JBCS



12:22, sáb out 25

Acesso Aberto/TP



Artigo


Composição química das cascas das raízes e flores de Poincianella pyramidalis (Fabaceae)
Chemical composition of root barks and flowers of Poincianella pyramidalis (Fabaceae)

José Cândido S. de OliveiraI; Jorge M. DavidI,*; Juceni P. DavidII

IInstituto de Química, Universidade Federal da Bahia, 40170-115 Salvador - BA, Brasil
IIFaculdade de Farmácia, Universidade Federal da Bahia, 40170-115 Salvador - BA, Brasil

Recebido em 25/09/2015
Aceito em 28/10/2015
Publicado na web em 05/02/2016

Endereço para correspondência

*e-mail: jmdavid@ufba.br

RESUMO

Chemical investigation of the MeOH extract of root barks of P. pyramidallis (Tul.) L. P. Queiroz resulted in the isolation of 3,3'-dimethylellagic acid and 3,3'-dimethylellagic acid-4'-O-β-D-xyloside. Lupeol, β-sitosterol/stigmasterol and the mixture of fatty acid methyl ester derivatives were also obtained. Chromatographic procedures of the MeOH extract of the flowers of this species led to obtain an unusual mixture of fatty alcohols, β-sitosterol/stigmasterol, α-amyrin, β-amyrin and methyl gallate. The structures of the isolates were established by spectral data analysis. This is the first occurrence of 3,3'-dimethylellagic acid, 3,3'-dimethylellagic acid-4'-O-β-D-xyloside and free fatty alcohols in the Fabaceae family.

Palavras-chave: Fabaceae; Poincianella pyramidalis; 3,3'-dimethylellagic acid derivatives; fatty alcohols.

INTRODUÇÃO

Fabaceae é uma das maiores famílias de plantas abrangendo aproximadamente 650 gêneros e 18.000 espécies. De ocorrência em diversas regiões do planeta, esta família é dividida em três subfamílias, Mimosoideae, Faboideae e Caesalpinoideae.1 Espécies desta família podem ser fontes de substâncias bioativas e a literatura descreve as atividades biológicas de extratos e de substâncias isoladas das diferentes espécies de Fabaceae, entre elas, atividade antitumoral,2 antiviral,3 antitérmica, anti-inflamatória4 e estimulante.5 Poincianella pyramidalis (Tul.) L. P. Queiroz (Fabaceae) é uma árvore nativa da região da Caatinga, sendo de ocorrência muito comum no sertão nordestino. Popularmente essa espécie é conhecida como "catingueiro" ou "pau-de-rato", sendo que essa espécie foi a responsável pela criação do termo popular catingueira. Recentemente houve uma reclassificação taxonômica de várias espécies do gênero Caesalpinia reunindo C. pyramidalis no gênero Poincianella.6 Na medicina popular, as folhas de P. pyramidalis são empregadas, pela população, no tratamento de febre, de doenças estomacais e como diurética. Os extratos orgânicos de P. pyramidalis têm apresentado atividade antinociceptiva, anti-inflamatória,7 atividade moluscicida,8 antiproliferativa, antioxidante,9 antimicrobiana e antiparasitária.10

Do ponto de vista químico, em estudos anteriores desta espécie foram relatadas a presença de terpenos, fenilpropanoides, flavonoides e, em especial, biflavonóides.11 No presente trabalho, descrevemos o isolamento e elucidação estrutural de substâncias presentes no extrato MeOH das cascas das raízes e das flores de P. pyramidalis. As substâncias tiveram suas estruturas químicas atribuídas através da análise de espectros de RMN de 1H e 13C e através dos mapas de contorno gHMQC, gHMBC, NOESY, CLAE-DAD, CG/EM, PF, IV, UV e EM.

 

RESULTADOS E DISCUSSÃO

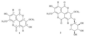
Os fracionamentos cromatográficos realizados no extrato metanólico da casca das raízes permitiram isolar os ácidos 3,3'-dimetoxi-4,4'-dihidroxielágico (1), 3,3'-dimetoxi-4-hidroxielágico-4'-O-β-D-xilopiranosideo (2, Figura 1), a mistura de ésteres metílicos derivados de ácidos graxos (3a-3d), lupeol (4) e a mistura de β-sitosterol/estigmasterol (5a, 5b). Nas flores de P. pyramidalis foram obtidas as misturas de alcoóis graxos (6a-6k), de α-amirina e β-amirinas (7a, 7b), de β-sitosterol/estigmasterol (5a, 5b) e galato de metila (8).

