JBCS



16:56, sáb out 25

Acesso Aberto/TP



Artigo


Biossensor eletroquímico baseado na enzima tirosinase para a determinação de fenol em efluentes
An electrochemical biosensor based on the tyrosinase enzyme for the determination of phenol in wastewater

Dejane P. C. de Oliveira; Francisco W. P. Ribeiro; Helena Becker; Pedro Lima-Neto; Adriana N. Correia*

Departamento de Química Analítica e Físico-Química, Centro de Ciências, Universidade Federal do Ceará, Bloco 940 Campus do Pici 60440-900 Fortaleza - CE, Brasil

Recebido em 19/01/2015
Aceito em 27/04/2015
Publicado na web em 21/05/2015

Endereço para correspondência

*e-mail: adriana@ufc.br

RESUMO

This work describes the development of a biosensor based on the tyrosinase enzyme (Tyr) for the determination of phenol (PHEN) in laboratory effluent samples derived from ammoniacal nitrogen analysis of the water samples from the Muquém dam in the city of Cariús, CE, using square-wave voltammetry (SWV). The electrode modification consisted of the immobilization of gold nanoparticles, multi-walled carbon nanotubes, cobalt phthalocyanine, and Tyr on a glassy carbon electrode. The electrolyte, pH, enzyme quantity, and voltammetric parameters were optimized to detect PHEN. The analytical curves presented a linear range from 4.97 x 10-6 mol L-1 to 6.10 x 10-5 mol L-1, and the detection limit (DL) and quantitation limit (QL) values were 4.81 x 10-6 mol L-1 and 4.97 x 10-6 mol L-1, respectively. The repetition of measurements with the same biosensor and repetition for three other prepared biosensors exhibited a relative standard deviation (RSD) of 5.50 and 1.75%, respectively. The percentage recovery of PHEN in effluent samples varied from 86.40 to 105.04%. The stability of the biosensor was evaluated (at 21 days) with satisfactory results, showing 97.86% of the initial response. Moreover, the DL and recovery percentages agreed with the established values from CONAMA and ABNT, respectively. Thus, the electrode configuration developed seems a promising tool in the detection and quantification of PHEN in complex samples.

Palavras-chave: biosensor; tyrosinase; phenol; wastewater; square-wave voltammetry.

INTRODUÇÃO

A poluição ambiental por rejeitos industriais tem despertado muitas preocupações, sobretudo no último século, pois muitos desses dejetos são derivados de compostos que apresentam elevada toxicidade, tais como fenóis e seus derivados. Isto porque os compostos fenólicos e seus derivados encontram-se entre os poluentes químicos mais persistentes em efluentes industriais, devido seu uso extensivo nas unidades petroquímicas, fabricação de sintéticos, indústrias farmacêuticas, pesticidas, fertilizantes, entre outros.1

Quando os fenóis são colocados em contato direto com seres humanos, são rapidamente absorvidos através da pele e por inalação através dos pulmões, podendo acarretar danos genéticos, comprometer os sistemas respiratório e digestivo, olhos, pele, cérebro, rins, coração e fígado.2 Quando ocorrem exposições a quantidades moderadas, o organismo consegue realizar excreção por meio da urina, entretanto, quantidades elevadas de fenóis podem ser fatais para os seres humanos.3 Os compostos fenólicos também podem causar danos à biota nativa, incluindo algas, protozoários, invertebrados e vertebrados, como redução da fertilidade, diminuição da sobrevivência dos jovens e inibição de crescimento. Além disso, eles também afetam as velocidades das reações biocatalisadas nos processos de respiração e de fotossíntese, pois facilmente penetram através da pele e membranas celulares.3

Diante do potencial dano causado à saúde, as normas ambientais vigentes no Brasil estabeleceram padrões de lançamento de efluentes industriais de fenóis totais. Segundo a Resolução CONAMA nº. 430, publicada em 13 de março de 2011, definiu-se como padrão de lançamento para efluentes industriais o teor de 0,5 mg L-1 de fenóis totais (substâncias que reagem com 4-aminoantipirina).4

Até o presente momento, análises tanto de fenol como de seus derivados têm sido realizadas, principalmente, por meio de métodos espectrofotométricos e cromatográficos.5,6 Contudo, estas técnicas não permitem, facilmente, monitoramento contínuo in situ, pois os equipamentos são sofisticados e sensíveis, dificultando, assim, a realização de análises em campo. Além disso, elas apresentam custo elevado, são lentas, necessitam de operadores treinados e, em alguns casos, requerem etapas de extração ou de pré-concentração, que acrescem risco de perda de amostra.7

Nesse sentido, a necessidade do desenvolvimento de tecnologias mais versáteis capazes de realizar monitoramento ambiental tem impulsionado o aperfeiçoamento de uma variedade de procedimentos analíticos. Neste contexto, os biossensores surgem como dispositivos promissores para a determinação de contaminantes emergentes, tais como os compostos fenólicos. Os biossensores são definidos como dispositivos que combinam a atividade seletiva de elementos de reconhecimento biológico (enzimas, DNA, antígenos, anticorpos, células, organelas, tecido animal ou vegetal, entre outros) sensíveis a um analito de interesse, a um transdutor que converte a reação de reconhecimento em um sinal mensurável, que pode ser elétrico, térmico ou acústico.8,9 Na construção de um biossensor são utilizados vários materiais com a finalidade de contribuir na imobilização do material biológico, reduzindo o tempo de resposta, aumentando a estabilidade e a sensibilidade, bem como possibilitando a obtenção de limites de detecção cada vez menores. Portanto, o emprego de materiais nanoestruturados tem recebido atenção nos últimos anos por proporcionarem melhor desempenho aos biossensores.10

A literatura relata a utilização de materiais nanoestruturados e biossensores enzimáticos para a determinação de compostos fenólicos em amostras de águas, entre eles destacam-se: eletrodo de pasta de carbono modificado por polimerização eletroquímica de zinco,11 eletrodo de pasta de carbono modificado com n-(4-hidroxifenil)-3,5-dinitrobenzamida, nanotubos de carbono de paredes múltiplas e óxido de zinco,12 biossensor baseado na modificação do eletrodo de carbono vítreo com nanotubos de carbono de paredes múltiplas (NTCPM) e cloreto de 1-butil-3-metilimidazólio dentro de película de dihexadecilfosfato e enzima tirosinase (Tir)13 e biossensor baseado na modificação de eletrodo de carbono impresso com nanopartículas de ouro (NpAu) e enzima Tir.14

