JBCS



12:31, sáb out 25

Acesso Aberto/TP



Revisão


Materiais vítreos e luz: parte 2
Glassy materials and light: part 2

Marcelo NalinI,*; Sidney J. L. RibeiroI; Danilo ManzaniI; Rogéria Rocha GonçalvesII; Gael PoirierIII; Fabia Castro CassangesIII; Christiano J. S. de MatosIV; Cleber R. MendonçaV; Leonardo de BoniV; Lino MisogutiV; Oscar MaltaVI; Yannick LedemiVII; Sandra MessaddeqVII; Younes MessaddeqVII

IInstituto de Química, Universidade Estadual Paulista, CP 355, 14800-060, Araraquara - SP, Brasil
IIDepartamento de Química, Faculdade de Filosofia Ciências e Letras de Ribeirão Preto, Universidade de São Paulo, 14040-901 Ribeirão Preto - SP, Brasil
IIIInstituto de Ciência e Tecnologia, Universidade Federal de Alfenas, Campus de Poços de Caldas, 37715-400 Poços de Caldas - MG, Brasil
IVUniversidade Presbiteriana Mackenzie, 01302-907 São Paulo - SP, Brasil
VInstituto de Física de São Carlos, Universidade de São Paulo, 13566-590, São Carlos - SP, Brasil
VIDepartamento de Química, Universidade Federal de Pernambuco, 50740-560, Recife - PE, Brasil
VIICenter for Optics Photonics and Laser, Université Laval, Quebec, Canadá

Recebido em 03/06/2015
Aceito em 22/10/2015
Publicado na web em 05/02/2016

Endereço para correspondência

*e-mail: mnalin@iq.unesp.br

RESUMO

In this second part it will be discussed some photonic applications of glassy and glass ceramic thin films which can be used as planar waveguides. Some photonic applications require certain specifications of glass, which can be quantified by studying the nonlinear optical properties of the materials. Therefore, a brief introduction of these phenomena is discussed, as well as the use of femtosecond lasers to manipulate the composition or for the preparation of waveguides into glasses. Finally, the article will address a brief introduction on microstructured optical fibers and commercial application prospects for these devices.

Palavras-chave: glasses; thin films; femtosecond lasers; microstructure; optical fiber; sensors.

INTRODUÇÃO

Iniciaremos a segunda parte deste artigo falando um pouco sobre filmes finos vítreos e vitrocerâmicos com aplicações fotônicas. Em seguida será feita uma breve introdução sobre óptica não linear, pois o conhecimento nesta área é essencial para preparação de alguns dispositivos ópticos usando materiais vítreos. Também será abordada a utilização de lasers de femtosegundos para a preparação de guias nos vidros e filmes. Finalmente, será apresentada uma introdução e algumas aplicações de fibras ópticas microestruturadas. Desta forma iniciaremos com uma introdução sobre filmes e aplicações destes materiais.

Filmes

Filmes são estruturas fundamentais nos dispositivos fotônicos e biofotônicos, e o elemento principal em óptica integrada para aplicação em áreas como telecomunicações, energia, ambiental, saúde, visando atender a algumas demandas atuais como fontes alternativas de energia, economia de energia, eficiência e produção industrial limpa, redução de impacto ambiental, comunicações rápidas e eficientes, entre outras.1-5 O desenvolvimento de novos materiais fotônicos pode contribuir para novas soluções técnicas para problemas ainda não resolvidos, ou ser a base para aplicações ainda não imaginadas.2 Dependendo da composição e estrutura, os filmes podem atuar nos circuitos integrados como guias de onda passivos ou ativos, como lasers, filtros, filmes refletores ou antirrefletores, conversores de energia em células solares, sensores, entre outros.

Dispositivos de óptica integrada: amplificadores ópticos

Hoje em dia há uma elevada difusão de redes ópticas até os consumidores finais, motivando o desenvolvimento de dispositivos ópticos compactos e integrados complementares aos dispositivos fotônicos já existentes no mercado para aplicações em telecomunicações. Os circuitos de óptica integrada podem desempenhar um papel importante na fabricação de dispositivos ópticos para rede local (local area network - LAN). Um dos pontos principais sobre o desenvolvimento desses circuitos fotônicos está na possibilidade de agregar divisores, multiplexadores, amplificadores e outros componentes ópticos em um único dispositivo, apresentando ainda um tamanho reduzido em relação às fibras ópticas.6 Com relação aos guias de onda planares ativos (dopados com lantanídeos), que podem atuar como amplificadores ópticos em telecomunicações, o grande desafio da aplicação tecnológica em circuitos fotônicos está justamente na miniaturização. Essa variação no caminho óptico, de metros no caso de fibras ópticas para milímetros no caso de filmes, faz com que a concentração de íons ativos nos circuitos fotônicos seja de pelo menos duas ordens de grandeza maiores, promovendo uma diminuição da distância íon-íon, e processos de transferência de energia não radiativa como relaxação cruzada, migração de energia e processos cooperativos de conversão ascendente de energia podem ocorrer, competindo diretamente com os processos de emissão. A escolha da matriz representa um dos desafios desta área de pesquisa, devendo apresentar elevada solubilidade de íons lantanídeos para evitar processos de supressão de luminescência por estes mecanismos de transferência de energia. Devem ser levados em conta ainda os modos vibracionais da matriz, já que uma alta energia de fônon pode levar a desativação dos estados excitados dos íons lantanídeos por relaxação radiativa via multifônons da rede. Desta maneira, a optimização da composição química e desenvolvimento de processos de fabricação inovadores, a fim de reduzir os custos, impacto ambiental e aumentar o desempenho dos dispositivos representam o foco da pesquisa atual nesta área.

Hoje os principais sistemas operam na chamada terceira janela de telecomunicações que é subdividida nas bandas S (1460-1530 nm), C (1530-1565 nm) e L (1565-1625 nm), como representado na Figura 1. A série dos lantanídeos nos proporciona inúmeras possibilidades para amplificação óptica uma vez que apresenta uma série de linhas de emissão em uma vasta região espectral. Desta maneira, torna-se possível encontrar íons perfeitamente adequados às regiões do espectro eletromagnético utilizadas pelas telecomunicações, como por exemplo, a utilização de Er3+ para amplificação em 1,5 µm e Tm3+ em 1,4 µm.7,8

 


Figura 1. Atenuação de uma fibra óptica de SiO2 e bandas de emissão de alguns íons lantanídeos em diferentes matrizes. Adaptada da ref. 8

 

Dentre as matrizes utilizadas para amplificação óptica em 1,5 µm, os sistemas vítreos e vitrocerâmicos à base de SiO2 dopados com íons Er3+ tem sido bastante utilizados, devido especialmente à sua transparência na região de 0,2 a 2,5 µm, durabilidade química e estabilidade mecânica, além do uso já estabelecido da SiO2 em fibras ópticas. No entanto, as principais desvantagens são a alta energia de fônon (da ordem de 1000 a 1200 cm-1) e a baixa solubilidade de íons terra rara. Como citado anteriormente, um dos aspectos fundamentais da eficiência de emissão está relacionado ao controle dos processos não-radiativos. Uma alternativa encontrada por alguns autores foi localizar os íons lantanídeos em um microambiente de menor energia de fônon como alguns óxidos de metais de transição: TiO2,9 ZrO2,10-12 HfO2,13-15 SnO2,16 Ta2O5,17-19 Nb2O520,21 e laponita.22

A expansão de redes de telecomunicações tem promovido o desenvolvimento de novos materiais, especialmente aqueles que possam operar em mais de uma região, possibilitando o aumento de canais de transmissão de sinais. Com isto, na literatura encontramos diferentes estratégias e/ou materiais com propriedades espectroscópicas adequadas para operar tanto na banda C como banda L e S. Recentemente, foram demonstrados resultados promissores quanto à luminescência na região do infravermelho próximo em guias de onda planar, especialmente para aplicação como amplificadores ópticos para sistemas de telecomunicações17-21 de materiais a base de SiO2 preparados por sol gel contendo nanocristais de óxido de tântalo ou óxido de nióbio dopados com íons Er3+. A Figura 2, adaptada,19 mostra um alargamento na banda de emissão para o sistema vitrocerâmico contendo nanocristais de Ta2O5, com uma largura de banda a meia altura (FWHM) variando de 64 a 92 nm à medida que se aumenta a concentração de óxido de tântalo. Embora se tratando de sistemas silicatos, os valores de FWHM são comparáveis aos sistemas vítreos à base de óxido de telúrio. Esta emissão, não usual em sistema vitrocerâmico, pode ser explicada analisando a estrutura complexa do óxido de tântalo, e permite a obtenção de largura de banda apreciável para aplicação nas bandas S, C, L em sistemas silicatos.

 


Figura 2. Espectros de emissão de Er3+ em guias de onda planar de sistemas nanocompositos de SiO2-Ta2O5 na região do infravermelho próximo (banda S, C e L usada em telecomunicações). Adaptada da ref. 19

 

Sensores

Sensores fotônicos estão se tornando cada vez mais atrativos em aplicações nas mais diversas áreas como química, medicina, biotecnologia, automotiva, aeronáutica, aeroespacial entre outras.4,5 De uma maneira geral, sensores ópticos apresentam uma série de vantagens oferecendo alta sensibilidade, seletividade em comprimento de onda, imunidade a interferência eletromagnética e tem sido amplamente usado em aplicações industriais, ambientais e biomédicas. Recentemente, um enorme interesse tem sido voltado à fabricação de dispositivos usando plataformas de óptica integrada (lab-on-a-chip). Guias de onda ópticos (fibra óptica e guia de onda planar) têm sido amplamente usados como sensores químicos, bioquímicos, biológicos4,5,23,24 usando especialmente superfícies funcionalizadas com corantes químicos, marcadores fluorescentes ou receptores biológicos permitindo seletividade na detecção de determinado analito.23 Em alguns estudos, a utilização de bio-sensores que utilizam plataforma de guias de onda planar com redes de difração para injeção da luz, permitem a detecção de uma vasta gama de biomoléculas, componentes celulares e células cancerígenas.5

Dispositivos fotônicos na astronomia

Um dispositivo de óptica integrada da indústria de telecomunicações foi usado como base para a validação de um novo método interferométrico na astronomia, abrindo caminho para instrumentos miniaturizados de nova geração com alta eficiência. A Figura 3 apresenta o dispositivo de óptica integrada usado para as combinações de feixes no Infrared Optical Telescope Array (IOTA).25

 


Figura 3. Esquema do interferômetro IOTA usando uma plataforma de guia de onda planar. Adaptado da ref. 25

 

Conversores de energia e concentradores solares

Com relação à área de energia, podemos citar uma das mais recentes e importantes aplicações de filmes como conversores de energia e concentradores solares visando aumentar a eficiência de células fotovoltaicas.3,26 Esses dispositivos são constituídos por uma matriz opticamente transparente contendo centros ativos que absorvem a radiação incidente com subsequente emissão em comprimento de onda específico seguido de transferência por reflexão interna total para as células fotovoltaicas (PV) localizadas nas extremidades da matriz, como esquematizado na Figura 4.3 Filmes dopados com alguns íons lantanídeos trivalentes (Ln3+) podem ser usados para a conversão de energia e aumento da eficiência em células fotovoltaicas, seja por processos de conversão ascendente de energia (upconversion) ou conversão descendente de energia (downconversion ou downshifting).3,26,27

 


Figura 4. a) Esquema dos principais mecanismos envolvidos nos concentradores solares. B,c,d e e) Fotografias de alguns concentradores solares luminescentes à base de filmes contendo complexos de íons lantanídeos, após irradiaçao no UV (365 nm). Adaptado da ref. 3

 

A Figura 5 mostra o espectro de radiação solar padrão (AM1.5G) e as frações do total de energia disponíveis para downconversion e/ou para downshifting e upconversion que podem ser usadas para aumentar a eficiência de células solares por exemplo a base de Silício.26,27 A preparação de guias de ondas planares, dopados com específicas terras raras, resulta em um aumento significativo da eficiência de células solares combinando ambas funcionalidades como conversores e concentradores solares.

