JBCS



12:27, sáb out 25

Acesso Aberto/TP



Educação


Proposta experimental didática para o ensino de análise de componentes principais
Proposal of a didactic experiment to teach principal component analysis

Leonardo Valderrama; Vassula Belinato Paiva; Paulo Henrique Março; Patrícia Valderrama*

Universidade Tecnológica Federal do Paraná, 87301-899 Campo Mourão - PR, Brasil

Recebido em 02/06/2015
Aceito em 01/09/2015
Publicado na web em 26/10/2015

Endereço para correspondência

*e-mail: patriciav@utfpr.edu.br

RESUMO

Principal component analysis (PCA) is a chemometric method that allows for the extraction of chemical information that would otherwise be impossible to determine. Teaching chemometrics to undergraduates can contribute to the overall professional development and training of new teachers, whose profiles have been gaining attention due to the current demand for data interpretation. In this study, a didactic experiment involving PCA is proposed. Spectrophotometry was used in the ultraviolet-visible (UV-Vis) region to assess the behavior of anthocyanins extracted from red cabbage at different pH values. The results suggest the possible separation of anthocyanin structures into three distinct groups, according to their chemical characteristics displayed in acid, neutral, and basic media. The objective is to develop educational materials targeted to undergraduate courses, which encompass a larger number of concepts and introduce instrumental techniques currently being employed in both academic research and the industrial sector. Specifically, the proposed experiment introduces concepts related to spectrophotometry in the UV-Vis range and the PCA chemometric method. The materials used are easily accessible, and UV-Vis spectroscopy equipment is less expensive in comparison with other spectroscopy methods.

Palavras-chave: PCA; red cabbage; buffer solution; didactic experiment.

INTRODUÇÃO

Estudos acerca da experimentação para o ensino de ciências sugerem que os professores consideram esse tipo de abordagem importante por contribuir para o aprendizado dos conceitos científicos por parte dos alunos.1-3 Com o avanço computacional e da instrumentação científica novas possibilidades experimentais tornaram-se possíveis em um laboratório químico. Essa perspectiva promove o surgimento de uma grande quantidade de dados experimentais e em diversos níveis de complexidade.4 Se por um lado é possível retirar muito mais informação para cada uma das amostras em estudo, por outro lado a interpretação de todo esse montante pode ser bastante custosa. Assim, originou-se uma área, dentro da química e muito importante para a química analítica, nomeada como quimiometria, no ano de 1972,5 e dedicada a extrair uma maior quantidade de informações relevantes dos dados gerados no laboratório, auxiliar na sua interpretação e propor estratégias pré-experimentais.

A quimiometria pode ser dividida em diversas frentes de pesquisa, dentre elas: planejamento e otimização de experimentos, reconhecimento de padrões e desenvolvimento de modelos de classificação, resolução de sinais analíticos, calibração multivariada,4 e processamento de imagens.6,7 No contexto da retirada de informações relevantes a partir dos dados experimentais os métodos de reconhecimento de padrões merecem destaque, dentre eles, principalmente a análise de componentes principais (PCA, do inglês - Principal Component Analysis).8 Assim, o objetivo do trabalho consistiu em propor um experimento para o ensino de PCA a partir de dados gerados por espectroscopia na região do ultravioleta e visível (UV-Vis) na avaliação de antocianinas presentes no repolho roxo, cujas diferenças estruturais já foram vastamente utilizadas como recursos didáticos.9-12

Análise de Componentes Principais (PCA)

PCA é um método de reconhecimento de padrões não supervisionado capaz de transformar uma tabela de dados experimentais em gráficos informativos acerca da similaridade entre as amostras e as respectivas variáveis responsáveis por isso.13 Essa tabela de dados experimentais (matriz X) pode ser representada por valores de parâmetros físico-químicos, composição em ácidos graxos, composições proximais (centesimais), resultados de análises sensoriais ou, ainda, um conjunto de espectros (UV-Vis, infravermelho) ou cromatogramas.

Poucos são os artigos dedicados a uma abordagem didática sobre a PCA como, por exemplo, Lyra et al.14 e Cazar,15 que demonstram uma aplicação dessa ferramenta a uma matriz X de dados provenientes de variáveis discretas. Dados espectrais na região do infravermelho médio já foram explorados didaticamente,16 porém, não foram encontradas abordagens didáticas da PCA aplicadas a dados de espectroscopia UV-Vis.