Dos diversos tipos de nanomateriais utilizados na modificação de sensores ou construção de biossensores destacam-se: as NpAu por proporcionarem ao biossensor boa biocompatibilidade, elevadas relação área/volume e condutividade, facilitando a transferência de elétrons e aumentando a sensibilidade e a seletividade,15,16 e NTCPM por apresentarem propriedades eletrônicas, ópticas e mecânicas, forte capacidade de adsorção e excelente biocompatibilidade. Quando funcionalizados, estes materiais exibem características eletrônicas e mecânicas consideravelmente diferentes dos nanotubos não funcionalizados.15,17 Além desses materiais, as ftalocianinas metálicas são reconhecidas por notável atividade catalítica em diversas reações eletroquímicas, além de promover aumento de estabilidade, devido à redução na formação de produtos que passivam a superfície do eletrodo. Complexos de ftalocianinas ligados a nanotubos de carbono oferecem excelente propriedade catalítica sem perder as propriedades eletrônicas dos nanotubos de carbono.15,18

Diante do exposto, biossensores baseados na enzima Tir têm se destacado como dispositivos eficientes na determinação e quantificação de compostos fenólicos em amostras de águas. Tir pertence à classe monofenol monoxigenase possuindo átomos cobre (binuclear) como centros ativos coordenados com histidinas. Tir é amplamente distribuída na natureza em toda a escala filogenética desde bactérias até mamíferos, além de participar de elevado número de reações biológicas.19 Tir catalisa a hidroxilação de monofenóis para formar o-difenóis (catecóis) e oxida o-difenóis a o-quinonas (difenolase), ambos, envolvendo consumo de oxigênio.20 Verifica-se na literatura que a enzima Tir é bastante utilizada não só na determinação de compostos fenólicos,21 mas também na determinação de pesticidas, fármacos e até na avaliação de envelhecimento de bebidas alcoólicas, empregando os dispositivos conhecidos como língua eletrônica.22-24

Nos últimos anos, o uso da voltametria de onda quadrada (VOQ) tem contribuído para a construção de sensores e biossensores eletroquímicos, pois a eficácia de um sensor ou um biossensor é diretamente proporcional ao nível de sensibilidade e seletividade frente ao analito, que pode ser incrementada pela utilização de técnicas eletroquímicas mais sensíveis, como VOQ.25-27 Nesse contexto, o objetivo deste trabalho foi desenvolver biossensor eletroquímico baseado na enzima Tir para a determinação de fenol (FEN) em amostras de efluentes de laboratório.

 

PARTE EXPERIMENTAL

Reagentes

Enzima Tir (> 1000 U mg-1), glutaraldeído, ácido tetracloroaurico, nanotubos de carbono de paredes múltiplas (95%) e ftalocianina de cobalto (FtCo) foram provenientes da Sigma-Aldrich. Como eletrólito de suporte foi empregado tampão fosfato contendo K2HPO4 e KH2PO4 ambos 0,1 mol L-1. A solução padrão de FEN 1,0 × 10-3 mol L-1 foi preparada em etanol absoluto e estocada ao abrigo da luz e sob refrigeração a 4 ºC. Todos os reagentes utilizados nos experimentos foram de grau analítico (procedência Vetec) e as soluções foram preparadas com água de alta pureza (Milli-Q, Milipore, Inc., com resistividade de 18,2 MΩ cm).

Instrumentação

Para a execução das medidas eletroquímicas foi utilizada uma célula eletroquímica de vidro com tampa em Teflon® e orifícios para posicionamento dos eletrodos e para adição de alíquotas da solução do analito. Os eletrodos de carbono vítreo (CV) na forma de disco (CH Instruments, diâmetro de 3,0 mm), placa de platina (Heraeus Vectra do Brasil Ltda.) e Ag/AgCl/KClsat foram empregados como eletrodos de trabalho, auxiliar e referência, respectivamente. Os estudos eletroquímicos foram realizados em potenciostatos/galvonostatos modelos PGSTAT 101 e 128N (Autolab, Eco Chemie) acoplado a computador, usando o programa NOVA versão 1.9. Todas as pesagens foram realizadas em balança analítica modelo TB-215D (Denver Instrument) com precisão de ± 0,01 mg. As medidas de pH foram realizadas em pHmetro modelo B474 (Micronal). Para agitação das soluções durante as medidas voltamétricas utilizou-se agitador magnético modelo 78HW-1 (BIOMIXER). A homogeneização das soluções foi realizada em banho ultrassom modelo 03350 (QUIMIS®) e para desaeração das soluções foi empregado gás nitrogênio (White Martins de pureza 4.6).

Caracterização eletroquímica

As avaliações eletroquímicas para a eletrodeposição das NpAu, imobilização da enzima Tir, estudo da atividade enzimática e caracterização do biossensor foram realizadas utilizando as técnicas de voltametria cíclica (VC) e espectroscopia de impedância eletroquímica (EIE). Os experimentos de VC foram realizados em meio de H2SO4 0,5 mol L-1 no intervalo de -0,2 a 1,5 V a 100 mV s-1 para avaliação do efeito do potencial e do tempo de eletrodeposição das NpAu. Para avaliar o comportamento eletroquímico do FEN sobre o biossensor foram realizados experimentos de VC em meio de tampão fosfato pH 7,0 na presença de FEN 5,21 × 10-5 mol L-1 no intervalo de 0,6 a -0,1 V a 10 mV s-1. Para emprego da EIE, aplicou-se frequência no intervalo entre 100 mHz e 100 kHz a 0,19 V com amplitude de perturbação de 10 mV em meio de KCl 0,1 mol L-1 contendo uma mistura equimolar dos sais K3[Fe(CN)6] e K4[Fe(CN)6] 1,0 × 10-3 mol L-1. O estudo analítico foi executado nas condições otimizadas dos parâmetros da VOQ, nos seguintes termos: f = 10 s-1, a = 30 mV e ΔEs = 1 mV, em meio de tampão fosfato pH 7,0 na presença de solução FEN 5,21 × 10-5 mol L-1.

Preparação do eletrodo CV/NpAu e NTCPM-FtCo

Inicialmente, realizou-se a limpeza da superfície de CV em pasta diamantada com granulação de 3 µm (Arotec). Para eletrodeposição das NpAu sobre CV utilizou-se a solução de HAuCl4 1,0 × 10-3 mol L-1 em NaNO3 0,1 mol L-1 previamente desaerada com passagem de N2(g) por 5 minutos, e aplicou-se um potencial de -0,2 V durante 120 s, empregando cronoamperometria. A área de superfície depositada da NpAu foi calculada a partir da carga correspondente à redução do óxido de ouro formado por VC.28

A funcionalização dos NTCPM em meio ácido foi realizada conforme o procedimento descrito na literatura.18 As suspensões foram preparadas em NTCPM 1 mg mL-1 com solução de FtCo a 1 mg mL-1, empregando dimetilformamida como solvente na presença de Nafion® 0,5% (Naf. 0,5%). Para auxiliar a formação de suspensão homogênea, a mistura foi colocada em banho com ultrassom por 30 minutos.18,29

Preparação do biossensor CV/NpAu/NTCPM-FtCo/Tir(Glu 2%)

