do potencial de oxidação para valores mais positivos e um aumento da magnitude corrente anódica com o aumento da velocidade de varredura de potencial. Outrossim, não foi observado pico de redução no sentido reverso da varredura de potencial, indicando assim que o comportamento do AML pode ser considerado irreversível.56

Com os dados obtidos neste estudo, construiu-se também um gráfico do logaritmo da corrente de pico de oxidação (log Ip) versus o logaritmo da velocidade de varredura de potencial (log v) como apresentado na Figura 4B. Analisando-se o resultado obtido, verificou-se que há uma relação linear (r = 0,999) entre log Ip e log v, cujo coeficiente angular da reta é 0,67. Este valor indica que o processo de oxidação do AML na superfície do CPT-BDD deve ser controlado pela combinação dos dois processos, tanto por difusão quanto por adsorção das espécies, uma vez que o valor obtido (0,67) está entre 0,50 (controlado por difusão) e 1,0 (controlado por adsorção).22,57,58

Verificou-se ainda, que não há linearidade entre a corrente de pico de oxidação (Ip) e a raiz quadrada da velocidade de varredura (v1/2), indicando assim, que o sistema não é controlado apenas por difusão.

Da mesma maneira, verificou-se que também não há linearidade entre Ip e a velocidade de varredura de potencial (v), confirmando, deste modo, que o sistema não é controlado somente por adsorção.

Sendo assim, os dados indicam que a oxidação do AML na superfície do CPT-BDD é controlada pela combinação dos dois processos, adsorção e difusão das espécies.

Segundo Goyal et al.21 e Stoiljkovic et al.,26 o processo de oxidação do AML sobre as superfícies dos eletrodos de nanotubos de carbono modificado com grafite pirolítico e ouro, respectivamente, é adsortivo, porém, de acordo com Svorc et al.27 a oxidação do AML apresenta um processo controlado por difusão sobre a superfície do eletrodo de BDD não pré-tratado.

Ainda com os dados obtidos no estudo das diferentes velocidades de varredura de potencial foi possível calcular o número de elétrons envolvidos no processo de oxidação do AML, aplicando-se equações conhecidas de CV para processos irreversíveis.

Para cada velocidade de varredura de potencial, foram obtidas as diferenças entre os valores de potencial de pico e o potencial de pico de meia onda (Ep - Ep1/2). Assim, o valor médio de Ep - Ep1/2, obtido para as diferentes velocidades de varredura de potencial foi de 56,0 mV, e aplicando-se a equação 157 obteve-se o valor para αn = 0,86. Para tal, considerou-se α = 0,5, um valor usual para compostos orgânicos quando não se tem o valor experimental calculado,59 e o valor de n foi igual a 1,71 (aproximadamente 2).

Portanto, conclui-se que o processo de oxidação do AML sobre o eletrodo de CPT-BDD envolve dois elétrons por molécula do analito. No entanto, na literatura encontra-se que o número de elétrons envolvido na oxidação do AML é igual a 122 ou 2, porém, apenas o mecanismo envolvendo 2 elétrons já encontra-se descrito.21,23,30

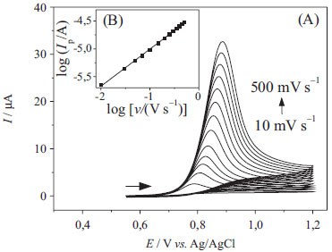
O mesmo estudo também foi realizado para a HTZ e como pode ser observado na Figura 5A, o comportamento do sistema pode ser considerado irreversível.56

 


Figura 5. Voltamogramas cíclicos para (A) HTZ 1,98 × 10-4 mol L-1em diferentes velocidades de varredura de potencial (10, 30, 50, 70, 100, 150, 200, 250, 300, 350, 400, 450 e 500 mV s-1. Inserido: (B) Dependência do logaritmo da corrente de pico com o logaritmo da velocidade de varredura de potencial para a HTZ. Equação da reta: log I = 4,98 + 0,440 log v [HTZ]

 

Para avaliar se o processo de oxidação da HTZ é controlado por difusão ou adsorção das espécies, construiu-se também um gráfico de log Ip vs. log v, Figura 5B. Verificou-se uma relação linear (r = 0,998) entre log Ip e log v, com coeficiente angular da reta de 0,44. De acordo com a literatura,57 tal resultado, próximo a 0,5 (valor teórico para sistemas controlados por difusão), indica que o processo de oxidação da HTZ na superfície do CPT-BDD deve ser controlado por um processo difusional das espécies.