 


Figura 1. Derivados de ácido elágico isolados das cascas das raízes de P. pyramidalis

 

Análise do espectro ESI-EM de alta resolução da substância 2 registrado no modo negativo apresentou íon pseudomolecular em m/z 461,0785 [M - H]-, sugerindo fórmula molecular C21H18O12 (requer 461,0720). Análise do espectro no IV indicou bandas características de grupos hidroxílicos em 3421 cm-1 , deformação axial de hidrogênios ligados a carbono sp3 dos grupos metoxilas em 2958 - 2927 cm-1 e carbonila de lactona insaturada em 1751 cm-1 . No espectro de RMN de 1H da substância 2 pode-se observar dois singletos na região de hidrogênios ligados a sistema aromático (δ 7,65 e δ 7,39) e integrados para um hidrogênio cada. Estes dados, juntamente com os dados de EM, indicaram a presença de dois anéis aromáticos pentassubstituídos. Verificou-se também a presença de um dubleto em δ 5,10 (J = 6,6 Hz) característico de hidrogênio ligado ao C-anomérico de O-glicosídeo, que corrobora devido às multiplicidades dos demais hidrogênios do glicosídeo observadas entre δ 3,15 e δ 3,45. Outros dois singletos referentes a grupos metoxilas (δ 4,06 e δ 4,02) também foram observados e corroboraram com dados no IV. O espectro de RMN de 13C de 2 registrou esses sinais característicos de uma unidade de xilose, incluindo o carbono anomérico em δ 102,6. O espectro de RMN 13C-APT revelou a presença de doze carbonos não hidrogenados, seis metínicos, um metilênico e dois oximetílicos. Os deslocamentos químicos observados para as metoxilas (δ 61,6 e δ 62,3) são indicativos que ambas estão impedidas, ou seja, orto-dissubstituídas. No espectro de RMN de 13C foram registrados sinais similares e característicos de grupos acilas de lactonas (δ 158,7 e δ 158,8) ligadas diretamente a anéis aromáticos. Análise do mapa de contorno gHMQC permitiu correlacionar diretamente os carbonos com os respectivos hidrogênios. No entanto, experimento de gHMBC permitiu estabelecer os sinais que fazem parte de cada unidade aromática. A análise do experimento de NOESY permitiu observar, entre outras, a correlação de H-5' (δ 7,65) com hidrogênio anomérico H-1" (δ 5,12), possibilitando assim localizar o O-glicosídeo na posição 4'. Estes dados possibilitaram caracterizar 2 como ácido 3,3'-dimetoxi-4-hidroxielagico-4'-O-β-D-xilopiranosideo, um metabolito que ocorre especialmente nas famílias Rosaceae12 e Euphorbiaceae,13-15 mas ainda não descrito em espécies da família Fabaceae. A análise por CLAE-DAD das substâncias 1 e 2, submetidas às mesmas condições cromatográficas de análise, registraram espectros no UV idênticos, devido ao cromóforo comum as substâncias em questão, além de tempos de retenção (tR) diferentes. A hidrólise do glicosídeo em 2 seguida de análise por CLAE-DAD, sob as mesmas condições iniciais de análise, apresentou um pico com o mesmo tR quando comparado com a substância 1 (Figura 2). Portanto, os dados de RMN de 1H e de 13C foram suficientes para identificar 1 como ácido 3,3'-dimetoxi-4,4'-dihidroxielágico.

 


Figura 2. Cromatogramas CLAE-DAD da substância 1 (preto) e substância 2 hidrolisada (azul)

 

Os dados de RMN de 1H e de 13C da mistura 3a, 3b, 3c e 3d revelaram a presença de ésteres metílicos derivados de ácidos graxos e sua formação pode estar relacionada com a utilização de MeOH nos procedimentos de extração empregados. A análise direta por CG/EM deste óleo e comparação dos tempos de retenção com o cromatograma do padrão mix C4-C24 FAME foram suficientes para determinar a composição da mistura, como sendo composta majoritariamente por hexadecanoato de metila (3b) e oleato de metila (3c) (Tabela 1).

