JBCS



14:55, sáb out 25

Acesso Aberto/TP



Artigo


Constituintes químicos e avaliação das atividades antioxidante e anti-inflamatória das raízes de Sabicea brasiliensis Wernh (Rubiaceae)
Chemical constituents and evaluation of antioxidant and anti-inflammatory activities of roots of Sabicea brasiliensis Wernh (Rubiaceae)

Jucilene Cavalini BatistaI; Silvana Maria de Oliveira SantinI; Ivânia T. Albrecht SchuquelI; Laura Lícia Milani de ArrudaII; Ciomar Aparecida Bersani-AmadoII; Cecília Maria Alves de OliveiraIII; Lucilia KatoIII; Heleno Dias FerreiraIV; Cleuza Conceiçao da SilvaI, *

IDepartamento de Química, Universidade Estadual de Maringá, 87020-900 Maringá - PR, Brasil
IIDepartamento de Farmacologia e Terapêutica, Universidade Estadual de Maringá, 87020-900 Maringá - PR, Brasil
IIIInstituto de Química, Campus Samambaia, Universidade Federal de Goiás, 74001-970 Goiânia - GO, Brasil
IVDepartamento de Biologia Geral, Instituto de Ciências Biológicas, Campus Samambaia, Universidade Federal de Goiás, 74001-970 Goiânia - GO, Brasil

Recebido em 22/08/2013
Aceito em 29/01/2014
Publicado na web em 27/03/2014

Endereço para correspondência

*e-mail: ccsilva@uem.br

RESUMO

The phytochemical investigation of Sabicea brasiliensis roots led to the isolation of 5-O-caffeoylquinic acid, 3,5- and 4,5-O-dicaffeoylquinics acids, scopoletin, ursolic acid, a mixture of β-sitosterol, stigmasterol and campesterol, daucosterol and saccharose. The structures of the isolated compounds were assigned on the basis of one- and two-dimensional NMR spectroscopic methods and by comparison with literature data. The anti-inflammatory and antioxidant activities of the crude methanolic extract and its fractions were analyzed.

Palavras-chave: Sabicea brasiliensis; caffeoylquinic acid; anti-inflammatory activity.

INTRODUÇÃO

O gênero Sabicea, pertencente à família Rubiaceae, à subfamília Ixoroideae e à tribo Sabiceae, é composto por aproximadamente 100 espécies distribuídas pela América Tropical e África, sendo que cerca de 45 a 50 espécies estão presentes na região neotropical.1 Espécies deste gênero são usadas na medicina popular para o tratamento da dor de estômago e de dente, disenteria, malária, reumatismo, prisão de ventre, epilepsia, febre, vômitos, insônia e ainda para combater doenças venéreas e como depurativo do sangue, além do uso como adoçante.2 Entretanto, apesar do amplo uso popular de plantas deste gênero, apenas Sabicea grisea foi estudada fitoquimicamente.

Das folhas desta espécie foi isolado o octacosanol,3 composto detentor de atividades biológicas importantes como antioxidante, ergogênica e antiparkinsoniana,4 sendo que o extrato bruto e a fração hexânica de onde ele foi retirado apresentaram atividades antinociceptiva e anti-inflamatória, com inibição da dor induzida por ácido acético em camundongos, assim como o próprio octacosanol.3

A espécie Sabicea brasiliensis é um arbusto com aproximadamente 80 cm de altura conhecido popularmente como sangue-de-cristo, de ocorrência nas regiões de cerrado do Brasil1 que, além de ser usado pela população essencialmente como alimento,5 é empregado no tratamento de infecções nos órgãos genitais de mulheres.6 Esta espécie possui leveduras que são aplicadas no controle de doenças pós-colheita em laranja e pêssego.7

A escassez de estudos químicos com espécies do gênero Sabicea, a ausência dos mesmos acerca da espécie S. brasiliensis e os interessantes usos populares que tais plantas possuem motivaram a realização do presente trabalho, no qual é relatado o isolamento e identificação de três ácidos cafeoilquínicos, uma cumarina, um triterpeno, três esteroides, um esteroide glicosilado e um dissacarídeo. Com base no uso popular desta espécie em infecções genitais, a avaliação da atividade anti-inflamatória foi efetuada e, também, devido ao isolamento de compostos fenólicos da classe dos ácidos cafeoilquínicos, foi realizado teste para deferir o potencial antioxidante do extrato bruto e frações de S. brasiliensis.

