JBCS



23:22, sáb out 25

Acesso Aberto/TP



Revisão


A determinação dos produtos avançados de glicação (AGEs) e de lipoxidação (ALEs) em alimentos e em sistemas biológicos: avanços, desafios e perspectivas
Determination of advanced glycation (AGEs) and lipoxidation (ALEs) end products in foods and biological systems: advances, challenges and perspectives

Júnia H. Porto Barbosa*; Isis T. Souza; Antônio E. G. Santana; Marília O. F. Goulart

Instituto de Química e Biotecnologia, Universidade Federal de Alagoas, 57072-970 Maceió - AL, Brasil

Recebido em 23/11/2015
Aceito em 04/01/2016
Publicado na web em 18/03/2016

Endereço para correspondência

*e-mail: juniap@gmail.com

RESUMO

Advanced glycation (AGEs) and lipoxidation (ALEs) products are formed through specific condensation reactions between nucleophiles (amino groups of free amino acids or their residues in peptides, aminophospholipids or proteins) and electrophiles (carbonyls of reducing sugars, oxidized lipids or others) generating well-defined sets of covalent adducts. The ε-amino group of the lysine is the most reactive precursor in proteins and the primary target of carbohydrate attacks. AGEs/ALEs accumulation has consequences in the development of vascular, renal, neural and ocular complications, as well as in the triggering of inflammatory and neurodegenerative diseases. Therefore, AGEs/ALEs detection, quantification and, in some cases, the assessment of the extent of glycation in biomolecules of different matrices represent a factor of primary interest for science. Reliable analytical methods are thus required. Together with basic concepts, this review presents the main advances, challenges and prospects of research involving AGEs and ALEs in biological and food systems, exploring practical strategies to ensure greater reliability in the analysis of these compounds in different matrices.

Palavras-chave: Nε-(carboxymethyl)lysine; mass spectrometry; glycotoxins; carbonyl stress; Maillard reaction.

INTRODUÇÃO

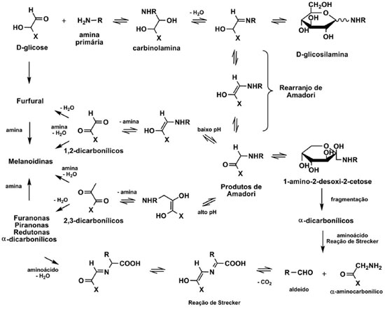
Desde que o bioquímico francês Louis Camille Maillard (1878-1936) descreveu a reação entre açúcares redutores e aminoácidos, formando a base para a compreensão do fenômeno de escurecimento não enzimático que ocorre durante a estocagem e o processamento dos alimentos, expressivo progresso tem sido alcançado nessa área de estudos.1 É aceita hoje como "reação de Maillard" uma série de reações paralelas e subsequentes que levam à formação de uma grande variedade de compostos que conferem aroma e cor aos alimentos, bem como à formação dos chamados produtos de glicação (AGEs, do inglês Advanced Glycation Endproducts) e de lipoxidação (ALEs, do inglês Advanced Lipoxidation Endproducts) avançados2 (Figura 1).

 


Figura 1. Visão geral da reação de Maillard e da formação dos AGEs e ALEs. O estágio inicial da reação de Maillard caracteriza-se pela condensação entre carbonilas de açúcares redutores e grupos amino de aminoácidos livres ou seus resíduos em peptídeos, aminofosfolipídeos ou proteínas, com formação da base de Schiff e do composto de Amadori. Além dos açúcares redutores, outros agentes carbonílicos, como intermediários da via glicolítica e produtos da oxidação de lipídeos, aminoácidos, vitamina C podem ser os agentes carbonílicos iniciadores da reação. Em seu estágio intermediário, a reação gera intermediários carbonílicos reativos capazes de atacar outros grupos amino, levando finalmente à formação dos chamados produtos da glicação (AGEs) ou da lipoxidação (ALEs) avançadas. In vivo, o processo inflamatório também promove a formação de AGEs/ALEs por meio da oxidação de aminoácidos mediada pelas enzimas NADPH oxidase e mieloperoxidase. Em alimentos, a reação de Maillard leva a formação de cor e aroma característicos

 

