JBCS



11:56, sáb out 25

Acesso Aberto/TP



Artigo


Oxidación electroquímica de lambdacialotrina sobre electrodos de PbO2-Bi
Electrochemical oxidation of lambdacyhalotrin on PbO2-Bi electrodes

Leonardo Cifuentes; Dorelys Flores; Lorean Madriz; Ronald Vargas*

Departamento de Química, Universidad Simón Bolívar, Caracas, Venezuela

Recebido em 12/01/2015
Aceito em 07/05/2015
Publicado na web em 26/06/2015

Endereço para correspondência

*e-mail: ronaldvargas@usb.ve

RESUMO

The electrochemical oxidation of lambdacyhalotrin in a triton X-100 water solution on a PbO2-Bi electrode has been studied. It was discovered that electrocatalytic degradation proceeded through the Langmuir-Hinshelwood (L-H) mechanism. The Langmuir adsorption equilibrium constant of the organic compound on the PbO2-Bi surface (0.67 (±0.02) mg-1 L) and the L-H maximum reaction rate for lambdacyhalotrin oxidation (0.040 (±0.002) mg L-1 min-1) was also determined on the basis of kinetic data. Oxidation/mineralization was tested at electrode potential higher than 2.3 V vs. Ag/AgCl, in this conditions the higher degradation percent of 85 (±4) % has been obtained.

Palavras-chave: lambdacyhalothrin; PbO2-Bi; Langmuir-Hinshelwood; triton X-100.

INTRODUCCIÓN

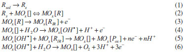
La oxidación electroquímica de compuestos orgánicos por transferencia de oxígeno se basa en la formación de especies intermediarias altamente reactivas, como lo son principalmente los radicales hidroxilo (OH•). Dichos radicales son los que llevan a cabo la descomposición de los agentes contaminantes, luego de reaccionar con los compuestos orgánicos adsorbidos sobre una superficie electrocatalítica. Básicamente el método consiste en aplicar sobre el electrodo de trabajo (típicamente dióxido de plomo modificado con bismuto, dióxido de estaño dopado con antimonio, carbono vítreo, grafito o diamante dopado con boro), un potencial positivo de tal manera que se generen radicales OH• y se promueva la oxidación de los contaminantes orgánicos en solución.1-13

La oxidación electroquímica de compuestos orgánicos sobre óxidos de metales es precedida por el transporte del reactivo (Rsol) desde el seno de la solución hasta la superficie del electrodo (Rs) (ecuación 1). Posteriormente se establece el equilibrio de adsorción-desorción del compuesto orgánico sobre sitios activos del electrodo (MOX[ ]) (ecuación 2).3,4,8 A potenciales lo suficientemente positivos ocurre la oxidación directa de la materia orgánica adsorbida, formando de esa manera, intermediarios radicales (RIR) (ecuación 3), y paralelo a esto ocurre la descomposición del agua sobre el electrodo, generando así, radicales hidroxilo adsorbidos (ecuación 4).1,2,4,7,8 Estos pueden reaccionar con los intermediarios radicales formados y generar los productos de oxidación (POX) (ecuación 5)3,4,7,8 o con la molécula de agua, con lo cual ocurre la reacción de evolución del oxígeno de forma paralela e inevitable (ecuación 6).1,2,7

Las reacciones anteriores dependen fuertemente de la actividad electrocatalítica del material electródico.7,8 De los diferentes electrodos que han sido utilizados para este proceso, uno que resulta ventajoso y con proyección a nivel industrial es el de dióxido de plomo modificado con bismuto (PbO2-Bi), ya que presenta bajo costo, se puede sintetizar electroquímicamente in situ sobre diferentes superficies con una metodología bastante sencilla, y tiene una eficiencia representativa para la producción de radicales hidroxilo adsorbidos que favorecen la degradación de la materia orgánica.1,14 Adicionalmente, este material en estado sólido no es perjudicial para el medio ambiente ni para el ser humano, mientras se garanticen las condiciones de operación con potenciales lo suficientemente positivos para evitar la disolución de los metales.14,15 Cabe destacar, que en la literatura se encuentran reportados procedimientos para realizar electrodos de PbO2 con buenas propiedades mecánicas y eléctricas, y así evitar pérdida de materia desde la fase sólida de PbO2 hacia la fase líquida como iones Pb2+.14 Otros electrodos, como el de diamante dopado con boro y el dióxido de estaño dopado con antimonio, resultan tanto o más efectivos que el PbO2-Bi para la oxidación de la materia orgánica, sin embargo, el primero presenta altos costos de producción que no lo hacen accesible para la industrialización, mientras que, el segundo no presenta buena estabilidad mecánica y se deteriora rápidamente en condiciones de evolución de oxígeno.7