 

PARTE EXPERIMENTAL

Procedimentos experimentais gerais

Os espectros de RMN (uni- e bidimensionais) foram obtidos em espectrômetro Varian, modelo Mercury plus BB, operando a 300 MHz para 1H e 75 MHz para 13C. Os deslocamentos químicos foram dados em ppm, tendo como referência interna o tetrametilsilano TMS (δ = 0,0 ppm) ou o próprio solvente. Os solventes utilizados foram CD3OD e CDCl3 (Aldrich ou Isotec). Nas separações por cromatografias de adsorção utilizou-se gel de sílica 60 (0,063-0,200 mm, Merck), enquanto nos fracionamentos cromatográficos por exclusão molecular foi empregado Sephadex LH-20 como fase estacionária. Nas análises por cromatografia em camada delgada (CCD) empregou-se gel de sílica 60 G e 60 GF254 (Merck). A visualização dos compostos em CCD foi realizada por irradiação com luz ultravioleta em 254 e 366 nm e/ou por aspersão com solução de H2SO4/MeOH (1:1), H2SO4/anisaldeído/ácido acético (1:0,5:50 mL) seguido de aquecimento. As estruturas das substâncias isoladas foram definidas com base na análise dos dados espectroscópicos de RMN 1H e 13C uni- e bidimensionais e na comparação dos dados obtidos com os registrados na literatura. A absorvância das amostras no ensaio de atividade antioxidante foi determinada em espectrofotômetro UV-VIS-Cary 50 VARIAN operando a 515,5 nm. Os pontos de fusão (p. f.) das substâncias isoladas foram determinados em um aparelho de ponto de fusão Microquímica, modelo MQAPF-301.

Material vegetal

As raízes de Sabicea brasiliensis foram coletadas no cerrado da cidade de Goiânia (Goiás) em maio de 2010 pelo botânico Prof. Dr. Heleno Dias Ferreira. A exsicata do material vegetal encontra-se depositada no Herbário da Universidade Federal de Goiás sob o número 48089.

Isolamento dos constituintes químicos

As raízes de S. brasiliensis (304,5 g) foram secas, cortadas e submetidas à extração exaustiva com metanol a frio, fornecendo 25,4 g de extrato bruto. Parte deste (20,4 g) foi dissolvido em MeOH:H2O 1:1 e submetido à partição em hexano, clorofórmio, acetato de etila e butanol, resultando nas frações hexânica (994,1 mg), clorofórmica (798,5 mg), acetato de etila (1,3 g), butanólica (9,9 g) e a remanescente hidrometanólica (1,8 g).

Parte da fração acetato de etila (593,0 mg) foi submetida a uma cromatografia por exclusão em coluna de Sephadex LH-20 (Ø = 1,5 cm; 5,0 g) eluida por MeOH, resultando em 93 frações. Da subfração 21-22 foi isolada a substância 1 (7,2 mg). A subfração 34-41 (83,1 mg) foi fracionada em coluna cromatográfica de Sephadex LH-20 (Ø = 1,0 cm; 3,0 g) usando como eluentes H2O, H2O:MeOH 25, 50 e 75% e MeOH em gradiente decrescente de polaridade levando ao isolamento da substância 2 (3,3 mg) eluida em H2O:MeOH 25% e da mistura de substâncias 3 e 4 (3,3 mg) na polaridade H2O:MeOH 50%.

Outra parte da fração acetato de etila (473,5 mg) foi submetida a uma cromatografia em coluna de Sephadex LH-20 (Ø = 1,5 cm; 5,0 g) usando como eluentes água e metanol nas proporções H2O, H2O:MeOH 25, 50 e 75% e MeOH em gradiente decrescente de polaridade, levando ao isolamento da substância 5 (5,1 mg; H2O:MeOH 50%) e da mistura de substâncias 3 e 4 (20,8 mg; MeOH 100%).