Alguns aspectos devem ser abordados de maneira diferente ao interpretar modelos PCA de dados provenientes de variáveis discretas e dados espectrais. Para tanto, inicialmente é preciso entender sobre o funcionamento da análise de componentes principais, na qual a matriz de dados experimentais, denominada como matriz X, é decomposta em um produto de duas outras matrizes, uma matriz denominada de scores ou escores (T) e outra matriz denominada de loadings ou pesos (P), conforme equação 1.4

em que, E corresponde a uma matriz de erros.

Essa decomposição é realizada quando novos eixos são calculados no espaço multidimensional dos dados experimentais. Os novos eixos, ou componentes principais (PC), são traçados de modo a explicar sucessivamente a maior percentagem de variância em uma dada direção e são ortogonais entre si. Esse procedimento reduz a dimensionalidade dos dados experimentais por agrupar as informações correlacionadas em uma mesma PC.5

A matriz de scores (T) carrega informações acerca das amostras, ou seja, das linhas da matriz X, enquanto que os loadings (P) fornecem informações sobre as variáveis, ou colunas de X. Os resultados da decomposição da matriz X em scores e loadings podem ser interpretados gráficamente,5 entretanto, enquanto dados provenientes de variáveis discretas permitem a análise de gráficos bivariados (biplots) e podem ser interpretados em gráficos de loadings de PC1 contra PC2, o mesmo não é recomendado para dados espectrais graças à quantidade de variáveis disponíveis.

Para aplicar PCA aos dados experimentais é necessário a habilidade na operação de softwares e ambientes computacionais indispensáveis a sua aplicação.16 Atualmente, restam poucas dúvidas sobre a importância e a necessidade da utilização de ferramentas computacionais para o ensino e a aprendizagem da química.17 Existem muitos softwares que possibilitam a realização de PCA, tais como Unscrambler, Pirouette, Statistica, Matlab, Octave, Scilab e R. No ano de 2014, foi publicado um livro dedicado ao emprego de alguns métodos quimiométricos, dentre eles a PCA, por meio do software Excel.18 O suplemento necessário para a realização dos cálculos de PCA por meio do Excel pode ser adquirido no site http://www.numericaldynamics.com/index.html. Nesse trabalho o software empregado para a realização da PCA foi o Matlab, aplicando-se o algoritmo denominado KPCA, disponível gratuitamente para download no site http://www.vub.ac.be/fabi/publiek/index.html. Tal algoritmo foi descrito recentemente em um trabalho publicado16 abordando algumas operações básicas e fundamentais para a execução de PCA em Matlab, tais como: carregar os espectros/dados, montar matrizes, criar e formatar gráficos.

Vale ressaltar que os comandos para execução da PCA em Matlab são muito similares aos comandos empregados pelo software Octave,16 que é um software livre. Entretanto, apesar do Matlab ser um software comercial, este apresenta versões a custo reduzido para instituições de ensino e estudante (a versão estudante hoje custa 45 dólares).19 Além disso, a ideia aqui não é estar restrito a um software, mas sim propor um experimento didático, cujos resultados de PCA (independentemente do software empregado) possam ser facilmente interpretados contribuindo assim para o aprimoramento do ensino da quimiometria e auxiliando possíveis limitações de usuários iniciais para com a interpretação dos resultados obtidos.

 

PARTE EXPERIMENTAL

Materiais

Repolho roxo, álcool etílico comercial (92,8º INPM), ácido clorídrico (ISOFAR), ácido cítrico (ALPHATEC), fosfato monobásico de potássio (SYNTH), tetraborato de sódio (MERCK), trishidroximetilaminometano (MERCK), cloreto de potássio (LAFAN), hidróxido de sódio (LAFAN), pHmetro digital de bancada, cubeta de quartzo com caminho óptico de 1 cm, equipamento de espectroscopia na região UV-Vis T80+ (PG Instruments LTd).

Métodos

As antocianinas foram extraídas seguindo um planejamento fatorial 22, empregando dois fatores representados por ácido clorídrico (HCl) e álcool etílico, em dois níveis. Segundo os resultados desse planejamento, a extração das antocianinas do repolho roxo é mais efetiva com a concentração de HCl 0,01 mol L-1 e de álcool etílico 92,8o INPM.20

Em cada ensaio, 5 g de repolho roxo foi submetido à extração com 25 mL de HCl 0,01 mol L-1 e 25 mL de álcool etílico 92,8o INPM. As misturas foram realizadas em béquer e deixadas em repouso pelo tempo mínimo de 10 minutos antes da realização das leituras na região do UV-Vis.