La oxidación electroquímica de efluentes industriales, particularmente contaminados con compuestos orgánicos de estructura molecular compleja, resulta factible por su accesibilidad, rentabilidad y eficiencia,7 dicho proceso permite la oxidación completa de sustancias orgánicas a temperatura ambiente, es capaz de destruir compuestos tóxicos como dioxinas, bifenilos policlorados, pesticidas, y diferentes tipos de compuestos aromáticos como nitrofenoles y clorofenoles, entre muchos otros. 6-8,16

En degradación electroquímica de compuestos orgánicos por transferencia de oxígeno, diferentes autores han encontrado experimentalmente, que bajo condiciones donde la velocidad de transporte por difusión no resulta limitante, la reacción entre los compuestos orgánicos y los radicales hidroxilo, ambos adsorbidos, obedece una ley de velocidad de carácter heterogéneo.1-5,8,17-34 Estudios cinéticos de este fenómeno indican que la velocidad de reacción depende, hiperbólicamente, de la concentración del compuesto orgánico según el modelo cinético de Langmuir-Hinshelwood, (ecuación 7).

donde r es la velocidad de reacción, c la concentración del compuesto orgánico, k es la constante de velocidad aparente de la reacción superficial entre radicales hidroxilo y compuesto orgánico y K es la constante de equilibrio de adsorción-desorción del compuesto orgánico sobre la superficie del electrocatalizador.

Considerando la buena correspondencia de los datos experimentales para una gran variedad de compuestos orgánicos y materiales de electrodos, 1-5,8,17-34 se plantea que en la oxidación de compuestos orgánicos debe establecerse un equilibrio de adsorción-desorción relativamente rápido entre el compuesto orgánico y el electrodo (ecuación 2); luego puede ocurrir la oxidación directa tanto de la materia orgánica adsorbida como del agua (ecuaciones 3 y 4 respectivamente), y posteriormente debe tener lugar una reacción superficial relativamente lenta entre esta especie adsorbida y los radicales hidroxilo generados por la descomposición del agua (ecuación 5). La reacción de evolución de oxígeno ocurre como una reacción secundaria (ecuación 6).

Matemáticamente, se observa que este modelo cinético sugiere una transición gradual desde un comportamiento cinético de primer orden a otro de orden cero al aumentar la concentración del sustrato. En el primer caso se tendrá que el producto Kc es mucho menor a la unidad (Kc << 1), por tanto de la ecuación 7 se deduce que la velocidad de reacción resulta proporcional a la concentración, mientras que en el segundo caso, donde Kc >> 1 se tendrá una cinética química independiente de la concentración del sustrato. Por tanto, se espera que la constante de reacción observada durante la electroxidación de compuestos orgánicos, varíe inversamente proporcional con la concentración del contaminante, esto es: kobs = kK / (1+Kc). Cabe destacar que para comprobar la validez del modelo de Langmuir-Hinshelwood y obtener la constante de equilibrio de adsorción (K), junto con, la constante cinética (k), debe cumplirse la linealidad de los datos experimentales al graficar el inverso de la velocidad inicial (1/r) en función del inverso de la concentración inicial (1/c). Las constantes k y K se pueden relacionar con la pendiente y el intercepto de un ajuste lineal por medio de las ecuaciones: k = 1/intercepto y K = intercepto / pendiente.