 

 

A substância 4 e a mistura 5a-5b apresentaram colorações características de substâncias de natureza terpênica e esteroidal quando submetidas ao teste com reagente Liebermann- Burchard. Análise dos dados de RMN de 1H e de 13C da substância 4, juntamente com comparação dos dados descritos na literatura,16 permitiu identificar esta substância como sendo o lupeol. Por outro lado, na mistura 5, os dados de RMN de 1H e de 13C, bem como análise por CCDC com amostra autêntica comprovaram que a mistura era composta por β-sitosterol (5a) e estigmasterol (5b). Essa mistura foi também encontrada no extrato MeOH das flores de P. pyramidalis.

O fracionamento em sílica gel da fase diclorometano das flores de P. pyramidalis seguida de recristalização em hexano possibilitou a obtenção de uma mistura de alcoóis graxos saturados, caracterizados por RMN de 1H. Dentre os sinais característicos, observou-se dois tripletos, um deles integrando para dois hidrogênios oximetilênicos (δ 3,52; J = 6,6 Hz). O tripleto em δ 0,81 (J = 6,9 Hz) também é indicativo de metilas terminais comumente observados em substâncias com cadeia alquílica linear. O espectro no IV corroborou com os dados do RMN, pois foram registradas bandas referentes à deformação axial de grupos hidroxílicos em 3309 cm-1 e de hidrogênios ligados a carbono sp3 na região 2916 - 2848 cm-1 . O espectro de RMN de 13C apresentou nove sinais no total. Dentre os sinais observados, os registrados em δ 63,0 e δ 14,1 confirmam a presença de carbono oximetilênico e metílico terminal, respectivamente. Os demais sinais são referentes às unidades -CH2- (metilênicos) presentes na estrutura carbônica, que a caracterizam como sendo de álcool de cadeia longa. Para identificação dos álcoois foram preparados derivados sililados da mistura.17 Os compostos derivatizados foram analisados por CG/EM e identificados de acordo com as fragmentações propostas a partir dos espectros de massas obtidos, em comparação com espectros existentes no banco de dados (Wiley 229.000) do equipamento e com dados da literatura.18 Antes de caracterizar os componentes na mistura, os espectros de massas (EM) foram analisados e considerados apenas os que possuíam fragmentações características para alcoóis graxos sililados. Após identificar os padrões de fragmentação dos alcoóis graxos foi possível verificar que a mistura era composta de onze alcoóis graxos homólogos (Tabela 2).

 

 

O pico do íon molecular dos derivados sililados dos álcoois graxos nem sempre é registrado. Todavia, o fragmento [M - 15]+ relativo a perda de um radical CH3 é quase sempre intenso no espectros registrados por IE.19

O sobrenadante obtido da recristalização de 6 forneceu uma mistura binária dos triterpenos α-amirina (7a) e β-amirina (7b). Esta mistura foi identificada pela análise dos dados obtidos nos espectros de RMN de 1H e de 13C, comparando-se com aqueles descritos na literatura.16

A substância 8, positiva quando revelada em solução alcoólica de FeCl3 o que indica a presença de grupos fenólicos. A análise por CLAE-DAD da substância 8 com padrão de galato de metila e dados do espectro de RMN de 1H permitiram identificar 8 como sendo o galato de metila.

 

CONCLUSÃO

No presente trabalho foi possível isolar e caracterizar pela primeira vez as substâncias presentes nos extratos metanólicos das cascas das raízes e das flores de P. pyramidalis. Dentre os metabolitos isolados nas cascas das raízes, os ácidos 3,3'-dimetoxi-4,4'-dihidroxielagico (1) e 3,3'-dimetoxi-4-hidroxielagico-4'-β-D-xilopiranosideo (2) têm ocorrência também nas raízes das espécies da família Rosaceae, ex.: Potentilla recta L., Drymocallis rupestris (L.) e Sojak (syn.) P. rupestris L.,12 e nas raízes de espécies da família Euphorbiaceae, ex.: Euphorbia hylonoma,13 E. fischeriana,14 e E. pekinensis.15 Por outro lado, este é o primeiro relato dessas substâncias na família Fabaceae. Nas flores foram encontrados alcoóis graxos, metabolitos incomuns em espécies nativas de climas tropicais. Vários álcoois graxos saturados são encontrados na forma livre nas ceras epiculares de folhas e frutos. Dentre eles o octacosan-1-ol (C28:0) e triacontan-1-ol (C30:0) são os mais comuns.20 No presente trabalho foi observado que estes álcoois, juntamente com o hexacosan-1-ol, são os mais abundantes. A presença de ésteres metílicos de ácidos graxos também não é comum. Todavia, a formação deles pode estar associada aos processos de preparação de extratos utilizando MeOH e cromatografia em sílica gel. Assim, o presente trabalho contribuiu para o conhecimento químico do gênero Poincinella (Caesalpinia), ainda pouco estudado do ponto de vista químico.