Após a extração, os espectros foram adquiridos pela adição de 200 µL de amostra a 3 mL de solução tampão em diferentes valores de pH. Os espectros foram adquiridos na região de 350 a 900 nm, com intervalos de 2 nm.

A solução tampão utilizada no experimento foi obtida a partir de uma solução universal, uma mistura contendo: 21,01 g de ácido cítrico, 13,61 g de fosfato monobásico de potássio, 19,07 g de tetraborato de sódio, 12,11 g de trishidroximetilaminometano, 7,46 g de cloreto de potássio em um litro de água.21 A partir de 12,5 mL dessa solução, chamada de solução universal, e de volumes apropriados de HCl 0,4 mol L-1 e NaOH 0,4 mol L-1, vinte e uma soluções com diferentes valores de pH, desde o extremamente ácido (1,89) até o extremamente alcalino (12,01), foram obtidas em balão volumétrico de 50 mL, cujo volume foi completado até o menisco com água destilada. Os valores de pH para as soluções preparadas foram determinados por meio de um pHmetro digital de bancada e a análise de componentes principais foi realizada por meio software Matlab R2007b com o auxílio do algoritmo KPCA. Alternativamente, é apresentado como material suplementar um breve tutorial para o uso das ferramentas do PLS-Toolbox 5.2. Esta interface gráfica permite a implementação do PCA no software Matlab de uma forma mais amigável e pode ser utilizada sem custo por um período de 30 dias.22

 

RESULTADOS E DISCUSSÃO

A Tabela 1 apresenta as proporções de solução de HCl 0,4 mol L-1 ou NaOH 0,4 mol L-1 empregadas no preparo das 21 soluções tampão que foram utilizadas no trabalho. Os respectivos valores de pH (esperado e medido experimentalmente) para cada uma das soluções também são apresentados.

 

 

Normalmente, os espectros obtidos em um equipamento UV-Vis podem ser exportados para o formato ".txt" e, ao abrir o arquivo no bloco de notas, pode-se visualizar a estrutura dos dados. Como exemplo, sugerimos para fins didáticos uma das formas mais comuns de estrutura de dados obtidas de equipamentos atualmente, consistindo de duas colunas de números. Na primeira coluna encontram-se os valores referentes aos comprimentos de onda e, na segunda coluna, os respectivos valores de absorbância. Para carregar dados com extensão ".txt" no Matlab ou no Octave pode-se utilizar o comando >> load NomeDaAmostra.txt (Exemplo: >> load amostra1.txt). Esse procedimento deve ser realizado para todas as amostras. Na sequência, a matriz X pode ser criada conforme comandos dispostos no Quadro 1:

 

 

Os valores entre parênteses representam linha e coluna, respectivamente, separados pela vírgula. Assim, a primeira linha do quadro 1 deve ser interpretada como: a primeira linha da matriz X e todas as colunas - X(1,:) - será igual a todas as linhas e a segunda coluna da amostra 1- =amostra1(:,2)'; O sinal de apóstrofo (') indica que os valores serão transpostos. Nessa operação, a segunda coluna da amostra 1 deixa de ser uma coluna e passa a ser a primeira linha da matriz X.

O próximo passo consiste na criação de um vetor correspondente aos valores de comprimento de onda. Para tal, pode-se utilizar a primeira coluna de qualquer uma das amostras. Por exemplo, utilizando-se a amostra1 e considerando "nm" o nome do vetor contendo os valores de comprimento de onda, o comando seria: >> nm=amostra1(:,1); Neste caso é possível utilizar qualquer uma das amostras para extrair os valores de comprimento de onda pois os espectros de todas as amostras foram obtidos na mesma faixa espectral. Assim, a primeira coluna das amostras é exatamente igual em todos os casos.

Os espectros obtidos para as antocianinas do repolho roxo nos diferentes valores de pH - Figura 1, foram rearranjados para a forma matemática matricial, de acordo com os comandos descritos no Quadro 1. As linhas da matriz X correspondem ao número das amostras (espectros em diferentes valores de pH), e as colunas referem-se aos valores de absorbância nos diferentes comprimentos de onda. Dessa forma, têm-se um arranjo matricial (21 x 276), ou seja, 21 amostras de antocianinas extraídas do repolho roxo (submetidas a 21 soluções tampão com diferentes valores de pH), por 276 valores de absorbância, correspondentes ao intervalo analisado. Neste caso, entre 350 e 900 nm, com passo de absorbância de 2 nm.

