JBCS



11:58, sáb out 25

Acesso Aberto/TP



Assuntos Gerais


Buscas de informações tecnológicas com base em dados de patentes: estudo de caso dos líquidos iônicos no Brasil
Technological information searching based on patent databank: case study of ionic liquids in Brazil

Marcelo Gomes SpezialiI,*; Rubén Dario SinisterraII

IDepartamento de Química, Instituto de Ciências Exatas e Biológicas, Universidade Federal de Ouro Preto, Campus Universitário Morro do Cruzeiro, 35400-000 Ouro Preto - MG, Brasil
IIDepartamento de Química, Instituto de Ciências Exatas, Universidade Federal de Minas Gerais, Av. Presidente Antônio Carlos, nº 6627, Pampulha, 31270-901 Belo Horizonte - MG, Brasil

Recebido em 18/03/2015
Aceito em 08/06/2015
Publicado na web em 22/07/2015

Endereço para correspondência

*e-mail: speziali@iceb.ufop.br

RESUMO

This study describes the application of the Art of Scientific and Technological Search to strategically analyze areas of technological and industrial development. Application of scientific search strategies such as the creation of Patent Landscape has been shown to be useful for writing research projects, earning grants, publishing papers, drafting patent applications, and analyzing the market and economic potentials of a previous determined subject. The Patent Landscape regards a simplified analysis of technologies concerning ionic liquids patents applied in Brazil and published by Instituto Nacional da Propriedade Industrial (INPI). A total of 93 patent applications using the keywords "ionic liquids" were found in the INPI database. Among these, 75% were nonresident applications and 25% were Brazilian resident applications. Interestingly, BASF, Chevron Industries, and the Universidade Federal do Rio Grande do Sul (UFRGS) were discovered as higher patent applicant assignees. Differences in the patent application areas were also observed between these applicants, with new solvents and petrochemical applications as the areas of focus for the industrial applications (BASF and Chevron Industries), and energy production, catalysis, and chemical reaction media as the focus for the university applications.

Palavras-chave: ionic liquids; patents; technological road mapping.

INTRODUÇÃO

Os líquidos iônicos1 constituem uma classe de substâncias com um dos potenciais de inovação mais promissores da atualidade. Moléculas desta classe são também chamadas de "sais fundidos". Embora ainda não haja, no estado da arte, um consenso absoluto da definição mais adequada para líquidos iônicos, esses podem ser considerados como sais com temperatura de fusão abaixo da temperatura de ebulição da água. Os líquidos iônicos (LIs) são formados por pares iônicos, os quais tanto cátions quanto ânions podem ser modificados química e estruturalmente, gerando uma imensa gama de produtos com características físico-químicas bastante diferenciadas. Devido a essa versatilidade estrutural, os líquidos iônicos possuem um amplo espectro de características que refletem diretamente nas suas aplicações, a saber: solventes,2 eletrólitos,3 células solares,4 armazenamento de gases, catálise organometálica e enzimática,2,5 lubrificantes,6 fluidos hidráulicos,7 etc. Nos últimos anos, o crescimento da pesquisa envolvendo líquidos iônicos se tornou exponencial. As constantes descobertas sobre seu papel na ciência, bem como suas aplicações tecnológicas, tornaram esse assunto um caso de constante geração de novos produtos, invenções e até mesmo inovações. Vale lembrar que para que ocorra efetivamente uma inovação, em qualquer área, é necessário que a tecnologia gere novos processos e/ou produtos no mercado.

O foco do presente trabalho é apresentar um panorama simplificado do setor de líquidos iônicos no Brasil, utilizando o banco de dados de patentes depositadas no Brasil nos últimos 15 anos.

Dentre as diversas formas de se analisar uma tecnologia, ou mais amplamente - um setor tecnológico, a busca em bancos de patentes é, sem dúvida, fundamental para a aquisição de dados para esta análise. Cohausz, H., 1998 apud Köster, M., et al.8 afirmam que, de acordo com estimativas feitas por agentes de patentes, 10% de todo o conhecimento humano esteja protegido por patentes. Vale ainda a pena mencionar que a WIPO estimou, em seu estudo de Burrone et al,9 que os documentos de patentes contém 70% de todo o conhecimento técnico acumulado do mundo e, por outro lado, Speziali, et. al.10 apresentaram o valor de 80% do conhecimento técnico, ou seja, de todo o conhecimento tecnológico publicado em patentes.