Além disso, o gráfico de Ip vs. v1/2 mostrou-se linear (r = 0,993), portanto, a oxidação da HTZ na superfície do CPT-BDD é controlada por difusão, como já relatado por outros autores.25,32

Análogo ao cálculo do número de elétrons do AML, anteriormente apresentado, calculou-se o número de elétrons envolvidos no processo de oxidação da HTZ. Para cada velocidade de varredura de potencial foi obtido um valor de Ep - Ep1/2, onde o valor médio foi de 38 mV. Assim, utilizando-se a equação 157 obteve-se um valor de αn = 1,2. Considerando α = 0,5 (valor típico para compostos orgânicos quando não se tem o valor experimental calculado),59 o resultado para n foi igual a 2,4 (aproximadamente 2).

Deste modo, conclui-se que a oxidação da HTZ sobre o eletrodo de CPT-BDD envolve dois elétrons por molécula do analito e o mecanismo proposto já encontra-se na literatura.24,25,37

Determinação voltamétrica simultânea de AML e HTZ e aplicação do método proposto na determinação de amostras de urina

Avaliou-se o efeito dos parâmetros experimentais da SWV sobre o potencial de oxidação e a intensidade da corrente de pico na determinação simultânea de AML e HTZ a fim de otimizar cada parâmetro da técnica (Tabela 1). Para a otimização de tais parâmetros levou-se em consideração a estabilidade, a magnitude da corrente de pico (sinal analítico), repetibilidade e separação entre os potenciais de oxidação (resolução) de AML e HTZ.

 

 

Como a proposta deste trabalho é a determinação simultânea da combinação binária de AML e HTZ, analisou-se a interferência de cada analito na determinação simultânea ao variar a concentração de um analito e manter fixa a concentração do outro.

Realizou-se sucessivas adições de AML em diferentes concentrações (0,190 - 8,80 µmol L-1), mantendo-se constante a concentração de HTZ (4,0 × 10-4 mol L-1), Figura 6A. Tanto para as baixas concentrações quanto para as elevadas, a HTZ não interfere na determinação de AML, pois a corrente de pico da HTZ se manteve constante com desvio padrão relativo (RSD) de 2,18%.

 


Figura 6. Voltamogramas de onda quadrada em diferentes concentrações de AML e HTZ. (A) AML (1 a 7: (1) Branco; (2) 0,190; (3) 0,951; (4) 2,82; (5) 4,60; (6) 6,30; (7) 8,80 µmol L-1) com uma concentração fixa de HTZ (4,0 × 10-4 mol L-1) e (B) HTZ (1 a 7: (1) Branco; (2) 4,78; (3) 2,81; (4) 4,59; (5) 6,31; (6) 7,96; (7) 8,77 µmol L-1) com uma concentração fixa de AML (4,0 × 10-4 mol L-1) em eletrólito suporte tampão BR pH = 2 utilizando um eletrodo de CPT-BDD. Condições da SWV: f = 120 Hz, a = 30 mV, ΔEs = 5 mV

 

Na Figura 6B são apresentados os voltamogramas obtidos para sucessivas adições de diferentes concentrações de HTZ (4,78 - 8,77 µmol L-1) na presença de AML com concentração constante de 4,0 × 10-4 mol L-1. Analisando os resultados obtidos, pode-se verificar que o AML não interfere na determinação da HTZ, uma vez que a corrente de pico do AML também se manteve constante com RSD igual a 7,9%.

Deste modo, a determinação simultânea foi possível, uma vez que não houve a interferência de um analito no outro e o RSD foi satisfatório com ambos valores menores que 8%.

Posteriormente, após a otimização dos parâmetros da SWV, utilizando-se um eletrodo de CPT-BDD e tampão BR pH 2, foram obtidos voltamogramas de onda quadrada para diversas concentrações crescentes de soluções padrão de AML (2,0 × 10-7 - 9,1 × 10-6 mol L-1) e HTZ (4,0 × 10-6 - 1,0 × 10-4 mol L-1) e as respectivas curvas analíticas, conforme apresentado na Figura 7.