No processamento dos alimentos, a reação pode conferir aspectos positivos, como a formação do odor e sabor atrativos, mas acarreta também consequências nutricionais negativas, como a perda de aminoácidos essenciais e a formação de substâncias potencialmente nocivas à saúde humana. A formação de AGEs e ALEs nos alimentos constitui um tema de grande interesse na atualidade, desde que esses compostos tem sido associados a importantes efeitos pró-oxidativos e pró-inflamatórios envolvidos nas alterações metabólicas inerentes ao processo de envelhecimento, mas também à patogênese e à progressão de inúmeras doenças crônicas degenerativas, como o diabetes, o mal de Alzheimer, a insuficiência renal e a aterosclerose.3,4

Do ponto de vista químico, os AGEs/ALEs representam uma classe complexa de compostos formados em alimentos e em sistemas biológicos por meio de diferentes mecanismos e a partir de precursores heterogêneos. Os AGEs são especialmente representados por proteínas covalentemente modificadas por processos oxidativos e não-oxidativos, envolvendo açúcares ou seus produtos de degradação, enquanto os ALEs incluem uma variedade de adutos covalentes gerados através da reação entre espécies carbonílicas reativas (ECRs), produzidas a partir de peroxidação lipídica e do metabolismo dos lipídeos, e resíduos nucleofílicos de macromoléculas. O estresse oxidativo encontra-se frequentemente envolvido nos mecanismos de formação de AGEs e ALEs. Adicionalmente, alguns AGEs e ALEs podem apresentar a mesma estrutura, desde que são originados de precursores comuns, como é o caso da Nε-carboximetilisina (CML), gerada a partir do glioxal (GO), o qual, por sua vez, pode ser formado por meio de ambas as vias oxidativas dos lipídeos ou dos açúcares.5

É importante destacar que os precursores de AGEs e ALEs compartilham natureza eletrofílica, o que determina suas reatividades em relação aos centros nucleofílicos das biomacromoléculas. Todas as vias de formação dos AGEs/ALEs são consideradas reações de condensação entre reagentes nucleofílicos e eletrofílicos que não ocorrem indiscriminadamente, mas formam conjuntos bem definidos de adutos covalentes.6

Os AGEs podem causar prejuízos ao metabolismo por meio de dois mecanismos básicos. O primeiro é a modificação da estrutura nativa de biomoléculas, destacadamente a alteração conformacional de proteínas intra e extracelulares e o segundo via a interação desses produtos com receptores sensíveis a AGEs, presentes em uma grande variedade de células, tais como as endoteliais, os monócitos, macrófagos, adipócitos e podócitos, induzindo ao estresse oxidativo, à produção de citocinas inflamatórias e de fatores de crescimento, contribuindo assim para o surgimento e a progressão de diversas patologias.7-9

As evidências do envolvimento dos AGEs e ALEs na fisiopatologia de doenças crônico-degenerativas de incidência crescente e preocupante em todo o mundo têm estimulado a investigação de diversos aspectos envolvendo esses compostos e destacam-se (1) a elucidação das suas vias de formação, estruturas moleculares e efeitos biológicos, (2) a identificação e quantificação de marcadores em diferentes matrizes alimentares e biológicas, (3) bem como a descoberta de compostos naturais ou sintéticos capazes de inibir seus efeitos potencialmente prejudiciais à saúde. Apesar do evidente avanço alcançado nessa área do conhecimento nas últimas décadas, há ainda importantes lacunas a serem elucidadas, especialmente relacionadas à caracterização, biodisponibilidade e metabolismo, bem como aos métodos de análise dos AGEs e ALEs nos diferentes sistemas.

Assim, com o objetivo de apresentar os principais avanços, desafios e perspectivas das pesquisas envolvendo AGEs e ALEs, a presente revisão divide-se em quatro seções principais. Primeiramente, um panorama dos mecanismos e definições que fundamentam o estudo desses compostos é apresentado. Em seguida, as principais evidências reportadas na literatura sobre a formação, mecanismos de ação e de defesa envolvendo os AGEs e ALEs nos sistemas biológicos são esquematicamente reunidas, bem como sobre a formação e o possível impacto à saúde desses produtos em alimentos. Finalmente, os métodos mais comumente utilizados para a determinação dos AGEs e ALEs nos diferentes sistemas são apresentados e debatidos, conjuntamente com estratégias práticas capazes de garantir maior confiabilidade às investigações envolvendo esses produtos da reação de Maillard.