O mapeamento de setores e tecnologias, feito através de informações contidas em bancos de dados de patentes, permite conhecer o estado atual de uma tecnologia, local ou glocal - onde há maior concentração tecnológica nessa área, a temporalidade das mesmas e, por essa razão, esse tipo de busca é fundamental para poder avaliar não só a competitividade técnica da tecnologia, bem como sua força legal e comercial. Esses mapeamentos, que começam com a busca sistemática nos bancos de dados de patentes, a qual ajuda a responder onde e quem detém uma determinada tecnologia, permite identificar, entre outras valiosas informações, ocorrências de inovação, tendências, diversidades de soluções técnicas para problemas clássicos do estado da arte, colaborações, etc. Hoje se tem disponíveis algumas ferramentas para fazer a prospecção tecnológica e outras finalidades como:11,12

mapeamento da evolução de tecnologias (Technology Roadmapping);

identificação de novos mercados - oportunidades de negócio;

monitoramento dos concorrentes;

identificação das tecnologias emergentes;

previsão de novos produtos;

rastreamento de capacitação tecnológica;

definição de potenciais rotas para aperfeiçoamentos de produtos existentes;

identificação de fontes de licenciamento;

patenteabilidade simples;

autorização para comercializar um produto;

oposição a uma solicitação de patente de terceiros;

possíveis infrações e litígios;

suporte a prossecuções;

criação de portfólios de tecnologia;

investimentos;

fusões e aquisições;

fomentar políticas públicas para orientar o desenvolvimento científico;

etc.

Para Brockhoff, K., 1991 apud Ernst, H.,11 comparativamente com outras fontes de informação, as patentes são frequentemente consideradas os melhores indicadores de reconhecimento de mudanças tecnológicas para um determinado setor do conhecimento aplicado. Muito embora os documentos de patentes possam ser utilizados direta ou indiretamente para gestão de tecnologias, deve-se levar em conta que uma empresa também poderá usar "segredos de negócios" e "marcas registradas" como forma de proteção de seu "know how". Diferentes segmentos industriais, a saber: química, produtos farmacêuticos, biotecnologia, engenharia, etc., darão diferentes valores às patentes baseando-se nos tipos de tecnologias em que são especializados. Setores industriais com tecnologias de ciclos de vida curtos como as tecnologias de cosméticos, por exemplo, raramente utilizam patentes como forma de proteção, muito embora princípios ativos sejam normalmente patenteados. Por outro lado, verifica-se que as tecnologias de informação passíveis de proteção por meio de mecanismo sui generis, e às vezes por patentes de hardware com softwares embutidos, são mais utilizados os mecanismos de know-how ou segredo industrial.

A gestão de negócios, desde as multinacionais de tecnologias até as start ups do tipo spin off, têm sua vida inteiramente dependente do lançamento de produtos inovadores de sucesso, incluindo a manutenção desses no mercado. Prioridades em pesquisa, desenvolvimento e inovação, monitoramento da concorrência e de tecnologias emergentes ajudam a reduzir as incertezas de mercado relacionadas ao lançamento de inovações, a melhorar a competitividade e a gestão de risco.

Em um trabalho anterior,10 foram apresentados os principais pontos sobre a proteção da informação via patentes e algumas das dificuldades de se obter um relatório descritivo fiel à tecnologia proposta. Agora, neste trabalho, serão apresentadas as principais ferramentas para as buscas de informações tecnológicas em bancos de patentes de acesso gratuito, bem como as possibilidades de se usar essas informações para um mapeamento simplificado de um setor tecnológico. Como exemplo, utilizaremos a área dos líquidos iônicos no Brasil e informações obtidas do banco de dados do Instituto Nacional da Propriedade Industrial.

As ferramentas de busca para o mapeamento tecnológico

Para a busca de informações e construção de um panorama tecnológico, existem vários bancos de dados com acesso restrito aos grandes centros de pesquisa e universidades, entretanto, vários são, também, os bancos de dados gratuitos disponíveis e pouco divulgados para novos usuários que queiram se iniciar nesta área estratégica. A Tabela 1 apresenta alguns bancos de dados de acessos gratuito e pago. O acesso a esses bancos de dados gratuitos deve ser mais intenso e mais profissional, uma vez que é boa a qualidade das informações recuperadas quando comparada com os sites pagos.

 

 

As principais ferramentas de acesso gratuito de bancos de dados de patentes são, em primeiro lugar, o site dos próprios escritórios de patentes.

No site do INPI (Instituto Nacional da Propriedade Industrial) podem ser consultados: nome dos inventores, número do pedido, data do depósito, prioridades, classificação internacional, palavras chave no título e resumo, nome do depositante e status legal do documento em questão.

