JBCS



17:17, sáb out 25

Acesso Aberto/TP



Educação


Sobre um estudo da entropia de shannon no contexto da mecânica quântica: uma aplicação ao oscilador harmônico livre e confinado
Study of shannon entropy in the context of quantum mechanics: an application to free and confined harmonic oscillator

Wallas S. Nascimento*; Frederico V. Prudente

Instituto de Física, Universidade Federal da Bahia, 40210-340 Salvador - BA, Brasil

Recebido em 22/09/2015
Aceito em 10/12/2015
Publicado na web em 11/03/2016

Endereço para correspondência

*e-mail: wallassantos@gmail.com

RESUMO

The aim of this study was a didactic presentation of the Shannon entropy in the quantum theory context, followed by application to the case of a one-dimensional harmonic oscillator in its ground state, both in the free case and confined case. The study of these systems allows us to highlight notions such as location or delocation of a particle, a possible interpretation that the Shannon entropy can adopt. The Shannon entropy in position (Sx) and momentum (Sp) spaces were calculated for both systems, beyond the entropic sum (St = Sx + Sp). With this procedure it was possible to identify trends in the behavior of the Shannon entropy (Sx and Sp) and test the compliance of the entropic uncertainty relation (St = Sx + Sp > n(1 + ln(π))).

Palavras-chave: information theory; Shannon entropy; confined quantum system.

INTRODUÇÃO

No prefácio de seu livro Introduction to Nonextensive Statistical Mechanics, Constantino Tsallis relata um diálogo bem interessante entre Claude Shannon e John Von Neumann. Conta-se que Shannon, indeciso sobre como chamar a função por ele derivada, pensou inicialmente em chamá-la de informação, mas este nome já era muito usado. Depois de muito pensar, resolveu chamá-la de função incerteza. Entretanto, nesta conversa foi aconselhado por John Von Neumann:1 "Você deve chamá-la de entropia, por duas razões. Em primeiro lugar, a sua função incerteza tem sido utilizada na mecânica estatística com esse nome, então ela já tem um nome. Em segundo lugar, e mais importante, é que ninguém conhece o que a entropia realmente é, assim, em um debate, você sempre terá a vantagem".2 O presente diálogo ilustra o quanto pode ser controverso o conceito de entropia.

O conceito de entropia surge, inicialmente, no âmbito da termodinâmica, fornecendo uma medida de irreversibilidade de um sistema físico; posteriormente, com a inclusão de métodos estatísticos para o estudo dos sistemas físicos e o estabelecimento da mecânica estatística, o conceito da entropia estatística surge fornecendo uma medida do grau de desordem de um dado sistema;3 para uma crítica ao uso do termo desordem, ver Reis et al.4

A construção do conceito de entropia de Shannon se dá inicialmente dentro da estrutura da teoria matemática da comunicação ou teoria da informação.5 Tal teoria pode ser considerada uma seção da teoria da probabilidade e da matemática estatística que estuda sistemas de comunicação, criptografia, codificação, teoria do ruído, correção de erros, compressão de dados, etc. No âmbito da teoria da informação, a entropia fornece uma medida de incerteza em uma dada distribuição de probabilidade, recebendo, assim, a denominação de entropia de Shannon ou entropia da informação.

Com tais interpretações e generalizações que o conceito de entropia pode adquirir,6 vale lembrar Batel Anjo:7 "Existem conceitos que resistem à passagem do tempo, uns pela sua importância, outros pela sua capacidade de se adaptar a novos domínios da ciência. A entropia, mais do que qualquer outro conceito, mantém viva sua importância, a sua utilidade, e porque não, o seu mistério".

A entropia de Shannon já vem sendo estudada em diversas áreas do conhecimento, principalmente na mecânica quântica, na qual ela tem encontrado uma vasta gama de aplicações para sistemas atômicos e moleculares livres8 como, por exemplo, na mensuração do grau de correlação eletrônica,9 no estudo da energia cinética do sistema,10 na mensuração da qualidade de função-base,11 na caracterização de processos químicos,12 entre outras.13 A entropia de Shannon no espaço das posições pode ser associada à incerteza de se determinar a posição da partícula no espaço; em outras palavras, temos tal quantidade indicando o grau de deslocalização de uma dada partícula no espaço.14 Por outro lado, temos a entropia de Shannon no espaço dos momentos, que pode ser associada à incerteza de determinar o momento de uma dada partícula.

O sistema físico escolhido para estudo no presente trabalho é o oscilador harmônico, tanto no caso livre como no caso em que o sistema se encontra confinado espacialmente. Dentre as várias vantagens da escolha desse sistema podemos citar, inicialmente, a sua solubilidade completa,15 ou seja, existem soluções exatas tanto para sistema livre16 como para sistema confinado.17 Isto é que nos permite adotá-lo para o emprego de novos estudos e metodologias. Além disso, o oscilador harmônico, tanto no caso livre quanto no caso confinado, é um ótimo laboratório para estudar a interpretação da entropia de Shannon como indicador do grau de localização ou deslocalização de uma partícula.