A reação de Maillard e os mecanismos de formação dos produtos de glicação (AGEs) e de lipoxidação (ALEs) avançadas

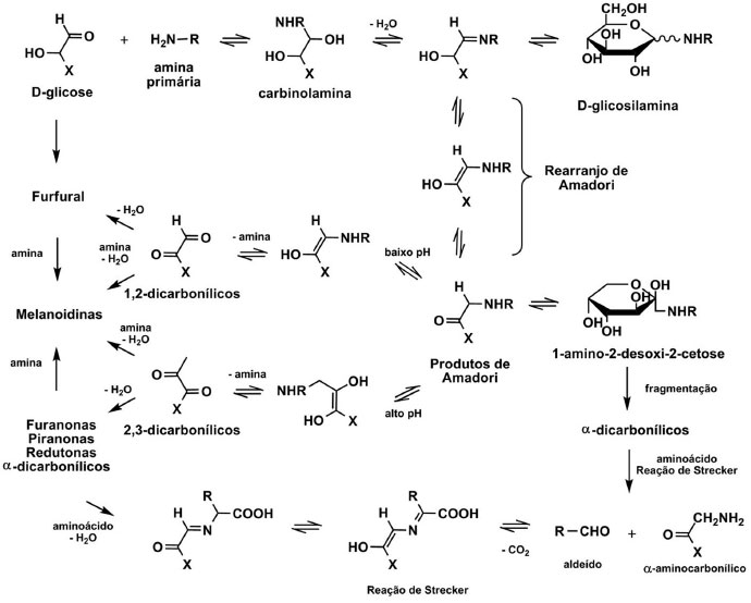
A reação de Maillard envolve uma complexa cadeia de reações de difícil descrição esquemática, sendo sua primeira e reversível etapa a condensação de um grupamento amino, proveniente de aminoácidos, peptídeos, aminofosfolipídeos ou proteínas, a um grupamento carbonílico presente em açúcares redutores ou em produtos da oxidação de lipídeos, aminoácidos ou do ácido ascórbico.10,11 Essa condensação produz uma carbinolamina intermediária, a qual desidrata formando um aduto de imina instável, também chamado base de Schiff, o qual pode ciclizar e gerar uma glicosilamina N-substituída (Figura 2). Nessa reação, as aminas primárias são mais reativas que as secundárias, sendo as terciárias inativas. O grupamento ε-amino presente na cadeia lateral da lisina é o precursor mais reativo em proteínas, sendo o alvo primário de ataque de carboidratos.12

 


Figura 2. Principais etapas da reação de Maillard envolvendo açúcares redutores conforme esquema proposto por Hodge. Adaptado da ref. 5

 

Em pH fisiológico e à temperatura ambiente a base de Schiff sofre rearranjo, gerando 1-amino-2-desoxi-2-cetose N-substituída, precursora de compostos mais estáveis, os chamados produtos de Amadori, que podem ainda reagir seguindo duas vias principais: em valores baixos de pH sofrem enolização e geram 1,2-dicarbonílicos, que por desitratação formam derivados de furfural; e em valor de pH mais alto sofrem enolização e geram 2,3-dicarbonílicos, que por desidratação formam redutonas. Dentre os produtos da ciclização dos intermediários 2,3-dicarbonílicos estão as furanonas e as piranonas, que incluem importantes compostos flavorizantes de alimentos. Deve-se destacar que cetoses não redutoras podem também se condensar a grupamentos amino, produzindo 1-amino-2-desoxi-aldoses correspondentes, o que caracteriza o chamado rearranjo de Heyns. Por meio de outras vias, dentre elas a fragmentação de açúcares mediada por radicais livres (denominada via Namiki), os produtos de Amadori podem gerar compostos α-dicarbonílicos capazes de reagir com aminoácidos e gerar derivados de pirazinas, componentes aromáticos típicos dos alimentos termicamente processados. Esses α-dicarbonílicos altamente reativos são também considerados os principais precursores de AGEs/ALEs, favorecendo a formação de ligações cruzadas entre os resíduos de lisina e arginina das proteínas.5,13