 

PARTE EXPERIMENTAL

Procedimentos experimentais

As análises cromatográficas em fase gasosa (CG) foram realizadas utilizando equipamento Hewlett Packard mod. 5890 SERIES II equipado com detector de ionização de chama (FID) e coluna capilar de sílica fundida J & W Scientific DB-5 (30 m x 0.25 mm x 0.25 µm). As análises por CG/EM foram realizadas utilizando aparelho da marca Shimadzu, mod. GC-MS PQ5050A, com coluna capilar de sílica fundida J & W Scientific DB-1 (30 m; 0,25 mm; 0,25 µm). As temperaturas do injetor e detector foram respectivamente 220 ºC e 285 ºC. O hélio foi empregado como gás de arraste a uma vazão de 1 mL/min. O programa de temperatura da coluna iniciou-se a 40 ºC variando até 220 ºC a uma rampa de aquecimento de 4 ºC/min e, em seguida, de 220 ºC até 280 ºC a 2 ºC/min. Os espectros de massas foram obtidos no modo impacto eletrônico (70 eV), 0,84 scan/sec de m/z 40 a 550. Alíquotas de 1,5 µL de uma solução de 5 mg/mL do analito em AcOEt foram injetadas. A identificação foi realizada pela comparação do EM de padrões de massas relatados na literatura,19 bem como pela comparação direta das sugestões dos EM disponíveis na biblioteca Wiley, contemplando apenas as similaridades entre os fragmentos no EM. As análises por CLAE-DAD foram realizadas em aparelho DIONEX, mod. UltiMate 3000 equipado com sistema de bombas quaternária LPG-3400SD, conectado ao Detector de Arranjo Diodos (DAD) mod. VWD-3100 programado para os comprimentos de onda de 240 nm, 265 nm, 270 nm, 320 nm e 360 nm. Coluna em fase reversa (C-18) utilizada foi de procedência DIONEX Acclaim R 120, 5 µm - 120 Å (2,1 x 100 mm). O MeOH empregado foi de grau espectroscópico de procedência Tedia e água Milli-q acidificada com ácido fórmico 0,2%. O fluxo da fase móvel variou de 0,4 a 0,7 mL/min e volume de injeção de 2 a 5 µL. Os espectros no UV foram obtidos em espectrofotômetro Varian Cary 50 Conc - UV-Visible. Os espectros de FT-IR foram obtidos em pastilha de KBr e registrados em espectrômetro Shimadzu IR Affinity - 1. Os experimentos de Ressonância Magnética Nuclear (RMN) de 1H e 13C foram adquiridos em espectrômetro Varian Mercury-300 e Varian Mercury-200. Os mapas de contorno gHMQC e gHMBC, NOESY e COSY foram gerados em espectrômetro Varian INOVA 500 utilizando-se como solventes CDCl3 ou DMSO-d6 (CIL Inc.) e TMS como referência interna. Nas separações em coluna cromatográfica (CC) usou-se sílica gel 60 (Acros), Sephadex LH-20 (Pharmacia), os solventes MeOH, CH2Cl2, CHCl3, AcOEt e hexano, todos de grau analítico da Qhemis, e nas análises em CCDC utilizou-se sílica gel 60 PF254 (Merck) e revelação sob luz UV (254 e 365 nm), reagente Lieberman-Burchard, cloreto férrico e/ou exposição em vapores de iodo.

Material vegetal

As raízes de P. pyramidalis (Tul.) L. P. Queiroz foram coletadas na cidade de Valente - BA (11º24'42.65'' S; 39º27'13.97'' O; elevação de 372 m) e suas flores na cidade de Serra Talhada - PE (7º58'33.88'' S; 38º16'40.14'' O; elevação de 450 m), cujas regiões predominam o bioma Caatinga. A confirmação do espécime foi realizada pela Profª. M. L. da S. Guedes curadora do Herbário Alexandre Leal Costa do Instituto de Biologia da UFBA onde se encontra depositada a exsicata da espécie coletada em Serra Talhada - PE sob o número 71432.