 


Figura 5. Espectro de irradiância solar padrão (AM1.5G)28 e as frações do total de energia disponíveis para downconversion (DC) e/ou para downshifting e de upconversion (UC)

 

Lasers

Outro exemplo de aplicação de filmes é a fabricação de lasers.29 A Figura 6 delineia o primeiro laser preparado usando um guia de onda planar microestruturado à base de sílica-hafnia dopado com íons Nd3+ preparado por sol-gel.29 Com uma potência de saída de 2,45 mW, 3 cm de comprimento e uma espessura de 604 nm, o dispositivo tem potencial para ser usado como sensor (evanescent field sensing) em uma única plataforma integrada.

 


Figura 6. Esquema do laser em guia de onda de silica-hafnia dopado com Nd3+ obtido por sol-gel. A rede externa à esquerda é usada para entrada e saída do bombeio. A cavidade é constituída por uma rede parcialmente refletora à esquerda e uma rede totalmente refletora na face direita. Adaptado da ref. 29

 

Guias de onda planar com eficiente conversão ascendente de energia podem ainda ser interessantes para a produção de sistema laser compacto que emitem na região do visível, utilizando lasers de diodo de baixo custo como fonte de excitação. A distribuição de íons lantanídeos em sítios de baixa energia de fônon justifica a elevada intensidade de emissão por conversão ascendente de energia em filmes de SiO2-Ta2O5 contendo nanocristais de Ta2O5 codopados com ions Er3+/Yb3+, Figura 7.30

 


Figura 7. Conversao ascendente de energia, com emissao de luz verde e vermelha, após excitaçao em 980 nm em um guia de onda planar nanoestruturado de SiO2-Ta2O5: Er3+/ Yb3+. Adaptado da ref. 30

 

Óptica não linear em materiais vítreos: fundamentos e técnicas experimentais

Como introduzido no início do artigo, algumas aplicações fotônicas de materiais vítreos possuem relação intima com bases fundamentadas na física e algumas técnicas, não tão convencionais, são necessárias tanto para a caracterização como para a avaliação do potencial de aplicação destes materiais. Dessa forma, uma breve introdução sobre os fenômenos não lineares e as técnicas necessárias para sua caracterização será feita a seguir.

O estudo de aspectos fundamentais de processos ópticos não lineares vem recebendo bastante atenção devido ao seu potencial para aplicações. Esta área também tem sido impulsionada pela disponibilidade de lasers com pulsos de femtossegundos (fs), os quais apresentam altas intensidades de pico. A espectroscopia não linear de materiais é uma área de pesquisa em crescente desenvolvimento, principalmente no que diz respeito ao estudo e determinação de processos não lineares, refrativos e absortivos, espectralmente abrangentes, o que possibilita um melhor entendimento dos aspectos fundamentais dos materiais.

A área de espectroscopia óptica não linear é bastante ampla e pode envolver o estudo de diferentes materiais, bem como de diferentes processos não lineares. No que diz respeito aos materiais vítreos, nos últimos anos a pesquisa em óptica não linear tem objetivado o desenvolvimento de materiais com efeitos pronunciados. Dentre os materiais mais promissores destacam-se os vidros com altos índices de refração que, normalmente, apresentam metais pesados em sua composição.31 Vidros baseados em óxido de silício bem como em óxido de germânio, óxido de bismuto, vidros calcogenetos, etc., são importantes classes de materiais ópticos, oferecendo tanto oportunidade para a pesquisa básica quanto aplicada. Ademais, a introdução de nanopartículas em materiais vítreos pode levar ao engrandecimento de efeitos ópticos não lineares.32-35 Em outras palavras, materiais vítreos oferecem grande flexibilidade para modificação da resposta não linear através da manipulação de sua composição.

Neste contexto, há uma grande demanda de estudo tanto da refração quanto de absorção não linear em vidros, principalmente através das técnicas de varredura-Z.36 Outras técnicas complementares como por chave Kerr óptica,34 geração de terceiro harmônico e mais recentemente rotação da polarização elíptica37 vem sendo usadas. Normalmente, as não linearidades eletrônicas instantâneas são predominantes no regime de pulsos de fs, no entanto, processos térmicos e ressonantes podem aparecer dependendo do comprimento de onda, duração do pulso e da taxa de repetição do laser.

Introdução a óptica não linear

Quando campos eletromagnéticos intensos, da ordem dos campos interatômicos (~108 V/cm), incidem na matéria, efeitos ópticos não lineares são originados. Nesse caso, a polarização induzida no meio passa a ser descrita em termos de uma série de potências do campo elétrico:38,39

em que o primeiro termo representa a polarização linear do meio e os demais termos estão relacionados à polarização não linear induzida pelo campo no material. Cada termo origina diferentes processos ópticos. Por exemplo, observa-se o aparecimento do índice de refração não linear, n2, a partir da parte real de χ(3).38,39 Da parte imaginária, é possível descrever o efeito de absorção de dois fótons.38,39

Índice de refração não linear e automodulação de fase

Um dos processos não lineares de interesse é o efeito Kerr óptico,38 no qual o índice de refração do material passa a ser dependente da intensidade, de acordo com:

Sendo I a intensidade de luz incidente no material e n2 o índice de refração não linear, o qual está diretamente relacionado com a parte real de χ(3), n2 = 3Re(χ(3))/4n02ε0, em que ε0 é a permissividade elétrica do vácuo e n0 é o índice de refração linear do material. Em consequência da distribuição radial do índice de refração, ocorre o efeito de automodulação de transversal fase, ou seja, a luz passa a apresentar uma variação de fase radial dada por Δφ(r) = kn2I(r)L, em que k é o módulo do vetor de onda no vácuo, e L é a espessura do material. Essa alteração na fase do campo elétrico gera uma curvatura positiva ou negativa na frente de onda, dependendo do sinal de n2, levando a autofocalização ou autodesfocalização do feixe, como ilustra a Figura 8.

 


Figura 8. a) Representação dos efeitos de autofocalização e b) autodesfocalização

 

Absorção não linear de dois fótons

A absorção de dois fótons foi observada pela primeira vez por Kaiser e Garrett em 196139 sendo atualmente utilizada no desenvolvimento de dispositivos. Além disso, a absorção de dois fótons permite um maior entendimento de aspectos específicos da interação luz-matéria, relevantes para aplicações.

Quando um material absorve simultaneamente dois fótons, que combinados dão a diferença de energia entre os estados envolvidos na transição, a absorção total do material passa a ser escrita com α(I) = α0 + βI, sendo β o coeficinete de absorção de dois fótons que está relacionado com a parte imaginária de χ(3) por:36

sendo c a velocidade da luz no vácuo.

A seção de choque de absorção de dois fótons, δ ou σ2, esta relacionada com o coeficiente de absorção de dois fótons através da relação β = δN0/ħω, sendo N0 a densidade de absorvedores.

Varredura-Z

A técnica de varredura-Z36 é uma das mais difundidas para a determinação tanto da refração quanto da absorção não linear em materiais. Num experimento de varredura-Z refrativo se mede a potência transmitida através de uma abertura, quando um feixe gaussiano focalizado atravessa uma amostra que se move ao longo do seu eixo de propagação (Figura 9a). Para a eliminação de efeitos lineares, a potência transmitida para a amostra numa posição z é dividida pela potência transmitida quando a amostra está distante do foco T(z)=P(z)/P(z). Assim, o resultado observado é uma curva da transmitância normalizada, T(z), em função da posição z da amostra,48 conforme ilustra a Figura 9a.

 


Figura 9. a) Técnica de varredura-Z refrativa. A linha azul ilustra o resultado para n2 > 0, enquanto a linha vermelha hachurada para n2 < 0. b) Técnica de varredura-Z absortiva (remoção da abertura) e sua curva característica para processo de absorção multifotônica

 

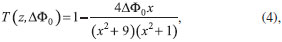
Consideremos um meio tipo Kerr (equação 2), a análise da curva de transmitância normalizada (Figura 9a) permite determinar n2. A sensibilidade da técnica à refração não linear deve-se à abertura, e sua remoção elimina o efeito. A equação fundamental para a técnica de varredura-Z refrativa é:

em que, ΔΦ0 = kΔnLeff, x = z/z0, Leff é o comprimento efetivo da amostra (Leff = (1-e-αL/α), L é o comprimento da amostra, z0 parâmetro de Rayleigh, z a posição da amostra e α é a absorção linear da amostra.

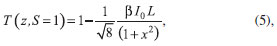
No experimento de varredura-Z de absorção (Figura 10b), o que se mede é a potência total transmitida (fenda abertura) em função da posição da amostra. No foco a intensidade é máxima e para o caso de um processo de absorção de dois fótons (A2F) (β > 0) a transmitância do feixe é mínima. Através do sinal de varredura-Z de absorção, conforme ilustra a Figura 9b, pode-se determinar o valor de β. Para pequenas não linearidades, a transmitância obtida pela varredura-Z de absorção é descrita por

 


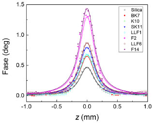
Figura 10. Resultados de medida de RNLPE em diferentes vidros ópticos (mesma espessura -1 mm) nas mesmas condições experimentais. A linha contínua é um ajuste teórico utilizando uma função Lorentziana relativo ao perfil de irradiânia do feixe em função de z

 

em que L é o comprimento da amostra e I0 é a intensidade do pulso no plano focal.36 Assim, o coeficiente de A2F, β, pode ser encontrado através do ajuste da equação 5 aos dados experimentais. A seção de choque de A2F, δ, é obtida a partir do valor experimental do coeficiente de A2F. Geralmente δ é expresso em unidades de Göppert-Mayer (GM), com 1 GM = 1×10-50 cm4 s moléculas-1 fóton-1. Outras expressões devem ser usadas para o ajuste de processos multifotônicos de ordem mais alta.40 As medidas de refrações (n2) e absorções não lineares (β) permitem determinar o potencial de aplicação em dispositivos fotônicos.