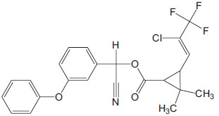
En función de las ideas mencionadas anteriormente, se ha implementado la técnica de oxidación electroquímica para el estudio de la degradación del insecticida lambdacialotrina, el cual es utilizado comúnmente en la agricultura para cultivos de algodón, maíz, tomate y manzano entre otros. 35 Este compuesto, cuya estructura se muestra en la Figura 1, actúa por contacto, ingestión y repelencia para el control de larvas y adultos de insectos masticadores, picadores y chupadores, afectando además la ovoposición de los mismos.

 


Figura 1. Estructura molecular del insecticida lambdacialotrina

 

El insecticida lambdacialotrina esa altamente tóxico y no se degrada fácilmente, posee baja solubilidad en agua (0,8 µg L-1), lo cual genera consecuencias desfavorables en los medios acuíferos por acumulación de una nueva fase separada.35 Por este motivo, se solubilizó dicho compuesto usando soluciones micelares del surfactante tritón X-100, permitiendo incrementar significativamente la solubilidad de lambdacialotrina en el medio acuoso, para así poder generar los radicales hidroxilo necesarios para la oxidación a partir del H2O. Cabe destacar que dicho surfactante puede ser eliminado mediante procesos de oxidación avanzada, presentando un tiempo de vida media relativamente mayor en comparación con los asociados a diferentes contaminantes;29,36-38 por tanto, resulta posible establecer un esquema de tratamiento donde se elimine el compuesto contaminante y el surfactante pueda reutilizase, hasta que finalmente se decida degradarlo estableciendo el tiempo de reacción apropiado.32,39

El método de evaluación consistió en un estudio cinético de la oxidación electroquímica de lambdacialotrina en una de sus presentaciones comerciales; determinando el efecto del potencial aplicado y la concentración inicial del insecticida; para luego obtener los parámetros cinéticos de la reacción mediante la correlación experimental con el modelo cinético de catálisis heterogénea de Langmuir-Hinshelwood (L-H).

 

PARTE EXPERIMENTAL

Reactivos

Para la realización de la investigación se emplearon los siguientes reactivos sin purificación previa: nitrato de plomo (II), Pb(NO3)2, 98%, Aldrich; nitrato de bismuto (III), Bi(NO3)3, 97%, Aldrich; ácido perclórico, HClO4, 70%, Aldrich; lambdacialotrina, C23H19ClF3NO3, Insecticidas Internacionales (INICA); tritón X-100, t-Oct-C6H4-(OCH2CH2)xOH (x= 9-10), grado laboratorio, Aldrich. El insecticida lambdacialotrina se utilizó en solución micelar de tritón X-100 (140 mg L-1), a diversas concentraciones (1, 3, 5, 15 y 30 mg L-1). Los electrodos (3,0 cm de largo, 1,3 cm de ancho, 0,3 mm de espesor) empleados como soporte del material electroactivo (PbO2-Bi) fueron de carbono vítreo reticulado de 80 PPI obtenidos de Electrosynthesis®.

Equipos

Para la electrodeposición anódica del PbO2-Bi sobre el carbono vítreo reticulado, se empleó una fuente de potencia HP6282A. Para obtener el patrón de difracción de rayos X del PbO2-Bi se empleó un Difractómetro Brucker AXS D8; λ = 0,15406 nm. Para llevar a cabo la oxidación de lambdacialotrina se utilizó un Potenciostato/Galvanostato PAR modelo 273A. La cuantificación del CO2 producido se llevó a cabo con un sensor portátil OxyGuard basado en espectrometría infrarroja no dispersiva. La cuantificación de la concentración del insecticida se realizó mediante cromatografía líquida de alto desempeño empleando un equipo HPLC Water Association, con bomba M6000A, inyector Ryhodine, detector 484 UV y registrador de datos 745B.