No site do escritório americano (United States Patent Office - USPTO) podem ser utilizados diversos campos de buscas. Embora as combinações de buscas booleanas sejam grandes, as dificuldades de inserir as informações de interesse nos campos adequados, formatados corretamente, continuam sendo um impeditivo para uma busca célere bem-feita. As informações estão divididas em duas grandes bases: depósitos de patentes e patentes concedidas. Os documentos na extensão final .pdf, embora não possam ser recuperados no próprio site do USPTO, poderão ser adquiridos no site do Google Patents, que também permite buscas por número, nomes palavras-chave, etc.

O site Esp@cenet® do escritório europeu (European Patent Office - EPO) é um dos mais completos e atualizados. O acervo de patentes do EPO inclui, além das patentes europeias, as patentes americanas, brasileiras e de vários outros países no mundo. Os campos de busca são significativamente simples de serem utilizados. Embora pareça bastante completo, a alimentação do banco de dados do EPO é mais lenta que a alimentação de dados dos outros escritórios por patentes de seus próprios países. Além disso, uma reclassificação dos códigos internacionais - IPC feita pelo EPO gera códigos muitas vezes discrepantes dos IPCs originais. Desde janeiro de 2013, esforços por parte dos escritórios americano e europeu de patentes estão sendo feitos para uniformizar essa reclassificação, facilitando assim a recuperação de informações do estado da técnica. O CPC ou a Classificação Cooperativa de Patentes foi o modo encontrado pelo USPTO e EPO para reclassificar as patentes mantendo uma uniformidade entre estes escritórios, aproveitando a expertise de cada um na sua área.

A WIPO ou OMPI (Organização Mundial da Propriedade Intelectual) guarda em seu acervo os dados de documentos PCT (Patent Cooperation Treaty) e, recentemente, vem adicionando dados de patentes de escritórios internacionais. Os campos de busca são vastos e simples de se trabalhar.

O escritório japonês (Japan Patent Office - JPO) ainda é visto com muito receio pelos ocidentais devido à grande diferença do idioma. Apesar de um pouco confuso, este site oferece, hoje, ferramentas razoáveis de tradução online.

Há vários outros sites de acesso gratuito, disponíveis online, porém que utilizam os bancos de dados de outros sites, assim como o http://www.patentlens.net/, Google Patents, etc.

Ferramentas de acesso pago, como o Derwent Innovations Index®, Questel®, Micropatent®, dentre outros, apresentam como diferencial a velocidade com que as informações são recuperadas, a possibilidade de trabalhar com grandes volumes de dados de forma mais simples e eficiente, ferramentas de análises estatísticas, mapas, gráficos, etc. A eficiência destas ferramentas deve ser levada em consideração, uma vez que o preço de acesso dessas ferramentas costuma ser bastante alto.

Para Sinisterra et al,13 "Depósitos de patentes são frequentemente utilizados para mapear aspectos da inovação e do progresso tecnológico de países, regiões ou mesmo áreas tecnológicas. Embora o número de pedidos de patentes publicados não seja um indicador isolado da inovação (uma vez que essa tecnologia deva ser transferida para o mercado para que resulte em inovação), países inovadores e reconhecidos como potências mundiais possuem um número expressivo de pedidos de patentes depositados e concedidos." De posse dos dados referentes aos depósitos de patentes, no Brasil, sobre líquidos iônicos, foi feito um mapeamento simplificado de um setor tecnológico, utilizando as informações disponíveis no INPI.

 

ESTUDO DE CASO

O panorama das tecnologias relativas aos líquidos iônicos no Brasil

A área dos líquidos iônicos ganha hoje uma imensa perspectiva, chegando à fronteira das ciências dos materiais e biomateriais, como relatado recentemente na literatura por Rogers et al.14 Para Rogers, os líquidos iônicos podem ser agrupados em três distintas gerações (c.f. Figura 1): a primeira geração dos líquidos iônicos seria a geração mais simples. Para os LIs dessa geração, variações na estrutura da molécula causam pequenas alterações nas propriedades físicas observadas para os compostos; a segunda geração, um pouco mais sofisticada que a primeira, se refere às variações nas propriedades químicas dos LIs em função da variação estrutural (induções quirais, solvatações mais eficientes, janela eletroquímica, etc.); a terceira geração dos líquidos iônicos agrupa as moléculas com atividades biológicas (propriedades antibacterianas, antifúngicas, antiacne, etc.). As constantes descobertas de novas aplicações de líquidos iônicos, nas mais diversas áreas do conhecimento, são refletidas na importância econômica assumida pelos mesmos. Consequentemente são refletidas também nos depósitos de patentes e licenciamentos de tecnologias relacionadas a esse assunto.