 


Figura 1. Espectro UV-Vis para as amostras de antocianinas do repolho roxo em diferentes valores de pH. (-) amostras em pH extremamente ácido (pH 1,89 a 3,37). (-) amostras em pH ácido e neutro (pH 3,78 a 7,15). (-) amostras em pH alcalino (pH 8,08 a 12,01)

 

Para construir a Figura 1 no Matlab/Octave, os comandos do Quadro 2 podem ser utilizados. Na primeira linha do Quadro 2 tem-se que, a partir do comando "plot", os espectros da matriz X serão plotados em função dos comprimentos de onda (nm). A letra 'r' indica que os espectros das amostras 1 a 4 (meio extremamente ácido) serão plotados na cor vermelha. A letra 'k' indica que os espectros das amostras 5 a 12 (meio ácido e neutro) serão plotados na cor preta. A letra 'b' indica que os espectros das amostras 13 a 121 (meio alcalino) serão plotados na cor azul. O comando ' hold on' significa que os espectros das amostras nos diferentes meios serão plotados no mesmo gráfico. Nas duas últimas linhas do Quadro 2, os comandos possibilitam inserir nomes nos eixos y e x, respectivamente.

 

 

Para aplicar PCA, os espectros da matriz X foram centrados na média e o algoritmo KPCA foi executado de acordo com o tutorial proposto por Souza e Poppi.16 O Quadro 3 apresenta os comandos para a execução dessas operações de acordo com o tutorial.

 

 

No Quadro 3, a primeira sequência de comandos foi utilizada para centrar os dados na média. Centrar os dados na média consiste em calcular a média das intensidades para cada comprimento de onda (Xm) e subtrair cada um desses valores médios (Xmc) de todos os valores de absorbância medidos para os respectivos comprimentos de onda. Ao executar o próximo comando, para a realização da análise PCA, os resultados serão os valores de scores (T), loadings (P) e a percentagem de variância explicada em cada componente principal (percent). A Tabela 2 apresenta a percentagem de variância capturada pelo modelo PCA construído.

 

 

Para o modelo foram escolhidos 3 PCs, que juntos correspondem a uma percentagem de variância acumulada de 98,90%. Na escolha do número de PCs não existe uma regra absoluta, entretanto, a observação de variações abruptas na quantidade de variância explicada por cada PC pode ser um critério de escolha, assim como a interpretação química e/ou física de seus significados. Ressalta-se ainda que PCs que expliquem muito pouca variância, no nível do ruído dos dados, não podem ser interpretados de maneira confiável.

O próximo passo consiste em plotar os gráficos de scores e loadings. Nesse caso, a melhor distinção entre as amostras foi observada com as PCs 1 e 3. Isso não significa que a PC2 não tenha importância para o modelo, no entanto, a PC2 representa um padrão dos dados que não é fundamental para a discriminação, nesse caso. Os comandos do Quadro 4 permitem a construção dos gráficos de scores e loadings.

 

 

Por meio do gráfico dos scores, apresentado na Figura 2, verificou-se uma separação das antocianinas em 3 grupos. Um grupo referente às espécies que se encontram em meio extremamente ácido (parte negativa de PC1 e positiva de PC3), um segundo grupo relativo às espécies que se encontram em meio ácido e neutro (parte negativa de PC1 e PC3) e, o terceiro grupo, das antocianinas em meio básico (parte positiva de PC1). Assim, o gráfico dos scores forneceu informações sobre as similaridades entre as amostras analisadas, e essa similaridade é decorrente das mudanças estruturais das antocianinas em função do pH.