Parte da fração clorofórmica (747,9 mg) foi submetida à cromatografia em coluna de gel de sílica 60 (Ø = 1,5 cm; 22,0 g) eluida com hexano, clorofórmio, acetato de etila e metanol em gradiente crescente de polaridade. A subfração resultante CHCl3:AcOEt 15% (29,2 mg) foi submetida a uma cromatografia por exclusão em coluna de Sephadex LH-20 (Ø = 1,0 cm; 3,0 g) eluida com MeOH, levando ao isolamento da substância 6 (2,1 mg).

Parte da fração hexânica (433,1 mg) foi fracionada em coluna cromatográfica de gel de sílica 60 (Ø = 1,5 cm; 20,0 g), eluida com hexano, acetato de etila e metanol em gradiente de polaridade crescente. A fração hexano:AcOEt 10% (12,0 mg) apresentou perfil cromatográfico simples em CCD e foi lavada sucessivamente com metanol, acetato de etila, clorofórmio e hexano com o consequente isolamento da mistura de substâncias 7, 8 e 9 (3,1 mg) da parte solúvel em acetato de etila.

Parte da fração butanólica (600,0 mg) foi submetida a uma cromatografia por exclusão em coluna de Sephadex LH-20 (Ø = 1,5 cm; 5,0 g) eluida com MeOH, o que levou ao isolamento da substância 2 (3,6 mg).

Uma segunda parte da fração butanólica (8,40 g) foi submetida a uma cromatografia em coluna de gel de sílica 60 (Ø = 5,0 cm; 225,0 g) dopada com NH4OH e eluida com hexano, clorofórmio e metanol em gradiente crescente de polaridade. A subfração CHCl3:MeOH 50% permitiu o isolamento da substância 10 (313,2 mg).

Avaliação da atividade antioxidante

Os testes de atividade antioxidante foram realizados para o extrato bruto metanólico e frações hexânica, clorofórmica, acetato de etila e hidrometanólica. Os potenciais de atividade antioxidante foram determinados com base na atividade sequestradora de radical livre do 2,2-difenil-1-picril-hidrazil (DPPH).8 As amostras foram adicionadas em diferentes concentrações à 2 mL de uma solução de DPPH em metanol (2,84.10-4 mol L-1). Após 30 min a absorvância foi determinada em espectrofotômetro, empregando metanol como branco. Os testes foram realizados em triplicata. Uma solução de DPPH sem adição das amostras foi utilizada como controle. O BHT foi utilizado como padrão. A capacidade sequestradora de radicais livres foi determinada utilizando a análise de regressão linear no intervalo de confiança de 95% (P<0,05).

Avaliação da atividade anti-inflamatória

A atividade anti-inflamatória foi avaliada pelo modelo de edema de orelha induzido por óleo de cróton,9 em camundongos Swiss machos (25-30 g). O edema de orelha foi induzido pela aplicação tópica de 20 µL de óleo de cróton comercial Sigma Aldrich (OC, 200 µg) diluído em acetona/água (7:3) na superfície interna da orelha esquerda do camundongo. A orelha direita recebeu apenas o veículo (20 µL de acetona 70% ou clorofórmio). Imediatamente após a aplicação do OC, grupos de animais receberam aplicação tópica de 20 µL de uma solução dos extratos brutos das raízes de S. brasiliensis ou de suas frações na superfície interna da orelha esquerda (5 mg/orelha). Após 6 h, os animais foram anestesiados, sacrificados e as orelhas seccionadas em discos circulares de 7,0 mm de diâmetro. Estas secções foram pesadas em uma balança analítica. A indometacina foi utilizada como controle positivo. Os resultados foram apresentados como média ± erro padrão da média (E.P.M). A comparação estatística dos dados foi realizada através da análise de variância (ANOVA), seguida pelo teste de Tukey (p < 0,05 foi considerado como nível de significância). A porcentagem da inibição do edema foi determinada pela Equação 1:

 

 

Avaliação da atividade da mieloperoxidase (MPO)