 


Figura 1. Exemplos de líquidos iônicos distintos com propriedades físico-químicas e biológicas interessantes - Reproduzido com a permissão da The Royal Society of Chemistry14

 

Para o mapeamento de tecnologias sobre LIs depositadas no Brasil, no banco de dados do INPI, o termo "líquido* iônico*" foi utilizado no campo de buscas resumo, considerando duas situações: (1) a expressão exata, recuperando 62 resultados e (2) todas as palavras, com 222 documentos recuperados. Dentro do universo de 222 documentos da situação (2), foram verificados, manualmente, um a um cada documento, e, destes, foram encontrados 93 documentos que se referiam às tecnologias relativas aos líquidos iônicos. Vale a pena mencionar que, até o final da redação desse artigo, ainda havia algumas patentes em período de sigilo (sem nenhum tipo de divulgação) entre os anos de 2012-2014. Portanto, para esse período mais recente, fica extremamente complexo obter dados precisos para serem incluídos em quaisquer tipos de análises.

Após uma triagem minuciosa, destes 93 documentos referentes ao assunto de interesse chegou-se a um seguinte panorama:

- segundo a Tabela 2, dos depósitos realizados no Brasil, praticamente 2/3 são provenientes de depositantes não residentes (estrangeiros).

 

 

- grande parte da nacionalidade dos titulares dos pedidos depositados no Brasil está concentrada nos Estados Unidos, seguido pela Alemanha (c.f. Figura 2).

 


Figura 2. Distribuição relativa entre os países das instituições que depositaram pedidos de patente no INPI relacionados à área de líquidos iônicos. Legenda: US-Estados Unidos, UK-Reino Unido, PTY e ZA - África do Sul, NL-Holanda, GB-Reino Unido, FR-França, FI-Finlândia, ES-Espanha, DE-Alemanha, CH-Suíça, CA-Canadá, BR-Brasil, AU-Austrália, AT-Áustria

 

Como se verifica na Figura 3, os titulares dos depósitos dos Estados Unidos e da Alemanha são os detentores da maior quantidade de pedidos com prioridade unionista nestes mesmos países. Isso pode ser um grande indicativo de um polo produtor e/ou pesquisador do assunto correlato ao presente mapeamento - "líquidos iônicos".

 


Figura 3. Distribuição entre os países que compõem a prioridade unionista15 requerida pelos depositantes não residentes de patentes na área de líquidos iônicos no INPI

 

Corroborando com os dados da Figura 2, a Figura 4 mostra que os dois maiores depositantes de patentes no Brasil de tecnologias relacionadas aos líquidos iônicos são a Chevron e a BASF representando os EUA e a Alemanha, respectivamente. De modo competitivo a UFRGS aparece com 10% de participação, parcela essa bastante significativa nos depósitos.

 


Figura 4. Distribuição relativa entre as instituições depositantes de pedidos no INPI referentes à área de líquidos iônicos

 

Vale a pena salientar que há diferenças no foco das patentes depositadas pelos três maiores depositantes sobre líquidos iônicos no Brasil. Logo abaixo serão analisados em maiores detalhes os depósitos realizados por estes depositantes de patentes no Brasil. Enquanto a Chevron concentra seus esforços na pesquisa de LIs para serem aplicados pela indústria de exploração de fontes energéticas e desenvolvimento de tecnologias petroquímicas, a BASF produz uma série de LIs como insumos químicos, solvente de carboidratos, componentes fundamentais em processos de separação e retificações mais eficientes. A Universidade Federal do Rio Grande do Sul, por ser uma das universidades de pesquisa do Brasil a qual se apoia em quatro pilares: i) educação, ii) pesquisa de base, iii) extensão e iv) compromisso com a inovação, mostra uma diversidade nos focos da sua pesquisa na área de líquidos iônicos. Essa diversidade pode ser verificada no tipo de depósito de patentes gerado pela UFRGS. Os depósitos realizados por essa universidade contemplam desde direcionadores de estrutura para síntese de materiais sólidos à produção de energia, meios de reação, catalisadores, etc.

Analisando como exemplo os depósitos de patente da empresa americana Chevron, percebe-se que um líquido iônico, em particular, possui especial interesse em quase todas as patentes depositadas. Heptacloroaluminato de 1-butilpiridínio é utilizado como catalisador para alquilação de substâncias parafínicas para obtenção de gasolinas de alta qualidade.16 O esquema de síntese está demonstrado na Figura 5.