Devemos enfatizar que diferentes condições experimentais podem gerar diferentes tipos de resposta. As susceptibilidades não lineres dependem fortemente do comprimento de onda. A taxa de repetição e a duração do pulso do laser têm também grande importância.

A técnica de varredura-Z é realizada usando como fonte de excitação sistemas laser de fs, usualmente de Ti:safira, bem como com amplificadores paramétricos ópticos (APO). Lasers de Ti:safira produzem pulsos de fs, tipicamente em torno de 800 nm, com diferentes taxas de repetição e duração (~150 fs até ~20 fs). Os APOs permitem sintonizar o comprimento de onda, o que possibilita a espectroscopia não linear. Pode-se ainda utilizar a técnica de varredura-Z com luz branca (VZLB), que permite a obtenção de efeitos não lineares espectralmente abrangentes em uma única varredura.

Rotação não linear da polarização elíptica e geração de terceiro harmônico

Outra técnica utilizada para estudar processos de refração não linear é rotação não linear da polarização elíptica (RNLPE).37 Diferentemente da varredura-Z, ela depende de outros coeficientes da susceptibilidade não linear,39 o que permite identificar não só a magnitude da refração, mas também sua origem, além de ser menos sensível à heterogeneidade da amostra. A equação que rege a RNLPE é:37

em que α é ângulo de rotação da polarização elíptica, θ é a elipticidade do feixe (θ = tgφ, φ = ângulo da lâmina de quarto-de-onda), L a espessura da amostra, I a irradiância do feixe laser e n2 é a não linearidade refrativa da amostra.

Tanto para a técnica de varredura-Z quanto para a de RNLPE, efeitos não lineares de diferentes origens podem ser observados simultaneamente caso algo não seja feito para a distinção dos mesmos. No entanto, para o processo de geração de terceiro harmônico (GTH) não há dúvida quanto à origem instantânea da não linearidade. Esse processo, portanto, atrai bastante interesse para obtenção da susceptibilidade de terceira ordem instantânea (χ(3) (-3ω; ω, ω, ω)).

Embora a técnica de RNLPE ainda esteja em fase de desenvolvimento, mas apresenta grande potencial para caracterização de materiais. Para ilustrar a medida de não linearidade refrativa usando a técnica de RNLPE, na Figura 10 mostramos resultados para 7 vidros ópticos e para a sílica fundida utilizando pulsos de 150 fs em 775 nm com taxa de repetição de 1 kHz. Numa medida comparativa, usamos as mesmas condições experimentais do feixe laser como mesma irradiância (I0 = 53 GW/cm2), elipticidade de 0,414, que foi obtido com o uso de uma lâmina de onda ajustado em um ângulo φ = 22,5º, e mesma lente com f = 17 cm (z0 = 0,15 cm, w0 = 19 µm). Essa elipticidade foi escolhida por proporcionar o melhor sinal ruído.37

Os valores determinados para as não linearidades através da técnica de RNLPE estão em boa concordância com os obtidos por outros métodos, considerando os erros experimentais de cada método. As eventuais discordâncias podem ser resultados de contribuições da A2F que não foram levadas em conta nestes experimentos.

Microfabricação em materiais vítreos com pulsos de femtossegundos

Pulsos laser de femtossegundos vêm sendo utilizados na microestruturação de materiais, graças à interação não linear da luz com a matéria. De maneira geral, as intensidades alcançadas com estes pulsos resultam na modificação das propriedades do material no foco, o que leva à obtenção de estruturas que podem ser exploradas em aplicações.41-43

A interação de pulsos ultracurtos com a matéria e sua consequente modificação é constituída por processos físicos que ocorrem em distintas escalas temporais. Após a excitação dos portadores, uma fração da energia absorvida pelos elétrons é transferida para a rede em uma escala de picossegundos (termalização). Em seguida, uma onda de choque é gerada no volume focal, numa escala de nanossegundos. A difusão do calor a partir do volume focal, por exemplo, ocorre na escala de microssegundos. Como resultado, fusão ou processos não térmicos podem gerar alterações estruturais, as quais vêm sendo exploradas em microfabricação.44

Portanto, fica claro que a maneira pela qual a energia luminosa é convertida em alteração da amostra, bem como a escala temporal da luz influencia a microfabricação. Embora danos induzidos por laser venham sendo estudados por muito tempo,45 as modificações obtidas com pulsos laser de nano e picossegundos são bem distintas daquelas obtidas com pulsos de femtossegundos.

Uma vez que o tempo de espalhamento elétron-fonon é da ordem de 1 ps, quando pulsos de femtossegundos são utilizados estes terminam antes que os elétrons excitem termicamente a rede. Assim, a difusão de calor para fora do foco é minimizada, aumentando a precisão da fabricação.46 Dada a reprodutibilidade e resolução alcançadas na excitação não linear, as modificações induzidas por pulsos de femtossegundos podem ser utilizadas para aplicações.41-43,44-47

Os sistemas experimentais utilizados em microfabricação com pulsos de fs, de maneira geral, focalizam o feixe laser na amostra, que é então movimentada para produzir as estruturas desejadas. Alternativamente, pode-se realizar a varredura do feixe na amostra, que neste caso permanece fixa. Portanto, a escolha da objetiva é um parâmetro importante para que se atinja o resultado desejado. Além disso, parâmetros associados ao laser, como taxa de repetição, duração e energia do pulso também afetam a estruturação.41 Em geral, laseres de femtossegundos de Ti:safira, operando em 800 nm, são utilizados para este tipo de microfabricação.42,48-50

Uma vez que o processo de microfabricação com pulsos ultracurtos se dá via uma interação não linear, ele dependente da intensidade, a qual é determinada pela duração do pulso laser, τ, a energia do pulso, E, e a abertura numérica da objetiva, NA. Para um comprimento de onda fixo, a intensidade está relacionada com τ, E e NA através de:51

Tem sido observado que a intensidade limiar para microfabricação, Ilim, depende pouco da duração do pulso τ,52 o que confere flexibilidade na escolha do laser.

Para τ e NA fixos, o processo de microfabricação será basicamente dependente de E. Neste caso, a energia mínima necessária para que haja absorção não linear e, consequentemente, alteração nas propriedades do material é denominada de energia limiar. Muito comumente se mantém a energia de excitação próxima a esse limiar, de tal forma que a mudança no índice de refração produzida pela absorção não linear seja confinada ao volume focal. Embora a magnitude da mudança do índice de refração dependa do material, tipicamente são observados valores da ordem de 10-3,48,50,53 ou seja, da mesma ordem daqueles obtidos em fibras ópticas. Para valores de E acima do limiar há um aumento da energia do plasma que leva à repulsão Coulombiana, resultando em ablação ou formação vazios.54

A dimensão da estruturação produzida pode ser controlada ainda através da alteração da NA, uma vez que esta afeta o volume focal. Para valores de NA abaixo de 0,1, tanto a geração de luz branca quanto a autofocalização competem com a deposição de energia, afetando o controle sobre o processo.48,51-53,55 Por outro lado, para NAs próximas de 1,0 as intensidades alcançadas permitem a microfabricação com pulsos de femtossegundos com baixa energia, as quais podem ser conseguidas com osciladores laser de altas taxas de repetição (MHz).53,56 No caso de sistemas que operam em MHz, o intervalo entre pulsos é menor do que a difusão térmica, de tal forma que pode-se considerar uma fonte de calor pontual.56,57 Dada a difusão do calor, as regiões alteradas apresentam simetria esférica e têm dimensões que excedem o volume focal.56 Por outro lado, quando sistemas de kHz são utilizados o processo de microfabricação é repetitivo, sendo resultado da interação de cada pulso isoladamente.

Na prática, tendo em vista que vários dos parâmetros associados ao laser são fixos, o controle da microfabricação é conseguido através da otimização da energia do pulso (E), da velocidade de varredura (v) do feixe, e da focalização (NA) utilizados no processo.

O interesse no processamento a laser de materiais vítreos está voltado ao desenvolvimento de guias de ondas, chaves ópticas, amplificadores, etc.41,42,50,58 Dentre os diversos métodos de processamento a laser, a microfabricação com pulsos de femtossegundos se destaca devido à sua alta precisão, e capacidade de estruturação em 2D e 3D.41,43 De fato, a produção de guias de onda em vidros foi uma das primeiras aplicações da fabricação com pulsos de femtossegundos.42,50 A partir de então, guias de onda passaram a ser produzidas em diversas matrizes vítreas. Por exemplo, estruturas com um aumento no índice de refração de 5 x 10-3, capazes de guiar luz em 632,8 nm com perda inferior 0,7 dB/cm foram produzidas em vidros PbO-Bi2O3-Ga2O3-GeO2.59

Pulsos laser ultracurtos têm sido usados para induzir cristalização volumétrica em vidros. A formação de cristais β-BaB2O4 e LiNbO3, que possuem propriedades não lineares, foi observada após a irradiação do laser de femtossegundos.60 Diferentes fases cristalinas, como CaF2, Ba2TiSi2O8 e nanocristais de Si e Pb, também foram relatados.61-64 Uma vez que a absorção é de natureza não linear, os cristais são formados apenas no foco, permitindo a cristalização em regiões controladas.