No que tange a sistemas confinados, temos que o seu estudo já é feito há um bom tempo através da determinação de diversas de suas propriedades.18,19 Do ponto de vista histórico, os primeiros modelos foram propostos por Fock e Darwin por volta de 1928 e 1931, respectivamente, quando eles estudaram o efeito do confinamento de um elétron em um campo magnético.20,21 Posteriormente, importantes trabalhos foram feitos, incluindo a ideia de simular o efeito da pressão de um átomo fechado em uma barreira esférica impenetrável, proposto por Michels et al.22 em 1937. A título de exemplos, temos alguns sistemas que podem ser estudados, em primeira aproximação, utilizando o modelo de sistemas confinados, como átomos e moléculas submetidos à alta pressão, os pontos quânticos e objetos astrofísicos densos (ver Montgomery et al.,23 Sech et al.,24 Guimarães et al.25 e suas referências). A motivação em estudar sistemas confinados também advém do fato que o confinamento espacial de um sistema altera suas propriedades em relação ao sistema livre. O estudo da entropia de Shannon em sistemas confinados já foi iniciado26,27 e pode ser de grande interesse, pois, tratando-se de sistemas restritos no espaço, a ideia de localização ou deslocalização de uma determinada partícula pode ficar mais evidente do que no caso do sistema livre.

O presente estudo começa com uma apresentação didática da entropia de Shannon, ressaltando sua conceitualização dentro da teoria da informação, fazendo uma posterior apresentação de como tal quantidade pode ser aplicada no escopo da teoria quântica. Em seguida, é feita uma exposição do sistema de interesse adotado no presente trabalho, o oscilador harmônico unidimensional. Este sistema é então utilizado como exemplo prático de uma aplicação da entropia de Shannon, quando apresentamos os resultados obtidos tanto para o caso do sistema livre como para o caso do sistema confinado. Com esse procedimento, foi possível perceber a ideia de localização e deslocalização de uma partícula e analisar as tendências dos valores das entropias de Shannon no espaço das posições e no espaço dos momentos; subsequentemente a relação de incerteza entrópica é testada. A conclusão consiste na organização de um sumário das principais consequências da análise do presente trabalho.

 

TEORIA DA INFORMAÇÃO

Em 1948, em um artigo intitulado A Mathematical Theory of Communication,5 Shannon lança as bases para o que seria conhecido como teoria matemática da comunicação ou simplesmente teoria da informação. O problema enfatizado era como reproduzir em um ponto de destino a mensagem exata ou a mais aproximadamente possível da mensagem original emitida em um ponto de origem. Com o objetivo de buscar uma grandeza que quantificasse ou caracterizasse uma mensagem sem ambiguidades, tornaram-se irrelevantes os seus aspectos semânticos. O modelo de comunicação de uma fonte discreta passa a ser estudado, tal fonte emitindo símbolos discretos (como exemplo podemos tomar as 26 letras e o espaço que formam os 27 caracteres da língua portuguesa) para a formação de uma mensagem.

Para a teoria da informação, a chamada quantidade de informação atribuída ao sistema (fonte discreta) está ligada necessariamente a variabilidade dos símbolos emitidos para a formação de uma mensagem. Por outro lado, quanto maior for a variabilidade de símbolos maior será a incerteza probabilística ligada ao sistema. Assim, quantidade de informação ou incerteza probabilística são duas interpretações complementares.28

A definição de quantidade de informação (depois de efetuar a medida) ou incerteza probabilística (antes de efetuar a medida), proposta por Shannon, utiliza um tratamento probabilístico e faz uso de uma função logarítmica, sendo representada por5,26,29

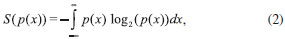
onde pi é a probabilidade de ocorrência de cada evento i (representando um certo símbolo emitido pela fonte) com as restrições: pi e pi > 0. Originalmente a Equação 1 surge na teoria da informação como um teorema. Não obstante a sua prova, a melhor justificativa reside em suas próprias implicações.30 Caso se tenha um dado evento i = a, onde pa = 0, sendo aplicada na Equação 1 pode-se questionar a validade da equação, já que log2 0 não é definido. Entretanto, apoiado na expressão limx→0 x log2 x = 0 convenciona-se que 0 log2 0 ≡ 0. Tal convenção é bastante razoável, considerando que um evento que tenha a probabilidade nula de aparecer não deve oferecer contribuição para a Equação 1.29

É proposto que a Equação 1 deva ser entendida justamente com a noção da entropia na mecânica estatística de Boltzmann-Gibbs, ou seja, uma dada mensagem recebe um tratamento estatístico, levando em consideração os símbolos que a compõe, da mesma forma que a mecânica estatística descreve um sistema macroscópico, levando em consideração os seus constituintes microscópicos. Dentro desse contexto, a Equação 1 passa a ser conhecida como entropia da informação ou entropia de Shannon.

A base da função logarítmica utilizada para compor a entropia de Shannon é arbitrária. O importante é que as propriedades para uma função que se proponha a mensurar quantidade de informação é contemplada por uma função logarítmica, independendo de sua base.28 Por outro lado, a definição da base define a unidade de medida da informação. Desta forma, tratando-se do problema de comunicação, sugere-se trabalhar com a base 2, definindo-se assim a unidade como dígito binário ou bit (do inglês binary digit).31

De maneira análoga à definição da entropia de Shannon [Equação 1] para uma distribuição de probabilidade oriunda de uma fonte que emite símbolos discretos, podemos definir a entropia de Shannon para o caso de uma fonte que emite sinais de forma contínua5

em que p(x) é uma densidade de probabilidade contínua, com p(x)dx = 1 e p(x) > 0.

A entropia de Shannon de uma distribuição contínua pode ser negativa. Uma distribuição mais estreita (ou mais confinada) terá um valor menor, podendo assumir um valor negativo.5 Isto não gera grandes problemas, porque, entre outros motivos, a análise dos valores da entropia de Shannon se faz por meio de valores relativos ou através da comparação de vários valores medidos em um mesmo sistema de coordenadas.

