JBCS



12:31, sáb out 25

Acesso Aberto/TP



Nota Técnica

Fast GC-FID method for monitoring acidic and basic catalytic transesterification reactions in vegetable oils to methyl ester biodiesel preparation

Renata Takabayashi Sato; Pedro Henrique Fazza Stroppa; Adilson David da Silva; Marcone Augusto Leal de Oliveira*

Departamento de Química, Instituto de Ciências Exatas, Universidade Federal de Juiz de Fora, 36036-330 Juiz de Fora - MG, Brasil

Recebido em 20/07/2015
Aceito em 03/11/2015
Publicado na web em 18/02/2015

Endereço para correspondência

*e-mail: marcone.oliveira@ufjf.edu.br

RESUMO

A fast gas chromatography with a flame ionisation detector (GC-FID) method for the simultaneous analysis of methyl palmitate (C16:0), stearate (C18:0), oleate (C18:1), linoleate (C18:2) and linolenate (C18:3) in biodiesel samples was proposed. The analysis was conducted in a customised ionic-liquid stationary-phase capillary, SLB-IL 111, with a length of 14 m, an internal diameter of 0.10 mm, a film thickness of 0.08 µm and operated isothermally at 160 ºC using hydrogen as the carrier gas at a rate of 50 cm s-1 in run time about 3 min. Once methyl myristate (C14:0) is present lower than 0.5% m/m in real samples it was used as an internal standard. The method was successful applied to monitoring basic and acidic catalysis transesterification reactions of vegetable oils such as soybean, canola, corn, sunflower and those used in frying process.

Palavras-chave: biodiesel; fatty acid methyl esters; fast gas chromatography; ionic liquid column.

INTRODUCTION

Biodiesel is an alternative fuel obtained from renewable biological sources such as vegetable oils and animal fats.1 Factors including geography, climate and economy determine the most interesting vegetable oils for biodiesel production. From a chemical point of view, biodiesel is a mixture of esters formed by the transesterification of triacylglycerides, which are present in oils and fats, with a short chain alcohol (usually methanol or ethanol), in the presence of an alkaline (strong bases), acidic (strong acids) or enzymatic catalyst.2 Biodiesel has received much attention, mainly for environmental reasons, because this biofuel may reduce carbon dioxide emissions by about 78% compared to conventional diesel. Besides, biodiesel presents better lubricant proprieties and an appropriate combustion point (range from 100 to 170 ºC), making it safer to transport and store, owing to the fact that there is no need for perforation or refining and there is less importation dependence. In addition, biodiesel can be produced from cooking oils, which are sometimes improperly disposed of.3,4 Biodiesel presents a 12% energy reduction, which increases the fuel consumption in 2-10%, causing excessive carbon deposition in engines and resulting in defects. It also has less oxidative stability, higher nitrogen oxide (NOx) emissions, cloud point and viscosity.4 Biodiesel can be used pure or in mixtures with fossil diesel. The nomenclature to identify these mixtures is BX, where X corresponds to the percentage of biodiesel in the sample, for example, B7 corresponds to 7% biodiesel and 93% fossil fuel. In Brazil, it is mandatory to contain at least 7% biodiesel, since November 2014.5 Biodiesel must to be free of impurities, which can be accumulated on the injectors, provoking damage to the combustion chamber or other parts of engines. For example, excessive quantities of glycerin, soap, water as well as mono-, di- and triacylglicerides cause damage to engines, promoting incrustation formation, depositions and corrosion.6

European regulations establish the control of the concentrations of unsaturated esters in biodiesel because of the oxidation propensity, fixing a maximum value of 12% and 1%weight for the methyl linolenate and the methyl esters with more than three unsaturations respectively.7 Besides, the individual identification of the methyl esters may be important for studies on exhaust emissions, because it is believed that the chemical structures of these methyl esters influence the emissions, that is, as lower the carbonic chain or the molecular mass, lower will be the melting point and the viscosity.8 Some studies have shown that the higher the number of unsaturations, the greater the nitrogen oxide emissions (NOx); additionally, the chain size influences the hydrocarbons9 and carbon monoxide (CO) levels, because the shorter the carbonic chain, the lower their emissions will be.8,10

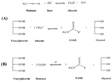
The basic catalysts reaction are the most utilised because they result in faster processes, greater yields and require more moderate reaction conditions. However, this kind of catalysis for vegetable oil transesterification reactions produces soap through the neutralisation free fatty acid (FFA) and triglyceride saponification. The formation of soap is undesirable, because it consumes a part of catalyst, decreases the biodiesel yield and makes the separation and purification processes more difficult. The formation of soap may be avoid by using a vegetable oil with a lower FFA content, even though it presents higher prices, it reduces uses of residues and non-processed oils.11 On the other hand, raw materials with the highest acidity (animal fats and oils used in frying processes) would be best transesterified by acidic catalysts. Despite the slow kinetics, acidic catalysis promotes the conversion of FFA, in the raw material, into esters.12 Figure 1 shows the schemes for transesterification reaction by basic and acidic catalysis.