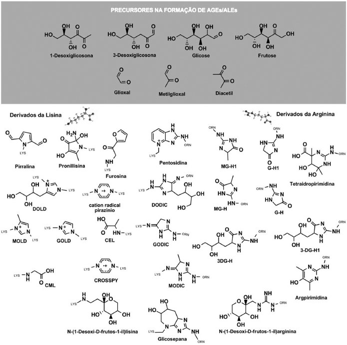
Os AGEs (Figura 3) incluem adutos proteicos, como a CML, Nε-carboxietilisina (CEL) e a pirralina, além de produtos de ligação cruzada entre diferentes resíduos de aminoácidos, como a pentosidina, glicosepana e compostos imidazólicos, tais como o GOLD (dímero de lisina-glioxal) e DODIC (produto da condensação cruzada entre lisina, arginina e 3-desoxiglicosona). Caso haja disponibilidade no meio, os produtos carbonílicos gerados durante a reação de Maillard podem se condensar a resíduos de aminoácidos das proteínas, produzindo substâncias que apresentam estruturas químicas poliméricas de alto peso molecular (> 12.000 Daltons), coloração castanha e de difícil caracterização química, as chamadas melanoidinas.14 Há cerca de duas décadas os pesquisadores se empenham na identificação de compostos desta classe e já se pode afirmar que alguns deles são claramente produtos da glicação, como a pirralina, a pentosidina e a glicosepana - possuem 5 ou 6 carbonos derivados exclusivamente de açúcares - enquanto outros, como a CML e a CEL, são produzidos por múltiplas vias.13

 


Figura 3. Estruturas de produtos finais de glicação avançada (AGEs) derivados dos aminoácidos lisina (LYS), arginina (ORN ~ resíduo ornitina), ou ambos. Os produtos intermediários iniciais de formação de AGE são mostrados na área elíptica meio em conjunto com a estrutura de açúcares redutores comuns e os seus produtos de degradação e de fragmentação. CEL: Nε-carboxietilisina, CML: Nε-carboximetilisina, CROSSPY: radical cátion 1,4-bis(5-amino-5-carboxi-1-pentil)pirazino, DODIC: produto da condensação cruzada entre lisina, arginina e 3-desoxiglicosona, DOLD: dímero de 3-desoxiglicosona-lisina, G-H1: hidroimidasolona derivada de glioxal, GODIC: produto da condensação cruzada entre lisina-arginina e glioxal, GOLD: dímero de lisina-glioxal, MG: metilglioxal, MG-H1: hidroimidasolona derivada de metilglioxal, MODIC: produto da condensação cruzada entre lisina-arginina e metilglioxal, MOLD: dímero de lisina-metilglioxal

 

A estrutura do açúcar influencia sua susceptibiliade à reação, sendo a reatividade dos monossacarídeos diretamente relacionada à abundância de suas formas em cadeia aberta, que variam de 0,0002% para a glicose a 0,7% para a frutose, justificando a menor reatividade da glicose dentre os açúcares. Considerando a importância da frutose como o monossacarídeo de ocorrência mais comum na dieta humana, especialmente devido à adição usual do xarope de frutose a bebidas industrializadas, é possível deduzir o papel crítico desse açúcar para o processo de glicação em alimentos. Além disso, metabólitos da frutose, como a frutose-6-fosfato e o gliceraldeído-3-fosfato, chegam a apresentar reatividade 200 vezes superior à glicose, em condições fisiológicas. Em adição à abundância das formas em cadeia aberta, outros fatores que influenciam a susceptibilidade à reação incluem o comprimento da cadeia do açúcar e a reatividade dos seus grupos funcionais, sendo as aldoses mais eletrofílicas que as cetoses e, portanto, mais reativas.5,15

A formação dos AGEs envolve complexas reações sequenciais e paralelas e embora alguns dos seus mecanismos precisos sejam ainda objeto de investigações e debates, duas das suas principais vias são consideradas bem estabelecidas. São elas: (1) rearranjos irreversíveis dos produtos de Amadori seguidos de reações oxidativas ou não e (2) a condensação entre cadeias laterais dos resíduos de lisina, cisteína e arginina e produtos carbonílicos gerados desde os estágios iniciais da reação de Maillard. Devido à diversidade de fatores e substratos potencialmente envolvidos, uma grande variedade de AGEs pode ser formada, com a preservação ou não do esqueleto de carbono do açúcar precursor. Reações oxidativas não são necessariamente envolvidas na formação de AGEs e por isso o termo "glicação" é preferencial à "glicoxidação" ao se tratar da formação de AGEs.2,16