 

TEORIA DA INFORMAÇÃO E TEORIA QUÂNTICA

Nos arcabouços da termodinâmica e da mecânica estatística, a entropia surge não como um conceito inicial de uma teoria, mas depois de todo um tratamento e predições físicas. No âmbito da teoria da informação, a entropia de Shannon surge como ponto inicial de uma teoria, como uma medida de incerteza de uma distribuição de probabilidade oriunda de uma fonte de informação,31 sem predições que levem em consideração teorias advindas da física. O desvinculamento a priori das ideias físicas para a construção da entropia de Shannon, em vez de parecer uma desvantagem, permite a sua aplicabilidade a situações mais diversas, nas quais a entropia estatística não pode ser aplicada diretamente por ter restrições do ponto de vista da física.

No contexto probabilístico da mecânica quântica, Max Born formulou a interpretação de que a quantidade

é identificada como a probabilidade de encontrar a partícula entre e + , estando ela no estado Φ(), caso seja realizada a medida da sua posição.32 A quantidade |Φ()|2 é referida como a função densidade de probabilidade de posição. Essa denominação advém do fato de que a quantidade |Φ()|2 tem obrigatoriamente unidade de probabilidade por unidade de .

Sendo construída com base em uma distribuição de probabilidade, é razoável analisar a densidade de probabilidade ρ() fornecida pela mecânica quântica [Equação 3] do ponto de vista da teoria da informação. É nesse ponto que a teoria da informação entra em contato com a teoria quântica. Para uma distribuição contínua da densidade de probabilidade fornecida pela função de onda do sistema no espaço das posições, a entropia de Shannon para sistemas contínuos, dada pela Equação 2, assume a forma33

A entropia de Shannon no espaço das posições Sx mede a incerteza na localização da partícula no espaço. Pela aplicação de uma Transformada de Fourier na função de onda no espaço das posições Φ(), podemos determinar a sua representação no espaço dos momentos () e sua respectiva densidade de probabilidade γ()=|()|2. Nesse caso, a entropia de Shannon para sistemas contínuos toma a forma33

A entropia de Shannon no espaço dos momentos Sp mede a incerteza na predição do momento da partícula. Por tratar bem diferentes tipos de distribuição, além da gaussiana, a entropia de Shannon é tida como uma medida mais satisfatória de incerteza ou espalhamento de uma distribuição de probabilidade do que a medida fornecida pelo desvio padrão.26,34

Sabe-se que, na teoria quântica, se um sistema está no estado Φ(), a medida de quaisquer dois observáveis A e B só pode ser feita dentro da seguinte precisão:

em que (ΔΦA) é o desvio padrão do observável A e [A,B] é o comutador entre A e B. A Equação 6 é conhecida como princípio de incerteza generalizado. Especificamente, tratando-se dos observáveis posição X e momento P, pode-se chegar ao princípio de incerteza de Heisenberg, ou seja, (ΔΦX)(ΔΦP) > (ħ/2)Î.16 Em suma, o princípio de incerteza de Heisenberg mostra que não é possível medir simultaneamente, com máxima precisão, a posição e o momento de uma partícula.

Considerando o formalismo da entropia de Shannon no contexto da mecânica quântica, pode-se definir uma relação conhecida como relação de incerteza entrópica, que é mais geral do que a de Heisenberg, da seguinte forma:35

em que n é a dimensão no espaço das posições. Essa relação de incerteza passou a ser conhecida como relação BBM (já que foram Iwo Bialynicki-Birula e Jerzy Mycielski que forneceram uma prova consistente dessa relação). A relação de incerteza entrópica tem o significado claro de apresentar um valor limite mínimo para a soma St, que é atingida por funções de onda gaussianas. Ainda de acordo com a Equação 7, quanto mais larga for a distribuição de probabilidade no espaço das posições, mais estreita será no espaço dos momentos e vice-versa [ver análise na seção Resultados e Discussão].36

O presente trabalho adota a base e para a função logarítmica, pois se convencionou, na literatura, trabalhar com a entropia de Shannon no contexto da química quântica e física atômica e molecular desse modo. Note que uma mudança de base apenas desloca os valores absolutos da quantidade em questão. Por outro lado, as Equações 4, 5 e 7 são, do ponto de vista da física, adimensionais; uma discussão mais profunda sobre esse tópico é apresentada por Matta et al.37

 

OSCILADOR HARMÔNICO

Osciladores são interessantes e extremamente importantes no campo da química quântica e da física atômica e molecular por vários motivos. Um exemplo prático do uso do presente sistema é a descrição do movimento relativo dos átomos nas moléculas e nos sólidos, que, em uma primeira aproximação, pode ser descrito usando o modelo do oscilador harmônico, tendo assim um modelo simples, porém poderoso, para o estudo de vibrações moleculares.38

Sistema livre

O caso do oscilador harmônico livre já é bem tratado na literatura, existindo várias metodologias para abordar esse problema. Nesse sentido, podemos destacar o elegante método algébrico utilizando os operadores de Dirac,16,39 que, posteriormente, pode ser usado como uma possível introdução para o estudo da teoria quântica de campos.40 Outro método interessante é analítico e consiste, inicialmente, na determinação da forma da função de onda nas regiões de grandes valores positivos ou negativos de x, posteriormente, são utilizadas séries de potências para resolver a equação diferencial (método de Frobenius), assim pode-se tratar diferentes potenciais.41

Apresentamos aqui resultados que podem ser obtidos tanto via método algébrico como via método analítico. As demonstrações desses resultados estão bem apresentadas na literatura e, dessa maneira, iremos omiti-los. Além disso, por questão de simplicidade, trataremos aqui o sistema unidimensional. Nesse tratamento não temos perda de generalidade, ou seja, os resultados qualitativos apresentados aqui podem ser estendidos para um espaço tridimensional.