Extração e isolamento

As cascas das raízes (402,8 g) e flores (113,38 g) de P. pyramidalis, após secagem e trituração, foram submetidas à extração continua exaustiva por maceração com MeOH à temperatura ambiente. O percentual extrativo obtido da casca da raiz e das flores de P. pyramidalis foram, respectivamente, 22,8% e 42,5%. O extrato metanólico das cascas das raízes de P. pyramidalis (77,85 g) foi solubilizado em H2O:MeOH (7:3) e submetido à partição com CHCl3. Após a evaporação do solvente a fase clorofórmica (25,40 g) foi solubilizada em MeOH:H2O (95:5) e submetida à partição com hexano. Desta forma, foram obtidas as fases hexânica (1,29 g) e hidroalcoólica (23,92). A fase hidrometanólica, obtida da partição com CHCl3, foi utilizada para obtenção das fases AcOEt (37,09 g) e posteriormente da fase n-butanólica (11,85 g). O fracionado em CC de sílica gel da fase hidroalcoólica (22,95 g) foi eluída em Si gel com CHCl3 aumentando-se gradativamente a polaridade com CHCl3:MeOH, finalizando-se com MeOH. Foram obtidas 98 frações de aproximadamente 100 mL cada e reunidas conforme similaridade em 9 grupos (F1-F9). A fração F4 (4,45 g), resultado das frações 34-36 obtidas em CHCl3:MeOH (9:1), foi purificada em CC de sílica gel eluída com CHCl3:MeOH em gradiente de polaridade, obtendo-se 20 frações de aproximadamente 50 mL cada, reunidas conforme similaridade em 7 grupos (G1-G7). Da fração G5 (281,6 mg), resultado das frações 12-15 obtidas em CHCl3:MeOH (9:1), houve precipitação de um sólido amorfo, que foi separado do sobrenadante por filtração, correspondente a 7,4 mg do ácido 3,3'-dimetoxi-4,4'-dihidroxielágico (1).

A fração F6 (11,88 g), resultado das frações 41-92 obtidas em CHCl3:MeOH (8:2), foi purificada em CC de sílica gel eluída com CHCl3:MeOH em gradiente de polaridade resultando em 86 frações de aproximadamente 50 mL cada, reunidas conforme similaridade em 17 grupos (H1-H17). A fração H5 (774,3 mg), resultado das frações 15-20 obtidas em CHCl3:MeOH (9:1) foi purificada em CC de sílica gel eluída com CH2Cl2 e mistura de CH2Cl2:MeOH em gradiente de polaridade crescente. Foram obtidas 36 frações de aproximadamente 50 mL cada, reunidas conforme similaridade em 9 grupos (I1-I9). A fração I8 (115,1 mg), resultado das frações 30-35 obtidas em CH2Cl2:MeOH (1:1), foi purificada em CC de Sephadex LH-20 eluída com MeOH. Este procedimento forneceu 8 frações de aproximadamente 30 mL cada, reunidas conforme similaridade em 4 grupos (J1-J4). A fração J1 (25,8 mg), resultado das frações 1-2, obteve-se o ácido 3,3'-dimetoxi-4-hidroxielágico-4'-β-D-xilopiranosideo (2).

A mistura de ésteres metílicos derivados de ácidos graxos foi isolada da fase hexano (1,29 g). Esta fase foi purificada em CC de sílica gel utilizando hexano e mistura de hexano:AcOEt em gradiente de polaridade crescente. Foram obtidas 16 frações de aproximadamente 50 mL cada, reunidas conforme similaridade em 7 grupos (K1-K7). Na fração K1 (192,4 mg), resultado da fração 1-2 coletadas em hexano, foi isolada a mistura 3a-d.

A recristalização com hexano da fração K2 (124,3 mg), resultado da fração 3-4 coletadas em hexano:AcOEt (95:5), foi isolado o lupeol (4). A recristalização da fração K3 (252,7 mg), resultado da fração 5 coletada em hexano:AcOEt (95:5), possibilitou o isolamento da mistura β-sitosterol/estigmasterol (5a-b).