 


Figura 5. Processo de obtenção de gasolinas utilizando líquidos iônicos16

 

Além das patentes descrevendo processos de obtenção de substâncias de interesse como combustível, há ainda outros exemplos de patentes descrevendo a regeneração dos catalisadores utilizados nesses processos,17 e depósitos relacionados a métodos de purificação de olefinas através da dissolução seletiva destas em líquidos iônicos (c.f. Figura 6).

 


Figura 6. Método de recuperação de catalisador17

 

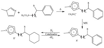
Foram depositadas pela UFRGS patentes envolvendo a produção de termobaterias envolvendo o uso de LIs como meio eletrolítico. A partir de um gradiente de temperatura entre dois eletrodos, mergulhados em um meio de líquidos iônicos, energia elétrica é produzida.18 Outros tipos de células eletrolíticas envolvendo o uso de líquidos iônicos como meio eletrolíticos foram patenteados pela UFRGS.19 Ainda na área de produção de energia, uma patente descrevendo um processo de armazenamento reversível de hidrogênio foi depositada (c.f. Figura 7).20

 


Figura 7. Processo de armazenamento reversível de hidrogênio20

 

Diferentemente das patentes de produção de energia, a UFRGS também trabalha com:

- processos de isomerização de óleos e gorduras de origem vegetal ou animal, utilizando líquidos iônicos.21 O processo pode ser visualizado na Figura 8.

 


Figura 8. Processos de isomerização de óleos e gorduras de origem vegetal ou animal21

 

- processos de transesterificação de óleos e gorduras de origem vegetal ou animal empregando sistemas bifásicos, como demonstrado na Figura 9.22

 


Figura 9. Processos de transesterificação de óleos e gorduras de origem vegetal ou animal22

 

Foi depositado, também pela UFRGS, um documento que descreve a síntese de carbonatos cíclicos, empregando CO2 como material de partida e catalisadores zeolíticos heterogêneos, contendo LIs em sua estrutura.23 A Figura 10 mostra uma micrografia dos respectivos catalisadores zeolíticos, obtidos com o auxílio de líquidos iônicos direcionadores de estruturas, e testados no processo acima descrito.

 


Figura 10. Micrografias de zeólitas sintetizadas com auxílio de líquidos iônicos direcionadores de estruturas. "Reproduzido da publicação Applied Catalysis A: General, vol. 374, issue 1-2, Mignoni, M.L. et al, Nickel oligomerization catalysts heterogenized on zeolites obtained using ionic liquids as templates, 2012, com a permissão de Elsevier23

 

A empresa alemã BASF concentrou os seus depósitos de patentes em processos de acetalização e acilação de açúcares. O líquido iônico, neste caso, é utilizado como solvente dos respectivos açúcares.24 Ainda aproveitando a eficiência das propriedades de solvente dos líquidos iônicos, depósitos descrevendo a dissolução de celulose foram feitos.25

Diferentemente das soluções preparadas nos outros depósitos, algumas patentes foram feitas levando-se em consideração as propriedades da interação seletiva de alguns líquidos iônicos com determinados tipos de substâncias, as quais foram possíveis de serem separadas e purificadas em um meio reacional,26 inclusive gases puderam ser seletivamente separados.27 Por causa da seletividade e da combinação não usual das propriedades dos líquidos iônicos, o processo é superior à retificação extrativa convencional, do ponto de vista de custos e energia.

Outro depósito28 diz respeito a uma substância de trabalho e um líquido iônico, ao uso das ditas substâncias em bombas de calor de adsorção, máquinas de refrigeração de adsorção e transformadores térmicos e aos dispositivos correspondentes.

Embora as gerações de líquidos iônicos, segundo Rogers et al,14 passem por três momentos distintos, sendo a terceira fase a mais avançada tecnologicamente, o foco de tecnologias, no Brasil, se concentra principalmente nos líquidos iônicos da segunda geração.

A terceira geração de líquidos iônicos pode ser considerada, sem dúvida, como a mais complexa tecnologicamente, pois ela engloba todas as outras características das duas gerações anteriores.

A Figura 11 demonstra a evolução temporal dos pedidos de patente depositados e publicados no INPI. Curiosamente, houve um aumento abrupto no número de depósitos de patentes no ano de 2006 seguido de uma queda posterior com uma pequena estabilização, mantendo uma média de menos de cinco depósitos após 2007. A princípio, não há nenhuma razão aparente pela variação dos depósitos em 2006. Uma hipótese que pode ser levantada para a diminuição do número de patentes depositadas na área é a correlação com a diminuição das atividades de P&D nas empresas, devido à crise econômica instalada em 2008 para os Estados Unidos e Europa, com reflexo obviamente no Brasil. Em Sinisterra et al13 são apresentados alguns dados sobre o depósito de patentes feito pelos Estados Unidos no Brasil, na área da química, para o período de 1998-2011. Por esses dados é nítido um decréscimo do patenteamento a partir do ano de 2006, o que corrobora com os dados apresentados na Figura 11 construída para os líquidos iônicos.