No modelo do oscilador harmônico livre o potencial físico do sistema pode ser descrito como

em que x é o deslocamento da partícula de massa m para a posição de equilíbrio x = 0 e w é a frequência angular do oscilador clássico, relacionado-se com a constante de força da mola k por intermédio da relação ω=. A conveniência de usar w é que essa quantidade é diretamente proporcional aos autovalores da energia do oscilador harmônico.

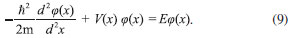
A equação de Schrödinger independente do tempo do sistema é dada por

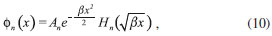
A solução da Equação 9 que descreve o sistema é conhecida, sendo dada por42

em que An é uma constante determinada pela condição de normalização

e Hn() representa os polinômios de Hermite,43 sendo β = . O subíndice n é um número inteiro não-negativo que indica o nível energético em que o sistema se apresenta.

De maneira geral, o valor esperado da energia de um sistema quântico pode ser determinado por

em que H é o Hamiltoniano do sistema. Em particular para o oscilador harmônico unidimensional, as energias dos diversos níveis são dadas por42

Para o caso em que o sistema está no seu estado de energia mais baixa, ou seja, em seu estado fundamental, a função de onda solução para o problema [Equação 10] toma a forma

enquanto que o valor da energia para esse estado fica sendo

No presente trabalho será considerado o sistema em seu estado fundamental, ou seja, utilizaremos a função de onda dada pela Equação 14 com o seu respectivo nível de energia dado pela Equação 15.

Sistema confinado

Os modelos para descrever sistemas confinados são diversos, convencionando-se dividi-los em dois grupos. Um primeiro grupo trata o confinamento do sistema através do potencial. Isso pode ocorrer através de uma possível substituição do potencial físico do sistema V(x) por um potencial modelo Vmod(x) no Hamiltoniano do sistema, potencial esse que, além de conter as propriedades do sistema, simula as condições de confinamento,44 ou seja,

outra maneira de trabalhar é introduzir no Hamiltoniano um potencial confinante Vconf(x) que impõe as condições de confinamento45

Um segundo grupo de estudos sobre como tratar de confinamentos de sistemas quânticos se constitui através do trabalho feito sobre a função de onda do sistema. Nesse caso, a situação de confinamento é imposta diretamente na função de onda do sistema em questão. Na prática, impõem-se condições de contorno na solução da equação de Schrödinger do sistema, multiplicando a solução do sistema livre φ(x) por uma função de corte Ω(x), ou seja,

de tal modo que na fronteira do confinamento a função de onda solução ψ(x) para o sistema confinado seja nula. Apesar dessa diferenciação, os métodos que envolvem os dois grupos podem ser usados simultaneamente para ajudar a melhorar a descrição do sistema confinado.

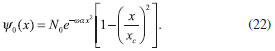
O estudo do oscilador harmônico confinado de modo exato, introduzindo-se as condições de confinamento diretamente na função de onda, é possível.17 Entretanto, apesar de também utilizarmos a situação de confinamento diretamente na função de onda, no presente trabalho será aplicado um método aproximativo, a saber, o método variacional.16,46 Tal procedimento tem a importante característica de tratar sistemas onde a solução analítica não é possível, fornecendo ainda uma ótima descrição do mesmo.26 Desta forma, fazendo uso da solução do oscilador harmônico livre dada pela Equação 14, podemos determinar a função de onda no estado fundamental do oscilador harmônico confinado, adotada no presente trabalho, como sendo

onde ω é a frequência angular de oscilação, N0 é uma constante de normalização e α é o parâmetro variacional a ser ajustado.

O potencial experimentado pela partícula do presente sistema será o chamado potencial de barreiras infinitas, em particular do tipo

O potencial do tipo barreiras infinitas reflete no potencial o efeito da abrupta interrupção da função de onda do sistema, oriunda da imposição da condição de contorno que impõe o confinamento. Situações físicas mais realistas são tratadas através de potenciais finitos que permitem que a partícula consiga atravessar a barreira de confinamento quando estiver em um estado altamente excitado.

 

RESULTADOS E DISCUSSÃO

Na presente seção são apresentados os resultados obtidos, seguido de uma discussão para o oscilador harmônico livre e o oscilador harmônico confinado.

A massa do sistema em estudo foi considerada como sendo a massa de um elétron, e os resultados obtidos são apresentados utilizando o sistema de unidades atômicas (u.a.). Esse sistema de unidades adota como referência o valor de quatro constantes fundamentais: a massa do elétron me, a carga elementar e, a constante de força eletrostática 1/(4πe0) e ħ (constante de Planck h dividida por 2π).

Oscilador harmônico livre

O estudo da entropia de Shannon aplicada ao oscilador harmônico livre já consta de algumas contribuições. Podemos citar, como exemplo, o trabalho com o cálculo dos valores das entropias de Shannon Sx e Sp, bem como a soma entrópica St, para diversos níveis de energia;11 em particular, são obtidos para w = 0,5 u.a. os valores Sx = 1,418, Sp = 0,726 e St = 2,145 para o estado fundamental, concluindo que para tal estado o valor da soma entrópica é o menor comparado com a dos outros estados.

O presente trabalho inicialmente determina os valores das energias para diferentes frequências angulares. Os resultados obtidos são apresentados na Tabela 1, na qual podemos constatar o comportamento linear [ver Equação 15] que a variação da energia do sistema tem com a variação da frequência angular, tendência explicitada na Figura 1.