O extrato metanólico das flores de P. pyramidalis (44,14 g) foi solubilizado em H2O:MeOH (7:3) e submetido à partição com CH2Cl2 (2,95 g). A fase hidrometanólica foi posteriormente submetida à partição com AcOEt (14,12 g) seguida de n-butanol (9,45 g). O fracionado em CC de sílica gel da fase diclorometânica (2,75 g), eluída com CH2Cl2 e CH2Cl2:MeOH em gradiente de polaridade crescente. Foram obtidas 45 frações de aproximadamente 100 mL cada, reunidas conforme similaridade em 16 grupos (L1-L16). Na fração L4 (89,1 mg), resultado da fração 4 obtida em CH2Cl2, após a evaporação total do solvente observou-se a formação de cristais brancos em meio de material de natureza lipofílica. Utilização do reagente de Lieberman-Burchard permitiu identificar que a mesma poderia ser de natureza terpênica. Portanto, a fração L4 foi submetida à análise de RMN de 1H e 13C do qual observam-se sinais característicos de triterpenos. A fração L4 foi submetida à recristalização em hexano, sendo obtido por filtração um sólido amorfo branco (20,1 mg). Análise de RMN de 1H e 13C permitiu caracterizá-la como mistura de alcoóis graxos (6a-6k).

O sobrenadante da filtração da fração L4 (89,1 mg) após a exclusão dos sinais de RMN de 1H e de 13C dos alcoóis graxos conduziu à caracterização de pelo menos dois triterpenos, α-/β-amirina (7a-b).

A fração L5 (104,9 mg), resultado das frações 5-7 obtidas em CH2Cl2, foi purificada em CC de sílica gel utilizando CH2Cl2 e mistura de CH2Cl2:MeOH em gradiente de polaridade crescente. Foram obtidas 34 frações de aproximadamente 50 mL cada, reunidas conforme similaridade em 8 grupos (M1-M8). Na fração M3 (34,7 mg) foi obtido um sólido cristalino de cor branca. A análise por CCDC das frações M3 e K3 (composta pela mistura de β-sitosterol/estigmasterol) reveladas com reagente de Lieberman-Burchard sugeriu que M3 era constituída da mistura de β-sitosterol/estigmasterol (5a-b).

A fração L11 (500,7 mg), resultado das frações 27-28 coletadas em CH2Cl2:MeOH (95:5), foi purificada em CC de sílica gel eluída com CH2Cl2 e mistura de CH2Cl2:MeOH em gradiente de polaridade crescente. Foram obtidas 34 frações de aproximadamente 50 mL cada, reunidas conforme similaridade em 6 grupos (N1-N6). A fração N4 (199,6 mg), resultado das frações 10-26 coletadas em CH2Cl2:MeOH (99:1), foi purificada em CC de sílica gel eluída com CH2Cl2:MeOH (95:5) em gradiente de polaridade. Foram obtidas 39 frações de aproximadamente 50 mL cada, reunidas conforme similaridade em 5 grupos (O1-O5). Na fração O3 (55,5 mg), resultado das frações 11-12, foi isolado o galato de metila (8).

Ácido 3,3'-dimetoxi-4,4'-di-hidroxielágico (1)

Sólido amorfo amarelo; PF: 144,4-146,0 ºC; RF: 0,48 (CHCl3:MeOH, 9:1); RMN de 1H (300 MHz, DMSO-d6) 7,59 (s, 2H, 5-H e 5'-H), 4,00 (s, 6H, 3-OCH3 e 3'-OCH3)

Ácido 3,3'-dimetoxi-4-hidroxielágico-4'-b-D-xilopiranosideo (2)

Sólido amorfo amarelo; PF: 169,3-171,7 ºC; [α]D: +59 (c 0,14, MeOH); RF: 0,17 (CHCl3:MeOH, 9:1); IV (KBr): 3421, 1751, 2958, 2927 cm-1; UV/Vis λmax (MeOH) nm (log ε): 349 (5,66), 367 (5,95); RMN de 1H (300 MHz, DMSO-d6) δ: 7,39 (1H, s, H-5), 7,65 (1H, s, H-5'), 4,02 (3H, s, 3-OCH3), 4,06 (3H, s, 3'-OCH3), 5,10 (1H, d, J = 6,6 Hz, H-1''), 3,33 (1H, m, H-2''), 3,32 (1H, m, H-3''), 3,42 (1H, m, H-4''), 3,27 (2H, m, H-5''); RMN de 13C (75 MHz, DMSO-d6) δ: 110,9 (C-1), 140,2 (C-2), 141,2 (C-3), 151,9 (C-4), 112,1 (C-5), 111,5 (C-6), 158,7 (C-7), 114,2 (C-1'), 140,7 (C-2'), 142,4 (C-3'), 153,0 (C-4'), 112,5 (C-5'), 112,3 (C-6'), 158,8 (C-7'), 102,6 (C-1''), 73,6 (C-2''), 66,2 (C-3''), 69,9 (C-4''), 76,6 (C-5''), 61,6 (3-OCH3), 62,3 (3'-OCH3). EMAR (ESI modo negativo): 461,0785 [M - H]- (C21H18O12, requer 461,0720).