Quanto aos ALEs, embora possuam em comum aos AGEs alguns dos seus mecanismos de formação e produtos finais, podem ser definidos como compostos gerados por meio da reação entre ECRs, produzidas a partir da peroxidação lipídica ou do metabolismo dos lipídeos, e os centros nucleofílicos de macromoléculas, como proteínas, DNA e aminofosfolipídeos, causando alterações irreversíveis em suas conformações nativas. As ECRs formadas durante as reações de peroxidação lipídica podem ser divididos em três principais classes: (1) aldeídos α,β-insaturados, exemplificados pelo 4-hidroxi-2-nonenal (HNE), 4-hidroxi-hexenal (HHE), nonenal e acroleína; (2) di-aldeídos, como o malondialdeído e o GO; e (3) cetoaldeídos, como o metilglioxal (MG), o 4 oxo-nonenal e os isocetais, também chamados isolevuglandinas (isoLGs) (Figura 4).5,17 Além desses, as ECRs precursoras de ALEs também incluem fosfolipídeos oxidados contendo regiões eletrofílicas capazes de reagir covalentemente com regiões nucleofílicas de proteínas, formando as características bases de Schiff.18 A catepsina B e a angiotensina II são exemplos de alvos endógenos dos fosfolipídeos oxidados.19,20

 


Figura 4. Estruturas de espécies carbonílicas reativas (ECRs) provenientes da peroxidação lipídica e do metabolismo dos lipídeos. LGD2: levuglandina D2, FL: fosfolipídeo, PGA2: prostaglandina A2, PGJ2: prostaglandina J2, 15d-PGJ2: prostaglandina ciclopentanon . Adaptado da ref. 5

 

Os compostos dicarbonílicos GO e MG são exemplos de ECRs gerados por ambas as vias oxidativas dos açúcares ou lipídeos, sendo precursores de produtos que podem ser denominados ALEs ou AGEs.5,10,21

A formação de AGEs in vivo pode, adicionalmente, envolver neutrófilos, monócitos e macrófagos, os quais, após estímulo inflamatório, produzem as enzimas mieloperoxidase e a enzima NADPH (nicotinamida adenina dinucleotídeo fosfato) oxidase, que induzem a formação de AGEs por meio da oxidação de aminoácidos.16,22

A Tabela 1 apresenta as definições de alguns dos termos mais comumente empregados nos estudos envolvendo a reação de Maillard.

 

 

AGEs/ALEs em sistemas biológicos

A formação endógena de AGEs/ALEs ocorre em todos os tecidos e fluidos corporais sob condições fisiológicas, afetando predominantemente moléculas de meia-vida longa e exercendo importante função no processo natural do envelhecimento.2

De uma maneira geral, são considerados os mais importantes fatores que afetam o acúmulo de AGEs/ALEs in vivo a taxa de renovação (turnover) das proteínas e a concentração de substratos carbonílicos promotores das reações. Representam ainda importantes parâmetros que afetam a glicação nos sistemas biológicos a natureza dos substratos carbonílicos, a disponibilidade e a reatividade dos amino grupos das biomoléculas, a degradação química ou enzimática dos compostos formados e a taxa de excreção renal dos produtos dessa degradação.29

A extensão de glicação de uma proteína alcança o estado de equilíbrio a depender da taxa de formação do produto de Amadori e da sua taxa de reversão ou conversão a outros produtos. A reação de reversão não enzimática produz glicose e manose, enquanto a reversão enzimática envolve a fosforilação do produto de Amadori, acompanhada de liberação de 3-desoxiglicosona (3-DG).30,31 Em contraste, as reações de conversão são mais complexas e geram uma variada gama de compostos carbonílicos e dicarbonílicos, livres ou ligados à proteínas e envolvendo reações análogas às que ocorrem nos alimentos, gerando assim os AGEs.23

Em adição ao processo de glicação de proteínas propriamente dito, outros mecanismos que contribuem para a formação de AGEs/ALEs já foram identificados em condições fisiológicas, sendo eles a fragmentação da base de Schiff, a degradação da frutosamina, a formação de compostos α,β-dicarbonílicos formados da degradação de intermediários glicolíticos e da peroxidação lipídica.16 Sabe-se também que a formação de AGEs e ALEs pode ser favorecida em condições de estresse oxidativo, mesmo na ausência de estado hiperglicêmico.32 Deve-se ressaltar, ainda, que durante algumas das reações que levam à formação de AGEs/ALEs, espécies reativas do oxigênio (EROs) são geradas e concorrem paralelamente com o estresse oxidativo e com os danos estruturais e funcionais às macromoléculas.33