 


Figura 11. Evolução dos depósitos de patentes no INPI ao longo dos anos e o número de depósitos publicados

 

A Figura 12 demonstra que grande parte dos depósitos realizados no período de 1995 - 2013 ainda aguarda pela análise do INPI. Esse dado coincide com o backlog (acúmulo de patentes depositadas sem análise técnica sob a patenteabilidade) atual do INPI que flutua entre 6-9 anos, ou seja, o tempo que um depósito de patente aguarda neste escritório para análise e emissão do parecer com o deferimento ou indeferimento da carta patente, isto é, a concessão ou não concessão da patente, respectivamente. Além do backlog, muitos depósitos de patente são abandonados por falta de pagamento de anuidades ou deixam de cumprir as exigências dos examinadores. Algumas empresas utilizam a estratégia do depósito de patente, como uma garantia mínima sobre uma determinada tecnologia. Com a patente depositada, após análise de mercado e estratégias de inserção da nova tecnologia, muitas vezes, um empresário pode perceber que a tecnologia presente no depósito de patente pode não representar uma inovação lucrativa para sua empresa. O abandono da patente, nesse caso, é feito como uma decisão estratégica. A empresa em questão pode decidir não explorar a tecnologia no depósito de patente, porém com a divulgação do relatório descritivo, a tecnologia se tornará parte do estado da técnica e isso pode impedir um possível concorrente de fazer outro depósito de patente com a descrição da mesma tecnologia.

 


Figura 12. Situação atual dos pedidos de patentes no INPI relativos à área de líquidos iônicos

 

Os 93 depósitos de patente sobre líquidos iônicos no Brasil, sendo 75% destes feitos por não residentes, possuem uma família de patentes composta por mais outros 844 depósitos de patente em diversos países. Tais depósitos são chamados de patentes filhas. A Tabela 3 apresenta a distribuição da família de patentes originada a partir dos depósitos feitos por não residentes e analisados no presente artigo.

 

 

Destes 844 depósitos das patentes filhas, segundo os dados da Tabela 3, percebe-se uma certa homogeneidade na escolha dos locais de interesse onde estas patentes filhas foram depositadas. Embora a maior parte das patentes deste estudo possuam prioridade unionista e país de origem dos inventores (Estados Unidos e Alemanha), os dados da Tabela 3 mostram uma maior distribuição dos depósitos das patentes filhas em diversos países do mundo. Isto pode ser associado a um indicativo de quais são os países de interesse, como produtores e usuários das tecnologias de líquidos iônicos e onde estão os mercados para essas tecnologias. Multinacionais como BASF e Chevron, apresentadas na Figura 4, possuem plantas de desenvolvimento e produção em diversos países em consonância com a obtenção de matérias primas, transporte de insumos, mercado consumidor, pólos de desenvolvimento tecnológicos, tendências de industrialização, etc. Estas questões reforçam a preferência por proteção em determinados países em detrimento a outros.

Dentre os 14 maiores depositantes de patentes sobre líquidos iônicos no INPI, dois brasileiros e três estrangeiros ganham destaque frente aos outros inventores. Os outros nove inventores possuem uma quantidade praticamente equitativa de participação nos depósitos (Figura 13).

 


Figura 13. Distribuição relativa entre os 14 maiores depositantes de pedidos de patentes referentes à área de líquidos iônicos no INPI

 

COMENTÁRIOS FINAIS

Um panorama simplificado da área dos líquidos iônicos no Brasil foi feito utilizando as patentes depositadas no INPI durante um período de 15 anos. Como discutido neste trabalho, depósitos de patentes são extremamente importantes para mapear know-how, aspectos da inovação e dos avanços científicos e tecnológicos, bem como de concentração de capital intelectual nessa área estratégica para o desenvolvimento tecnológico no país. Para que ocorra efetivamente uma inovação, em qualquer área, é necessário que uma tecnologia seja transferida para o mercado gerando novos processos e produtos. Embora o número de pedidos de patentes publicados não seja um indicador isolado da inovação, países inovadores e reconhecidos como potências mundiais possuem um número expressivo de pedidos de patentes depositados e concedidos.