Reação de Hidrólise

A reação de hidrólise foi efetuada em um balão contendo 5 mg de 2 em solução de EtOH/KOH (100 mL/300 mg). A solução foi submetida a refluxo por 2 horas. Em seguida, a mistura reacional foi concentrada em cerca de 80% utilizando evaporador rotativo seguida de adição de 20 mL de H2O destilada. Foram realizadas extrações com CH2Cl2 (3 x 50 mL) e a fase orgânica obtida foi seca em sulfato de sódio anidro e concentradas sob baixa pressão obtendo 3,4 mg da substância 2 hidrolisada.

Tetradacanoato de metila (a), hexadecanoato de metila (b), oleato de metila (c) e octadecanoato de metila (d) (3a-3d)

Óleo viscoso amarelo; RF: 0,92 (CHCl3-MeOH, 99:1); CG/EM: (ver material suplementar).

Docosan-1-ol (a), tricosan-1-ol (b), tetracosan-1-ol (c), pentaconan-1-ol (d), hexacosan-1-ol (e), heptacosan-1-ol (f), octacosan-1-ol (g), nonacosan-1-ol (h), triacontan-1-ol (i), hentriacontan-1-ol (j) e dotriacontan-1-ol (k) (6a-6k).

Sólido amorfo branco; PF: 78,0-78,5 ºC; IV (KBr): 3309, 2916, 2848 cm-1; RMN de 1H e RMN de 13C; CG/EM: (ver material suplementar).

Reação de sililação

A reação de sililação foi realizada adicionando-se 2 mg da mistura das substâncias 6a-6k num vial seguida de adição de 20 mL de piridina. A solução foi mantida sob leve agitação à temperatura ambiente. Em seguida, foi adicionada a solução contendo 100 µL de N,O-Bis(trimetilsilil)trifluoroacetamida (BSTFA) em 1% de trimetilclorosilano (TMCS) e o sistema reacional foi mantido à 80 ºC por 20 minutos. Após a evaporação do solvente foi obtida a mistura 6a-6k sililada.

 

MATERIAL SUPLEMENTAR

Disponível em http://quimicanova.sbq.org.br, na forma de arquivo PDF, com acesso livre.

 

AGRADECIMENTOS

À CAPES, CNPq, FABESP/PRONEM e PRONEX/NQAA/FAPESB pelas bolsas e auxílio financeiro, e ao LTF-UFPB pelos espectros de RMN.

 

REFERÊNCIAS

1. Nascimento, I. A.; Braz-Filho, R.; Carvalho, M. G.; Mathias, L.; Fonseca, F. A.; Quim. Nova 2012, 35, 2159. DOI: http://dx.doi.org/10.1590/S0100-40422012001100010

2. Muller, B. M.; Kraus, J.; Franz, G.; Planta Med. 1989, 55, 536. DOI: http://dx.doi.org/10.1055/s-2006-962088 PMID: 2616672

3. Sydiskis, R. J.; Owen, D. G.; Lohr, J. H.; Rosler, K. H. A. Blomster, R. N.; Antimicrob. Agents Chemother. 1991, 35, 2463. DOI: http://dx.doi.org/10.1128/AAC.35.12.2463 PMID: 1810179

4. Chopra, R. N.; Nayar, S. L.; Chopra, I. C.; Glossary of Indian Medicinal Plants, Council of Scientific and Industrial Research, New Dheli, 1956.