A atividade da mieloperoxidase (MPO) foi avaliada no sobrenadante de homogenados das secções de orelhas, que receberam todos os tratamentos especificados no item anterior. O tecido da orelha foi colocado em tampão fosfato de potássio (50 mM, pH 6,0), contendo 0,5 % de brometo de hexadeciltrimetilamônio (Sigma Aldrich; 1 mL/50 mg de tecido) em homogeneizador (60 s à 0º C).9 O homogenado foi agitado em vórtex e centrifugado por 5 min a 2500 rpm. Dez (10) µL do sobrenadante obtido foram adicionados em microplaca de 96 cavidades, em triplicada, sendo a seguir, adicionados 200 µL de uma solução tampão contendo dihidrocloreto de o-dianisidina (Sigma Aldrich; 16,7 mg), água bidestilada (90 mL), tampão fosfato de potássio e H2O2 1% (50 µL). A reação foi interrompida com solução de acetato de sódio 1,46 M (pH = 3,0) e a atividade da enzima foi determinada pela técnica de ponto final com base na medida de absorvância em comprimento de onda de 460 nm. Os dados foram submetidos à análise de variância (ANOVA), seguida pelo teste de Tukey. A porcentagem de redução na atividade da enzima mieloperoxidase foi determinada pela Equação 1.

 

RESULTADOS E DISCUSSÃO

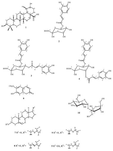
O estudo fitoquímico das raízes de Sabicea brasiliensis resultou no isolamento do ácido 5-O-cafeoilquínico10 (2) e de uma mistura dos ácidos 4,5 e 3,5-O-dicafeoilquínicos (3 e 4),11 da cumarina escopoletina (6),12 do triterpeno ácido ursólico (1),13 dos esteroides β-sitosterol (7), estigmasterol (8) e campesterol (9),14 do esteroide glicosilado daucosterol (5)15 e do dissacarídeo α-D-glicopiranosil-β-D-frutofuranosídeo conhecido como sacarose (10)16 (Figura 1), sendo todos inéditos no gênero Sabicea e na tribo Sabiceae. As estruturas das substâncias isoladas foram elucidadas a partir de análises dos dados espectroscópicos (RMN 1H e 13C, DEPT 135º, COSY (1Hx1H), HSQC, HMBC, NOESY) e por comparação com os dados da literatura.

 


Figura 1. Estruturas dos metabólitos secundários isolados de S. brasiliensis

 

O composto 2 foi isolado da fração acetato de etila sob a forma de um óleo amarelo solúvel em metanol e caracterizado como o ácido 5-O-cafeoilquínico por meio da comparação dos dados espectroscópicos de RMN com os descritos na literatura.10 No espectro de RMN de 1H de 2 foram observados sinais de uma unidade cafeoíla, como os dupletos em δH 6,28 (H-8') e 7,58 (H-7') característicos de hidrogênios trans (J = 15,9 Hz) de sistema carbonílico αβ-insaturado, além de sinais correspondentes a anel aromático 1,3,4-trissubstituído em δH 7,03 (H-2'), 6,78 (H-5') e 6,93 (H-6'). O grupo quínico apresentou sinais de hidrogênios oximetilênicos de δH 1,98 a 2,24 (H-2 e H-6) e oximetínicos em δH 4,16 (dl, J = 3,0 Hz, H-3), 3,70 (dd, J = 10,0 e 3,0 Hz, H-4) e 5,36 (ddd, J = 10,0; 10,0 e 4,2 Hz, H-5), sendo que a posição do grupo cafeoíla em C-5 do esqueleto ácido quínico foi inferida com base no efeito de desproteção observado para H-5 quando comparado ao H-3, aliado às constantes de acoplamento características dos mesmos. No espectro de RMN de 13C pode-se verificar os sinais de um grupo carbonila da unidade cafeoíla em δC 168,8 e de um carbono carboxílico do grupamento quínico em δC 179,1. O mapa de contornos NOESY apresentou correlações entre o hidrogênio H-3 e H-4, indicando que ambos estão na mesma face do anel, ao passo que a falta de correlação entre o H-4 e H-5 demonstra que eles estão em faces opostas, confirmando a estereoquímica proposta.