 

 

 


Figura 1. Energia em função da frequência angular de oscilação ω para o oscilador harmônico livre

 

A aplicação da entropia de Shannon no caso do oscilador harmônico livre inicia-se com a substituição da Equação 14 (em unidades atômicas) e sua transformada de Fourier correspondente, respectivamente, nas Equações 4 e 5, determinando desta maneira os valores das grandezas Sx e Sp. Logo em seguida, através da Relação 7 podemos determinar os valores de St. Tais cálculos foram feitos variando as frequências angulares ω e os resultados obtidos estão dispostos na Tabela 1. Assim, podemos constatar que o aumento do valor de ω faz com que o valor de Sx diminua, enquanto que Sp aumenta. Essas variações se dão de modo que o valor da soma entrópica St mantém-se constante. Todas essas tendências são explicitadas na Figura 2.

 


Figura 2. Entropias de Shannon Sx e Sp, bem como valores de St em função da frequência angular ω para o oscilador harmônico livre

 

A função de onda do estado fundamental do oscilador harmônico livre tem a forma de uma função gaussiana [ver Equação 14]. Através da variação da frequência angular ω, temos uma modificação da amplitude de tal função e, por meio dessa característica, podemos analisar a interpretação da entropia de Shannon no espaço das posições, indicando a localização ou deslocalização de uma partícula. Apresentamos, na Figura 3, a densidade de probabilidade |φ0(x)|2 no espaço das posições em função de x e sua respectiva representação |0(p)|2 no espaço dos momentos em função de p, para algumas frequências angulares. Constatamos que, para frequências menores, |φ0(x)|2 tem uma largura maior quando comparada a |φ0(x)|2 com frequências maiores, indicando, assim, uma localização crescente com o aumento da frequência angular, ou seja, uma diminuição do valor de Sx [ver Tabela 1]. Também podemos constatar o aumento da largura de |0(p)|2 com o aumento da frequência angular, o que implica um aumento de Sp.

 


Figura 3. Densidades de probabilidade |φ0(x)|2 em função de x e |0(p)|2 em função de p para os valores ω = 0, 5 u.a., ω = 2, 5 u.a. e ω = 5, 0 u.a., para o oscilador harmônico livre

 

Em relação à soma entrópica St (ver Tabela 1), temos que o seu valor é preservado independentemente das variações de Sx e Sp, ou seja, temos invariavelmente que St = 2,144730. Este valor encontrado no presente trabalho é o mínimo da relação de incerteza entrópica [St = (1 + ln π) = 2,144730]. Em outras palavras, podemos admitir que a relação de incerteza entrópica, no caso do estado fundamental do oscilador harmônico livre, é respeitada e atinge o seu valor mínimo quando se trabalha com funções gaussianas.

Oscilador harmônico confinado

Dentre as várias propostas para a função de corte Ω(x),45,47 foi escolhida para o presente estudo a seguinte função:

Assim, a função de onda que representa o oscilador harmônico confinado no seu estado fundamental [Equação 19] tem a forma (em unidades atômicas)

Para os cálculos envolvendo o oscilador harmônico confinado foi utilizado o valor da frequência angular ω = 1,0 u.a.. Inicialmente, foram determinados os parâmetros variacionais α para cada distância de confinamento (Tabela 2). O uso do método variacional assegura a determinação da melhor função de onda aproximada pela Equação 22 para cada valor de xc. Por problemas de convergência numérica, trabalhamos com xc = 1,5009 u.a., enquanto que o valor exato da energia foi calculado para xc = 1,5 u.a.

 

 

Com os parâmetros variacionais ajustados, podemos calcular o valor esperado da energia para cada distância de confinamento usando a função de onda proposta. Para comparação, é utilizado o estudo de Almeida et al.,17 em que o confinamento do sistema também é imposto diretamente na função de onda do sistema, porém adotando uma metodologia de cálculo diferente da do presente estudo, fornecendo, assim, o que podemos chamar de energia exata. São apresentados na Tabela 2 os diversos valores das energias para diversas distâncias de confinamento. O comportamento da variação das energias de acordo com a distância de confinamento é explicitado na Figura 4.

 


Figura 4. Energia em função da distância de confinamento xc para o oscilador harmônico confinado

 

Em relação à análise das energias, temos que com o aumento do confinamento (xc menor) a energia também aumenta; por outro lado, com a diminuição do confinamento (xc maior) a energia tende ao valor do sistema livre. Tais comportamentos são esperados para um sistema confinado. Também concluímos que a função de onda adotada para descrição do oscilador harmônico confinado é bem razoável, segundo o critério da energia, tendo em vista que os valores obtidos pelo cálculo aproximado do presente estudo são bem próximos dos valores exatos fornecidos por Almeida et al.17

Com os parâmetros variacionais obtidos anteriormente, substituindo a Equação 22 e sua transformada de Fourier correspondente nas Equações 4 e 5, podemos determinar, nessa ordem, as entropias de Shannon no espaço das posições e no espaço dos momentos (resultados apresentados na Tabela 3). Analisando os valores obtidos, temos que Sx decresce com a diminuição da distância de confinamento (ou aumento do confinamento). Tendo em vista que a entropia de Shannon no espaço das posições mede a incerteza na localização de uma dada partícula, vemos que esse é um resultado aceito, já que a diminuição da distância de confinamento implica que o espaço em que a partícula possa ser localizada diminui. Por outro lado, podemos observar que os valores de Sp aumentam com a diminuição da distância de confinamento. Tais tendências estão explicitadas na Figura 5, em que podemos visualizar a inflexão das curvas devido à influência do confinamento e, além disso, o comportamento destas tendendo ao sistema livre para valores grandes de xc (ver na Tabela 1 o valor para ω = 1,0 u.a.).