 


Figura 7. Voltamogramas de onda quadrada, obtidos para oxidação de AML e HTZ empregando um eletrodo de CPT-BDD em eletrólito suporte tampão BR pH = 2. AML (1 a 9: (1) Branco; (2) 0,200; (3) 0,596; (4) 0,990; (5) 2,91; (6) 4,76; (7) 6,54; (8) 8,26; (9) 9,09 µmol L-1) e HTZ: (1 a 9: (1) Branco, (2) 4,00; (3) 11,9 ; (4) 19,8; (5) 39,2; (6) 58,2; (7) 76,9; (8) 95,2; (9) 100 µmol L-1). Inserido: curvas analíticas. Condições da SWV: f = 120 Hz, a = 30 mV, ΔEs = 5 mV

 

As curvas analíticas obtidas apresentaram regressão linear (r = 0,995 e r = 0,999 para AML e HTZ, respectivamente) para as concentrações analisadas, com as respectivas equações:

O LOD foi calculado pela relação sinal-ruído54,55 obtendo-se limites de detecção de 60,0 nmol L-1 para AML e 2,00 µmol L-1 para HTZ.

A fim de avaliar o método proposto quanto a repetibilidade, realizou-se o estudo de repetibilidade intra-dia com dez medidas sucessivas no mesmo dia (n = 10), utilizando-se duas diferentes concentrações de soluções padrão de AML e HTZ. Para a repetibilidade entre-dias utilizou-se os desvios das correntes de pico obtidas para medidas realizadas em três diferentes dias (n = 3), com soluções padrão preparadas diariamente em duas concentrações diferentes de AML e HTZ. Calculou-se o RSD referente a cada concentração (Tabela 2). O método proposto apresenta uma boa repetibilidade, uma vez que foram obtidos RSD menores do que 7,0%.

 

 

Estudou-se a seletividade do método proposto, investigando o comportamento voltamétrico de AML e HTZ na presença de ureia na concentração de 1,0 × 10-5 mol L-1, um metabólito importante encontrado na urina. As razões entre as concentrações de AML/HTZ: interferente estudadas foram de 1:1 e 1:10.

Analisando-se os resultados obtidos (não apresentados), concluiu-se que essa substância não interfere de forma significativa (inferior a ± 10%) na determinação dos analitos em urina.

Determinação simultânea de AML e HTZ em urina

Para a aplicação do método proposto realizou-se a determinação em urina sintética dopada com duas diferentes concentrações de AML e HTZ. Três determinações foram realizadas para cada concentração e o RSD calculado. As concentrações de AML e HTZ nas amostras de urina foram calculadas pelo método de interpolação na curva analítica, empregando-se as equações obtidas anteriormente para cada uma das curvas analíticas, obtendo-se assim os valores recuperados para cada concentração. Os resultados de adição e recuperação obtidos para as amostras de urina dopadas estão apresentados na Tabela 3.

 

 

O método forneceu valores de recuperações que variaram de 91,0 a 107%. Sendo assim, a determinação simultânea utilizando eletrodo de CPT-BDD e SWV é viável, pois se trata de uma análise simultânea sensível, estável, reprodutível e de simples execução sem a interferência dos compostos da matriz da amostra, podendo ser aplicada satisfatoriamente na determinação simultânea de AML e HTZ em amostras de urina sintética.

 

CONCLUSÃO

Neste trabalho foi mostrado que o eletrodo CPT-BDD apresentou melhor sinal analítico para a determinação simultânea voltamétrica de AML e HTZ em amostras de urina, empregando-se a técnica SWV. O método proposto apresentou recuperações satisfatórias e sem interferências significativas quando aplicado em amostras de urina sintética. Ademais, o método pode ser considerado rápido, simples e de baixo custo e de grande interesse analítico, uma vez que não é de nosso conhecimento algum método eletroanalítico descrito na literatura para a determinação simultânea de AML e HTZ.

 

AGRADECIMENTOS

Ao apoio financeiro das agências de fomento brasileiras, PIBIC/CNPq, CAPES e FAPESP (processo 2014/03019-7).

 

REFERÊNCIAS

1. Kearney, P. M.; Whelton, M.; Reynolds, K.; Muntner, P.; Whelton, P. K.; He, J.; J.-Lancet 2005, 365, 217. DOI: http://dx.doi.org/10.1016/S0140-6736(05)70151-3

2. http://bvsms.saude.gov.br/bvs/publicacoes/caderno_atencao_basica15.pdf, acessada em Janeiro 2015.