Síntesis de los electrodos de PbO2-Bi

Los electrodos de PbO2-Bi se sintetizaron anódicamente luego de aplicar una corriente de 1,5 A cm-2 durante 10 min sobre el electrodo de carbono vítreo reticulado. El baño electroquímico consistió en una solución 1,0 mol L-1 de HClO4, 1,0 mmol L-1 de Pb+2 y 0,1 mmol L-1 de Bi+3. El procedimiento empleado se encuentra ampliamente reportado y los detalles pueden consultarse en la literatura.14 El material de electrodo obtenido presentó las siguientes características: fase cristalina rutilo tetragonal, tamaño de cristal de 14 nm, color negro rojizo y factor de rugosidad de ~1000.

Oxidación electroquímica de lambdacialotrina

Para oxidar el insecticida lambdacialotrina se utilizó una celda de tres compartimientos (10 mL / compartimiento), uno para el electrodo de trabajo (PbO2-Bi sobre carbono vítreo reticulado de área real estimada en ~5100 cm2), otro para el contraelectrodo (alambre de platino de alta área superficial ~7600 cm2) y el último para el electrodo de referencia (Ag/AgCl). En dicha celda se mantuvieron separados el compartimiento anódico y el catódico a través de un vidrio poroso para evitar la mezcla de los productos generados. Durante cada experimento la solución se agitó magnéticamente de forma vigorosa. Luego de 30 min de contacto a circuito abierto, se aplicó un potencial de 1,6 V durante 120 min, y se tomaron alícuotas de 100 µl del compartimiento donde se encontraba el electrodo de trabajo, a los 0 min, 15 min, 30 min, 60 min y 120 min, diluyéndose posteriormente a 1,0 ml con agua nanopura. El procedimiento anterior se repitió aplicando potenciales de 1,8 V, 2,0 V, 2,3 V y 2,6 V, manteniendo la misma concentración inicial de lambdacialotrina (5 mg L-1). De igual manera, en otra serie de experimentos independientes se mantuvo un potencial constante de 2,3 V y se varió la concentración inicial del insecticida: 1 mg L-1, 3 mg L-1, 15 mg L-1 y 30 mg L-1 respectivamente. La concentración de lambdacialotrina se cuantificó mediante cromatografía líquida empleando un método isocrático con una fase móvil acetonitrilo:agua (80:20), flujo de inyección de 1,00 mL min-1, volumen de muestra inyectado 20 µL, a temperatura ambiente. La columna empleada fue C-18 (5 µm de espesor de fase estacionaria, y 12,5 cm x 0,40 cm d.i.).

Se cuantificó el CO2 producido llevando a cabo la oxidación de lambdacialotrina en un sistema cerrado, para ello se usó un sensor selectivo a dióxido de carbono disuelto basado en espectrometría infrarroja no dispersiva.

 

RESULTADOS Y DISCUSIÓN

En primer lugar, se realizó el estudio de la degradación electroquímica de lambdacialotrina en función del potencial aplicado, encontrándose que a medida que el potencial se incrementa, el porcentaje de insecticida convertido tiende a aumentar. Cabe destacar que sin aplicación de potencial y bajo burbujeo de oxígeno no se observaron cambios en la concentración del contaminante. En la Figura 2 se observa la disminución de la concentración del compuesto con el tiempo de electrólisis. Diversos autores40-42 han considerado esta variación de concentración como un fenómeno cinético de pseudo primer orden (ecuación 8).

 


Figura 2. Efecto del potencial en la oxidación electroquímica de lambdacialotrina sobre PbO2-Bi (c0 = 5 mg L-1). (–) Ajuste cinético de pseudo primer orden: (▲) 2,00 V, (×) 2,30 V, (*) 2,60 V; (–) Ajuste cinético de pseudo cero orden: (♦) 1,60 V, (■) 1,80 V

 