As substâncias 3 e 4 foram isoladas em mistura da fração acetato de etila como óleo amarelo solúvel em metanol sendo caracterizadas como os ácidos 4,5-O-dicafeoilquínico e 3,5-O-dicafeoilquínico por meio da comparação dos dados espectroscópicos de RMN com os descritos na literatura11 (Tabela 1). O espectro de RMN de 1H da mistura apresentou sinais de quatro unidades cafeoíla. Primeiramente, para a substância 3, foram observados sinais em δH 7,51 e 6,28 (d, H-7' e H-8') e δH 7,59 e 6,18 (d, H-7" e H-8") referentes à quatro hidrogênios vinílicos trans (J = 15,9 Hz) da unidade cafeoíla. Os sinais dos hidrogênios oximetínicos do grupamento quínico foram observados em δH 5,11 (dd, J = 9,1 e 3,0 Hz, H-4), δH 5,61 (ddd, J = 9,1; 9,1; 5,3 Hz, H-5) e δH 4,36 (ddd, J = 4,4; 3,0; 3,0, H-3), sendo que o efeito de desproteção observado para os hidrogênios H-4 e H-5 em comparação com H-3 aliado às multiplicidades e constantes de acoplamento apontam para a substituição nas posições 4 e 5 do grupo quínico (Tabela 1). A confirmação dos grupos cafeoíla e do esqueleto do ácido quínico foi baseada nos espectros de RMN de 13C (Tabela 1), sobretudo, pelos sinais de dois grupos carbonilas das unidades cafeoíla em δC 168,9 e 168,5 e do grupo carboxila da unidade quínica em δC 177,7. Da mesma forma, notou-se para o composto 4 sinais de dois outros grupos de hidrogênios vinílicos trans (J = 15,9 Hz), com integração menor que a observada para 3, em δH 7,61 e 6,34 (d, H-7' e H-8') e δH 7,57 e 6,26 (d, H-7" e H-8"), atribuídos ao grupo cafeoíla. Para o grupo quínico, a desproteção nos deslocamentos químicos dos hidrogênios oximetínicos H-3 e H-5 em δH 5,37 (dl, J = 7,0 Hz) e 5,41 (ddd, J = 3,3; 7,0 e 7,1 Hz) em comparação com H-4 em δH 3,96 (dd, J = 3,96 Hz) aliadas às multiplicidades e constantes de acoplamento explicitaram a substituição nas posições 3 e 5 do grupo quínico. O composto 4 apresentou, no espectro de RMN de 13C, sinais de dois grupos carbonilas das unidades cafeoíla em δC 168,3 e do grupo carboxila em δC 177,3 (Tabela 1). Para ambas as substâncias foram verificados sinais de 12 hidrogênios ligados a anel aromático que remetem à presença de 4 anéis 1, 3 e 4 substituído. No mapa de contornos HMBC (1H x 13C) foram observadas as correlações, para a substância 3, entre carbonos carbonílicos C-9' e C-9" com os hidrogênios H-4 e H-5 do grupo quínico, confirmando o posicionamento dos substituintes cafeoíla nas posições 4 e 5 deste grupo. Para 4, as correlações entre os carbonos carbonílicos C-9'e C-9" com os hidrogênios H-3 e H-5 do grupo quínico demonstram o posicionamento dos substituintes cafeoíla nas posições 3 e 5 de tal grupo. No mapa de contornos NOESY de 3 e 4 foram observadas as mesmas correlações descritas para a substância 2, consolidando a estereoquímica proposta.

 

 

As substâncias 1 e 5 foram isoladas da fração acetato de etila como sólidos brancos solúveis em clorofórmio e caracterizadas como o triterpeno ácido ursólico13 e o esteroide glicosilado daucosterol15 a partir da comparação com a literatura de seus dados espectroscópicos de RMN e de seus pontos de fusão de 253,2- 256,3 ºC (lit. 269,1 ºC)17 e 265,1-267,4 ºC (lit. 287-289º ºC),18 respectivamente.

Os dados de RMN da substância 6, isolada da fração clorofórmica sob a forma de um óleo viscoso amarelo solúvel em clorofórmio, foram concordantes com os constantes na literatura12 para a escopoletina.

A mistura de substâncias 7, 8 e 9 foi caracterizada como sendo constituída pelos esteroides sitosterol, estigmasterol e campesterol14 isolados da fração hexânica sob a forma de um sólido branco solúvel em clorofórmio através da comparação com a literatura de seus dados espectroscópicos de RMN e de seu ponto de fusão entre 172,3-177,0 ºC (lit. 181-184 ºC).19

Por fim, o composto 10 foi identificado como sendo o dissacarídeo α-D-glicopiranosil-β-D-frutofuranosídeo, conhecido como sacarose, de acordo com a comparação dos dados espectroscópicos de RMN com a literatura,16 se apresentando como um óleo amarelo, solúvel em metanol.