 


Figure 1. Schemes for transesterification by (A) basic and (B) acidic catalysis

 

One of the most used methods for fatty acid methyl esters (FAMEs) analysis in biodiesel samples is GC-FID, but some works showed that using conventional columns is not advantageous due the longer time analysis. Pauls13 described a conventional method using a 100 m column containing a biscyanopropyl phase, with programmed oven temperature from 100 to 240 ºC and Ragonese et al.14 optimized a method for the analysis of a soybean FAMEs B20 sample, using a liquid ionic stationary phase column of 30 m, operating under programmed oven temperature from 50 to 270 ºC, both in, about, 50 min of analysis time.

Within this context, the present work has as aim to demonstrate an alternative method able to perform fast analysis of majority FAMEs in biodiesel samples obtained through the basic or acidity catalysis transesterification reaction of vegetable oils such as soybean, canola, corn, sunflower and those used in frying process by fast GC-FID using an ionic-liquid as stationary-phase column.

 

EXPERIMENTAL

Chemicals

In this work, methanol at 99.8% (MeOH), hydrochloric acid at 37% (HCl), anhydrous sodium sulfate (Na2SO4) (Vetec, Rio de Janeiro, Brazil), chromatographic-grade hexane (Sigma Aldrich, St. Louis, MO, EUA), sodium chloride (NaCl) (Proquímicos, Rio de Janeiro, Brasil) and sodium hydroxide (NaOH) (Synth, São Paulo, Brazil) were used.

Methyl myristate (C14:0), methyl palmitate (C16:0), methyl stearate (C18:0), methyl oleate (C18:1) and methyl linoleate (C18:2) were purchased from Sigma-Aldrich (St. Louis, MO, EUA).

Individual FAME stock solutions, at a concentration of 30.0 mmol L-1, were prepared by dissolving appropriate amounts of the above-mentioned standards in hexane and they were then stored in a freezer until analysis.

Instrumentation

The experiments were carried out on a GC 2010-Plus gas chromatograph (Shimadzu, Kyoto, Japan), which was equipped with a split-splitless injector, an AOC 20-I auto-injector and a flame ionisation detector (FID). The data were collected by GC Solution software (Shimadzu, Kyoto, Japan). A customised ionic-liquid stationary-phase [1,5-di(2,3-dimethylimidazolium) pentane bis(trifluoromethylsulfonyl)imide] capillary [SLB-IL 111 (Supelco, Bellefonte, PA, USA)] was used, which is one of the most polar commercial columns (that allows a better separation), with a length of 14 m, an internal diameter of 0.10 mm and a film thickness of 0.08 µm. The temperatures of the injector, oven and FID were 230, 160 and 230 ºC, respectively; hydrogen was used as the carrier gas (50 cm s-1) and the injection volume was 1 µL in split mode (1:500). The other FID parameters included: N2 as the make-up gas (to conduct the analytes through the detector in order to decrease the band enlargement) at a flow rate 30 mL min-1, whereas H2 was used at a flow rate of 40 mL min-1 and the air flow rate was 400 mL min-1.

Samples

The vegetable oils were obtained from a local market and the oil used in frying processes was obtained from random donations, thus, its origin is unknown.

Transesterification reaction by basic catalysis

For the transesterification reaction, an alternative method was proposed: in a 500 mL beaker, a solution containing NaOH (1 g) and MeOH (100 mL) was prepared. The solution was maintained under magnetic agitation at 60 ºC after; it was added 250 mL of the raw material and the beaker was covered with a watch-glass. Then, the reactional mixture was again maintained under magnetic agitation at 60 ºC. After 1 h, the colour changed from a light opaque yellow to a dark translucent yellow, indicating that the triacylglycerides were converted to FAMEs.15

Afterwards, the transesterified sample was transferred to a separation funnel for glycerol decantation over 12 h, forming two phases, namely, biodiesel (top) and glycerol (under). Subsequently, the top part was washed with 250 mL water purified by reverse osmosis, for three times or until the product pH reached, approximately, 7. Next, saturated NaCl solution (250 mL) was added to unstabilise any emulsions, and after 1h of decantation, the aqueous solution was discarded. Na2SO4 was added and posterior filtration was performed, afterwards, the biodiesel was subjected to rotary evaporation in order to eliminate possible residual solvents. The samples were stored in an amber flask and sheltered from light. The yields were calculated from the initial volume of the raw material with the biodiesel volume, ranging from 75 to 90%.