La integración de esta ecuación predice que el decaimiento de la concentración del compuesto orgánico se corresponde con una función exponencial, cuyo exponente es igual al negativo de constante cinética de pseudo primer orden (kobs). De los ajustes que se presentan en la Figura 2 se obtuvieron los valores correspondientes para kobs a diferentes potenciales de oxidación (2,00; 2,30 y 2,60 V respectivamente). Se debe señalar que a los potenciales 1,60 y 1,80 V, el decaimiento de la concentración en función del tiempo resulta prácticamente lineal; es decir, la reacción ocurre hasta una extensión controlada por una cinética de orden cero; para estos dos casos, el aumento de la cobertura de radicales hidroxilo en la superficie del catalizador resulta pequeño en comparación con la cantidad de compuesto orgánico, esto concurre en una oxidación con bajo número de electrones transferidos.31 Sin embargo, a potenciales mayores se observó que dicha constante aumentó exponencialmente como una función del potencial, hasta llegar a valores de 2,6 V, donde el incremento de la constante cinética se volvió asintótico. En este caso la extensión de la oxidación resulta favorecida a mayor número de electrones transferidos, obteniéndose a potenciales suficientemente elevados, la máxima transferencia de electrones, la cual resulta equivalente a la mineralización total.31

Con el objetivo de verificar la oxidación total de lambdacialotrina, se cuantificó el CO2 producido en la condición de máxima velocidad de reacción; es decir, a un potencial lo suficientemente elevado (2,30 V) para garantizar una cobertura alta de radicales hidroxilo, y a una concentración de lambdacialotrina lo suficientemente baja (1 mg/L) para garantizar que este compuesto pueda ser atacado consecutivamente por los radicales oxidantes producidos. Bajo esta condición se obtuvo un porcentaje de degradación del insecticida de 85% en 120 min; y el CO2 generado resultó equivalente a 0,038 (±0,004) mmol L-1, dicho valor se corresponde apropiadamente con la concentración estequiométrica de una oxidación total para lambdacialotrina (0,043 mmol L-1). A otras condiciones resulta necesario realizar identificación usando GCMS para evaluar el mecanismo de reacción correspondiente; sin embargo, la condición estudiada resulta valiosa desde el punto de vista ambiental, pues representa una posible solución del problema de remediación de efluentes contaminados con dicho insecticida. Cabe destacar, que en la condición de máxima velocidad de reacción se estimó la eficiencia faradaica o "current efficiency",7 obteniéndose un valor de aproximadamente 65%.

Por lo dicho anteriormente, se seleccionó como potencial de trabajo 2,3 V para elucidar el efecto cinético de la concentración inicial de lambdacialotrina en la oxidación electroquímica. Como puede observarse en la Figura 3, a medida que se aumenta la concentración inicial del insecticida, el decaimiento de la exponencial se vuelve sistemáticamente más lento, con lo cual se infiere que el valor de la constante cinética de pseudo primer orden para cada experiencia disminuye. Este comportamiento se puede sustentar en función del modelo cinético de Langmuir-Hinshelwood (L-H) para catálisis heterogénea.16,33,34,43 De acuerdo a este modelo (ecuación 7), debe establecerse rápidamente un equilibrio de adsorción-desorción entre el compuesto orgánico y el material de la superficie del electrodo, y posteriormente debe ocurrir la reacción superficial relativamente lenta.

 


Figura 3. Efecto de la concentración durante la oxidación electroquímica de lambdacialotrina sobre PbO2-Bi (E0 = 2,3 V). (♦) 1 mg L-1, (■) 3 mg L-1, (▲) 5 mg L-1, (×) 15 mg L-1, (*) 30 mg L-1, (–) Ajuste cinético de pseudo primer orden

 

En la ecuación 7, r (mg L-1 min-1) es la velocidad de reacción, c (mg L-1) es la concentración del compuesto orgánico, k (mg L-1 min-1) es la velocidad de reacción a máxima cobertura y K (mg-1 L) es la constante de equilibrio de adsorción de Langmuir. De acuerdo a esto, se puede decir que la velocidad de reacción tenderá a una cinética de primer orden cuando se cumpla que: Kc << 1, y no dependerá de la concentración del sustrato cuando se cumpla: Kc >> 1.