3. Ribeiro, W.; Muscará, M. N.; Rev. Bras. Hipertens. 2001, 8, 114.

4. Heidari, H.; Razmi, H.; Jouyban, A.; J. Liq. Chromatogr. Relat. Technol. 2012, 35, 963. DOI: http://dx.doi.org/10.1080/10826076.2011.615088

5. Kohlmann Jr., O.; Guimaraes, A. C.; Carvalho, M. H. C.; Chaves Jr., H. D. C.; Machado, C. A.; Praxedes, J. N.; Santello, J. L.; Nobre, F.; Mion Jr., D.; Arq. Bras. Endocrinol. Metabol. 1999, 3, 257. DOI: http://dx.doi.org/10.1590/S0004-27301999000400004

6. Hardman, J. G.; Limbird, L. E.; Gilman, A. G.; Goodman e Gilman: As Bases Farmacológicas da Terapêutica; McGraw-Hill: Rio de Janeiro, 10ª ed., 2003, p. 1647.

7. Niemeyer, C.; Hasenfuss, G.; Wais, U.; Knauf, H.; Schaferkorting, M.; Mutschler, E.; Eur. J. Clin. Pharmacol. 1983, 24, 661. DOI: http://dx.doi.org/10.1007/BF00542218 PMID: 6873147

8. Pimenta, E.; Rev. Bras. Hipertens. 2008, 15, 166.

9. Motwani, J. G.; JRAAS 2002, 3, 72.

10. Han, Y. H.; Zhang, S. Q.; Zhao, H. J.; Wen, W.; Zhang, H. M.; Wang, H. J.; Peng, F.; Langmuir 2010, 26, 6033. DOI: http://dx.doi.org/10.1021/la903706e PMID: 20030335

11. Belal, T. S.; Shaalan, R. A.; El Yazbi, F. A.; Elonsy, S. M.; Chromatographia 2013, 76, 1707. DOI: http://dx.doi.org/10.1007/s10337-013-2537-0

12. El-Bagary, R. I.; Patonay, G.; Elzahr, A. A.; Elkady, E. F.; Ebeid, W. A.; Chromatographia 2014, 77, 257. DOI: http://dx.doi.org/10.1007/s10337-013-2592-6

13. Ozdemir, F. A.; Akyuz, A.; J. Chromatogr. Sci. 2014, 52, 685. DOI: http://dx.doi.org/10.1093/chromsci/bmt099 PMID: 23839804

14. Varghese, S. J.; Ravi, T. K.; J. Liq. Chromatogr. Relat. Technol. 2011, 34, 981. DOI: http://dx.doi.org/10.1080/10826076.2011.565539

15. Vignaduzzo, S. E.; Castellano, P. M.; Kaufman, T. S.; J. Liq. Chromatogr. Relat. Technol. 2011, 34, 2383. DOI: http://dx.doi.org/10.1080/10826076.2011.591020

16. Salim, M. M.; Ebeid, W. M.; El-Enany, N.; Belal, F.; Walash, M.; Patonay, G.; J. Sep. Sci. 2014, 37, 1206. DOI: http://dx.doi.org/10.1002/jssc.201301140 PMID: 24574149

17. Hillaert, S.; Van Den Bossche, W.; J. Pharm. Biomed. Anal. 2003, 31, 329. DOI: http://dx.doi.org/10.1016/S0731-7085(02)00643-X PMID: 12609672

18. Al-Kindy, S. M. Z.; Al-Snedi, A.; Suliman, F. E. O.; Al-Lawati, H. a. J.; Luminescence 2014, 29, 657. DOI: http://dx.doi.org/10.1002/bio.2602 PMID: 24265217

19. Darwish, H. W.; Hassan, S. A.; Salem, M. Y.; El-Zeany, B. A.; Spectrochim. Acta, Part A 2013, 113, 215. DOI: http://dx.doi.org/10.1016/j.saa.2013.04.068

20. Merey, H. A.; Ramadan, N. K.; Diab, S. S.; Moustafa, A. A.; Spectrochim. Acta, Part A 2014, 125, 138. DOI: http://dx.doi.org/10.1016/j.saa.2014.01.095

21. Goyal, R. N.; Bishnoi, S.; Bioelectrochemistry 2010, 79, 234. DOI: http://dx.doi.org/10.1016/j.bioelechem.2010.06.004 PMID: 20615763

22. Erden, P. E.; Tasdemir, I. H.; Kacar, C.; Kilic, E.; Int. J. Electrochem. Sci. 2014, 9, 2208.

23. Gazy, A. a. K.; Talanta, 2004, 62, 575. DOI: http://dx.doi.org/10.1016/j.talanta.2003.08.025 PMID: 18969333

24. Lourencao, B. C.; Silva, T. A.; Fatibello-Filho, O.; Swain, G. M.; Electrochim. Acta 2014, 143, 398. DOI: http://dx.doi.org/10.1016/j.electacta.2014.08.008