 

 

 


Figura 5. Entropias de Shannon Sx e Sp em função da distância de confinamento xc para o oscilador harmônico confiando

 

Interessante observar que, como já indicamos na seção sobre Teoria da Informação, os valores da entropia de Shannon podem ser negativos. No contexto da teoria quântica, tais valores aparecem quando a situação de confinamento espacial do sistema torna-se rigorosa, como podemos observar na Tabela 3, bem como na literatura.14,26,27 Uma elegante interpretação para essa situação é apresentada por Aquino et al.:14 quando a situação de confinamento é bastante rigorosa, a densidade de probabilidade torna-se muito grande, fazendo com que ρ(r) = |ψ(r)|2 >>1. Desta forma -ρ(r) ln ρ(r) < 0 e assim Sr torna-se negativo. Uma análise análoga pode ser feita no espaço dos momentos (para Sp), lembrando que a normalização é em relação à integral ρ(r)dr e não à densidade ρ(r) em cada ponto r.

Na Tabela 3 estão também dispostos os valores da soma entrópica St em função da distância de confinamento xc e na Figura 6 é ressaltado o comportamento geral dessa quantidade. O valor de St é mais alto para a situação de confinamento mais elevada, xc = 0,5 u.a., decrescendo com o aumento de xc, apresentando um valor mínimo de St = 2,144736 para xc = 5,0 u.a., respeitando assim a relação de incerteza entrópica [Relação 7].

 


Figura 6. Soma entrópica St em função da distância de confinamento xc para o oscilador harmônico confinado

 

Percebemos também, como nos casos da energia, Sx e Sp, que os valores de St tendem ao valor determinado para o caso do oscilador harmônico livre (ver Tabela 1, mais precisamente o valor para ω = 1,0 u.a.) para valores altos de xc.

Por outro lado, a Figura 6 evidencia que a soma entrópica tende a um valor limite quando xc diminui. O presente estudo encontrou que para uma partícula em um poço de potencial quadrado infinito, sistema também conhecido como partícula confinada em uma caixa,41 a soma entrópica tem invariavelmente o valor St = 2,21203, independentemente dos valores de Sx e Sp que mudam à medida em que se varia a largura da caixa. Através da análise dos resultados dos valores da soma entrópica para o oscilador harmônico confinado podemos inferir que o seu valor St converge para o valor da soma entrópica da partícula em uma caixa quando xc diminui.

Assim, do ponto de vista da soma entrópica, podemos interpretar que à medida que o confinamento do sistema torna-se mais rigoroso o efeito do potencial harmônico que a partícula experimenta é suplantado pelo efeito do potencial de confinamento. Este comportamento é também verificado, através da análise da energia, em outros sistemas quânticos confinados.18,48

 

CONCLUSÃO

A entropia de Shannon foi apresentada explorando suas principais características, primeiramente em sua área de origem, a saber, a teoria da informação, e depois fornecendo uma ligação de sua aplicação dentro da física atômica e molecular e da química quântica. O caso do oscilador harmônico foi escolhido para ilustrar uma de suas aplicações práticas.

Para o caso do oscilador harmônico livre foi feita, inicialmente, uma análise das energias do sistema com a variação do valor da frequência angular de oscilação ω. Posteriormente, através dos cálculos das entropias de Shannon Sx e Sp com a variação do valor de ω, foi possível estudar a ideia de localização ou deslocalização de uma partícula e também fornecer uma tendência no comportamento dessas quantidades. Com a determinação do valor da soma entrópica St para cada valor de ω escolhido, foi possível validar a relação de incerteza entrópica, bem como confirmar que o seu valor mínimo é atingido quando se trabalha com funções de onda gaussianas.

Em relação ao oscilador harmônico confinado, utilizando a função de onda teste proposta no presente estudo, foram calculados, primeiramente, os valores das energias, tendo sido obtido bons resultados quando comparados com valores da literatura. As entropias de Shannon Sx e Sp foram calculadas para diversas distâncias de confinamento xc. Os valores de Sx decrescem com a redução da distância de confinamento, tendência que, do ponto de vista físico, é esperada, pois é razoável que quanto mais confinada estiver uma partícula menor será a incerteza na sua localização. Por outro lado, temos o aumento dos valores de Sp quando se reduz a distância de confinamento. A relação de incerteza entrópica é respeitada durante todo o estudo. Além disso, a partir da análise dos valores de St para diferentes distâncias de confinamento, verificou-se que no regime de confinamento rigoroso, a partícula sofre a influência principalmente do potencial confinante.

Desde as primeiras aplicações, em meados da década de 80, o estudo da entropia de Shannon vem sendo feita no âmbito da química quântica e da física atômica e molecular, obtendo êxito nas descrições de várias propriedades de sistemas quânticos. Não obstante, observamos a relevância e a atualidade do tema na provocação feita por Gadre et al.:11 "Assim, as entropias da informação parecem ser um tesouro escondido que ainda permanece na maior parte inexplorado".49

 

AGRADECIMENTOS

Os autores agradecem à Coordenação de Aperfeiçoamento de Pessoal de Nível Superior (CAPES) e ao Conselho Nacional de Desenvolvimento Científico e Tecnológico (CNPq) pelo apoio financeiro. Os autores também agradecem aos árbitros pela leitura cuidadosa do manuscrito e pelos comentários e sugestões.

 

REFERENCIAS

1. Tsallis, C.; Introduction to Nonextensive Statistical Mechanics, Springer: New York, 2009.

2. Traduçao dos autores. Em inglês: "You should call it entropy, for two reasons. In the first place your uncentainty function has been used in statistical mechanics under that name, so it already has a name. In the second place, and more important, nobody knowns what entropy really is, so in a debate you will always have the advantage".