Muitos dos AGEs/ALEs encontrados em alimentos foram também identificados in vivo, incluindo as hidroimidazolonas (derivados de MG, GO e 3-DG), CML, CEL, pirralina, MOLD (dímero de lisina-metilglioxal), GOLD (dímero de lisina-glioxal) e DOLD (dímero de 3-desoxiglicosona-lisina), pentosidina e argipirimidina.16 A proporção de glicação de resíduos de lisina e de arginina em proteínas nos sistemas biológicos está entre 0,01 a 1%. No entanto, os adutos de base de Schiff, frutosamina e AGEs em albumina sérica humana constituem aproximadamente 1 a 5%, 6 a 15% e 0,01 a 7%, respectivamente, podendo haver um percentual de glicação/oxidação dos fosfolipídeos ainda maior, entre 0,1 a 16%.13

Enquanto a frutose e a lactose representam importantes açúcares redutores em alimentos, a glicose é o açúcar de ocorrência mais comum em sistemas biológicos. Acredita-se que o fato da glicose apresentar o menor percentual de sua forma aberta em solução (forma carbonílica) e, portanto, a menor reatividade entre as hexoses, fez dela o carreador de energia universal ao longo da evolução dos seres vivos.2 Mas uma característica da glicação in vivo é a ocorrência de intermediários metabólicos altamente reativos, como o gliceraldeído-3-fosfato e a dihidroxiacetona fosfato, considerados os principais precursores dos AGEs formados endógenamente.7,9 Diversos AGEs, como a CML e a pentosidina, são detectados e podem se acumular em tecidos de renovação lenta, como no cristalino das lentes oculares e no tecido conectivo, e por isso o total de AGEs/ALEs nas proteínas corporais aumenta com a idade.34 Em indivíduos adultos saudáveis (normoglicêmicos), cerca de 2% das proteínas corporais possuem modificações por AGEs/ALEs, enquanto indivíduos diabéticos possuem cerca de 3 vezes essa média.2 Vários efeitos observados no diabetes correspondem a alterações fisiológicas características do envelhecimento, como o escurecimento do cristalino dos olhos (catarata), o que gerou a teoria da glicação como processo diretamente responsável pelo envelhecimento humano.35

Ao modificar a conformação do colágeno e da elastina, os AGEs/ALEs afetam a elasticidade e o turnover da matriz extracelular, além da interação entre as células, enquanto a interação desses produtos com receptores celulares induz o estresse oxidativo e ativa cascatas inflamatórias implicadas na patogênese de patologias associadas aos AGEs/ALEs.36,37 A interação desses produtos com o receptor RAGE tem sido implicada em diversas disfunções fisiológicas, que incluem o diabetes dos tipos 1 e 2,37 a obesidade,38 a asma,39 a aterosclerose,40,41 a artrite reumatóide,42 a sarcopenia,43 a osteoporose,44 o mal de Alzheimer,45-47 a doença pulmonar obstrutiva crônica (DPOC)48 a insuficiência renal crônica (IRC)49 e o câncer.50-52

Outros receptores, como os denominados AGE-R1, AGE-R2 e AGE-R3, e os receptores scavenger de macrófagos classe A tipos I e II, também são capazes de reconhecer e ligar-se a AGEs, mas não demonstraram qualquer atividade de transdução de sinal após a interação com AGEs. Ao contrário, eles também são associados à detoxificação desses compostos. O CD36, um receptor scavenger da classe B, similarmente reconhece AGEs e está envolvido na remoção desses compostos da circulação, mas exerce uma importante função na indução do estresse oxidativo na célula.53,54 O AGE-R1 é considerado um fator-chave para a homeostase orgânica e sabe-se que uma supressão em seus níveis de expressão, como ocorre no diabetes, representa um sinal de comprometimento das defesas inatas dos indivíduos.55

Os níveis de AGEs e EROs regulam a expressão de ambos os receptores, RAGE e AGE-R1 e, consequentemente, de suas vias associadas, a fim de manter o balanço glicoxidativo nas células. Assim, episódios agudos de elevação dos AGEs podem causar o aumento na expressão de AGE-R1, bem como nos níveis do RAGE. No entanto, no diabetes ou na doença renal crônica, os níveis de RAGE permanecem altos, enquanto os níveis de AGE-R1 são suprimidos, mesmo com a intervenção terapêutica para o controle glicêmico.4