Nos últimos anos, a microfabricação com pulsos de femtossegundos tem sido explorada em vidros contendo metais pesados, os quais apresentam altas não lineardidades. Por exemplo, vidros contendo Pb têm sido bastante investigados, uma vez que esse elemento pode ser incorporado em grandes quantidades resultando em altas não linearidades de terceira ordem (χ(3)).65-67 Vidros contendo Bi também apresentam altos valores de χ(3), em geral mais altos do que aqueles contendo Pb, o que está associado ao seu menor band gap.68 Pela mesma razão, vidros com Ge também são promissores. Além de explorar as altas hiperpolarizabilidades relacionadas aos constituintes da matriz vítrea, a incorporação de nanopartículas metálicas também deve contribuir para elevar as não linearidades do vidro. Devido ao efeito de engrandecimento de campo local, nanopartículas Au, Ag e Cu, dentre outras, têm sido adicionadas em vidros.69-72 Na mesma linha, o engrandecimento da emissão de íons terras-raras em matrizes vítreas contendo nanopartículas metálicas tem sido demonstrado.72-75 Em geral, as nanopartículas metálicas são produzidas após a fabricação dos vidros, através de tratamentos térmicos. Contudo, outra área promissora é o uso do laser de femtossegundos para a produção de nanopartículas em regiões pré-determinadas do volume das amostras.33,71,73,76 Sendo assim, pode-se combinar estes dois métodos para microfabricar guias de onda e ao mesmo tempo produzir nanopartículas metálicas nas guias.76

Na Figura 11a é apresentada uma imagem de microscopia óptica (vista superior) de uma guia de onda fabricada na matriz BSi:Cu(50SiO2-17B2O3-11.5MgO-10Na2O-11.5Al2O3):0.1CuO em % molar), com uma energia por pulso de 55 nJ e velocidade de varredura de 10 µm s-1. Uma vista da seção transversal elíptica da guia é mostrada na inserção da Figura 11a, onde a região mais escura indica maior agregação das nanopartículas de Cu. Guias contendo nanopartículas de Cu foram produzidas em um sistema laser operando a uma taxa de repetição de 1 kHz.34 Neste caso, o laser de femtossegundos é responsável pela fotorredução dos íons de Cu+2. Contudo, para que as nanopartículas sejam formadas é necessária a utilização de um tratamento térmico, o qual é responsável pela agregação dos átomos de Cu.34 No caso em que pulsos laser com taxa de repetição de MHz são utilizados não há necessidade de posterior tratamento térmico, uma vez que os pulsos geram calor suficiente para promover a agregação das nanopartículas.56,76 Ainda, na Figura 11b é apresentado o perfil de saída da luz guiada para 632,8 nm.

 


Figura 11. a) Microscopia óptica de uma guia de onda fabricada no vidro BSi:Cu (1 KHz de taxa de repetição) com energia de 55 nJ e velocidade de varredura de 10 µm s-1 e NA=0,65. A inserção mostra uma imagem da seção transversal do guia. b) Imagem do perfil de luz na saída do guia para 632,8 nm

 

Fibras microestruturadas: canais optofluídicos para interação luz-matéria

O campo das fibras ópticas, que viu fantásticos desenvolvimentos durantes as décadas de 1970 e 1980, recebeu um novo impulso a partir do fim da década de 1990, com o desenvolvimento das fibras de cristal fotônico e outras fibras microestruturadas.77-81 Diferente das fibras tradicionais, cuja construção básica consiste em dois cilindros concêntricos, sendo que o mais interno apresenta um índice de refração maior para que ocorra reflexão interna total, em fibras microestruturadas o guiamento da luz é proporcionado pela existência de furos (ou capilares) que correm ao longo de todo o comprimento da fibra, paralelamente ao eixo da mesma (observa-se aqui que, alternativamente, bastões de outro material sólido podem ser utilizados ao invés de capilares; no entanto, o foco aqui serão as fibras contendo capilares). O número, a disposição, as dimensões e a forma dos capilares são parâmetros ajustáveis durante a fabricação, o que produz um imenso número de estruturas possíveis, cada uma com suas características ópticas específicas, como pode ser verificado na Figura 1S do material suplementar. Uma extensa literatura está disponível a respeito das fibras microestruturadas, suas características peculiares, e suas aplicações, por exemplo, em comunicações ópticas, sensoriamento, e como fontes e dispositivos fotônicos baseados em efeitos não lineares.77-81 Uma breve revisão pode, ainda, ser encontrada como material suplementar. Entretanto, o objetivo aqui é apresentar estas fibras como canais optofluídicos, principalmente para aplicações na Química, o que é feito a seguir.

Fibras microestruturadas como canais optofluídicos e suas aplicações

Uma área em que fibras microestruturadas apresentam particular interesse para aplicações químicas é a óptica de sistemas microfluídicos, ou optofluídica.82,83 Tradicionalmente, a optofluídica é desenvolvida em microcanais escavados em substratos planares e está associada ao conceito de lab on a chip, em que análises e/ou reações químicas são realizadas em um pequeno chip, viabilizando, por exemplo, exames laboratoriais rápidos e simples o suficiente para serem realizados no próprio consultório médico. A presença de orifícios nas fibras microestruturadas viabiliza a inserção de líquidos que interagirão fortemente com a luz propagada, o que cria o conceito de lab in a fiber. Observa-se aqui que a inserção de gases em fibras microestruturadas para sensoriamento ou para o desenvolvimento de células de referência de frequências ópticas ou ainda para estudos da interação gás-luz84 é um campo talvez tão ativo quanto o de fibras preenchidas com líquidos; entretanto, este tópico não será abordado aqui.

É interessante mencionar que fibras capilares (isto é, com núcleo oco e casca sólida e uniforme) preenchidas com líquidos são estudadas pelo menos desde a década de 1970,85 sendo que interessantes avanços têm sido reportados recentemente.86 Nestes casos, entretanto, é necessário que o líquido inserido apresente índice de refração maior do que o do material da fibra (em geral, sílica), para que a luz sofra reflexão interna total na interface líquido-sólido, propagando-se, assim, pelo líquido. Esta exigência exclui a possibilidade de utilização de uma infinidade de líquidos de grande interesse químico e biológico, e em particular meios aquosos (exceto por distâncias micrométricas, ao longo das quais a perda é aceitável mesmo quando não há guiamento).

A Figura 12 mostra dois exemplos de como as fibras microestruturadas resolvem o problema mencionado (outras abordagens podem ser encontradas na literatura).87-90 A presença dos orifícios na casca abaixa o índice de refração efetivo desta região com relação ao vidro (ver material suplementar). Desta forma, ao se inserir um líquido no núcleo de uma fibra de núcleo oco (deixando os orifícios da casca preenchidos com ar), Figura 12(a), pode-se obter reflexão interna total sempre que o índice do líquido for superior ao índice efetivo da casca. No caso de fibras de núcleo sólido, Figura 12(b), o líquido pode ser inserido em todos os orifícios da casca, aumentando o índice efetivo desta. Novamente, se este índice efetivo não exceder o índice do núcleo, pode-se obter reflexão interna total e guiamento da luz. Entretanto, neste caso a maior parte da luz se propaga pelo núcleo sólido, e apenas uma fração do campo (o campo evanescente) se superpõe e interage com o líquido. Observa-se, ainda, que é possível se preencher seletivamente determinados buracos da casca com um líquido, caso em que a fibra pode passar a exibir propriedades interessantes, tais como birrefringência e interferência modal.91 Métodos de inserção seletiva de líquidos apenas em determinados micro-orifícios serão abordados mais adiante.

 


Figura 12. Esquemas exemplificando dois mecanismos de guiamento da luz em fibras microestruturadas preenchidas com líquidos. (a) O líquido (laranja) é inserido apenas no núcleo de uma fibra de núcleo oco, elevando o índice desta região em relação à casca microestruturada. (b) Toda a microestrutura da casca de uma fibra de núcleo oco é preenchida, porém mantendo-se o índice efetivo desta região menor do que o do núcleo

 

É muito importante ressaltar as imensas vantagens que fibras microestruturadas optofluídicas apresentam diante de arranjos mais tradicionais para a interação luz-material (ex., cubetas) ou mesmo diante de arranjos optofluídicos utilizando-se canais em chips planares. Como a dimensão transversal dos orifícios é tipicamente de poucos micrometros e pode-se, em princípio, preencher metros de fibra, os volumes de líquido envolvidos são muito menores (tipicamente, alguns nanolitros), ao mesmo tempo em que os comprimentos de interação luz-líquido (que basicamente são iguais ao comprimento da fibra usada) são muito maiores. Um maior comprimento de interação significa maior sensibilidade de detecção de espécies químicas,90,92 no caso de sensoriamento, ou uma maior eficiência de dispositivos fotônicos baseados nas propriedades ópticas dos líquidos (por exemplo, no caso em que o líquido é usado como meio óptico não linear).93 A pequena área transversal dos núcleos das fibras significa, ainda, a obtenção de maiores intensidades do que em cubetas para uma mesma potência óptica (já que a intensidade é a potência dividida pela área transversal), o que favorece diversos processos ópticos não lineares e fotoquímicos. Observa-se também que a sensibilidade de um sensor químico ou a eficiência de um dispositivo fotônico em fibra optofluídica depende da superposição entre o líquido e a intensidade óptica do modo propagado. Desta forma, o preenchimento do núcleo de uma fibra de núcleo oco (Figura 12(a)) é, em princípio, mais atrativo do que o preenchimento da casca de uma fibra de núcleo sólido (Figura 12(b)), caso em que uma superposição de no máximo ~ 10% é obtida.94,95 Entretanto, ressalta-se que em casos em que se deseja detectar apenas espécies adsorvidas na superfície,96,97 as fibras de núcleo sólido são mais atraentes.

Fibras microestruturadas optofluídicas vêm sendo estudadas para diversas aplicações. Em parte destas aplicações, as características ópticas do líquido são exploradas para se alterar as características de guiamento da luz, gerando dispositivos para aplicações fotônicas.93,98-100 A utilização de soluções contendo corantes luminescentes, por exemplo, permitiu a demonstração de lasers de corante baseados em fibra,98,100 que poderão viabilizar novas fontes compactas e práticas. Suspensões luminescentes de pontos quânticos coloidais também já foram inseridas visando a aplicações em sensoriamento de temperatura.101,102 Outra fonte de luz foi demonstrada em fibra optofluídica, através de efeitos ópticos não lineares em água introduzida no núcleo oco de uma fibra de bandgap fotônico.93 Esta fibra era excitada com pulsos de femtossegundos em 980 nm e efeitos ópticos não lineares na água geravam um enorme alargamento espectral, gerando uma fonte de espectro supercontínuo se estendendo por uma faixa de comprimentos de onda de 600 nm a 1200 nm.