25. Pires Eisele, A. P.; Mansano, G. R.; De Oliveira, F. M.; Casarin, J.; Teixeira Tarley, C. R.; Sartori, E. R.; J. Electroanal. Chem. 2014, 732, 46. DOI: http://dx.doi.org/10.1016/j.jelechem.2014.08.033

26. Stoiljkovic, Z. Z.; Ivic, M. L. A.; Petrovic, S. D.; Mijin, D. Z.; Stevanovic, S. I.; Lacnjevac, U. C.; Marinkovic, A. D.; Int. J. Electrochem. Sci. 2012, 7, 2288.

27. Svorc, L. U.; Cinkova, K.; Sochr, J.; Vojs, M.; Michniak, P.; Marton, M.; Electroanal. Chem. 2014, 728, 86. DOI: http://dx.doi.org/10.1016/j.jelechem.2014.06.038

28. Valezi, C. F.; Duarte, E. H.; Mansano, G. R.; Dall'antonia, L. H.; Teixeira Tarley, C. R.; Sartori, E. R.; Sens. Actuators, B 2014, 205, 234. DOI: http://dx.doi.org/10.1016/j.snb.2014.08.078

29. Beitollahi, H.; Ghorbani, F.; Ionics 2013, 19, 1673. DOI: http://dx.doi.org/10.1007/s11581-013-0885-2

30. Dogan-Topal, B.; Bozal, B.; Demircigil, B. T.; Uslu, B.; Ozkan, S. A.; Electroanalysis 2009, 21, 2427.

31. Dos Santos, S. X.; Gomes Cavalheiro, E. T.; Anal. Lett. 2012, 45, 1454. DOI: http://dx.doi.org/10.1080/00032719.2012.675499

32. Razak, O. A.; J. Pharm. Biomed. Anal. 2004, 34, 433. DOI: http://dx.doi.org/10.1016/S0731-7085(03)00497-7 PMID: 15013158

33. Tajik, S.; Taher, M. A.; Beitollahi, H.; J. Electroanal. Chem. 2013, 704, 137. DOI: http://dx.doi.org/10.1016/j.jelechem.2013.07.008

34. Altiokka, G.; Dogrukol-Ak, D.; Tuncel, M.; Aboul-Enein, H. Y.; Arch. Pharm. (Weinheim, Ger.) 2002, 335, 104. DOI: http://dx.doi.org/10.1002/1521-4184(200203)335:2/3<104::AID-ARDP104>3.0.CO;2-Q

35. Lourencao, B. C.; Baccarin, M.; Medeiros, R. A.; Rocha-Filho, R. C.; Fatibello-Filho, O.; J. Electroanal. Chem. 2013, 707, 15. DOI: http://dx.doi.org/10.1016/j.jelechem.2013.08.018

36. Deroco, P. B.; Vicentini, F. C.; Oliveira, G. G.; Rocha-Filho, R. C.; Fatibello-Filho, O.; J. Electroanal. Chem. 2014, 719, 19. DOI: http://dx.doi.org/10.1016/j.jelechem.2014.01.037

37. Gardenal Santos, M. C.; Teixeira Tarley, C. R.; Dall'antonia, L. H.; Sartori, E. R.; Sens. Actuators, B 2013, 188, 263. DOI: http://dx.doi.org/10.1016/j.snb.2013.07.025

38. Medeiros, R. A.; Lourencao, B. C.; Rocha-Filho, R. C.; Fatibello-Filho, O.; Talanta 2012, 99, 883. DOI: http://dx.doi.org/10.1016/j.talanta.2012.07.051 PMID: 22967638

39. Lima, A. B.; Faria, E. O.; Montes, R. H. O.; Cunha, R. R.; Richter, E. M.; Munoz, R. a. A.; Dos Santos, W. T. P.; Electroanalysis 2013, 25, 1585. DOI: http://dx.doi.org/10.1002/elan.201300014

40. Pereira, P. F.; Marra, M. C.; Lima, A. B.; Pio Dos Santos, W. T.; Abarza Munoz, R. A.; Richter, E. M.; Diamond Relat. Mater. 2013, 39, 41. DOI: http://dx.doi.org/10.1016/j.diamond.2013.07.010