3. Nussenzveig, H. M.; Curso de Física Básica 2, Edgard Blucher: Sao Paulo, 2002; Huang, K.; Statistical Mechanics, John Wiley: New York, 1963; Pathria, R. K.; Statistical Mechanics, Pergamon Press: Oxford, 1972; Oki, M. da C. M.; Quim. Nova 2009, 32, 1072; Anacleto, J.; Anacleto, A.; Quim. Nova 2007, 30, 488.

4. Reis, M. C.; Bassi, A. B. M. S.; Quim. Nova 2012, 35, 1057. DOI: http://dx.doi.org/10.1590/S0100-40422012000500035

5. Shannon, C. E.; Bell Syst. Tech. J. 1948, 27, 379. DOI: http://dx.doi.org/10.1002/j.1538-7305.1948.tb01338.x

6. Tavares, A. H. M. de P.; Dissertaçao de Mestrado, Universidade de Aveiro, Portugal, 2003.

7. Anjo, A. J. B.; Tese de Doutorado, Universidade de Aveiro, Portugal, 1999.

8. Statistical Complexity: Applications in Electronic Struture; Sen, K. D., ed.; Springer: Dordrecht, 2011.

9. Sagar, R. P.; Hô, M.; J. Mex. Chem. Soc. 2008, 52, 60.

10. Massen, S. E.; Panos, C. P.; Phys. Lett. A 2001, 280, 65. DOI: http://dx.doi.org/10.1016/S0375-9601(01)00030-5

11. Gadre, S. R.; Sears, S. B.; Chakravorty, S. J.; Bendale, R. D.; Phys. Rev. A: At., Mol., Opt. Phys. 1985, 32, 2602. DOI: http://dx.doi.org/10.1103/PhysRevA.32.2602

12. Flores-Gallegos, N. Em Advances in Quantum Mechanics; Bracken, P., ed.; InTech, 2013, cap. 29, doi: 10.5772/54329; Esquivel, R. O.; Flores-Gallegos, N.; Iuga, C.; Carrera, E. M.; Angulo, J. C.; Antolín, J.; Phys. Lett. A 2010, 374, 948. DOI: http://dx.doi.org/10.5772/54329

13. Mukherjee, N.; Roy, A.; Roy, A. K.; Ann. Phys. (Berlin, Ger.) 2015, doi:10.1002/andp.201500196; Majerník, V.; Opatrny, T.; J. Phys. A: Math. Gen. 1996, 29, 2187; Aguiar V.; Guedes I.; Phys. A (Amsterdam, Neth.) 2015, 423, 72. DOI: http://dx.doi.org/10.1002/andp.201500196

14. Aquino, N.; Flores-Riveros, A.; Rivas-Silva, J. F.; Phys. Lett. A 2013, 377, 2062. DOI: http://dx.doi.org/10.1016/j.physleta.2013.05.048

15. A característica de contar com soluçoes exatas nao pode ser tida como regra, já que a maioria dos sistemas quânticos só podem ser resolvidos de maneira aproximada. Interessantes exposiçoes de métodos aproximativos sao apresentadas em: Piza, A. F. R. T. e; Mecânica Quântica, Edusp: Sao Paulo, 2003; Custodio, R.; Politi, J. R. S.; Segala, M.; Haiduke, R. L. A.; Cyrillo, M.; Quim. Nova 2002, 25, 159; Custodio, R.; Custodio, M. R.; Creatto, E. J.; Quim. Nova 2002, 25, 159.

16. Sakurai, J. J.; Napolitano, J.; Mecânica Quântica Moderna, Bookman: Porto Alegre, 2013.

17. Almeida, M. M.; Guimaraes, M. N.; Prudente, F. V.; Rev. Bras. Ensino Fis. 2005, 27, 395. DOI: http://dx.doi.org/10.1590/S1806-11172005000300017

18. Prudente, F. V.; Costa, L. S.; Viana, J. D. M.; J. Chem. Phys. 2005, 123, 224701. DOI: http://dx.doi.org/10.1063/1.2131068 PMID: 16375489

19. Guimaraes, M. N.; Dissertaçao de Mestrado, Universidade Federal da Bahia, Brasil, 2007; Electronic Structure of Quantum Confined Atoms and Molecules; Sen, K. D., ed.; Springer: Cham, 2014; Advances in Quantum Chemistry, Theory of Confined Quantum Systems: part one and part two; Cruz, S. A., ed.; Academic Press: New York, 2009.

20. Fock, V.; Z. Phys. 1928, 47, 446. DOI: http://dx.doi.org/10.1007/BF01390750

21. Darwin, C. G.; Math. Proc. Cambridge Philos. Soc. 1931, 27, 86. DOI: http://dx.doi.org/10.1017/S0305004100009373

22. Michels, A.; Boer, J. de; Bijl, A.; Physica (Amsterdam) 1937, 4, 981. DOI: http://dx.doi.org/10.1016/S0031-8914(37)80196-2

23. Montgomery Jr., H. E.; Aquino, N.; Flores-Riveros, A.; Phys. Lett. A 2010, 374, 2044. DOI: http://dx.doi.org/10.1016/j.physleta.2009.12.062

24. Sech, C. L.; Banerjee, A.; J. Phys. B: At., Mol. Opt. Phys. 2011, 44, 105003. DOI: http://dx.doi.org/10.1088/0953-4075/44/10/105003

25. Guimaraes, M. N.; Prudente, F. V.; J. Phys. B: At., Mol. Opt. Phys. 2005, 38, 2811. DOI: http://dx.doi.org/10.1088/0953-4075/38/15/017