Para hallar los parámetros del modelo L-H, se obtuvieron primero los valores de velocidad de reacción inicial (r0), para la cual se midió la pendiente en los instantes iniciales de una representación concentración vs. tiempo de electrólisis para cada experimento a diferentes concentraciones iniciales de lambdacialotrina. De acuerdo a la forma lineal de ecuación 7 (1/r vs. 1/c), a través de un ajuste lineal resultó posible obtener los parámetros cinéticos del modelo L-H (k y K). La Figura 4 muestra la representación de los datos experimentales de velocidad de reacción vs. concentración, se observa que a concentraciones bajas la velocidad se incrementa con un aumento de la concentración, y a concentraciones elevadas se observa que la velocidad tiende asintóticamente a un valor constante. En el inserto se puede observar el gráfico de r-1 vs c-1, el cual muestra la correspondencia y aplicabilidad que tiene la correlación de los datos experimentales con el modelo cinético de Langmuir-Hinshelwood en su forma lineal.

 


Figura 4. Velocidad de oxidación de lambdacialotrina en función de la concentración (E0 = 2,3 V). (●) datos experimentales (–) Ajuste al modelo cinético de Langmuir-Hinshelwood. Inserto: Representación lineal según el modelo L-H

 

Se obtuvo entonces que los valores para la constante de velocidad a cobertura máxima (k) y la constante de adsorción de Langmuir (K) son: (0,040 ± 0,002) mg L-1 min-1 y (0,67 ± 0,02) mg-1 L respectivamente. Con estos valores se representó el modelo L-H (ecuación 7) en la Figura 4, se puede observar que el modelo de Langmuir-Hinshelwood describe el comportamiento de los resultados experimentales; la velocidad de reacción aumenta con la concentración de lambdacialotrina, pues existe mayor cantidad de materia para adsorberse, sin embargo esta reacción está limitada por la superficie del electrodo y la competencia entre los estados adsorbidos, por tanto, una vez que se alcanza la saturación superficial, la velocidad de reacción se establece en un valor estacionario. Es por ello que, cuando KC << 1 se establecieron las condiciones experimentales donde el insecticida lambdacialotrina disminuyó su concentración en proporciones superiores al 85 (±4) %, en esta situación la constante de reacción de pseudo primer orden medida experimentalmente tiende a su máximo valor kobs = kK = 2,68 x 10-2 min-1.

 

CONCLUSIONES

Se encontraron condiciones experimentales donde el insecticida lambdacialotrina disminuyó su concentración en proporciones superiores al 85 (±4)%. El modelo de Langmuir-Hinshelwood se correlacionó satisfactoriamente con los datos cinéticos obtenidos. Se obtuvo que los valores para la constante cinética de la reacción superficial de los radicales hidroxilo con lambdacialotrina y la constante de adsorción del aducto PbO2-Bi/lambdacialotrina son: 0,040 (±0,002) mg L-1 min-1 y 0,67 (±0,02) mg-1 L respectivamente.

 

REFERENCIAS

1. LaCourse, W. R.; Hsiao, Y.-L.; Jhonson, D. C.; Weber, W. H.; J. Electrochem. Soc. 1989, 136, 3714. DOI: http://dx.doi.org/10.1149/1.2096536

2. Comninellis, C.; Electrochim. Acta. 1994, 39, 1857. DOI: http://dx.doi.org/10.1016/0013-4686(94)85175-1

3. Johnson, D. C.; Feng, J.; Houk, L. L.; Electrochim. Acta. 2000, 42, 323. DOI: http://dx.doi.org/10.1016/S0013-4686(00)00588-0

4. Borrás, C.; Mostany, J.; Scharifker, B. R. En Applications of Analytical Chemistry in Enviromental Research; Palomar-Pardavé, M. E., ed.; Research Signpost: Kerala, 2005.

5. Borrás, C.; Laredo, T.; Scharifker, B. R.; Electrochim. Acta. 2003, 48, 2775. DOI: http://dx.doi.org/10.1016/S0013-4686(03)00411-0

6. Kapałka, A.; Fóti, G.; Comninellis, C.; J. Appl. Electrochem. 2008, 38, 7.

7. Panizza, M.; Cerisola, G.; Chem. Rev. 2009, 109, 6541. DOI: http://dx.doi.org/10.1021/cr9001319 PMID: 19658401

8. Vargas, R.; Borrás, C.; Mostany, J.; Scharifker, B. R.; Bol. Acad. Cienc. Fis. Mat. Nat. 2011, 71, 37.

9. Chen, Y.; Li, H.; Liu, W.; Tu, Y.; Zhang, Y.; Han, W.; Wang, L.; Chemosphere 2014, 113, 48. DOI: http://dx.doi.org/10.1016/j.chemosphere.2014.03.122 PMID: 25065789