Na área de sensoriamento, fibras optofluídicas vêm sendo utilizadas para identificar a presença de espécies químicas ou biológicas em amostras líquidas. Uma série sensores de refractométricos em fibras de cristal fotônico, baseados em diferentes conceitos, já foram também investigados. Alguns destes sensores, que podem apresentar altíssimas sensibilidades à mudança de índice de refração, estão descritos, por exemplo, no artigo de revisão de Kuhlmey et al.89 Um grande número de trabalhos demonstrou a identificação de espécies fluorescentes e/ou absorvedoras,90,92,94-96,102 incluindo aquelas utilizadas como marcadores biológicos. Em um trabalho visando a determinar os limites da técnica, concentrações tão baixas quanto 100 pM de Rodamina 6G foram detectadas em fibras de cristal fotônico de núcleo oco.92 Posteriormente, concentrações de fluoresceína de 20 pM foram medidas em uma fibra do tipo Kagomé (ver Figura 1S(e) no material suplementar) com todos os orifícios preenchidos com líquido.90 Biomoléculas, incluindo DNA e anticorpos, foram detectadas por campo evanescente, em fibras microestruturadas guiando a luz através de núcleos sólidos.96,103 Um trabalho particularmente interessante mostra a identificação seletiva de um determinado anticorpo. Anticorpos de dois diferentes tipos (α-estreptavidina e α-CRP) são marcados com Cy3 e introduzidos nos canais de uma fibra microestruturada de núcleo sólido. Como mostra a Figura 13(a), a fibra é previamente ativada com o antígeno compatível com apenas um dos anticorpos (por ex., estreptavidina). Desta forma, apenas anticorpos compatíveis são capturados pelo antígeno, gerando fluorescência de forma eficiente (ver detalhe da Figura 13(a)).

 


Figura 13. Exemplos de aplicações de fibras microestruturadas preenchidas. a) Sensor bioquímico capaz de detectar seletivamente um tipo específico de anticorpo. BSA: bovine sérum albumin (adaptado da ref. 103). b) Imagens de microscopia eletrônica de uma fibra de cristal fotônico de núcleo oco funcionalizada com nanopartículas de Au (pontos claros) (adaptado da ref. 106). (c) Evolução temporal da absortividade molar em 500 nm e em 550 nm, indicando a fotólise da cianocobalamina, em um pH de 2,5, em uma cubeta (esquerda) e em uma fibra do tipo Kagomé (direita). Observar a diferença nas escalas temporais. φ: eficiência quântica do processo (adaptado da ref. 97)

 

O sensoriamento químico baseado em espectroscopia Raman também já foi demonstrado em uma série de artigos.104-108 Em um deles, os modos vibracionais de pontos quânticos coloidais de CdTe puderam ser medidos com clareza pela primeira vez, revelando informações sobre o núcleo, defeitos e a superfície.107 Para isso, uma suspensão deste nanomaterial foi introduzido no núcleo de uma fibra de cristal fotônico de núcleo oco. Em outra demonstração, soluções aquosas de etanol e de sacarose foram inseridas na fibra microestruturada de núcleo oco da Figura 1S(f) (ver material suplementar) e as bandas Raman destes identificadas.104 O estudo permitiu a determinação das concentrações das espécies estudadas, apontando para aplicações na análise de vinho. Demonstrações de SERS (surface enhanced Raman spectroscopy) também já foram realizadas.105,106,108 SERS pode ser obtido com nanopartículas metálicas suspensas no líquido a ser analisado.103,106 Alternativamente, nanopartículas de prata podem ser imobilizadas eletrostaticamente sobre as paredes internas da fibra de cristal fotônico antes da inserção do líquido a ser analisado106 (Figura 13(b)). No trabalho de Han et al.,106 os modos Raman de Rodamina 6G foram identificados com este método.

A funcionalização das paredes internas do núcleo de uma fibra microestruturada de núcleo oco ou dos orifícios da casca de uma fibra de núcleo sólido com nanomateriais é um recurso com grande potencial para a área de sensoriamento. Além da funcionalização com antígenos e com nanopartículas metálicas, descritas acima, um sensor de temperatura já foi descrito em que pontos quânticos coloidais eram fixados eletrostaticamente com uma técnica layer by layer.101 Mais recentemente, microflocos de óxido de grafeno em suspensão foram inseridos em fibras de cristal fotônico.109-112 Após secagem, o material permanecia nas fibras, recobrindo o interior dos canais. Apesar de, por enquanto, terem sido utilizadas apenas no contexto de dispositivos fotônicos, estas fibras apresentam grande potencial para aplicações químicas.

Outra área em que fibras microestruturadas optofluídicas apresentam desempenho potencial muito superior ao obtido com métodos convencionais é a fotoquímica, uma vez que volumes de reagentes e potências ópticas muito menores são necessários. Ao mesmo tempo, o processo químico pode ser monitorado opticamente em tempo real com os métodos de sensoriamento mencionados acima. Neste contexto, reações de fotólise,97,113 fotoisomerização e catálise97 já foram demonstradas em fibras de cristal fotônico de núcleo oco. Um bom exemplo dos benefícios das fibras optofluídicas foi demonstrado com a fotólise da cianocobalamina (CNCbl, uma forma estável da vitamina B12) induzida por um laser de argônio em 488 nm, convertendo-a em aquacobalamina (H2OCbl+, ou vitamina B12b)97 A reação ocasiona um aumento (redução) da absorção óptica em 500 nm (550 nm). Entretanto, a eficiência quântica do processo é muito baixa (~10-4, e variando com o pH), levando mais de uma dezena de horas para ocorrer em uma cubeta, a uma potência laser de 9,5 mW e em um pH favorável de 2,597 (Figura 13(c)). O processo em uma fibra do tipo Kagomé, por outro lado, foi demonstrado com um volume de 100 nl e uma potência de 10 µW, tendo sido finalizado em 1 minuto97 (Figura 13(c)). A fibra foi, ainda, interfaceada com um chip optofluídico permitindo a integração com outras análises não-ópticas. De forma similar, experimentos de fotocatálise puderam ser realizados com volumes 5 ordens de grandeza menores e potências ópticas 3 ordens de grandeza menores.97

Para que as aplicações descritas pudessem ser implementadas, métodos essenciais ao desenvolvimento prático de fibras optofluídicas foram desenvolvidos nos últimos anos. O preenchimento, em si, de uma fibra microestruturada com líquidos, pode ser obtido de forma muito simples, por capilaridade (imergindo-se uma das pontas no material a ser inserido) ou através da pressurização do material para o interior da fibra. Este último método tem a vantagem de ser mais rápido e pode ser implementado com uma seringa, como mostra a Figura 14(a). Uma das pontas da fibra microestruturada é inserida no orifíc, io interno da agulha e colada a esta de forma que a abertura entre a fibra e a agulha seja completamente vedada. O líquido pode, então, ser colocado na seringa e pressurizado através do deslocamento do êmbolo. O tempo necessário para preencher uma fibra depende do raio e do comprimento do orifício, da pressão aplicada e de propriedades do líquido como a tensão superficial, a densidade, a viscosidade dinâmica e o ângulo de contato com a superfície interna do orifício,114 mas tipicamente 10 cm de fibra são preenchidos por um meio aquoso em alguns minutos ao se aplicar uma pressão de 2 ou 3 bar.

 


Figura 14. Métodos de preenchimento de fibras microestruturadas com líquidos. (a) Preenchimento simples utilizando uma seringa. (b) Preenchimento seletivo de um dos canais através do colapso (por aquecimento) dos demais. (c) Preenchimento seletivo de um dos canais através da emenda com um capilar (alinhado com o canal desejado). (d) Preenchimento seletivo de um dos canais utilizando-se uma micropipeta

 

Um desafio um pouco maior é o preenchimento seletivo de apenas um ou alguns buracos de uma fibra microestruturada, deixando os demais preenchidos com ar. Diversos métodos foram desenvolvidos para este fim,89,91,115-117 quase sempre baseando-se no bloqueio da entrada dos orifícios que devem permanecer preenchidos com ar. Um método simples e que é aplicável sempre que se deseja preencher apenas o maior dos buracos de uma microestrutura (por exemplo, o núcleo de uma fibra de bandgap fotônico de núcleo oco) envolve o rápido aquecimento local da fibra acima da temperatura de amolecimento do vidro.116 A tensão superficial do vidro amolecido faz com que os buracos tendam a se colapsar, sendo que os buracos menores se fecham completamente antes do maior. Assim, se o aquecimento for interrompido no momento certo, o orifício maior permanece aberto e pode ser preenchido (Figura 14(b)). Na prática, este rápido aquecimento local pode ser facilmente obtido com uma máquina de emendas de fibras por fusão, disponível em qualquer laboratório de fibras ópticas. Após preenchimento, a região aquecida pode ser removida para não prejudicar o guiamento da luz.

Um método alternativo que permite o preenchimento de qualquer microcanal individual, independentemente de suas dimensões, consiste em se emendar a fibra microestruturada a uma fibra contendo um único capilar central com dimensões semelhantes à do canal que deseja-se preencher117 (Figura 14(c)). Durante o processo de emenda, este capilar deve ser alinhado com o orifício a ser preenchido. Um método ainda mais flexível e que permite preencher qualquer número de buracos, dispostos de qualquer maneira e com qualquer dimensão, é a utilização de uma micropipeta (Figura 14(d)), que pode ser inserida nos buracos desejados para injetar o líquido desejado.91 Alternativamente, a pipeta pode injetar uma cola para vedar seletivamente buracos a permanecerem preenchidos com ar; neste caso, a pipeta pode ser substituída por uma microponta.89 A combinação dos métodos citados permite, ainda, perfis mais complexos de preenchimento como, por exemplo, o preenchimento da estrutura de casca de uma fibra de cristal fotônico com um líquido e do núcleo com outro líquido, permitindo maior controle sobre as propriedades de guiamento da luz.118

Outra questão prática a ser abordada para que fibras optofluídicas encontrem ampla utilização fora de laboratórios especializados é o acoplamento da luz às estruturas preenchidas. De uma forma geral, sistemas à fibra óptica utilizam fontes de luz, detectores e outros dispositivos já integrados a fibras convencionais, que não requerem qualquer tipo de alinhamento para que a luz seja introduzida ou removida. A introdução de uma nova fibra ao sistema é feita simplesmente fundindo-se esta às demais fibras ou, alternativamente, utilizando-se conectores que colocam as pontas das fibras a serem conectadas em contato, com precisão sub-micrométrica. Estes métodos em geral não estão disponíveis para fibras optofluídicas (o aquecimento necessário para a fusão, por exemplo, evapora o líquido introduzido). Diversos experimentos vêm sendo realizados utilizando-se cubetas, ou células de pressão, contendo o líquido desejado, nas quais as pontas da fibra são introduzidas (Figura 15(a)). Uma janela óptica permite o acoplamento da luz à fibra utilizando-se lentes objetivas.