Todos esses compostos estão sendo relatados pela primeira vez no gênero Sabicea e na tribo Sabiceae, porém, na subfamília Ixoroideae há relatos do isolamento da escopoletina de Augusta longifolia,20 do ácido 5-O-cafeoilquínico e ácidos 3,5- e 4,5-O-dicafeoilquínico de Coffea arabica,21 além do triterpeno ácido ursólico de Duroia macrophylla.22

O extrato bruto metanólico e suas frações provenientes de partição foram avaliados como antioxidantes pelo método do DPPH, muito empregado para medir a capacidade sequestradora de radicais livres de produtos naturais.8 Comparando-se os valores de IC50 do extrato bruto (59,6 µg mL-1) e da fração acetato de etila (31,9 µg mL-1) com o do padrão BHT (16,9 µg mL-1), percebe-se que o efeito antioxidante é moderado no extrato bruto e mais pronunciado na fração acetato de etila, provavelmente devido à presença nessa fração dos ácidos 5-O-cafeoilquínico, 3,5- e 4,5-O-dicafeoilquínicos, que apresentam esse tipo de potencial descrito na literatura.23 As demais frações apresentaram IC50 superior a 100 µg mL-1, mostrando-se inativas em comparação com o BHT.

Na avaliação da atividade anti-inflamatória de moléculas sintéticas e extratos vegetais, a técnica de formação de edema de orelha em camundongos é comumente utilizada e foi empregada nesse estudo como um dos modelos para avaliar a atividade anti-inflamatória de S. brasiliensis. O óleo de cróton, usado como agente flogístico, induz uma resposta inflamatória caracterizada por formação de edema e infiltração de leucócitos a partir da ativação da enzima fosfolipase A2 e consequentemente da biossíntese de LT, PGs e citocinas.24 Neste ensaio, o extrato bruto e as frações não interferiram no desenvolvimento da resposta. Outra técnica utilizada para a avaliação da atividade anti-inflamatória é a de migração celular e foi empregada como segundo modelo nesse trabalho. A mieloperoxidase (MPO), uma enzima derivada de leucócitos que catalisa a formação de numerosas espécies reativas oxidantes,25 é considerada uma macromolécula-chave na resposta imunológica inespecífica a muitos agentes invasores, especialmente bactérias, sendo que uma maior atividade observada na enzima mieloperoxidase indica a migração de células polimorfonucleares para o local inflamado.26 A aplicação do extrato bruto e das frações hexânica, clorofórmica e hidrometanólica (5,0 mg/orelha) não interferiram na atividade da MPO, porém, um aumento na atividade desta enzima foi observado no grupo OC, mas não no grupo tratado com as frações acetato de etila e butanólica (5,0 mg/orelha) sugerindo o efeito inibitório (53,20% e 56,35%) destas frações sobre o recrutamento de neutrófilos. Desta forma pode-se considerar que as frações acetato de etila e butanólica das raízes de Sabicea brasiliensis apresentam uma atividade anti-inflamatória significativa no modelo de migração celular.

A atividade anti-inflamatória dos ácidos 5-O-cafeoilquínico e 4,5-O-dicafeoilquínico e do ácido ursólico são descritos na literatura27 e a presença destes nas raízes de S. brasilienis contribuiu para a atividade observada nas frações acetato de etila e butanólica no modelo de migração celular. O isolamento destes compostos nesta espécie pode embasar o uso popular da mesma no tratamento de infecções nos órgãos genitais de mulheres.6

 

CONCLUSÃO

Todos os compostos isolados das raízes de S. brasiliensis são descritos pela primeira vez no gênero Sabicea e na tribo Sabiceae, sendo que a presença de ácidos cafeoilquínicos, triterpenos e cumarinas foi verificada em espécies de outras tribos da subfamília Ixoroideae. As frações acetato de etila e butanólica apresentaram atividade anti-inflamatória significativa no modelo de migração celular. Na avaliação da atividade antioxidante, o extrato bruto e a fração acetato de etila tiveram efeito pronunciado em comparação com o padrão BHT.