 


Figura 2. Scores da PCA. Amostras de antocianinas em pH extremamente ácido (○), em pH ácido e neutro (*), em pH alcalino (+)

 

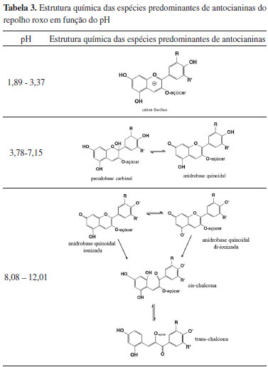
A partir da Figura 2 verificou-se que a separação foi condizente com o reportado pela literatura.23,24 Estruturalmente, as antocianinas são caracterizadas pela presença de um esqueleto contendo 15 átomos de carbono na forma C6-C3-C6, que absorvem fortemente na região visível do espectro, conferindo uma grande variedade de cores, dependendo do pH na qual está presente.24 De modo geral, em meio extremamente ácido (até pH ~3), as antocianinas apresentam coloração intensamente avermelhada devido ao predomínio da forma cátion flavílico - amostras de 1 a 4 na Figura 2. Nas amostras de 5 a 12 da Figura 2 o pH estava compreendido entre 3,78 e 7,15 e as formas de antocianinas predominantes são a pseudobase carbinol em equilíbrio com a forma anidrobase quinoidal. Ainda na Figura 2, o valor de pH das amostras 13 a 21 estava entre 8,08 e 12,01, intervalo no qual os equilíbrios predominantes ocorrem entre as espécies anidrobase quinoidal em suas formas ionizadas e na forma de chalconas. A Tabela 3 apresenta as mudanças estruturais apresentadas pelas antocianinas do repolho roxo de acordo com o valor de pH do meio.

 

 

O gráfico referente aos loadings dos PCs 1, 2 e 3 é apresentado na Figura 3. A partir do gráfico dos loadings pode-se encontrar quais as partes do espectro que são responsáveis pela separação entre as amostras, observada no gráfico dos scores. As amostras de antocianinas do repolho roxo em pH extremamente ácido (amostras 1 a 4) são agrupadas na parte negativa de PC1 e positiva de PC3 no gráfico dos scores. Trazendo essa informação para o gráfico dos loadings, verifica-se que o PC1 não apresenta partes negativas, o que pode ser explicado pelo fato de a matriz de dados ter sido centrada na média. Por outro lado, a parte positiva dos loadings de PC3 evidencia a existência de uma banda centrada em 520 nm, a qual, segundo a literatura,24 é característica do cátion flavílico. Analisando conjuntamente o gráfico dos scores e dos loadings, no que se refere às amostras agrupadas na parte negativa de PC1 e PC3 (amostras 5 a 12) dos scores, observa-se que os loadings do PC1 não apresentam sinal na parte negativa, enquanto os loadings de PC3 apresentam uma banda centrada em torno de 580 nm na parte negativa. Esta banda é referente às formas predominantes das antocianinas em função do pH dessas amostras. Nas amostras 13 a 21, cujo pH do meio era alcalino, o agrupamento observado no gráfico dos scores se deu em função da parte positiva de PC1. Na parte positiva dos loadings de PC1 verificam-se duas bandas intensas, uma centrada em 380 nm e outra em 590 nm. Esses loadings representam as absorções características para as formas de antocianinas presentes em meio alcalino. Dessa forma, foi possível observar que os loadings do PC3 são os responsáveis pela explicação da distinção que ocorre entre as amostras no gráfico dos scores em meio extremamente ácido e no meio ácido a neutro. Já os loadings do PC1 explicam a distinção das amostras que se encontram no meio alcalino. Observando os loadings do PC2 verifica-se um comportamento intermediário ao observado em PC1 e PC3 que pode ser atribuído ao equilíbrio entre as espécies de antocianinas presentes no meio.23,24

 


Figura 3. Loadings da PCA

 

CONCLUSÃO

A proposta experimental apresentada permite introduzir conceitos relacionados à espectroscopia na região UV-Vis e ao método quimiométrico denominado PCA. Os materiais utilizados são de fácil acesso e o equipamento de espectroscopia para a região UV-Vis pode ser considerado, dentre os equipamentos destinados para espectroscopia, de baixo custo relativo estando disponível na maioria das instituições de ensino superior brasileiras. A análise dos dados pode ser realizada em diferentes tipos de software, incluindo softwares livres. A proposta atende à necessidade de se desenvolver material didático direcionado aos cursos de graduação, englobando um maior número de conceitos e utilizando técnicas instrumentais muito empregadas atualmente, tanto na pesquisa como nos laboratórios do setor produtivo.