Transesterification reaction by acidic catalysis

An experiment for biodiesel acquisition was performed by using acidic catalysis. In a 500 mL beaker, a solution containing 2.4 mL HCl (37%), 100 mL MeOH and 100 mL commercial vegetable oil was prepared. This solution was maintained under magnetic agitation at 60 ºC for 8 h.

The reaction was followed by the colour changing, which is analogous to the reaction by basic catalysis: the colour changed from an opaque yellow to a dark translucent yellow, which indicated that the triacylglycerides had converted to FAMEs.15 For the separation and washing of the product, the procedures were the same as those used for the basic catalysis reaction. However, a bigger emulsion formation was observed, which made the washing process more difficult, decreasing the reaction yield to 60%.

Figure 2 shows the flowchart for biodiesel acquisition using basic or acid catalysis.

 


Figure 2. Biodiesel preparation. (A) by basic catalysis and (B) by acidic catalysis

 

Sample preparation

The sample preparation for the FAMEs analysis by GC-FID consisted of using the biodiesel dilution in hexane (1% v/v) with the internal standard (C14:0) at a concentration of 2.0 g L-1 in a 1.0 mL Eppendorf tube, which was placed in a vortex agitator for 2 min. Then, the sample was injected into the GC equipment, in authentic duplicates.

 

RESULTS AND DISCUSSION

GC-FID Method consideration

For FAMEs analysis in the biodiesel samples obtained from the transesterification of vegetable oils (soybean, canola, sunflower, corn and from frying processes), a fast GC-FID alternative method, with a high-polarity ionic-liquid stationary-phase column, was proposed. Thus, the method was based on the work of Ragonese et al.,14 which presented the separation of FAMEs and hydrocarbons in a B20 sample. However, the application of a temperature program (50-270 ºC, at 70 ºC min-1) was necessary for better separation of the FAMEs and hydrocarbons. Besides, the Ragonese's paper did not describe the use of the column for analysis of pure biodiesel. In the practice point of view, it is important to highlight that the liquid ionic stationary phase column can suffer hydrolysis in presence of low amount of water. Thus, the investigation about the performance of this column in presence of pure biodiesel, which is submitted to water wash after the reaction could be a motivation to investigate the behaviour of the ionic liquid column, since our acknowledgment no report was found in the literature. Besides, in the present work, for B100 analysis it is not necessary to use of temperature program; thus, a 160 ºC isotherm was used, which resulted in an analytical throughput improvement, as it is not necessary to wait for the oven to cool between successive analyses. Once C14:0 is present lower than 0.5% m/m in real samples, it was used as an internal standard.16 Thus, as observed in Figure 3, C14:0 was not detected in the real sample and it could be used as an internal standard at a fixed concentration of 2.0 g L-1.

 


Figure 3. (A) Chromatogram for standards solutions and (B) for soybean biodiesel. Peaks: C 14:0 - methyl myristate; C 16:0 - methyl palmitate; C 18:0 - methyl stearate; C 18:1 - methyl oleate; C 18:2 - methyl linoleate; C 18:3 - methyl linoleneate

 

Biodiesel analysis

With the obtained chromatograms (Figure 4), it is possible to estimate the individual concentration of each FAME of interest through Equation 117 and to monitor if transesterification reaction was successful achieved.

 


Figure 4. Biodiesel samples chromatograms. A - soybean biodiesel. B - frying processes oil biodiesel. C - canola biodiesel (the others samples chromatograms are analogous to the showed in this figure). Peaks: C 14:0 - methyl myristate; C 16:0 - methyl palmitate; C 18:0 - methyl stearate; C 18:1 - methyl oleate; C 18:2 - methyl linoleate; C 18:3 - methyl linoleneate

 

where, [FAME] is the concentration of each FAME, [C14:0] is the concentration of the internal standard fixed at 2.0 g L-1, AFAME and AC14:0 are the FAME and internal standard areas, respectively, which were obtained by the integration of the corresponding peaks in the chromatogram.

From the results shown in Table 1 and using the results obtained in Figure 5, it was possible to verify whether the reactions were successful or not by comparing the found FAMEs with the fatty acid content of each raw material, as established from previously published reports.16

 

 

 


Figure 5. FAMEs percentages determined on samples of biodiesel

 

Thus, in the samples obtained from basic transesterification, it could be observed that the FAMEs concentrations were in the expected range, except for the biodiesel made from acidic transesterification, indicating that this reaction was not advantageous, and for biodiesel from frying processes, which, despite presenting considerable FAMEs concentrations, had a large percentage of non-transesterified matter or non-detectable FAMEs. On the other hand, the samples that were transesterified by basic catalysis resulted in good yields and expected concentration ranges, except for the sample made from oils used in frying processes, indicating that, before the transesterification reaction, a pre-treatment process is required through an esterification process. The biodiesel made from soybean, obtained by acidic catalysis, did not present good results, indicating that the reaction conditions must be optimised.