 


Figura 15. Métodos de inserção e remoção simultânea da luz e do líquido em fibras optofluídicas. (a) Método tradicional, utilizando cubeta (ou célula de pressão) com janela óptica e acoplamento através de lentes. Métodos com integração total a sistemas a fibra óptica, utilizando um furo transversal (b) ou uma fibra auxiliar, com capilares auxiliares, paralelos a um núcleo sólido (c)

 

Se por um lado este método é flexível, por outro ele exige constante alinhamento, com precisão submicrométrica, do sistema objetiva-fibra, em geral exigindo um operador especializado em óptica. Uma alternativa, que permite total integração com fontes e dispositivos a fibra é mostrada na Figura 15(b). Antes da inserção do líquido, a fibra microestruturada é emendada a fibras convencionais e furos transversais são produzidos para permitir a inserção e remoção do líquido. Esse método permite, portanto, que se mantenha um fluxo de líquido e permitiu, recentemente, que um laser de corante totalmente integrado a fibra fosse demonstrado.119 Diversos métodos já foram propostos para a produção do furo, entre os quais a furação por ablação laser,88 através do uso de um FIB (focused ion beam)120 e através de aquecimento e pressurização do microcanal da fibra,121 fazendo com que o canal infle até que a parede lateral de vidro se rompa. Uma técnica mais recente e bastante simples e eficaz consiste em se clivar obliquamente a fibra optofluídica antes de emendá-la, por fusão, a uma fibra convencional.119,122 Esta clivagem faz com que as faces das fibras não se toquem perfeitamente, gerando naturalmente o furo lateral durante a emenda por fusão. Finalmente, outro método bastante eficaz de integração da função fluídica com a função óptica em fibras optofluídicas pode ser visto esquematicamente na Figura 15(c).86 A fibra optofluídica é emendada a fibras quase convencionais, consistindo de um núcleo convencional (dopado) e de uma casca possuindo canais. Estes canais não interagem com a luz e apenas têm a função de inserir e remover o líquido do núcleo da fibra optofluídica. Desta forma, eles podem ser conectados com o meio externo sem qualquer impacto sobre o guiamento da luz, permitindo, assim, a inserção e remoção do líquido.

 

CONCLUSÃO

Esperamos que este artigo tenha chamado a atenção dos leitores para a importância da Química na preparação das diferentes famílias de vidros e materiais avançados para as aplicações fotônicas nas quais são empregados. Dedicamos também nossa atenção para mostrar a relevância da interdisciplinaridade, principalmente com a física, para a compreensão dos fenômenos de interação da luz com os vidros e filmes e a determinação das potenciais áreas de aplicação destes materiais brilhantes.

 

MATERIAL SUPLEMENTAR

Algumas imagens dos sistemas utilizados neste trabalho estão disponíveis em http://quimicanova.sbq.org.br, na forma de arquivo PDF, com acesso livre.

Este artigo também apresenta um breve histórico e algumas características sobre fibras microestruturadas que podem ser acessadas livremente pelo website http://quimicanova.sbq.org.br/.

 

AGRADECIMENTOS

Os autores são gratos às agências de fomento, FAPESP (Projeto CEPID 2013/07793-6 e 2012/50259-8), FAPEMIG, CNPq e CAPES pelos auxílios financeiros concedidos. C. J. S. de Matos agradece o apoio do Fundo Mackenzie de Pesquisa (MackPesquisa) e da FINEP.

 

REFERÊNCIAS

1. Ferrari, M.; Righini, G. C. In Physics and Chemistry of Rare-Earth Ions Doped Glasses; Hussain, N. S.; Santos, J. D. da S., eds.; Trans Tech Publishers: Switzerland, 2008, ch. 3.

2. Opt. Eng. 2014, 53 (7); Ferrari, M; Taccheo, S., eds.; Special Section on Glass Photonics for Integrated Optics. DOI: http://dx.doi.org/10.1117/1.OE.53.7.071801

3. Correia, S. F. H.; de Zea Bermudez, V.; Ribeiro, S. J. L.; André, P. S.; Ferreira, R. A. S; Carlos, L. D.; J. Mater. Chem. A 2014, 2, 5580. DOI: http://dx.doi.org/10.1039/c3ta14964a

4. Passaro, V. M. N.; de Tullio, C.; Troia, B.; La Notte, M.; Giannoccaro, G; De Leonardis, F.; Sensors, 2012, 12, 15558. DOI: http://dx.doi.org/10.3390/s121115558

5. Li, B; Ju, H.; BioChip J. 2013, 7, 295. DOI: http://dx.doi.org/10.1007/s13206-013-7401-7

6. Polman, A; van Veggel, F. C. J. M.; J. Opt. Soc. Am. B 2004, 21, 5.

7. Desurvire, E.; Erbium-Doped Fiber Amplifiers, John Wiley, New York, 1994.

8. Prakash, S. S. B. G. V.; Reddy, A. A;. In Advances in Optical Amplifiers; Urquhart, P., ed.; InTech: Rijeka, 2011.

9. Zampedri, L.; Ferrari, M.; Armellini, C.; Visintainer, F.; Tosello, C.; Ronchin, S.; Rolli, R.; Montagna, M.; Chiasera, A.; Pelli, S.; Righini, G. C.; Monteil, A.; Duverger C.; Gonçalves R. R.; J. Sol-Gel Sci. Technol. 2003, 26, 1033. DOI: http://dx.doi.org/10.1023/A:1020734018629

10. Cunha, C. D.; Ferrari, J. L.; de Oliveira, D. C.; Maia, L. J. Q.; Gomes, A. S. L.; Ribeiro, S. J. L.; Goncalves, R. R.; Mater. Chem. Phys. 2012, 136, 120. DOI: http://dx.doi.org/10.1016/j.matchemphys.2012.06.040

11. Gonçalves, R. R.; Guimarães, J. J.; Ferrari, J. L.; Maia, L. J. Q.; Ribeiro, S. J. L.; J. Non-Cryst. Sol. 2008, 354, 4846. DOI: http://dx.doi.org/10.1016/j.jnoncrysol.2008.05.055

12. Gonçalves, R. R.; Messaddeq, Y.; Chiasera, A.; Jestin, Y.; Ferrari, M.; Ribeiro, S. J. L.; Thin Sol. Films 2008, 516, 3094. DOI: http://dx.doi.org/10.1016/j.tsf.2007.07.183

13. Sigoli, F. A.; Gonçalves, R. R.; de Camargo, A. S. S.; Nunes, L. A. O.; Messaddeq, Y.; Ribeiro, S. J. L.; Opt. Mater. 2007, 30, 600. DOI: http://dx.doi.org/10.1016/j.optmat.2007.01.012

14. Gonçalves, R. R.; Carturan, G.; Montagna, M.; Ferrari, M.; Zampedri, L.; Pelli, S.; Righini, G.C.; Ribeiro, S. J. L.; Messaddeq, Y.; Opt. Mater. 2004, 25, 131. DOI: http://dx.doi.org/10.1016/S0925-3467(03)00261-1

15. Gonçalves, R. R.; Carturan, G.; Zampedri, L.; Ferrari, M.; Montagna, M.; Chiasera, A.; Righini, G. C.; Pelli, S.; Ribeiro, S.J.L.; Messaddeq, Y.; Appl. Phys. Lett. 2002, 81, 28. DOI: http://dx.doi.org/10.1063/1.1489477

16. Gonçalves, R. R.; Messaddeq, Y.; Aegerter, M. A.; Ribeiro, S. J. L.; J. Nanosci. Nantotechnol. 2011, 11, 2433. DOI: http://dx.doi.org/10.1166/jnn.2011.3535

17. Ferrari, J. L.; Lima, K. O.; Maia, L. J. Q.; Ribeiro, S. J. L.; Gomes, A. S. L.; Gonçalves, R. R.; J. Nanosci. Nanotechnol. 2011, 11, 2540. DOI: http://dx.doi.org/10.1166/jnn.2011.3565 PMID: 21449421

18. Ferrari, J. L.; Lima, K. O.; Maia L. J. Q.; Gonçalves, R. R.; Thin Sol. Films 2010, 519, 1319. DOI: http://dx.doi.org/10.1016/j.tsf.2010.09.035

19. Ferrari, J. L.; Lima, K. O., Maia, L. J. Q.; Ribeiro, S. J. L.; Gonçalves, R. R.; J. Am. Ceram. Soc. 2011, 94, 1230. DOI: http://dx.doi.org/10.1111/j.1551-2916.2010.04191.x

20. Aquino, F. T.; Ferrari, J. L.; Ribeiro, S. J. L.; Ferrier, A.; Goldner, P.; Gonçalves, R. R.; Opt. Mater. 2013, 35, 387. DOI: http://dx.doi.org/10.1016/j.optmat.2012.09.029

21. Aquino, F. T.; Pereira, R. R.; Ferrari, J. L.; Ribeiro, S. J. L.; Ferrier, A.; Goldner, P.; Gonçalves, R. R.; Mater. Chem. Phys. 2014, 147, 751. DOI: http://dx.doi.org/10.1016/j.matchemphys.2014.06.016

22. Tronto, J.; Ribeiro, S. J. L.; Valim, J. B.; Gonçalves, R. R.; Mater. Chem. Phys. 2009, 113, 71. DOI: http://dx.doi.org/10.1016/j.matchemphys.2008.07.030

23. Bamiedakis, N.; Hutter, T.; Penty, R. V.; White, I. H.; Elliott, S. R.; J. Lightwave Technol. 2013, 31, 1628. DOI: http://dx.doi.org/10.1109/JLT.2013.2255582

24. Xiao-hong, Z.; Lan-hua, L.; Wei-qi, X.; Bao-dong, S.; Jian-wu, S.; Miao, H.; Han-chang, S.; J. Lightwave Technol. 2014, 4, 1.

25. Berger, J. P.; Haguenauer, P.; Kern, P.; Perraut, K.; Malbet, F; Schanen, I.; Severi, M.; Millan-Gabet, R.; Traub, W.; Astron. Astrophys. 2001, 376, L31. DOI: http://dx.doi.org/10.1051/0004-6361:20011035

26. van Sark, W. G. J. H. M.; Meijerink, A.; Schropp, R. E. I.; Third Generation Photovoltaics; Fthenakis, V., ed.; InTech, 2012.

27. Richards, B. S.; Sol. Energy Mater. Sol. Cells 2012, 90, 1189. DOI: http://dx.doi.org/10.1016/j.solmat.2005.07.001

28. ASTM. 2003. Standard Tables for Reference Solar Spectral Irradiances: Direct Normal and Hemispherical on 37º Tilted Surface, Standard G173-03e1 West Conshohocken, PA, USA: American Society for Testing and Materials.