Informações, como as obtidas no presente trabalho - de onde vem as tecnologias protegidas no Brasil; quem são os responsáveis pela produção dessas tecnologias (inventores, ICTs, etc.); quais são essas tecnologias; evolução temporal dos depósitos; situação legal dos pedidos de patente; em quais outros países essas tecnologias foram protegidas; etc. - são de extrema importância, não só para os pesquisadores envolvidos nessas áreas, bem como para agências de fomento, agentes de inovação tecnológica, gestores de tecnologias, para a criação de políticas de inovação, etc. O conhecimento da situação temporal de tecnologias pode ser extremamente importante também para se projetar tendências tecnológicas, possíveis áreas de interesse do governo e das empresas com investimentos de tempo e dinheiro.

Como demonstrado nos resultados do mapeamento, Alemanha e Estados Unidos, representados pela BASF e Chevron respectivamente, possuem um particular interesse pelo Brasil nessa área, e, juntamente com a UFRGS são os maiores detentores de tecnologias relacionadas a líquidos iônicos no país.

 

AGRADECIMENTOS

Os autores gostariam de agradecer ao CNPq pela bolsa concedida durante o período de pós-doutoramento de M. G. Speziali, ao INCT Nanobiofar, e ao CNPq-FAPEMIG.

 

REFERÊNCIAS E NOTAS

1. Dupont, J.; de Souza, R. F.; Suarez, P. A. Z.; Chem. Rev. 2002, 102, 3667; Wasserscheid, P.; Welton, T.; Ionic Liquids in Synthesis, Wiley-VCH: Weinheim, 2008. DOI: http://dx.doi.org/10.1021/cr010338r PMID: 12371898

2. Hallett, J. P.; Welton, T.; Chem. Rev. 2011, 111, 3508. DOI: http://dx.doi.org/10.1021/cr1003248 PMID: 21469639

3. Koel, M.; Crit. Rev. Anal. Chem. 2005, 35, 177. DOI: http://dx.doi.org/10.1080/10408340500304016

4. Kuang, D. B.; Comte, P.; Zakeeruddin, S. M.; Hagberg, D. P.; Karlsson, K. M.; Sun, L. C.; Nazeeruddin, M. K.; Gratzel, M.; Sol. Energy 2011, 85, 1189. DOI: http://dx.doi.org/10.1016/j.solener.2011.02.025

5. Welton, T.; Chem. Rev. 1999, 99, 2071. DOI: http://dx.doi.org/10.1021/cr980032t PMID: 11849019

6. Ota, N.; JP 2005-52545 2005

7. Hoge, B. T.; Bader, A. J.; Ignatyev, N.; Schulte, M.; Hierse, W.; WaldemarvWiebe; HelgevWillner; WO 2011-EP4353 2011.

8. Fabry, B.; Ernst, H.; Langholz, J.; Köster, M.; World Patent Information 2006, 28, 215. DOI: http://dx.doi.org/10.1016/j.wpi.2005.10.004

9. http://www.wipo.int/export/sites/www/sme/en/documents/pdf/iprs_innovation.pdf, acessada em Maio 2015.

10. Speziali, M. G.; Guimaraes, P. P. G.; Sinisterra, R. D.; Quim. Nova 2012, 35, 1700. DOI: http://dx.doi.org/10.1590/S0100-40422012000800035

11. Ernst, H.; World Pat. Inf. 2003, 25, 233. DOI: http://dx.doi.org/10.1016/S0172-2190(03)00077-2

12. Atkinson, K. H.; Proceedings of the 1st ACM workshop on Patent information retrieval, Napa Valley, California, USA, 2008.

13. Sinisterra, R. D.; Speziali, M. G.; Guimaraes, P. P. G.; da Silva, A. M.; Quim. Nova 2013, 36, 1527. DOI: http://dx.doi.org/10.1590/S0100-40422013001000008

14. Hough, W. L.; Smiglak, M.; Rodriguez, H.; Swatloski, R. P.; Spear, S. K.; Daly, D. T.; Pernak, J.; Grisel, J. E.; Carliss, R. D.; Soutullo, M. D.; Davis, J. J. H.; Rogers, R. D.; New J. Chem. 2007, 31, 1429. DOI: http://dx.doi.org/10.1039/b706677p

15. A Prioridade unionista é um princípio estabelecido pela Convençao de Paris em seu Art. 4º e dispoe que o primeiro pedido de patente ou desenho industrial depositado em um dos países membros (atualmente há 186 países membros) serve de base para depósitos subsequentes relacionados à mesma matéria, efetuados pelo mesmo depositante ou seus sucessores legais.