Após a eletrodeposição das NpAu, o eletrodo foi transferido para a célula eletroquímica contendo solução de H2SO4 0,5 mol L-1, na qual foram realizados sucessivos ciclos voltamétricos até estabilização do perfil voltamétrico. Em seguida, a superfície do eletrodo foi seca por fluxo de N2(g). Logo após, adicionou-se 2 µL da mistura NTCPM-FtCo 1 mg mL-1 sobre CV/NpAu. A etapa de secagem do eletrodo foi realizada em dessecador por 2 horas a 26 ± 1 ºC. Finalizada a secagem do eletrodo, adicionou-se alíquota de 6 µL de solução contendo 60 unidades de enzima Tir preparada em tampão fosfato pH 7,0, sobre a superfície do eletrodo modificado. Novamente, colocou-o no dessecador, agora por 3 horas. Após secagem, imergiu-se o biossensor em solução de glutaraldeído 2% (Glu 2%) por 30 minutos para promover a imobilização da enzima, evitando sua lixiviação para a solução eletrolítica no momento da realização dos experimentos voltamétricos. O glutaraldeído promove ligações cruzadas (cross-linking) entre os grupamentos aminas presentes nas proteínas, proporcionando, assim, uma eficiente imobilização de biomoléculas.30,31 Após a etapa de imersão na solução de Glu 2%, o biossensor CV/NpAu/NTCPM-FtCo/Tir(Glu2%) foi mantido sob refrigeração a 4 ºC por 5 minutos. Finalmente, após esta etapa, o eletrodo foi lavado com tampão fosfato pH 7,0 e estocado a 4 ºC até a sua utilização.

Procedimento analítico

Para o desenvolvimento da metodologia analítica, realizou-se o estudo da concentração do eletrólito de suporte e a otimização do pH, utilizando voltametria cíclica. As respostas foram avaliadas pela intensidade das correntes de pico (Ip), deslocamento do potencial de pico e estabilidade do sinal após a reação enzimática. Após a otimização desses parâmetros iniciais, avaliou-se o método de imobilização da enzima sobre superfície do eletrodo previamente modificada, a fim de se obter uma configuração adequada em termos de sensibilidade analítica. Na sequência, realizou-se a otimização dos parâmetros voltamétricos da VOQ. Além dos parâmetros voltamétricos, buscou-se investigar o tempo de reação enzimático sobre o biossensor para que a reação enzimática ocorresse de forma efetiva. Com as condições experimentais e voltamétricas otimizadas, construiu-se as curvas analíticas em meio de tampão fosfato 0,1 mol L-1 pH 7,0 pela adição de alíquotas sucessivas da solução padrão de FEN 1,0 × 10-3 mol L-1 na célula eletroquímica. As curvas analíticas foram construídas com base no aumento da corrente de pico devido à atividade catalítica da enzima, que se baseia na oxidação do fenol a o-quinona.16 As figuras de mérito foram calculadas a partir das curvas analíticas. Os ensaios de repetibilidade foram realizados por meio de nove medidas, utilizando um biossensor construído nas mesmas condições em um mesmo dia. A avaliação se deu pelo cálculo do desvio padrão relativo (%DPR) dos valores de Ip obtidos, conforme equação 1.

em que DPIp é o desvio padrão da média das correntes de pico e Īp é a média dos valores de corrente de pico. Quanto à reprodutibilidade de construção do biossensor, também se avaliou o %DPR da resposta obtida de três diferentes biossensores, construídos em dias diferentes nas mesmas condições. A aplicação do biossensor desenvolvido se deu em amostra de efluente de laboratório proveniente da análise de nitrogênio amoniacal em amostras de águas do açude. A recuperação foi obtida com base na relação entre as concentrações recuperadas e adicionadas de fenol, conforme equação 2.

em que [FEN]recuperada correspondente à concentração de FEN recuperada e [FEN]adicionada representa a concentração de FEN adicionada. As medidas foram realizadas em triplicata pelo método da adição de padrão.

Preparação da amostra de efluente de laboratório

A amostra de efluente utilizada neste trabalho foi fornecida pelo Laboratório de Química Ambiental do Departamento de Química Analítica e Físico-Química da Universidade Federal do Ceará (LAQA/DQAFQ/UFC). O referido laboratório realiza periodicamente análises de nutrientes em águas de açudes do Estado do Ceará que são gerenciadas pela Companhia de Gestão dos Recursos Hídricos do Ceará (COGERH). A amostra de efluente utilizada foi proveniente da análise de nitrogênio amoniacal em amostras de águas do açude Muquém localizado no município de Cariús no Estado do Ceará. Essa análise foi realizada pela adição de nitroprussiato de sódio, citrato de sódio, dicloroisocianureto de sódio, etanol e FEN à amostra de água, seguida da leitura da absorbância em 640 nm.32 Após a leitura, a solução utilizada para a análise é considerada efluente, de modo que, para cada análise realizada, são gerados 3,60 mol L-1 de FEN, compondo, dessa forma, o efluente sob análise. A amostra foi coletada em frasco de polietileno e mantida à temperatura ambiente. Devido à elevada concentração de FEN na amostra, foi preparada uma solução 1,0 × 10-3 mol L-1 para ser empregada nos experimentos, por meio de diluição em H2O. Vale ressaltar que essa diluição foi realizada com intuito, também, de reduzir interferências durante as análises. As medidas voltamétricas foram realizadas sem a necessidade de etapas de pré-tratamento da amostra.

 

RESULTADOS E DISCUSSÃO

Estudo do tempo de eletrodeposição das NpAu

A obtenção de nanopartículas pelo método eletroquímico apresenta vantagens, tais como: aumentar a condutividade do eletrodo, facilitar a transferências de elétrons e melhora da sensibilidade analítica e seletividade.16,33 Neste contexto, a primeira etapa do trabalho consistiu em otimizar o tempo e o potencial aplicado para a eletrodeposição das NpAu. Os resultados foram avaliados em função da carga de redução do óxido de ouro a partir dos experimentos de VC realizados em meio de H2SO4 0,5 mol L-1, como descrito no procedimento experimental. Na varredura direta -0,2 V a 1,5 V foi observada a formação do óxido de ouro, conforme descrito na equação 3.34

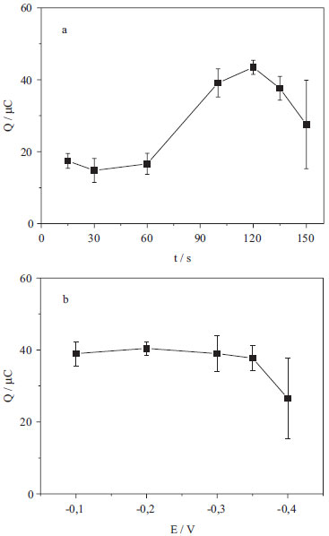
Na varredura reversa foi observado processo de redução bem definido referente à redução do óxido de ouro, confirmando a formação das NpAu.34,35 A Figura 1 apresenta os efeitos do tempo e do potencial empregados na eletrodeposição das NpAu sobre a carga de redução do óxido de ouro.