29. Peled, A.; Chiasera, A.; Nathan, M.; Ferrari, M.; Ruschin, S.; Appl. Phys. Lett. 2008, 92, 221104-1. DOI: http://dx.doi.org/10.1063/1.2936961

30. Ferrari, J. L.; Lima, K. O.; Pecoraro, E.; Ferreira, R. A. S.; Carlos, L. D.; Gonçalves, R. R.; J. Mater. Chem. 2012, 22, 9901. DOI: http://dx.doi.org/10.1039/c2jm30456b

31. Gomez, L. A.; de Araujo, C. B.; Messias, D. N.; Misoguti, L.; Zilio, S. C.; Nalin, M.; Messaddeq, Y.; J. Appl. Phys. 2006, 100, 116105. DOI: http://dx.doi.org/10.1063/1.2388045

32. Almeida, J. M. P.; da Silva, D. L.; Kassab, L. R. P.; Zilio, S. C.; Mendonça, C. R.; De Boni, L.; Opt. Mater. 2014, 36, 829. DOI: http://dx.doi.org/10.1016/j.optmat.2013.12.012

33. Almeida, J. M. P.; De Boni, L.; Avansi, W.; Ribeiro, C.; Longo, E.; Hernandes, A. C.; Mendonça, C. R.; Opt. Expr. 2012, 20, 15106. DOI: http://dx.doi.org/10.1364/OE.20.015106

34. Manzani, D.; Almeida, J. M. P.; Napoli, M.; De Boni, L.; Nalin, M.; Afonso, C. R. M.; Ribeiro, S. J. L.; Mendonça, C. R; Plasmonics 2013, 8, 1667. DOI: http://dx.doi.org/10.1007/s11468-013-9585-z

35. De Boni, L.; Barbano, E. C.; de Almeida, T. A.; Misoguti, L.; Kassab, L. R. P.; Zilio, S. C.; Opt. Expr. 2012, 20, 6844. DOI: http://dx.doi.org/10.1364/OE.20.006844

36. Sheik-Bahae, M.; Said, A. A.; Wei, T. H.; Hagan, D. J.; Van Stryland, E. W.; IEEE J. Quantum Electr. 1990, 26, 760. DOI: http://dx.doi.org/10.1109/3.53394

37. Miguez, M. L.; Barbano, E. C.; Zilio, S. C.; Misoguti, L.; Opt. Expr. 2014, 22, 25530. DOI: http://dx.doi.org/10.1364/OE.22.025530

38. Shen, Y. R.; Principles of Nonlinear Optics, John Wiley & Sons, 1984.

39. Boyd, R.W.; Nonlinear Optics, 3rd ed., Academic Press, 2008.

40. Correa, D. S.; De Boni, L.; Misoguti, L.; Cohanoshi, I.; Hernandez, F. E.; Mendonça, C. R.; Opt. Commun. 2007, 277, 440. DOI: http://dx.doi.org/10.1016/j.optcom.2007.05.043

41. Gattass, R. R.; Mazur, E.; Nat. Photonics 2008, 2, 219. DOI: http://dx.doi.org/10.1038/nphoton.2008.47

42. Davis, K. M.; Miura, K.; Sugimoto, N.; Hirao, K.; Opt. Lett. 1996, 21, 1729. DOI: http://dx.doi.org/10.1364/OL.21.001729 PMID: 19881782

43. Correa, D. S.; Cardoso, M. R.; Tribuzi, V.; Misoguti, L.; Mendonca, C. R.; IEEE J. Sel. Top. Quantum Electron. 2012, 18, 176. DOI: http://dx.doi.org/10.1109/JSTQE.2011.2106764

44. Brabec, T.; Krausz, F.; Rev. Modern Phys. 2000, 72, 545. DOI: http://dx.doi.org/10.1103/RevModPhys.72.545

45. Sundaram, S. K.; Mazur, E.; Nat. Mater. 2002, 1, 217. DOI: http://dx.doi.org/10.1038/nmat767 PMID: 12618781

46. Bloembergen, N.; J. Nonlinear Opt. Phys. Mater. 1997, 6, 377. DOI: http://dx.doi.org/10.1142/S0218863597000289

47. Liu, X.; Du, D.; Mourou, G.; IEEE J. Quantum Electron. 1997, 33, 1706. DOI: http://dx.doi.org/10.1109/3.631270

48. Stuart, B. C.; Feit, M. D.; Rubenchik, A. M.; Shore, B. W.; Perry, M. D.; Phys. Rev. Lett. 1995, 74, 2248. DOI: http://dx.doi.org/10.1103/PhysRevLett.74.2248 PMID: 10057880

49. Osellame, R.; Chiodo, N.; Maselli, V.; Yin, A.; Zavelani-Rossi, M.; Cerullo, G.; Laporta, P.; Aiello, L.; De Nicola, S.; Ferraro, P.; Finizio, A.; Pierattini, G.; Opt. Expr. 2005, 13, 612. DOI: http://dx.doi.org/10.1364/OPEX.13.000612

50. Hua, B.; Shimotsuma, Y.; Nishi, M.; Miura, K.; Hirao, K.; J. Laser Micro/Nanoeng. 2007, 2, 36. DOI: http://dx.doi.org/10.2961/jlmn.2007.01.0007

51. Miura, K.; Qiu, J. R.; Inouye, H.; Mitsuyu, T.; Hirao, K.; Appl. Phys. Lett. 1997, 71, 3329. DOI: http://dx.doi.org/10.1063/1.120327

52. Ashcom, J. B.; Gattass, R. R.; Schaffer, C. B.; Mazur, E.; J. Opt. Soc. Am. B 2006, 23, 2317. DOI: http://dx.doi.org/10.1364/JOSAB.23.002317

53. Tien, A. C.; Backus, S.; Kapteyn, H.; Murnane, M.; Mourou, G.; Phys. Rev. Lett. 1999, 82, 3883. DOI: http://dx.doi.org/10.1103/PhysRevLett.82.3883

54. Streltsov, A. M.; Borrelli, N. F.; Opt. Lett. 2001, 26, 42. DOI: http://dx.doi.org/10.1364/OL.26.000042 PMID: 18033501

55. Glezer, E. N.; Mazur, E.; Appl. Phys. Lett. 1997, 71, 882. DOI: http://dx.doi.org/10.1063/1.119677

56. Homoelle, D.; Wielandy, S.; Gaeta, A. L.; Borrelli, N. F.; Smith, C.; Opt. Lett. 1999, 24, 1311. DOI: http://dx.doi.org/10.1364/OL.24.001311 PMID: 18079790

57. Kamata, M.; Obara, M.; Appl. Phys. A 2004, 78, 85. DOI: http://dx.doi.org/10.1007/s00339-003-2158-9

58. Schaffer, C. B.; Brodeur, A.; Garcia, J. F.; Mazur, E.; Opt. Lett. 2001, 26, 93. DOI: http://dx.doi.org/10.1364/OL.26.000093 PMID: 18033517

59. Eaton, S. M.; Zhang, H. B.; Herman, P. R.; Opt. Expr. 2005, 13, 4708. DOI: http://dx.doi.org/10.1364/OPEX.13.004708

60. Tong, L. M.; Gattass, R. R.; Maxwell, I.; Ashcom, J. B.; Mazur, E.; Opt. Commun. 2006, 259, 626. DOI: http://dx.doi.org/10.1016/j.optcom.2005.09.040

61. Siegel, J.; Fernandez-Navarro, J. M.; Garcia-Navarro, A.; Diez-Blanco, V.; Sanz, O.; Solis, J.; Vega, F.; Armengol, J.; Appl. Phys. Lett. 2005, 86, 121109.

62. Miura, K.; Qiu, J. R.; Mitsuyu, T.; Hirao, K.; Opt. Lett. 2000, 25, 408. DOI: http://dx.doi.org/10.1364/OL.25.000408 PMID: 18059895

63. Dai, Y.; Zhu, B.; Qiu, J. R.; Ma, H. L.; Lu, B.; Cao, S. X.; Yu, B. K.; Appl. Phys. Lett. 2007, 90, 3.

64. Lin, G.; Pan, H.;H.; Dai, Y.; He, F.; Chen, D. P.; Cheng, Y.; Jiang, X. W.; Zhang, L.; Qiu, J. R.; Zhao, Q. Z.; Mat. Lett. 2011, 65, 3544. DOI: http://dx.doi.org/10.1016/j.matlet.2011.07.106

65. Lin, G.; Pan, H. H.; Qiu, J. R.; Zhao, Q. Z.; Chem. Phys. Lett. 2011, 516, 186. DOI: http://dx.doi.org/10.1016/j.cplett.2011.09.069

66. Liu, Y.; Zhu, B.; Dai, Y.; Qiao, X. S.; Ye, S.; Teng, Y.; Guo, Q. T.; Ma, H. L.; Fan, X. P.; Qiu, J. R.; Opt. Lett. 2009, 34, 3433. DOI: http://dx.doi.org/10.1364/OL.34.003433 PMID: 19881618

67. Pan, Z. D.; Morgan, S. H.; Long, B. H.; J. Non-Cryst. Sol. 1995, 185, 127. DOI: http://dx.doi.org/10.1016/0022-3093(94)00650-4

68. Rabinovich, E. M.; J. Mat. Sci. 1976, 11, 925. DOI: http://dx.doi.org/10.1007/BF00542311

69. Almeida, J. M. P.; De Boni, L.; Hernandes, A. C.; Mendonca, C. R.; Opt. Expr. 2011, 19, 17220. DOI: http://dx.doi.org/10.1364/OE.19.017220

70. Terashima, K.; Shimoto, T. H.; Yoko, T.; Phys. Chem. Glasses 1997, 38, 211.

71. Lu, Q.; Cui, F. M.; Dong, C. Q.; Hua, Z. L.; Shi, J. L.; Opt. Mat. 2011, 33, 1266. DOI: http://dx.doi.org/10.1016/j.optmat.2011.02.024

72. Qu, S. L.; Zhang, Y. W.; Li, H. J.; Qiu, J. R.; Zhu, C. S.; Opt. Mat. 2006, 28, 259. DOI: http://dx.doi.org/10.1016/j.optmat.2005.01.011

73. Tokizaki, T.; Nakamura, A.; Kaneko, S.; Uchida, K.; Omi, S.; Tanji, H.; Asahara, Y.; Appl. Phys Lett. 1994, 65, 941. DOI: http://dx.doi.org/10.1063/1.112155

74. Kassab, L. R. P.; da Silva, D. S.; de Almeida, R.; de Araujo, C. B.; Appl. Phys. Lett. 2009, 94, 3.

75. Hayakawa, T.; Furuhashi, K.; Nogami, M.; J. Phys. Chem. B 2004, 108, 11301. DOI: http://dx.doi.org/10.1021/jp048247w

76. Piasecki, P.; Piasecki, A.; Pan, Z. D.; Mu, R.; Morgan, S. H.; J. Nanophotonics 2010, 4, 9.

77. Russell, .P. St. J.; Science 2003, 299, 358. DOI: http://dx.doi.org/10.1126/science.1079280 PMID: 12532007

78. Knight, J. C.; Nature 2003, 424, 847. DOI: http://dx.doi.org/10.1038/nature01940 PMID: 12917699

79. Bjarklev, A.; Broeng, J.; Bjarklev, A. S.; Photonic Crystal Fibres, Springer: Boston, 2003.

80. Russell, P. St. J.; J. Lightwave Technol. 2006, 24, 4729. DOI: http://dx.doi.org/10.1109/JLT.2006.885258

81. Cerqueira S. Jr., A.; Rep. Prog. Phys. 2010, 73, 024401. DOI: http://dx.doi.org/10.1088/0034-4885/73/2/024401

82. Monat, C.; Domachuk, P.; Eggleton, B. J.; Nat. Photon. 2007, 1, 106; DOI: http://dx.doi.org/10.1038/nphoton.2006.96

83. Psaltis, D.; Quake, S. R.; Yang, C.; Nature 2006, 442, 381; DOI: http://dx.doi.org/10.1038/nature05060 PMID: 16871205