 

REFERÊNCIAS

1. Maldaner, G.; Piedade, M. C. T.; Química Nova na Escola 1995, 1, 15.

2. Giordan, M.; Química Nova na Escola 1999, 10, 43.

3. Galiazzi, M. C.; Gonçalves, F. P.; Quim. Nova 2004, 27, 326. DOI: http://dx.doi.org/10.1590/S0100-40422004000200027

4. Otto, M.; Chemometrics, Wiley: Weinheim, 1999.

5. Massart, D. L.; Vandeginste, B. G. M.; Deming, S. N.; Michotte, Y.; Kaufman, L.; Chemometrics: a textbook, Elsevier: Amsterdam, 1988.

6. Petrou, M.; Petrou, C.; Image processing: The fundamentals, Wiley: Weinheim, 2010.

7. Solomon, C.; Breckon, T.; Fundamentals of digital image processing: A practical approach with examples in Matlab, Wiley: Weinheim, 2011.

8. Wold, S.; Esbensen, K.; Geladi, P.; Chemom. Intell. Lab. Syst. 1987, 2, 37. DOI: http://dx.doi.org/10.1016/0169-7439(87)80084-9

9. Terci, D. B. L.; Rossi, A. V.; Quim. Nova 2002, 25, 684. DOI: http://dx.doi.org/10.1590/S0100-40422002000400026

10. Rezende, C. M.; Braibante, H. T. S. Em A química perto de você: experimentos de baixo custo para a sala de aula do ensino fundamental e médio; Rezende, C. M.; Braibante, H. T. S., eds.; Sociedade Brasileira de Química: São Paulo, 2010.

11. Cortes, M. S.; Ramos, L. A.; Cavalheiro, E. T. G.; Quim. Nova 2007, 30, 1014. DOI: http://dx.doi.org/10.1590/S0100-40422007000400045

12. Terci, D. B. L.; Tese de Doutorado, Universidade Estadual de Campinas, Brasil, 2004.

13. Beebe, K. R.; Pell, R. J.; Seasholtz, M. B.; Chemometrics: a practical guide, Wiley: Weinheim, 1998.

14. Lyra, W. S.; Silva, E. C.; Araújo, M. C. U.; Fragoso, W. D.; Veras, G.; Quim. Nova 2010, 33, 1594. DOI: http://dx.doi.org/10.1590/S0100-40422010000700030

15. Cazar, R. A.; J. Chem. Educ. 2003, 80, 1026. DOI: http://dx.doi.org/10.1021/ed080p1026

16. Souza, A. M.; Poppi, R. J.; Quim. Nova 2012, 35, 223. DOI: http://dx.doi.org/10.1590/S0100-40422012000100039

17. http://laboratoriogrecia.cl/wp-content/uploads/2015/05/HENRIQUE-ET-AL-CO76.pdf, acessada em agosto de 2015; Março, P. H.; Deimling, N. N. M.; Valderrama, P.; Anais do 3rd Latin American Regional IHPST, Santiago, Chile, 2014.

18. Pomerantsev, A. L.; Chemometrics in excel, Wiley: New Jersey, 2014.

19. http://www.mathworks.com/pricing-licensing/index.html?intendeduse=student, acessada em maio de 2015.

20. http://www.sinect.com.br/anais2012/html/artigos/ensino%20qui/13.pdf, acessada em agosto de 2015; Paiva, V. B.; Scarminio, I. S.; Pereira, E. D.; Março, P. H.; Valderrama, P.; Anais do III Simpósio Nacional de Ensino de Ciência e Tecnologia, Ponta Grossa, Brasil, 2012.

21. Perrin, D.D.; Dempsey, B.; Buffers for pH and metal ion control, Champmam and Hall: New York, 1974.

22. http://www.eigenvector.com/software/pls_toolbox.htm, acessada em maio de 2015.

23. Março, P. H.; Poppi, R. J.; Scarminio, I. S.; Quim. Nova 2008, 31, 1218. DOI: http://dx.doi.org/10.1590/S0100-40422008000500051

24. Março, P. H.; Poppi, R. J.; Scarminio, I. S.; Tauler, R.; Food Chem. 2011, 125, 1020. DOI: http://dx.doi.org/10.1016/j.foodchem.2010.10.005

On-line version ISSN 1678-7064 Printed version ISSN 0100-4042
Qu�mica Nova
Publica��es da Sociedade Brasileira de Qu�mica
Caixa Postal: 26037 05513-970 S�o Paulo - SP
Tel/Fax: +55.11.3032.2299/+55.11.3814.3602
Free access

GN1