 


Figura 1. Relação entre a carga obtida a partir dos voltamogramas cíclicos no intervalo de -0,2 a 1,5 V a 100 mV s-1 em H2SO4 0,5 mol L-1 sobre CV/NpAu. a) o tempo de eletrodeposição das NpAu entre 15 e 150 s e b) o potencial aplicado variando de -0,1 a -0,4V por 120 s

 

Os resultados obtidos, Figura 1a, para estudo do tempo de eletrodeposição, exibiram aumento de carga até 120 s, seguido de decréscimo logo após esse tempo. De acordo com a literatura, o máximo alcançado pode estar associado ao aumento da quantidade de NpAu eletrodepositada na superfície do eletrodo, indicando eficiência no recobrimento.36 Já o declínio observado pode ser atribuído ao excesso de NpAu eletrodepositado na superfície do eletrodo, implicando, dessa forma, em redução da área superficial, bem como a diminuição na resposta catalítica, como consequência de aumento na resistência e na capacitância da dupla camada elétrica do eletrodo modificado.36 Em relação ao estudo do potencial aplicado, Figura 1b, notou-se discreto aumento de carga no potencial em torno de -0,2 V, seguindo de decréscimo após esse valor de potencial. Esse valor máximo de potencial obtido corrobora o relatado na literatura.28 Assim, os valores otimizados dos parâmetros tempo e potencial para eletrodeposição das NpAu foram 120 s e -0,2 V.

Imobilização da enzima tirosinase

Biossensores baseados na enzima Tir são normalmente desenvolvidos embasados no monitoramento do sinal de redução das espécies quinonas, gerados pela catálise da Tir na presença de oxigênio molecular. Por isso, a imobilização da enzima na superfície do eletrodo é considerada um passo importante no desenvolvimento de biossensores para determinação de compostos fenólicos.37 Portanto, com intuito de determinar a configuração otimizada do eletrodo para a imobilização da enzima Tir foram realizados estudos de VC para FEN 5,21 × 10-5 mol L-1 em meio de tampão fosfato pH 7,0 sobre CV, CV/Tir(Glu 2%), CV/NpAu/Tir(Glu 2%) e CV/NpAu/NTCPM-FtCo/Tir(Glu 2%). Os resultados obtidos podem ser vistos na Figura 2.

 


Figura 2. Voltamogramas cíclicos obtidos para fenol 5,21 × 10-5 mol L-1 em meio de tampão fosfato pH 7,0 entre -0,1 e 0,6 V a 10 mV s-1 sobre CV, CV/ Tir(Glu 2%), CV/NpAu/Tir(Glu 2%), CV/NpAu/NTCPM-FtCo/Tir(Glu 2%)

 

Conforme a Figura 2, para eletrodo de CV na ausência de Tir, não foi possível observar processos eletroquímicos. No entanto, à medida que a superfície recebia modificações, verificou-se processos catódicos entre 0,0 e 0,16 V. Estes resultados mostraram que a enzima foi imobilizada sobre a superfície do eletrodo. De acordo com a literatura, FEN pode ser oxidado à o-quinona na presença da enzima Tir, e o produto da reação enzimática pode ser reduzido na superfície do eletrodo,38 de acordo com as equações a seguir:

Quando o eletrodo de CV foi submetido apenas à presença da enzima Tir, observou-se a ocorrência de processo catódico. Na presença de NpAu e de Tir, iniciou-se a definição de processo catódico característico, justificado pela transferência de elétrons na reação eletroquímica.15 Finalmente, quando o eletrodo recebeu os nanotubos enriquecidos com ftalocianinas de cobalto (NTCPM-FtCo) seguido da imobilização enzimática, notou-se perfil voltamétrico típico de processo de redução, em função da propriedade catalítica adquirida pela combinação de NTCPM com FtCo.18 Na literatura, descreve-se que reações de transferência de carga sobre NTCPM podem ser mais favorecidas pela presença de FtCo em função das interações do tipo π-π, atuando como mediadores de transferência de elétrons.39,40 Assim, a presença dos agentes modificadores contribuiu para a imobilização da enzima Tir e para a transferência de elétrons entre o-quinona e superfície eletródica.

Influência da concentração do eletrólito de suporte, pH do meio e concentração da enzima tirosinase

Após otimização da configuração do biossensor enzimático, realizou-se o estudo do efeito da concentração do tampão fosfato, pH do meio e concentração da enzima Tir sobre a resposta do dispositivo. Os experimentos foram realizados para FEN 5,21 × 10-5 mol L-1 empregando VOQ com f = 10 s-1, a = 30 mV e ΔEs = 1 mV em meio de tampão fosfato sobre CV/NpAu/NTCPM-FtCo/Tir(Glu 2%). A Tabela 1 apresenta os parâmetros analisados com o intervalo estudado e o valor otimizado.

 

 

No primeiro estudo realizado verificou-se que a concentração do tampão fosfato que promoveu resposta de corrente mais intensa foi 0,1 mol L-1. Notou-se que quando o biossensor foi submetido a concentrações maiores que 0,1 mol L-1, ocorreu redução da atividade enzimática, podendo estar relacionada à competição pelo centro metálico da enzima entre os grupos fosfatos e o substrato, caracterizando inibição competitiva.22 Nesse contexto, escolheu-se o tampão fosfato 0,1 mol L-1 como eletrólito de suporte otimizado, dado que, dentre os estudados, ele promoveu maior intensidade do sinal eletroquímico e seletividade ao biossensor enzimático. Para a investigação do efeito do pH, observou-se que o valor mais intenso de Ip foi observado em pH 7,0. Segundo Ameer e Adeloju (2009), valor de pH diferente do pH enzimático otimizado pode causar alterações na geometria conformacional e interações iônicas em sítios ativos da Tir, que resulta em sinal de menor intensidade durante o processo catalítico.41 Em conformidade com a literatura, pH 7,0 foi selecionado como pH otimizado.21,41,42

Com o intuito de avaliar a influência da quantidade de enzima realizou-se estudos voltamétricos sobre CV/NpAu/NTCPM-FtCo/Tir(Glu 2%) utilizando VOQ em meio de tampão fosfato 0,1 mol L-1 em pH 7,0, variando a concentração de Tir entre 40 e 70 U mL-1. Os resultados obtidos mostraram aumento da Ip para 60 U mL-1. Menores valores de Ip observados abaixo de 60 U mL-1 podem ser associados à baixa concentração de Tir imobilizada sobre o eletrodo, implicando consequentemente em uma menor quantidade do produto catalítico o-quinona. A redução da Ip em 70 U mL-1 pode estar associada ao aumento da espessura do filme enzimático, afetando a transferência de carga e facilitando a lixiviação da enzima da superfície eletródica para a solução.22 Portanto, 60 U mL-1 foi a concentração otimizada para a construção do biossensor.