84. Benabid, F.; Couny, F.; Knight, J. C.; Birks, T. A.; Russell, P. St J.; Nature 2005, 434, 488. DOI: http://dx.doi.org/10.1038/nature03349 PMID: 15791251

85. Ippen, E. P.; Shank, C. V.; Gustafson, T. K.; Appl. Phys. Lett. 1974, 24, 190. DOI: http://dx.doi.org/10.1063/1.1655148

86. Sudirman, A.; Margulis, W.; IEEE Photon. Technol. Lett. 2014, 26, 1031. DOI: http://dx.doi.org/10.1109/LPT.2014.2312483

87. Fini, J. M.; Meas. Sci. Technol. 2004, 15, 1120. DOI: http://dx.doi.org/10.1088/0957-0233/15/6/011

88. Lehmann, H.; Brückner, S.; Kobelke, J.; Schwotzer, G.; Schuster, K.; Willsch, R.; Proceedings of SPIE Vol. 5855 - 17th International Conference on Optical Fibre Sensors, Bruges, Bélgica, 2005.

89. Kuhlmey, B. T.; Eggleton, B. J.; Wu, D. K. C.; J. Lightwave Technol. 2009, 27, 1617. DOI: http://dx.doi.org/10.1109/JLT.2009.2021142

90. Williams, G. O. S.; Euser, T. G.; Russell, P. St. J.; Jones, A. C.; Methods Appl. Fluoresc. 2013, 1, 015003. DOI: http://dx.doi.org/10.1088/2050-6120/1/1/015003

91. Gerosa, R. M.; Spadoti, D. H.; de Matos, C. J. S.; Menezes, L. de S.; Franco, M. A. R.; Opt. Express 2011, 19, 24687. DOI: http://dx.doi.org/10.1364/OE.19.024687 PMID: 22109496

92. Smolka, S.; Barth, M.; Benson, O.; Opt. Express 2007, 15, 12783. DOI: http://dx.doi.org/10.1364/OE.15.012783 PMID: 19550548

93. Bozolan, A.; de Matos, C. J. S.; Cordeiro, C. M. B; dos Santos, E. M.; Travers, J.; Opt. Express 2008, 16, 9671. DOI: http://dx.doi.org/10.1364/OE.16.009671 PMID: 18575534

94. Cordeiro, C. M. B.; Franco, M. A. R.; Chesini, G.; Barretto, E. C. S.; Lwin, R.; Brito Cruz, C. H.; Large, M. C. J. Opt. Express 2006, 14, 13056; DOI: http://dx.doi.org/10.1364/OE.14.013056 PMID: 19532201

95. Euser, T. G.; Chen, J. S. Y.; Scharrer, M.; Russell, P. St. J.; Farrer, N. J.; Sadler, P. J.; J. Appl. Phys. 2009, 103, 103108. DOI: http://dx.doi.org/10.1063/1.2924408

96. Jensen, J. B.; Hoiby, P. E.; Emiliyanov, G.; Bang, O.; Pedersen, L. H.; Bjarklev, A.; Opt. Express 2005, 13, 5883. DOI: http://dx.doi.org/10.1364/OPEX.13.005883 PMID: 19498594

97. Cubillas, A. M.; Unterkofler, S.; Euser, T. G.; Etzold, B. J. M.; Jones, A. C.; Sadler, P. J.; Wasserscheid, P.; Russell, P. St. J.; Chem. Soc. Rev. 2013, 42, 8629. DOI: http://dx.doi.org/10.1039/c3cs60128e PMID: 23753016

98. de Matos, C. J. S.; Menezes, L. de S.; Brito-Silva, A. M.; Martinez Gámez, M. A.; Gomes, A. S. L.; de Araújo, C. B.; Phys. Rev. Lett. 2007, 99, 153903. DOI: http://dx.doi.org/10.1103/PhysRevLett.99.153903 PMID: 17995168

99. Eggleton, B. J.; Kerbage, C.; Westbrook, P. S.; Windeler, R. S.; Hale, A.; Opt. Express 2001, 9, 698. DOI: http://dx.doi.org/10.1364/OE.9.000698 PMID: 19424310

100. Vasdekis, A. E.; Town, G. E.; Turnbull, G. A.; Samuel, I. D. W.; Opt. Express 2007, 15, 3962. DOI: http://dx.doi.org/10.1364/OE.15.003962 PMID: 19532639

101. Larrión, B.; Hernáez, M.; Arregui, F. J.; Goicoechea, J.; Bravo, J.; Matías, I. R.; J. Sensors 2009, 932471.

102. Bozolan, A.; Gerosa, R. M.; de Matos, C. J. S.; Romero, M. A.; IEEE Sensors J. 2012, 12, 195. DOI: http://dx.doi.org/10.1109/JSEN.2011.2146771

103. Jensen, J. B.; Pedersen, L. H.; Hoiby, P. E.; Nielsen, L. B.; Opt. Lett. 2004, 29, 1974. DOI: http://dx.doi.org/10.1364/OL.29.001974 PMID: 15455751

104. Meneghini, C.; Caron, S.; Poulin, A. C. J.; Proulx, A.; Émond, F.; Paradis, P.; Paré, C.; Fougères, A. IEEE Sensors J. 2008, 8, 1250. DOI: http://dx.doi.org/10.1109/JSEN.2008.926172

105. Cox, F. M.; Argyros, A.; Large, M. C. J.; Kalluri, S.; Opt. Express 2007, 21, 13675. DOI: http://dx.doi.org/10.1364/OE.15.013675

106. Han, Y.; Tan, S.; Oo, M. K. K.; Pristinski, D.; Sukhishvili, S.; Du, H.; Adv. Mat. 2010, 22, 2647. DOI: http://dx.doi.org/10.1002/adma.200904192

107. Mak, J. S. W.; Helmy, A. S.; ACS Nano 2011, 5, 3823. DOI: http://dx.doi.org/10.1021/nn200157z PMID: 21517094

108. Eftekhari, F.; Lee, A.; Kumacheva, E.; Helmy, A. S.; Opt. Lett. 2012, 37, 680. DOI: http://dx.doi.org/10.1364/OL.37.000680 PMID: 22344146

109. Zhi-Bo, L.; Xiaoying, H.; Wang, D. N.; Opt. Lett. 2011, 36, 3024. DOI: http://dx.doi.org/10.1364/OL.36.003024

110. Yung-Hsiang, L.; Chun-Yu, Y.; Jia-Hong, L.; Chin-Ping, Y.; Gong- Ru, L.; Opt. Express 2013, 21, 16763. DOI: http://dx.doi.org/10.1364/OE.21.016763

111. Zhao, J.; Ruan, S.; Yan, P.; Zhang, H.; Yu, Y.; Wei, H.; Luo, J.; Opt. Eng. 2014, 52, 422.

112. Suarez, F. G.; Gerosa, R. M.; Domingues, S. H.; de Matos, C. J. S.; Anais do MOMAG 2014: 16º SBMO - Simpósio Brasileiro de Micro-ondas e Optoeletrônica e 11º CBMag - Congresso Brasileiro de Eletromagnetismo, Curitiba, Brasil, 2014.

113. Khetani, A.; Laferrière, M.; Anis, H.; Scaiano, J. C.; J. Mater. Chem. 2008, 18, 4769. DOI: http://dx.doi.org/10.1039/b804697b

114. Nielsen, K.; Noordegraaf, D.; Sørensen, T.; Bjarklev, A.; Hansen, T. P.; J. Opt. A: Pure Appl. Opt. 2005, 7 L13. DOI: http://dx.doi.org/10.1088/1464-4258/7/8/L02

115. Huang, Y.; Xu, Y.; Yariv, A.; Appl. Phys. Lett. 2004, 85, 5182. DOI: http://dx.doi.org/10.1063/1.1828593

116. Xiao, L.; Jin, W.; Demokan, M. S.; Ho, H. L.; Hoo, Y. L.; Zhao, C.; Opt. Express 2005, 13, 9014. DOI: http://dx.doi.org/10.1364/OPEX.13.009014 PMID: 19498936

117. Martelli, C.; Canning, J.; Lyytikainen, K.; Groothoff, N.; Opt. Express 2005, 13, 3890. DOI: http://dx.doi.org/10.1364/OPEX.13.003890 PMID: 19495297

118. de Matos, C. J. S.; Cordeiro, C. M. B.; dos Santos, E. M.; Ong, J. S. K.; Bozolan, A.; Brito Cruz, C. H.; Opt. Express 2007, 15, 11207. DOI: http://dx.doi.org/10.1364/OE.15.011207 PMID: 19547475

119. Gerosa, R. M.; Sudirman, A.; Menezes, L. de S.; Margulis, W.; de Matos, C. J. S.; Optica 2015, 2, 186. DOI: http://dx.doi.org/10.1364/OPTICA.2.000186

120. Cordeiro, C. M. B.; de Matos, C. J. S.; dos Santos, E. M.; Bozolan, A.; Ong, J. S. K.; Facincani, T.; Chesini, G.; Vaz, A. R.; Brito Cruz, C. H.; Meas. Sci. Technol. 2007, 18, 3075. DOI: http://dx.doi.org/10.1088/0957-0233/18/10/S05

121. Cordeiro, C. M. B.; dos Santos, E. M.; Brito Cruz, C. H.; de Matos, C. J. S.; Ferreira, D. S.; Opt. Express 2006, 14, 8403. DOI: http://dx.doi.org/10.1364/OE.14.008403 PMID: 19529217

122. Kieu, K.; Schneebeli, L.; Norwood, R. A.; Peyghambarian, N.; Opt. Express 2012, 20, 8148. DOI: http://dx.doi.org/10.1364/OE.20.008148 PMID: 22453484

On-line version ISSN 1678-7064 Printed version ISSN 0100-4042
Qu�mica Nova
Publica��es da Sociedade Brasileira de Qu�mica
Caixa Postal: 26037 05513-970 S�o Paulo - SP
Tel/Fax: +55.11.3032.2299/+55.11.3814.3602
Free access

GN1