10. Bogdanowicz, R.; Fabiańska, A.; Golunski, L.; Sobaszek, M.; Gnyba, M.; Ryl, J.; Darowicki, K.; Ossowski, T.; Janssens, S. D.; Haenen, K.; Siedlecka, E. M.; Diam. Relat. Mater. 2013, 39, 82. DOI: http://dx.doi.org/10.1016/j.diamond.2013.08.004

11. Juang, Y.; Nurhayati, E.; Huang, C.; Pan, J. R.; Huang, S.; Sep. Purif. Technol. 2013, 120, 289. DOI: http://dx.doi.org/10.1016/j.seppur.2013.09.042

12. Shmychkovaa, O.; Luk'yanenkoa, T.; Yakubenkob, A.; Amadellic, R.; Velichenkoa, A.; Appl. Catal., B 2015, 162, 346. DOI: http://dx.doi.org/10.1016/j.apcatb.2014.07.011

13. Lakshmi Kruthika, N.; Karthika, S.; Bhaskar Raju, G.; Prabhakar, S.; J. Environ. Chem. Eng. 2013, 183.

14. Li, X.; Pletcher, D.; Walsh, F. C.; Chem. Soc. Rev. 2011, 40, 3879. DOI: http://dx.doi.org/10.1039/c0cs00213e PMID: 21431116

15. Carr, J. P.; Hampson, N. A.; Chem. Rev. 1972, 72, 679. DOI: http://dx.doi.org/10.1021/cr60280a003

16. Vargas, R.; Díaz, S.; Viele, L.; Núñez, O.; Borrás, C.; Mostany, J.; Scharifker, B. R.; Appl. Catal., B. 2014, 144, 107. DOI: http://dx.doi.org/10.1016/j.apcatb.2013.06.016

17. Murphy, O. J.; Hitchens, G. D.; Kaba, L.; Verostko, C. E.; Water. Res. 1992, 26, 443. DOI: http://dx.doi.org/10.1016/0043-1354(92)90044-5

18. Treimer, S. E.; Feng, J.; Scholten, M. D.; Johnson, D. C.; J. Electrochem. Soc. 2001, 148, E459.

19. Batista, E. A.; Malpass, G. R. P.; Motheo, A. J.; Iwasita, T.; Electrochem. Comm. 2003, 5, 843. DOI: http://dx.doi.org/10.1016/j.elecom.2003.08.010

20. Borrás, C.; Laredo, T.; Mostany, J.; Scharifker, B. R.; Electrochim. Acta 2004, 49, 641. DOI: http://dx.doi.org/10.1016/j.electacta.2003.09.019

21. Borrás, C.; Rodríguez, P.; Laredo, T.; Mostany, J.; Scharifker, B. R.; J. Appl. Electrochem. 2004, 34, 583. DOI: http://dx.doi.org/10.1023/B:JACH.0000021922.73582.85

22. Borrás, C.; Berzoy, C.; Mostany, J.; Scharifker, B. R.; J. Appl. Electrochem. 2006, 36, 433. DOI: http://dx.doi.org/10.1007/s10800-005-9088-5

23. Borrás, C.; Monroy, A.; Mostany, J.; Scharifker, B. R.; Electroanalysis 2007, 19, 1628. DOI: http://dx.doi.org/10.1002/elan.200703897

24. Borrás, C.; Berzoy, C.; Mostany, J.; Herrera, J. C.; Scharifker, B. R.; Appl. Catal. B 2007, 72, 98. DOI: http://dx.doi.org/10.1016/j.apcatb.2006.09.017

25. Zhi, J-F.; Wang, H-B.; Nakashima, T.; Rao, T. N.; Fujishima, A.; J. Phys. Chem. B 2003, 107, 13389. DOI: http://dx.doi.org/10.1021/jp030279g