 

MATERIAL SUPLEMENTAR

Os espectros de RMN uni- e bidimensionais das substâncias 2, 3 e 4 e os dados espectroscópicos das substâncias 1 a 6 encontram-se disponíveis na forma de arquivo PDF, disponível em http://quimicanova.sbq.org.br, com acesso livre.

 

AGRADECIMENTOS

Às instituições de fomento à pesquisa Conselho Nacional de Desenvolvimento Científico e Tecnológico (CNPq) e Coordenação de Aperfeiçoamento de Pessoal de Nível Superior (CAPES), pelo auxílio financeiro e pelas bolsas de estudo e de pesquisa.

 

REFERÊNCIAS

1. Delprete, P. G.; Smith, L. B.; Klein, R. M.; Flora ilustrada Catarinense: Rubiaceas. Itajaí: Herbário Barbosa Rodrigues, 2005. Vol. 2.

2. Awad, R.; Ahmed, F.; Bourbonnais-Spear, N.; Mullally, M.; Ta, C. A.; Tang, A.; Merali, Z.; Maquin, P.; Caal, F.; Cal, V.; J. Ethnopharmacol. 2009, 125, 257; Valadeau, C.; Castillo, J. A.; Sauvain, M.; Lores, A. F.; Bourdy, G.; J. Ethnopharmacol. 2010, 127, 175; Roumy, V.; Garcia-Pizango, G.; Gutierrez-Choquevilca, A. L.; Ruiz, L.; Jullian, V.; Winterton, P.; Fabre, N.; Moulis, C.; Valentin, J. Ethnopharmacol. 2007, 112, 482; Joly, L. G.; Guerra, S.; Septimo, R.; Solfsb, P. N.; Correa, M. D. A.; Guptab, M. P.; Levyd, S.; Sandbergd, F.; J. Ethnopharmacol. 1990, 28, 191; Hirschmann, G. S.; Farias A. R. A.; J. Ethnopharmacol. 1990, 29, 159; Rodrigues, V. E. G.; Ciênc. Agrotec. 2001, 25, 102; Schultes, R. E.; J. Ethnopharmacol. 1985, 14, 105; Pomilio, A. B.; Vitale A. A.; Ciprian-Ollivier, J.; Cetkovich-Bakmas, M.; Gómez, R.; Vázquez, G.; J. Ethnopharmacol. 1999, 65, 29.

3. Oliveira, A. M.; Conserva, L. M.; Ferro, J. N. de S.; Brito, F. M.; Lemos, R. P. L.; Barreto, E.; Int. J. Mol. Sci. 2012, 13, 1598.

4. Wang, T.; Liu Y.; Wang, X.; Yang, N.; Zhu, H.; Zuo, P.; Acta Pharmacol. Sin. 2010, 31, 765.

5. Cavéchia, L. A.; Proença, C. E. B.; Heringeriana 2007, 1, 11.

6. Almeida, M. G.; Rigonato, V. D.; Programa Centro Oeste de Pesquisa e Pós-Graduação - POCPG/CNPq; Relatório de pesquisa, 2001.

7. Sperandio, E. M.; Dissertação de Mestrado, Universidade de Brasília, Brasil, 2012.

8. Borges, M. F. M.; Ferreira, M. A.; Quim. Nova 1999, 22, 94.

9. Van Arman, G. C.; Clin. Pharmacol. Ther. 1974, 16, 900.

10. Satake, T.; Kamiya, K.; An, Y.; Oishi, T. Yamamoto, J.; Biol. Pharm. Bull. 2007, 30, 935; Testa, G.; Oliveira, P. R. N. de; Silva, C. C. da; Schuquel, I. T. A.; Santin, S. M. O.; Kato, L.; Oliveira, C. M. A. de; Arruda, L. L. M. de; Bersani-Amado, C. A.; Quim. Nova 2012, 35, 527.

11. Meira, M.; David, J. M. David, J. P.; Araújo, S. V.; Regis, T. L.; Giulietti, A. M.; Queiróz, L. P.; Quim. Nova 2008, 31, 751; Cheminat, A.; Zawatsky, R.; Becher, H.; Brouillard, R.; Phytochemistry 1988, 27, 2787; Oliveira, P. R. N. de; Testa, G.; Sena, S. B. de; Costa, W. F. da; Sarragiotto, M. H.; Santin, S. M. O.; Souza.; M. C.; Quim. Nova 2008, 31, 755.