 

CONCLUSION

Fast GC-FID analysis using the column containing an ionic-liquid stationary phase could process a larger number of replicates in a shorter time, decreasing the consumption of energy, the volume of carrier and combustion gases and, consequently, the cost per sample. In addition, individual FAME determination is important for biodiesel quality owing to the oxidation tendency, depending on the unsaturated FAME concentrations. On the other hand, as the method was set in isothermal mode, resulting in increases of the throughput, which is very interesting for quality control in routine analysis.

 

ACKOWLEDGEMENTS

The authors wish to thank the Conselho Nacional de Desenvolvimento Científico e Tecnológico (CNPq - 475055/2011-0 and 301689/2011-3), Fundação de Amparo à Pesquisa do Estado de Minas Gerais of Brazil (FAPEMIG-CEX APQ 02420-11 and CEX-PPM 00205-11), and Coordenação de Aperfeiçoamento de Pessoal de Nível Superior (CAPES) for fellowships and financial support.

 

REFERENCES

1. Ma, F.; Hanna, M. A.; Bioresour. Technol. 1999, 70, 15. DOI: http://dx.doi.org/10.1016/S0960-8524(99)00025-5

2. Ferrari, R. A.; Oliveira, V. d. S.; Scabio, A.; Quim Nova 2005, 28, 5. DOI: http://dx.doi.org/10.1590/S0100-40422005000700001

3. Xue, J.; Grift, T. E.; Hansen, A. C.; Renewable Sustainable Energy Rev. 2011, 15, 1098. DOI: http://dx.doi.org/10.1016/j.rser.2010.11.016

4. Atabani, A. E.; Silitonga, A. S.; Badruddin, I. A.; Mahlia, T. M. I.; Masjuki, H. H.; Mekhilef, S.; Renewable Sustainable Energy Rev. 2012, 16, 2070. DOI: http://dx.doi.org/10.1016/j.rser.2012.01.003

5. Brasil, Resolução ANP nº 14. In Agência Nacional do Petróleo, Ed. Diário Oficial da União, in 18/05/2012, 2012.

6. Paula, A. J. A. d.; Krügel, M.; Miranda, J. P.; Rossi, L. F. d. S.; Neto, P. R. d. C.; Quim Nova 2011, 34, 91. DOI: http://dx.doi.org/10.1590/S0100-40422011000100018

7. Lôbo, I. P.; Ferreira, S. L. C.; da Cruz, R. S.; Quim Nova 2009, 32, 1596. DOI: http://dx.doi.org/10.1590/S0100-40422009000600044

8. Mccormick, R. L.; Graboski, M. S.; Alleman, T. L.; Herring, A. M.; Environ. Sci. Technol. 2001, 35, 1742. DOI: http://dx.doi.org/10.1021/es001636t PMID: 11355187

9. Sushchik, N. N.; Kuchkina, A. Y.; Gladyshev, M. I.; Water Res. 2013, 47, 3192. DOI: http://dx.doi.org/10.1016/j.watres.2013.03.031 PMID: 23561504

10. Knothe, G.; Sharp, C. A.; Thomas W. Ryan, I.; Energy Fuels 2006, 20, 403. DOI: http://dx.doi.org/10.1021/ef0502711

11. Vicente, G.; Martínez, M.; Aracil, J.; Bioresour. Technol. 2004, 92, 297. DOI: http://dx.doi.org/10.1016/j.biortech.2003.08.014 PMID: 14766164

12. Portela, F. M.; Dissertação de mestrado, Universidade Federal de Uberlândia, Brasil, 2011.

13. Pauls, R. E.; J. Chromatogr. Sci. 2011, 49, 370. DOI: http://dx.doi.org/10.1093/chromsci/49.5.370 PMID: 21549028

14. Ragonese, C.; Tranchida, P. Q.; Sciarrone, D.; Mondello, L.; J. Chromatogr. A 2009, 1216, 8992. DOI: http://dx.doi.org/10.1016/j.chroma.2009.10.066 PMID: 19913232

15. Dib, F. H.; Dissertação de mestrado, Universidade Estadual Paulista "Júlio de Mesquita Filho", Brasil, 2010.

16. Brasil, Resolução RDC nº 482, de 23 de setembro de 1999, In ANVISA, Ed. D.O.U. - Diário Oficial da União; Poder Executivo, 13 de outubro de 1999, 1999.

17. ASTM Internacional, In D6751, Ed. June, 2015.

On-line version ISSN 1678-7064 Printed version ISSN 0100-4042
Qu�mica Nova
Publica��es da Sociedade Brasileira de Qu�mica
Caixa Postal: 26037 05513-970 S�o Paulo - SP
Tel/Fax: +55.11.3032.2299/+55.11.3814.3602
Free access

GN1