Avaliação da atividade enzimática da tirosinase

Com intuito de avaliar a influência do oxigênio na atividade enzimática da tirosinase e comprovar sua imobilização de forma efetiva, realizaram-se estudos empregando VC a 10 mV s-1 entre 0,4 e -0,1 V, para o primeiro ciclo, em solução contendo FEN 5,21 × 10-5 mol L-1 em meio de tampão fosfato pH 7,0, na ausência e na presença de oxigênio. Os resultados podem ser observados na Figura 3.

 


Figura 3. Voltamogramas cíclicos obtidos para fenol 5,21 × 10-5 mol L-1 em meio de tampão fosfato pH 7,0 entre -0,1 e 0,6 V a 10 mV s-1 sobre CV/NpAu/NTCPM-FtCo/Tir(Glu 2%) na presença e na ausência de oxigênio

 

A remoção do oxigênio dissolvido na solução foi realizada por meio de fluxo de N2(g) por 5 minutos.43 Os resultados indicaram que, na ausência de oxigênio, o perfil voltamétrico observado para FEN assemelha-se ao perfil voltamétrico para FEN sobre CV sem modificação, apresentado na Figura 2.

Logo, a ausência de oxigênio acabou por impedir o ciclo catalítico da enzima. Porém, na presença de oxigênio, a atuação da enzima foi confirmada, sendo possível observar perfil voltamétrico característico de processo redox. Este comportamento está de acordo com as propriedades catalíticas da Tir, que possui dois átomos de cobre que são os sítios responsáveis pela oxidação do substrato, seguido da redução do oxigênio formando água, garantindo a atividade enzimática.44 Esses resultados justificaram a presença de oxigênio e garantiram que a imobilização da enzima sobre o eletrodo modificado foi eficiente.

Caracterização do biossensor enzimático por espectroscopia de impedância eletroquímica

A caracterização de todas as etapas de construção do biossensor foi realizada empregando EIE,45,46 sendo que o diâmetro do semicírculo observado no diagrama de Nyquist em elevadas frequências corresponde à resistência à transferência de carga (Rtc), que controla a cinética de transferência eletrônica do processo redox na superfície do eletrodo.45,47,48 A Figura 4 apresenta os diagramas de Nyquist em K3[Fe(CN)6] e K4[Fe(CN)6] 1,0 × 10-3 mol L-1 em meio de KCl 0,1 mol L-1 sobre CV, CV/Tir(Glu 2%), CV/NpAu/Tir(Glu 2%) e CV/NpAu/NTCPM-FtCo/Tir(Glu%).

 


Figura 4. Diagramas de Nyquist para CV, CV/Tir(Glu 2%), CV/NpAu/Tir(Glu 2%) e CV/NpAu/NTCPM-FtCo/Tir(Glu%) na presença de K3[Fe(CN)6] e K4[Fe(CN)6] 1,0 × 10-3 mol L-1 em meio de KCl 0,1 mol L-1 com frequência variando entre 100 kHz e 100 mHz, amplitude de 10 mV a 0,19 V

 

A partir dos diagramas de Nyquist foi possível calcular Rtc para CV, CV/Tir(Glu 2%), CV/NpAu/Tir(Glu 2%) e CV/NpAu/NTCPM-FtCo/Tir(Glu 2%), sendo iguais a 4,39 kΩ; 187 kΩ; 40,9 kΩ e 2,83 kΩ, respectivamente. Inicialmente, quando CV recebeu modificação com Tir, notou-se aumento na transferência de carga quando comparado a CV sem modificação, indicando que a enzima foi imobilizada sobre a superfície do eletrodo. No entanto, para CV/NpAu/Tir foi observada diminuição do valor de Rtc. Essa diminuição possivelmente está associada ao aumento da condutividade devido à presença de ouro.23 Todavia, o espectro correspondente ao biossensor em sua completa configuração exibiu diminuição do valor de Rtc. Essa diminuição pode ser atribuída à presença dos NTCPMF-FtCo na configuração do biossensor. A presença de Tir dificultou a mobilidade eletrônica, atuando como uma barreira ao processo de transferência de carga. A cinética de transferência de carga foi reduzida em função da presença da enzima tirosinase imobilizada sobre a superfície do eletrodo CV, comprovando, assim, a eficiência da imobilização enzimática. No entanto, quando a Tir foi imobilizada na presença dos materiais nanoestruturados e FtCo foi observado aumento da cinética da reação de transferência de carga.

Otimização dos parâmetros voltamétricos do biossensor enzimático

Antes da construção das curvas analíticas para FEN, realizou-se a otimização dos parâmetros da VOQ e do tempo de exposição do biossensor com a solução contendo FEN 5,21 × 10-5 mol L-1 em meio de tampão fosfato pH 7,0. Investigou-se valores de f no intervalo de 5 a 40 s-1 obtendo 10 s-1 como valor otimizado. Os valores de a foram variados entre 10 e 50 mV, alcançando 30 mV como valor adequado. ΔEs foi analisado entre 1,0 e 4,0 mV, exibindo 1 mV como otimizado. Também foi realizada avaliação do tempo de reação enzimática entre 0,5 e 10 minutos, obtendo 3 minutos como apropriado.

Construção das curvas analíticas para fenol

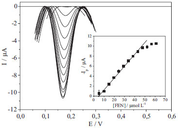
As curvas foram construídas empregando o método de adição de padrão, por adições sucessivas de alíquotas de 50 µL de fenol 1,0 × 10-3 mol L-1 à célula eletroquímica, com agitação por 1 minuto e tempo de incubação para a reação de catálise enzimática de 3 minutos. Em seguida, realizou-se experimentos de VOQ com todas as condições experimentais e voltamétricas otimizadas. Os voltamogramas de VOQ, após correção das linhas de base e acompanhados da curva analítica para fenol sobre biossensor, podem ser vistos na Figura 5.

 


Figura 5. Voltamogramas de onda quadrada para fenol em meio de tampão fosfato pH 7,0 sobre CV/NpAu/NTCPM-FtCo/Tir(Glu 2%), obtidos entre 4,97 × 10-6 até 6,54 × 10-5 mol L-1 com f = 10 s-1, a = 30 mV e ΔEs = 1 mV. Na inserção, tem-se a curva analítica com valores médios

 

A curva analítica exibiu dependência linear entre correntes de pico e concentração entre 4,97 × 10-6 e 4,76 × 10-5 mol L-1, com inclinação de 0,142 A/mol L-1 e coeficiente de correlação de 0,9970. A perda da linearidade verificada em concentrações mais elevadas ocorreu, possivelmente, devido à saturação da enzima Tir. Essa condição existirá sempre que a concentração do substrato, no caso FEN, for suficientemente alta para manter todas as moléculas de Tir na forma combinada com o substrato.49 A Tabela 2 expõe as figuras de mérito, em que a região de linearidade (RL), a equação da curva analítica, coeficiente de correlação (R), os limites de detecção (LD) e de quantificação (LQ), a repetibilidade e a reprodutibilidade foram obtidos em triplicata e os resultados exibidos representam valores médios.