5. Mendonça, D. E.; Onofre, S. B.; Rev. Bras. Farmacogn. 2009, 19, 577. DOI: http://dx.doi.org/10.1590/S0102-695X2009000400012

6. Queiroz, L. P.; Leguminosas da Caatinga, 1ª ed.; Editora Universitária da UEFS: Feira de Santana, 2009.

7. Santos, C. A.; Passos, A. M. P. R.; Andrade, F. C.; Camargo, E. A.; Estevam, C. S.; Santos, M. R. V.; Thomazzi, S. M.; Rev. Bras. Farmacogn. 2011, 21, 1077. DOI: http://dx.doi.org/10.1590/S0102-695X2011005000007

8. Santos, E. A.; Carvalho, C. M.; Costa, A. L. S.; Conceição, A. S.; Moura, F. B. P.; Santana, A. E. G.; Evidence-Based Complementary Altern. Med. 2012, 2012, Article ID 846583, doi: 10.1155/2012/846583 DOI: http://dx.doi.org/10.1155/2012/846583

9. Melo, J. G.; Araújo, T. A. S.; Almeida E Castro, V. T. N.; Cabral, D. L. V.; Rodrigues, M. D.; Nascimento, S. C.; Amorim, E. L. C.; Albuquerque, U. P.; Molecules 2010, 15, 8534. DOI: http://dx.doi.org/10.3390/molecules15128534

10. Saraiva, A. M.; Saraiva, C. L.; Gonçalves, A. M.; Soares, R. R.; Mendes, F. O.; Cordeiro, R. P.; Xavier, H. S.; Pisciottano, M. N. C.; Braz. J. Pharm. Sci. 2012, 48, 147; Borges-dos-Santos, R. R.; López, J. A.; Santos, L. C.; Zacharias, F.; David, J. M.; David, J. P.; Lima, F. W. de M.; Evidence-Based Complementary Altern. Med. 2012, 2012, Article ID 510391, doi: 10.1155/2012/510391 DOI: http://dx.doi.org/10.1590/S1984-82502012000100016

11. Mendes, C. C.; Bahia, M. V.; David, J. M.; David. J. P.; Fitoterapia, 2000, 71, 205; Bahia, M. V.; dos Santos. J. B.; David, J. P.; David, J. M.; J. Braz. Chem. Soc. 2005, 16, 1402; Bahia, M. V.; David, J. P.; David, J. M.; Quim. Nova 2010, 33, 1297. DOI: http://dx.doi.org/10.1016/S0367-326X(99)00145-8

12. Tomczyk, M.; Biochem. Sys. Ecol. 2011, 39, 893. DOI: http://dx.doi.org/10.1016/j.bse.2011.07.006

13. Guo, Z.; Xu, Y. Han, L.; Bo, X.; Huang, C.; Ni, L.; J. Med. Plants Res. 2011, 5, 5584.

14. Yu, M.; Hou, A.; Zhongguo Zhongyao Zazhi. 2010, 35, 3002.

15. Zeng, Y.; Hou, P-Y; Ma, B-J; Gu, L-Q; Bi, K-S; Chen, X-H.; Shenyang Yaoke Daxue Xuebao 2013, 30, 178.

16. Mahato, S. B.; Kundu, A. P.; Phytochemistry 1994, 37, 1517. DOI: http://dx.doi.org/10.1016/S0031-9422(00)89569-2

17. Barbosa, L. C. A.; Maltha, C. R. A.; Cruz, M. P.; Belinelo, V. J.; Milanez, A. F.; O Papel. 2005, 66, 72; Cruz, M. P.; Barbosa, L. C. A.; Maltha, C. R. A.; Gomide, J. L.; Milanez, A. F.; Quim. Nova 2006, 29, 459.

18. Adams, R. P.; Identification of Essential Oil Components by Gas Chromatography/Mass Spectroscopy, 4th ed., Allured Publishing Corporation: Illinois, 2007.

19. Silverstein, R. M.; Webster, F. X.; Kiemle, D. J.; Spectrometric Identification of Organic Compounds, 7th ed., John Wiley & Sons, Inc. 2005.

20. Baker, E. A. In The Plant Cuticle; Cutler, D. F.; Alvin, K. L.; Price, C. E., eds.; Academic Press: London. 1982.

On-line version ISSN 1678-7064 Printed version ISSN 0100-4042
Qu�mica Nova
Publica��es da Sociedade Brasileira de Qu�mica
Caixa Postal: 26037 05513-970 S�o Paulo - SP
Tel/Fax: +55.11.3032.2299/+55.11.3814.3602
Free access

GN1