16. Elomari, S.; PI0708979-1 2007; Harris, T. V.; Driver, M. S.; Elomari, S.; Krug, R.; PI0620132-6 2006; Elomari, S.; PI0620232-2 2006; Elomari, S.; Krug, R.; PI0620233-0 2006; Elomari, S.; Krug, R.; PI0620188-1 2006; Harris, T. V.; Cheng, M.; Lei, G.-D.; PI0412105-8 2004; Harris, T. V.; Driver, M. S.; Johnson, D. R.; PI0412094-9 2004; Timken, H. K. C.; Trumbull, S.; Cleverdon, R.; Elomari, S.; PI0519159-9 2005; Driver, M.; Campbell, C. B.; Harris, T. V.; PI0712562-3 2007.

17. Harris, T. V.; Elomari, S.; Schinski, W.; PI0620117-2 2006; Harris, T. V.; Elomari, S.; Schinski, W.; PI0620120-2 2006; Harris, T. V.; Timken, H. K. C.; Elomari, S.; Trumbull, S. E.; PI0710009-4 2007.

18. Reis, L. F. M.; Gonçalves, R. S.; Dupont, J.; Consort, C. S.; PI0904308-0 2009.

19. Souza, R. F. d.; Gonçalves, R. S.; Botton, J. P.; PI0605478-1 2006; Dupont, J.; Padilha, J. C.; Gonçalves, R. S.; Souza, R. F. d.; PI0403801-0 2004; Souza, R. F. d.; Gonçalves, R. S.; Dupont, J.; Padilha, J. C.; PI0303079-2 2003.

20. Dupont, J.; Ebeling, G.; Stracke, M. P.; Veses, R. C.; PI0604607-0 2006.

21. Dupont, J.; Ebeling, G.; Consorti, C. S.; Aydos, G. d. L. P.; PI0901166-8 2009.

22. Dupont, J.; Suarez, P. A. Z.; Alves, M. B.; Neto, B. A. d. S.; Lapis, A. A. M.; PI0702202-6 2007.

23. Mignoni, M. L.; de Souza, M. O.; Pergher, S. B. C.; de Souza, R. F.; Bernardo-Gusmao, K.; App. Catal., A 2010, 374, 26; Souza, R. F. d.; Comin, E.; Gusmao, K. B.; Mignoni, M. L.; PI1003377-7 2010. DOI: http://dx.doi.org/10.1016/j.apcata.2009.11.017

24. Massonne, K.; D'andola, G.; Mormann, W.; Stegmann, V.; Weztein, M.; Leng, W.; PI0713461-4 2007; Massonne, K.; Stegmann, V.; Wezstein, M.; Leng, W.; Mormann, W.; D'Andola, G.; PI0714007-0 2007.

25. Maase, M.; Stegmann, V.; PI0610223-9 2006; Munson, C. L.; Boudreau, L. C.; Driver, M. S.; Schinski, W. L.; PI0111826-9 2001; Massonne, K.; D'andola, G.; Stegmann, V.; Wezstein, M.; Leng, W.; Mormann, W.; PI0708590-7 2007; Maase, M.; Massonne, K.; Stegmann, V.; Hermanutz, F.; Uerdingen, E.; Lutz, M.; Gaehr, F.; PI0620365-5 2006; Massonne, K.; Freyer, S.; D'andola, G.; Stegmann, V.; Mormann, W.; Wezstein, M.; Leng, W.; PI0708584-2 2007.

26. Beste, Y. A.; Eggersmann, M.; Schoenmakers, H.; PI0518482-7 2005; Schoenmakers, H.; Beste, Y. A.; Arlt, W.; Seiler, M.; Jork, C.; PI0413017-0 2004; Schoenmakers, H.; Beste, Y. A.; Arlt, W.; Seiler, M.; Jork, C.; PI0413168-1 2004.

27. Arlt, W.; Sailer, M.; Jork, C.; Schneider, T.; PI0208176-8 2002.

28. Boesmann, A.; Schubert, T. J. S.; PI0511248-6 2005.

29. Em geral, denomina-se como família de patentes os diferentes documentos gerados durante a tramitaçao de uma patente internacional, desde a sua solicitaçao até sua concessao nos mais diversos países. Consiste, portanto, de todas as publicaçoes em diferentes países relacionados com uma mesma invençao. Para todos os países membros do Tratato da Uniao de Paris, estes documentos podem ser identificados normalmente através dos dados da primera solicitaçao com base no direito de prioridade das solicitaçoes posteriores.

On-line version ISSN 1678-7064 Printed version ISSN 0100-4042
Qu�mica Nova
Publica��es da Sociedade Brasileira de Qu�mica
Caixa Postal: 26037 05513-970 S�o Paulo - SP
Tel/Fax: +55.11.3032.2299/+55.11.3814.3602
Free access

GN1