 

 

Analisando a Tabela 2, notou-se valor negativo do intercepto da equação da curva analítica, quando se sabe que o valor apontado como real para o intercepto deve ser igual à zero. Desse modo, para definir se existe diferença entre o valor medido e o valor padrão, aplicou-se um teste estatístico, conhecido como teste de significância (teste t). O teste foi empregado utilizando a equação 7:

em que é a média das amostras, µ é o valor considerado como verdadeiro, s o desvio padrão da média e n o número de determinações.50 O valor de t calculado (tcalc) igual a 1,99 foi menor que o t crítico, igual a 4,30, para um nível de 95% de confiança. Logo, concluiu-se que não houve diferença significativa entre o valor médio dos interceptos e o valor padrão. Os valores de LD e de LQ calculados foram 4,81 × 10-6 (0,45 mg L-1) e 4,97 × 10-6 (0,46 mg L-1), respectivamente. Estes valores encontram-se comparáveis aos apresentados na literatura.51,52

Deste modo, o biossensor desenvolvido se mostrou eficiente quanto à detecção de FEN, além de mostrar sensibilidade aceitável segundo a Resolução CONAMA.4 A reprodutibilidade do dispositivo foi avaliada a partir dos valores Ip obtidos para FEN nas condições previamente otimizadas, considerando três biossensores construídos do mesmo modo em dias diferentes. A repetibilidade dos experimentos foi examinada a partir de nove medidas realizadas sucessivamente, com o mesmo biossensor. Os resultados obtidos apresentaram reprodutibilidade e repetibilidade aceitável para os valores de corrente de pico com %DPR de 1,75% e 5,29%, respectivamente. Estes resultados conferiram à metodologia desenvolvida excelente precisão, viabilizando sua aplicação em amostras complexas.

Determinação de fenol sobre biossensor enzimático baseado na enzima tirosinase em amostras de águas naturais

A aplicabilidade do biossensor desenvolvido CV/NpAu/NTCPM-FtCo/Tir(Glu 2%) foi testada para determinação de FEN em amostra de efluentes oriundos de análises de nitrogênio amoniacal em águas do açude Muquém localizado no município de Cariús no Estado do Ceará.

Assim, considerando a determinação direta de FEN em águas naturais, é necessário que o método analítico seja seletivo e particularmente robusto, devido à complexidade da matriz ambiental. Inicialmente, realizou-se a comparação entre as inclinações das curvas analíticas obtidas em eletrólito de suporte e em amostra complexa. A comparação foi realizada por meio do teste t pareado empregando a equação 8.

em que é a diferença entre as médias das inclinações, n é o número de medidas e DPd é o desvio padrão das médias das inclinações.50 A curva obtida em amostra complexa apresentou inclinação igual a 0,174 A / mol L-1 com R = 0,9935, de acordo com -Ip = 1,18 × 10-7 ± 3,63 × 10-7 + 0,174 ± 1,41 × 10-2[FEN]. Obteve-se o valor de 2,82 para tcalc. Considerando t crítico de 4,30 com 95% de confiança, concluiu-se que não houve diferença significativa entre os valores médios das inclinações. Assim, pode-se afirmar que as sensibilidades analíticas do eletrólito de suporte e da amostra complexa são estatisticamente semelhantes, implicando em ausência de efeito matriz.

Os ensaios de recuperação na amostra de água natural foram realizados em três níveis de FEN, os valores referentes às concentrações adicionadas e recuperadas, percentuais de recuperação, intervalo de confiança e %DPR estão dispostos na Tabela 3.

 

 

De acordo com os percentuais de recuperação observados na Tabela 3 foi possível verificar que o menor valor de percentual foi obtido para a primeira adição de 86,40% com DPR de 10,62%, e nas adições seguintes foi observado aumento de percentual. Possivelmente, o percentual de 86,40% ocorreu devido à baixa concentração de FEN em relação à concentração das espécies presentes na matriz.

A interferência observada também pode ser associada aos reagentes utilizados na análise de nitrogênio amoniacal realizadas nas amostras de águas do açude Muquém, como descrito no procedimento experimental. A partir destes resultados foi possível verificar a eficiência da metodologia eletroanalítica empregando esse biossensor baseado na enzima Tir, já que os percentuais calculados estiveram entre 80 e 110%, sendo apropriados para metodologias analíticas de acordo com a Associação Brasileira de Normas Técnicas (ABNT).53

Por meio deste estudo também foi possível notar que o biossensor baseado na enzima Tir foi capaz de responder quantitativamente ao incremento de FEN na amostra de efluentes em todas as análises, tornando-o promissor em aplicações ambientais. Apesar da literatura já dispor de estudos da aplicação de biossensores em amostras ambientais,54 esse tema ainda consiste em um desafio, uma vez que, geralmente, as matrizes analisadas apresentam alta complexidade devido à presença de interferentes que podem provocar, por exemplo, inibição do elemento biológico presente no biossensor.

Estabilidade do biossensor CV/NpAu/NTCPM-FtCo/Tir(Glu 2%)

Os ensaios de estabilidade do biossensor foram realizados pela análise dos valores de Ip para fenol 5,21 × 10-5 mol L-1 em tampão fosfato pH 7,0, a partir dos experimentos de VOQ realizados em dias diferentes. Os resultados indicaram que após 21 dias a resposta do biossensor passou a ser 97,86% da resposta inicial. Estudos apresentados na literatura mostraram ensaios de estabilidade de biossensores baseados em Tir no intervalo de 10 a 30 dias, sem a perda significativa da atividade enzimática.52,55,56

 

CONCLUSÕES

A partir dos resultados obtidos, pode-se concluir que o biossensor eletroquímico baseado na enzima Tir foi aplicado com sucesso para a determinação de FEN em amostras de efluentes. Empregando o método de ligações cruzadas, Tir foi adequadamente imobilizada sobre CV modificado com nanopartículas de ouro e nanotubos de carbono de paredes múltiplas enriquecidos com ftalocianina de cobalto, potencializando a aplicação do dispositivo para análises de FEN. O dispositivo desenvolvido apresentou maior sensibilidade nas condições: 60 U mL-1 da enzima, 3 minutos de incubação, tampão fosfato 0,1 mol L-1, pH 7,0 e parâmetros da VOQ (f = 10 s-1, a = 30 mV e ΔEs = 1 mV). Os valores de LD e de LQ calculados foram 4,81 × 10-6 (0,45 mg L-1) e 1,60 × 10-5 (1,50 mg L-1), respectivamente, estando em conformidade com a legislação vigente. A aplicação do biossensor para a determinação de FEN em amostras de efluentes apresentou percentuais de recuperação entre 86,40 e 105,04%, indicando eficiência do procedimento eletroanalítico desenvolvido. Os ensaios de estabilidade indicaram que a resposta do biossensor após 21 dias foi de 97,86% da resposta inicial. Portanto, este dispositivo eletroquímico baseado na enzima Tir apresentou desempenho analítico desejado para determinação de FEN, exibindo fácil construção, sensibilidade satisfatória, faixa de trabalho adequada, precisão, repetibilidade, reprodutibilidade e estabilidade, apontando-o como promissor para análises de monitoramento ambiental.