12. Bayoumi, S. A. L.; Rowan, M. G.; Beeching J. R.; Blagbrough, I. S.; Phytochemistry 2010, 71, 598.

13. Seebacher, W.; Simic, N.; Weis, R.; Saf R.; Kunert, O.; Magn. Reson. Chem. 2003, 41, 636.

14. Goulart, M. O. F.; Sant'ana, A. E. G.; Lima, R. A.; Calvacante, S.; Quim. Nova 1993, 16, 95.

15. Lendl, A.; Werner, I.; Glasl, S.; Kletter, C.; Mucaji, P.; Presser, A.; Reznicek, G.; Jurenitsch, J.; Taylor, D.; Phytochemistry 2005, 66, 2381.

16. Moccelini, S. K.; Silva, V. C.; Ndiaye, E. A.; Sousa Jr, P. T. E Vieira, P.C.; Quim. Nova 2009, 32, 131.

17. Silva, F. de O; Oliveira, I. R. de; Silva, M. G. de; Braz-Filho, R.; Quim. Nova 2010, 33, 1874.

18. Zhi-Ming, B.; Zheng-Tao, W.; Luo-Shan, X.; Acta Bot. Sin. 2004, 46, 124.

19. Costa, T. de O. G.; Almeida, R. H. F. de; Koolen, H. H. F.; Silva, F. M. A. da; Pinto, A. C.; Acta Amazonica 2012, 42, 557.

20. Choze, R.; Delprete, P. G.; Liao, L. M.; Rev. Bras. Farmacogn. 2010, 20, 295.

21. Clifford, M. N.; Zheng, W.; Kuhnert, N.; Phytochem. Anal. 2006, 17, 384.

22. Martins, D.; Carrion, L. L.; Ramos, D. F.; Salomé, K.; S.; Silva, P. E.; Barison, A.; Nunez, C. V.; Biomed Res. Int. 2013, 2013, 1.

23. Kayano, S.; Kikuzaki, H.; Fukutsuka, N.; Mitani, T.; Nakatani, N.; J. Agric. Food Chem. 2002, 50, 3708; Hung, T. M.; Na, M.; Thuong, P. T.; Duy Su, N.; Sok, D.; Song, K. S.; Seong, Y. H.; Bae, K.; J. Ethnopharmacol. 2006, 108, 188; Soh, Y.; Kim, J.; Sohn, N. W.; Lee, K. R.; Kim, S. Y.; Biol. Pharm. Bull. 2003, 26, 803.

24. Otuki, M. F.; Vieira-Lima, F.; Malheiros, A.; Yunes, R. A.; Calixto, J. B.; Eur. J. Pharmacol. 2005, 507, 253.

25. Roman, R. M.; Wendland, A. E.; Polanczyk, C. A.; Arq. Bras. Cardiol. 2008, 91, 12.

26. Ignoato, M. C; Fabrão, R. M.; Schuquel, I. T. A.; Botelho, M. F. P.; Santin, S. M.; Arruda, L. L. M.; Bersani-Amado, C. A.; Souza, M. C.; Quim. Nova 2012, 35, 2241.

27. Santos, M. D.; Chen, G.; Almeida, M. C.; Soares, D. M.; Souza, G. E. P.; Lopesa, N. P; Lantz, C. Nat. Prod. Commun. 2010, 5, 733; Tatefuji, T.; Izumi, N.; Ohta, T.; Arai, S.; Ikeda, M.; Kurimoto, M.; Biol. Pharm. Bull. 1996, 19, 966; Banno, N.; Akihisa, T.; Tokuda, H.; Yasukawa, K.; Higashihara, H.; Ukiya, M.; Watanabe, K.; Kimura, Y.; Hasegawa, J.; Nishino, H.; Biosci., Biotechnol., Biochem. 2004, 68, 85.

On-line version ISSN 1678-7064 Printed version ISSN 0100-4042
Qu�mica Nova
Publica��es da Sociedade Brasileira de Qu�mica
Caixa Postal: 26037 05513-970 S�o Paulo - SP
Tel/Fax: +55.11.3032.2299/+55.11.3814.3602
Free access

GN1