41. Silva, R. a. G.; Silva, L. a. J.; Munoz, R. a. A.; Richter, E. M.; Oliveira, A. C.; J. Electroanal. Chem. 2014, 733, 85. DOI: http://dx.doi.org/10.1016/j.jelechem.2014.09.025

42. Babyak, C.; Smart, R. R.; Electroanalysis 2004, 16, 175. DOI: http://dx.doi.org/10.1002/elan.200302794

43. Dragoe, D.; Spataru, N.; Kawasaki, R.; Manivannan, A.; Spataru, T.; Tryk, D. A.; Fujishima, A.; Electrochim. Acta 2006, 51, 2437. DOI: http://dx.doi.org/10.1016/j.electacta.2005.07.022

44. Panizza, M.; Cerisola, G.; Electrochim. Acta 2005, 51, 191. DOI: http://dx.doi.org/10.1016/j.electacta.2005.04.023

45. Girard, H.; Simon, N.; Ballutaud, D.; Herlern, M.; Etcheberry, A.; Diamond Relat. Mater. 2007, 16, 316. DOI: http://dx.doi.org/10.1016/j.diamond.2006.06.009

46. Goeting, C. H.; Marken, F.; Gutierrez-Sosa, A.; Compton, R. G.; Foord, J. S.; Diamond Relat. Mater. 2000, 9, 390. DOI: http://dx.doi.org/10.1016/S0925-9635(99)00267-8

47. Medeiros, R. A.; Lourencao, B. C.; Rocha-Filho, R. C.; Fatibello-Filho, O.; Talanta 2012, 97, 291. DOI: http://dx.doi.org/10.1016/j.talanta.2012.04.033 PMID: 22841082

48. Medeiros, R. A.; Rocha-Filho, R. C.; Fatibello-Filho, O.; Food Chem. 2010, 123, 886. DOI: http://dx.doi.org/10.1016/j.foodchem.2010.05.010

49. Terashima, C.; Rao, T. N.; Sarada, B. V.; Kubota, Y.; Fujishima, A.; Anal. Chem. 2003, 75, 1564. DOI: http://dx.doi.org/10.1021/ac020583q PMID: 12705586

50. Suffredini, H. B.; Pedrosa, V. A.; Codognoto, L.; Machado, S. A. S.; Rocha-Filho, R. C.; Avaca, L. A.; Electrochim. Acta 2004, 49, 4021. DOI: http://dx.doi.org/10.1016/j.electacta.2004.01.082

51. Laube, N.; Mohr, B.; Hesse, A.; J. Cryst. Growth 2001, 233, 367. DOI: http://dx.doi.org/10.1016/S0022-0248(01)01547-0

52. Savitzky, A.; Golay, M. J. E.; Anal. Chem. 1964, 36, 1627. DOI: http://dx.doi.org/10.1021/ac60214a047

53. Gandini, D.; Michaud, P. A.; Duo, I.; Mahe, E.; Haenni, W.; Perret, A.; Comninellis, C.; New Diamond Front. Carbon Technol. 1999, 9, 303.

54. De Lima Ribeiro, F. A.; Castro Ferreira, M. M.; Morano, S. C.; Da Silva, L. R.; Schneider, R. P.; Quim. Nova 2008, 31, 164. DOI: http://dx.doi.org/10.1590/S0100-40422008000100029

55. www.ich.org, acessada em Janeiro 2015.

56. Greef, R.; Peat, R.; Peter, L. M.; Pletcher, D.; Robinson, J.; Instrumental methods in electrochemistry, 1ª ed., Ellis Horwood Limited: Chichester, 1985.

57. Gosser, D. K.; Cyclic voltammetry: simulation and analysis of reaction mechanisms, Wiley-VCH: New York, 1993.

58. Kissinger, P. T.; Heineman, W. R.; Laboratory Techniques in Electroanalytical Chemistry,2ª ed., Marcel Dekker, Inc.: New York, 1996.

59. Bard, A. J.; Faulkner, L. R.; Electrochemical methods: fundamentals and applications, 2ª ed., John Wiley & Sons: New York, 2001.

On-line version ISSN 1678-7064 Printed version ISSN 0100-4042
Qu�mica Nova
Publica��es da Sociedade Brasileira de Qu�mica
Caixa Postal: 26037 05513-970 S�o Paulo - SP
Tel/Fax: +55.11.3032.2299/+55.11.3814.3602
Free access

GN1