26. Nascimento, W. S.; Dissertaçao de Mestrado, Universidade Federal da Bahia, Brasil, 2013.

27. Sen, K. D.; J. Chem. Phys. 2005, 123, 74110; Stevanovic, L.; 7th International Conference of the Balkan Physical Union, Alexandroupolis, Greece, 2009; Laguna, H. G.; Sagar, R. P.; Ann. Phys. (Berlin, Ger.) 2014, 526, 555; Burrows, B. L.; Cohen, M.; Mol. Phys. 2008, 106, 267. DOI: http://dx.doi.org/10.1063/1.2008212

28. Epstein, I.; Teoria da Informaçao, Editora Atica: Sao Paulo, 1988.

29. Nielsen, M. A.; Chuang, I. L.; Computaçao Quântica e Informaçao Quântica, Bookman: Porto Alegre, 2005.

30. Intuitivamente, pensemos em um evento probabilístico E e uma funçao de informaçao I(E), com as hipóteses: a) I(E) é funçao da probabilidade p (intervalo de 0 a 1) do evento E, assim I = I(p); b) I(p) é uma funçao suave e 3) I(pq) = I(p) + I(q) (para p, q > 0), ou seja, a informaçao obtida de dois eventos independentes (probabilidades p e q) é igual a soma da informaçao obtida com cada evento independentemente. Pode-se mostrar que I(p) = log2(p) cumpre as hipóteses anteriores. Existindo vários eventos excludentes (probabilidades (p1,...,pn)) pode-se chegar a expressao dada pela Equaçao 1.29

31. Shannon, C. E.; Weaver, W.; A Teoria Matemática da Comunicaçao, DIFEL: Sao Paulo, 1975.

32. Born, M.; Física Atómica, Fundaçao Calouste Gulbenkian: Lisboa, 1968.

33. Panos, C. P.; Chatzisavvas, K. C.; Moustakidis, C. C.; Nikolaidis, N.; Massen, S. E.; Sen, K. D. Em Statistical Complexity: Applications in Electronic Struture, Sen, K. D., ed.; Springer: Dordrecht, 2011, cap. 3.

34. Dehesa, J. S.; Martínez-Finkelshtein, A.; Sorokin, V. N.; Phys. Rev. A: At., Mol., Opt. Phys. 2002, 66, 62109; Orlowski, A.; Phys. Rev. A: At., Mol., Opt. Phys. 1997, 56, 2545. DOI: http://dx.doi.org/10.1103/PhysRevA.66.062109

35. Bialynicki-Birula, I.; Mycielski, J.; Commun. Math. Phys. 1975, 44, 129. DOI: http://dx.doi.org/10.1007/BF01608825

36. Massen, S. E.; Moustakidis, Ch. C.; Panos, C. P.; Phys. Lett. A 2002, 299, 131. DOI: http://dx.doi.org/10.1016/S0375-9601(02)00667-9

37. Matta, C. F.; Sichinga, M.; Ayers, P. W.; Chem. Phys. Lett. 2011, 514, 379 DOI: http://dx.doi.org/10.1016/j.cplett.2011.08.072

38. Alonso M.; Finn, E. J.; Física Cuántica y Estadistica, Fondo Educativo Interamericano: Barcelona, 1971.

39. Lopes, J. L.; A Estrutura Quântica da Matéria: do Atomo Pré-socrático às Partículas Elementares, Editora UFRJ: Rio de Janeiro, 2005.

40. Pereira, R. G.; Miranda, E.; Rev. Bras. Ensino Fis. 2002, 24, 237. DOI: http://dx.doi.org/10.1590/S1806-11172002000200021

41. Griffiths, D. J.; Introduction to Quantum Mechanics, Prentice Hall: New Jersey, 1995; Eisberg R.; Resnick R.; Física Quântica: Atomos, Moléculas, Sólidos, Núcleos e Partículas, Campus: Rio de Janeiro, 1979.

42. Maniero, A. M.; Notas de Aula do Curso de Introduçao a Mecânica Quântica, Salvador, 2006.

43. Arfken, G. B.; Weber, H. J.; Mathematical Methods for Physicists, Academic Press: New York, 1995.

44. Santos, L. C.; Dissertaçao de Mestrado, Universidade Federal da Bahia, Brasil, 2009.

45. Marin, J. L.; Cruz, S. A.; J. Phys. B: At., Mol. Opt. Phys. 1991, 24, 2899. DOI: http://dx.doi.org/10.1088/0953-4075/24/13/006

46. Alcácer, L.; Introduçao à Química Quântica Computacional, IST Press: Lisboa, 2007.

47. Gimarc, B. M.; J. Chem. Phys. 1966, 44, 373; Ludena, E. V.; J. Chem. Phys. 1977, 66, 468; Varshni, Y. P.; J. Phys. B: At., Mol. Opt. Phys. 1997, 30, L589. DOI: http://dx.doi.org/10.1063/1.1726472

48. Barbosa, T. N.; Almeida, M. M.; Prudente, F. V.; J. Phys. B: At., Mol. Opt. Phys. 2015, 48, 055002. DOI: http://dx.doi.org/10.1088/0953-4075/48/5/055002

49. Traduçao dos autores. Em inglês: "Thus, the information entropies seem to be a hidden treasure, which, as yet remains mostly unexplored"

On-line version ISSN 1678-7064 Printed version ISSN 0100-4042
Qu�mica Nova
Publica��es da Sociedade Brasileira de Qu�mica
Caixa Postal: 26037 05513-970 S�o Paulo - SP
Tel/Fax: +55.11.3032.2299/+55.11.3814.3602
Free access

GN1