 

AGRADECIMENTOS

Os autores agradecem ao CNPq, à Capes e à FINEP pelo apoio financeiro.

 

REFERÊNCIAS

1. Sancinetti, G. P.; Sader, L. T.; Varesche, M. B. A.; Amorim, E. L. C.; Omena, S. P. F.; Silva, E. L.; Braz. J. Chem. Eng. 2012, 29, 87. DOI: http://dx.doi.org/10.1590/S0104-66322012000100010

2. Damjanovic, L.; Rakic, V.; Rac, V.; Stosic, D.; Auroux, A.; J. Hazard. Mater. 2010, 184, 477. DOI: http://dx.doi.org/10.1016/j.jhazmat.2010.08.059 PMID: 20855165

3. Babich, H.; Davis, D. L.; Regul. Toxicol. Pharmacol. 1981, 1, 90. DOI: http://dx.doi.org/10.1016/0273-2300(81)90071-4 PMID: 6764550

4. http://www.mma.gov.br/port/conama/legiabre.cfm?codlegi=646, acessada em Dezembro 2014.

5. Zarei, A. R.; Gholamian, F.; Chalavi, S.; S. Afr. J. Chem. 2011, 64, 158.

6. Hu, C.; Chen, B.; He, M.; Hu, B.; J. Chromatogr. A 2013, 1300, 165. DOI: http://dx.doi.org/10.1016/j.chroma.2013.02.089 PMID: 23726076

7. Rosatto, S. S.; Freire, R. S.; Durán, N.; Kubota, L. T.; Quim. Nova 2001, 24, 77. DOI: http://dx.doi.org/10.1590/S0100-40422001000100014

8. 8.Filho, O. F.;Capelato,M. D.; Quim. Nova 1992, 15, 28.

9. Thévenot, D. R.; Toth, K.; Durst, R. A.; Wilson, G. S.; Biosens. Bioelectron. 2001, 16, 121. DOI: http://dx.doi.org/10.1016/S0956-5663(01)00115-4 PMID: 11261847

10. Zhang, W.; Asiri, A. M.; Liu, D.; Du, D.; Lin, Y.; TrAC, Trends Anal. Chem. 2014, 54, 1. DOI: http://dx.doi.org/10.1016/j.trac.2013.11.003

11. Qin, W.; Liu, X.; Chen, H.; Yang, J.; Anal. Methods 2014, 6, 5734. DOI: http://dx.doi.org/10.1039/C3AY41855C

12. Karimi-Maleh, H.; Moazampour, M.; Ensafi, A.; Mallakpour, S.; Hatami, M.; Environ. Sci. Pollut. Res. 2014, 21, 5879. DOI: http://dx.doi.org/10.1007/s11356-014-2529-0

13. Vicentini, F. C.; Janegitz, B. C.; Brett, C. M. A.; Fatibello-Filho, O.; Sens. Actuators, B 2013, 188, 1101. DOI: http://dx.doi.org/10.1016/j.snb.2013.07.109

14. Nurul Karim, M.; Lee, H. J.; Talanta 2013, 116, 991. DOI: http://dx.doi.org/10.1016/j.talanta.2013.08.003 PMID: 24148506

15. Rawal, R.; Chawla, S.; Dahiya, T.; Pundir, C.; Anal. Bioanal. Chem. 2011, 401, 2599. DOI: http://dx.doi.org/10.1007/s00216-011-5325-4 PMID: 21877188

16. Kim, G.-Y.; Shim, J.; Kang, M.-S.; Moon, S.-H.; J. Hazard. Mater. 2008, 156, 141. DOI: http://dx.doi.org/10.1016/j.jhazmat.2007.12.007 PMID: 18206302

17. Souza Filho, A. G. D.; Fagan, S. B.; Quim. Nova 2007, 30, 1695. DOI: http://dx.doi.org/10.1590/S0100-40422007000100035

18. Moraes, F. C.; Mascaro, L. H.; Machado, S. A. S.; Brett, C. M. A.; Talanta 2009, 79, 1406. DOI: http://dx.doi.org/10.1016/j.talanta.2009.06.013 PMID: 19635377

19. Vidal, J. C.; Esteban, S.; Gil, J.; Castillo, J. R.; Talanta 2006, 68, 791. DOI: http://dx.doi.org/10.1016/j.talanta.2005.06.038 PMID: 18970392

20. Vidal, J. C.; Bonel, L.; Castillo, J. R.; Electroanalysis 2008, 20, 865. DOI: http://dx.doi.org/10.1002/elan.200704115

21. Sys, M.; Pekec, B.; Kalcher, K.; Vytras, K.; Int. J. Electrochem. Sci. 2013, 8, 9030.

22. Albuquerque, Y. D. T.; Ferreira, L. F.; Anal. Chim. Acta 2007, 596, 210. DOI: http://dx.doi.org/10.1016/j.aca.2007.06.013 PMID: 17631099

23. Apetrei, I. M.; Rodriguez-Mendez, M. L.; Apetrei, C.; De Saja, J. A.; Sens. Actuators, B 2013, 177, 138. DOI: http://dx.doi.org/10.1016/j.snb.2012.10.131

24. Ghasemi-Varnamkhasti, M.; Rodríguez-Méndez, M. L.; Mohtasebi, S. S.; Apetrei, C.; Lozano, J.; Ahmadi, H.; Razavi, S. H.; Saja, J. A.; Food Control 2012, 25, 216. DOI: http://dx.doi.org/10.1016/j.foodcont.2011.10.020

25. Karim, M. N.; Lee, J. E.; Lee, H. J.; Biosens. Bioelectron. 2014, 61, 147. DOI: http://dx.doi.org/10.1016/j.bios.2014.05.011 PMID: 24874658

26. Chen, A.; Shah, B.; Anal. Methods 2013, 5, 2158. DOI: http://dx.doi.org/10.1039/C2AY25922B

27. Janegitz, B. C.; Medeiros, R. A.; Rocha-Filho, R. C.; Fatibello-Filho, O.; Diamond Relat. Mater. 2012, 25, 128. DOI: http://dx.doi.org/10.1016/j.diamond.2012.02.023