26. Camara, G. A.; Iwasita, T.; J. Electroanal. Chem, 2005, 574, 315. DOI: http://dx.doi.org/10.1016/j.jelechem.2005.01.013

27. Vargas, R.; Núñez, O.; J. Mol. Catal. A: Chem. 2008, 294, 74. DOI: http://dx.doi.org/10.1016/j.molcata.2008.08.001

28. Vargas, R.; Núñez, O.; J. Mol. Catal. A: Chem. 2009, 300, 65. DOI: http://dx.doi.org/10.1016/j.molcata.2008.10.029

29. Vargas, R.; Núñez, O.; Solar Energy 2010, 84, 345. DOI: http://dx.doi.org/10.1016/j.solener.2009.12.005

30. López, D.; Lozada, W.; Blanco, S.; Durán, G.; Madriz, L.; Vargas, R.; Av. Cienc. Ing. 2011, 2, 47.

31. Vargas, R.; Borrás, C.; Plana, D.; Mostany, J; Scharifker, B. R.; Electrochim. Acta 2010, 55, 6501. DOI: http://dx.doi.org/10.1016/j.electacta.2010.06.030

32. Pardo, G.; Vargas, R.; Núñez, O.; J. Phys. Org. Chem. 2008, 21, 1072. DOI: http://dx.doi.org/10.1002/poc.1432

33. Baxter, R. J.; Hu, P.; J. Chem. Phys. 2002, 116, 4379. DOI: http://dx.doi.org/10.1063/1.1458938

34. Vargas, R.; Borrás, C.; Mostany, J.; Scharifker, B.R.; Electrochim. Acta. 2012, 80, 326. DOI: http://dx.doi.org/10.1016/j.electacta.2012.07.025

35. Oudou, H. C.; Alonso, R.M.; Bruun Hansen, H.C.; Anal. Chim. Acta. 2004, 523, 69. DOI: http://dx.doi.org/10.1016/j.aca.2004.03.069

36. Barrios, N.; Sivov, P.; D´Andrea, D.; Núñez, O.; Int. J. Chem. Kinet. 2005, 7, 414. DOI: http://dx.doi.org/10.1002/kin.20094

37. Liu, J.W.; Han, R.; Wang, H.T.; Zhao, Y.; Chu, Z.; Wu, H.Y.; Appl. Catal., B. 2011, 103, 470. DOI: http://dx.doi.org/10.1016/j.apcatb.2011.02.013

38. Horikoshi, S.; Minami, D.; Ito, S.; Sakai, H.; Kitamoto, D.; Abe, M.; Serpone, N.; J. Photochem. Photobiol., A 2011, 217, 141. DOI: http://dx.doi.org/10.1016/j.jphotochem.2010.10.008

39. Madriz, L.; Carrero, H.; Cabrera, A.; Av. Quim. 2012, 7, 43.

40. Polcaro, A. M.; Vacca, A.; Palmas, S.; Mascia, M.; J. Appl. Electrochem. 2003, 33, 885. DOI: http://dx.doi.org/10.1023/A:1025815828503

41. Tian, M.; Bakovic, L.; Chen, A.; Electrochim. Acta. 2007, 52, 6517. DOI: http://dx.doi.org/10.1016/j.electacta.2007.04.080

42. Belhadj Tahar, N.; Savall, A.; Electrochim. Acta. 2009, 54, 4809. DOI: http://dx.doi.org/10.1016/j.electacta.2009.03.086

43. Hoffmann, M. R.; Martin, S. T.; Choi, W. Y.; Bahnemann, D. W.; Chem. Rev. 1995, 95, 69. DOI: http://dx.doi.org/10.1021/cr00033a004

On-line version ISSN 1678-7064 Printed version ISSN 0100-4042
Qu�mica Nova
Publica��es da Sociedade Brasileira de Qu�mica
Caixa Postal: 26037 05513-970 S�o Paulo - SP
Tel/Fax: +55.11.3032.2299/+55.11.3814.3602
Free access

GN1