28. Park, B.-W.; Yoon, D.-Y.; Kim, D.-S.; J. Electroanal. Chem. 2011, 661, 329. DOI: http://dx.doi.org/10.1016/j.jelechem.2011.08.013

29. Cesarino, I.; Moraes, F. C.; Ferreira, T. C. R.; Lanza, M. R. V.; Machado, S. a. S.; J. Electroanal. Chem. 2012, 672, 34. DOI: http://dx.doi.org/10.1016/j.jelechem.2012.03.006

30. Migneault, I.; Dartiguenave, C.; Bertrand, M. J.; Waldron, K. C.; BioTechiniques 2004, 37, 790.

31. Barbosa, O.; Ortiz, C.; Berenguer-Murcia, A.; Torres, R.; Rodrigues, R. C.; Fernandez-Lafuente, R.; RSC Adv. 2014, 4, 1583. DOI: http://dx.doi.org/10.1039/C3RA45991H

32. American Public Health Association. Standard Methods for the Examination of Water and Wastewater, Washington, 2005.

33. Cortez, J.; Vorobieva, E.; Gralheira, D.; Osório, I.; Soares, L.; Vale, N.; Pereira, E.; Gomes, P.; Franco, R.; J. Nanopart. Res. 2011, 13, 1101. DOI: http://dx.doi.org/10.1007/s11051-010-0099-8

34. Du, X.; Miao, Z.; Zhang, D; Fang, Y.; Ma, M.; Chen, Q.; Biosens. Bioelectron. 2014, 62, 73. DOI: http://dx.doi.org/10.1016/j.bios.2014.06.030 PMID: 24984286

35. Chang, G.; Shu, H.; Ji, K.; Oyama, M.; Liu, X.; He, Y.; Appl. Surf. Sci. 2014, 288, 524. DOI: http://dx.doi.org/10.1016/j.apsusc.2013.10.064

36. Sanz, V. C.; Mena, M. L.; Gonzáles-Cortés, A.; Yáñez-Sedeño, P.; Pingarrón, J. M.; Anal. Chim. Acta 2005, 528, 1. DOI: http://dx.doi.org/10.1016/j.aca.2004.10.007

37. Zhou, Y.; Tang, L.; Zeng, G.; Chen, J.; Cai, Y.; Zhang, Y.; Yang, G.; Liu, Y.; Zhang, C.; Tang, W.; Biosens. Bioelectron. 2014, 61, 519. DOI: http://dx.doi.org/10.1016/j.bios.2014.05.063 PMID: 24951922

38. Shin, S.; Kim, G.; Shim, J.; Kim, J.; Hur, H.; Lee, D.; Song, J.; Moon, S.; Korean J. Chem. Eng. 2012, 29, 1666. DOI: http://dx.doi.org/10.1007/s11814-012-0140-y

39. Geraldo, D. A.; Chamunorwa, A. T.; Limson, J.; Nyokong, T.; Electrochim. Acta 2008, 53, 8051. DOI: http://dx.doi.org/10.1016/j.electacta.2008.05.083

40. Zagal, J. H.; Griveau, S.; Santander-Nelli, M.; Granados, S. G.; Bedioui, F.; J. Porphyrins Phthalocyanines 2012, 16, 713. DOI: http://dx.doi.org/10.1142/S1088424612300054

41. Ameer, Q.; Adeloju, S. B.; Sens. Actuators, B 2009, 140, 5. DOI: http://dx.doi.org/10.1016/j.snb.2009.03.056

42. Chuang, M.; Liu, C.; Yang, M.; Sens. Actuators, B 2006, 114, 357. DOI: http://dx.doi.org/10.1016/j.snb.2005.06.001

43. Marko-Varga, G.; Emnéus, J.; Gorton, L.; TrAC, Trends Anal. Chem. 1995, 14, 319. DOI: http://dx.doi.org/10.1016/0165-9936(95)97059-A

44. Turner, A. P. F.; Karube, I.; Wilson, G. S.; The enzyme electrode, Oxford University Press: Oxford, 1970.

45. Wang, K.; Liu, Q.; Dai, L.; Yan, J.; Ju, C.; Qiu, B.; Wu, X.; Anal. Chim. Acta 2011, 695, 84. DOI: http://dx.doi.org/10.1016/j.aca.2011.03.042 PMID: 21601034

46. Bard, A. J.; Faulkner, L. R.; Electrochemical Methods: Fundamentals and Applications, 2nd ed., John Wiley & Sons: New York, 2001.

47. Kang, X.; Wang, J.; Wu, H.; Aksay, I. A.; Liu, J.; Lin, Y.; Biosens. Bioelectron. 2009, 25, 901. DOI: http://dx.doi.org/10.1016/j.bios.2009.09.004 PMID: 19800781

48. Orazem, M. E.; Tribollet, B.; Electrochemical Impedance Spectroscopy, John Wiley & Sons: New Jersey, 2008.

49. Nelson, D. L.; Cox, M. M.; Lehninger Principles of Biochemistry, 5th ed., W. H. Freeman: New York, 2008.

50. Miller, J. N.; Miller, J. C.; Statistics and chemometrics for analytical chemistry, 5th ed., Pearson Prentice Hall: London, 2005.

51. Apetrei, C.; Rodríguez-Méndez, M. L.; De Saja, J. A.; Electrochim. Acta 2011, 56, 8919. DOI: http://dx.doi.org/10.1016/j.electacta.2011.07.127

52. Hashemnia, S.; Khayatzadeh, S.; Hashemnia, M.; J. Sol. State Electrochem. 2012, 16, 473. DOI: http://dx.doi.org/10.1007/s10008-011-1355-2

53. ABNT NBR 142029, Agrotóxicos e afins - Validaçao de méodos analíticos, Associaçao Brasileira de Normas Técnicas, 2005

54. Ren, J.; Kang, T.; Xue, R.; Ge, C.; Cheng, S.; Microchim. Acta 2011, 174, 303. DOI: http://dx.doi.org/10.1007/s00604-011-0616-1

55. Li, Y.; Li, D.; Song, W.; Li, M.; Zou, J.; Long, Y.; Front. Environ. Sci. Eng. 2012, 6, 831. DOI: http://dx.doi.org/10.1007/s11783-011-0384-5

56. Lu, L.; Zhang, L.; Zhang, X.; Huan, S.; Shen, G.; Yu, R.; Anal. Chim. Acta 2010, 665, 146. DOI: http://dx.doi.org/10.1016/j.aca.2010.03.033 PMID: 20417324

On-line version ISSN 1678-7064 Printed version ISSN 0100-4042
Qu�mica Nova
Publica��es da Sociedade Brasileira de Qu�mica
Caixa Postal: 26037 05513-970 S�o Paulo - SP
Tel/Fax: +55.11.3032.2299/+55.11.3814.3602
Free access

GN1