Os adutos de glicação/lipoxidação são reparados in situ ou as proteínas modificadas são degradadas por sistemas especializados e substituídas através da síntese de novo. Assim, a mensuração de proteínas modificadas em sistemas biológicos será uma estimativa dependente das suas taxas de formação, reparo ou renovação, como é o caso do produto de Amadori considerado marcador universal do controle glicêmico, a hemoglobina glicosilada HbA1c.56 Constituem exemplos de condições metabólicas que aumentam as concentrações plasmáticas de AGE/ALEs (1) a hiperglicemia, devido à maior disponibilidade de glicose e seus metabólitos reativos, (2) a insuficiência renal, que compromete a excreção dos adutos de glicação/lipoxidação plasmáticos e (3) a cirrose hepática, que compromete o catabolismo fisiológico da albumina, aumentando sua meia-vida no plasma e sua susceptibilidade às reações de glicação/lipoxidação.57

A remoção dos AGEs formados nos componentes teciduais é realizada através da proteólise extracelular ou por células scavengers, como os macrófagos, que endocitam AGEs/ALEs via receptores e, após a degradação intracelular, liberam na circulação AGE-peptídeos solúveis e de baixo peso molecular, para serem excretados com a urina. Dentre esses AGE-peptídeos podem haver intermediários reativos, mas seus efeitos são limitados pela excreção renal.58 Assim, a eficiência dos sistemas de remoção de AGEs depende, em última instância, da eficiência do clearance renal.57

Associados aos processos de formação, absorção e detoxificação, fatores genéticos podem influenciar o metabolismo de AGEs nos indivíduos e, consequentemente, a predisposição para o desenvolvimento de patologias associadas a estes compostos.4,59

AGEs/ALEs em alimentos

A dieta é considerada a principal fonte exógena de AGEs/ALEs e, embora haja um importante corpo de evidências associando a ingestão desses compostos à promoção de diversas disfunções metabólicas que preocupam as autoridades de saúde em todo o mundo, existem ainda muitas lacunas neste campo de pesquisa que suscitam debates e crescentes investigações envolvendo, especialmente, os mecanismos de absorção e biodisponibilidade dos AGEs/ALEs dietéticos.60,61

Sabe-se claramente que a taxa de formação e a diversidade de AGEs nos alimentos dependem de vários fatores, sendo o tempo e temperatura de processamento, concentração de reagentes, disponibilidade de água e pH particularmente bem reconhecidos como fatores decisivos na taxa de reação do tipo Maillard.62,63 Considerando-se o escurecimento como fator de avaliação da reação, verificou-se que 4 semanas a 20 ºC, 3 horas a 100 ºC e 5 minutos a 150 ºC conferem o mesmo resultado aos alimentos, evidenciando-se a importância das condições de processamento nesse contexto.12 O pH inicial e a capacidade tamponante do sistema influenciam a taxa e a direção das vias da reação de Maillard, prevendo-se valores menores em pH ácido, as quais tendem a aumentar com o acréscimo nos valores de pH até alcançarem as máximas em torno do pH 10. Em relação à atividade de água, a reação é favorecida entre valores de 0,4 e 0,7, quando os reagentes apresentam boa mobilidade na fase aquosa, e inibida quando há altos níveis de umidade devido à diluição desses reagentes. Como a água é um dos produtos da reação, é provável que a lei de ação das massas também contribua para a diminuição da taxa de reação em condições de altas taxas de umidade.64,65

Quanto ao conteúdo dos produtos da reação de Maillard em alimentos, relativamente poucos AGEs têm sido identificados e quantificados em relação à imensa variedade de compostos que podem se formar, apesar do importante esforço dos pesquisadores da área e do reconhecido avanço tecnológico dos métodos de mensuração disponíveis, causando limitações no desenvolvimento de protocolos experimentais e clínicos, bem como na comparabilidade entre os diferentes estudos publicados (Tabela 2). Afirma-se que o total de AGEs/ALEs consumidos em uma dieta ocidental convencional (rica em alimentos termicamente processados e fontes de carboidratos simples e lipídeos) seja quantitativamente maior que o total desses produtos presentes no plasma ou nos tecidos, fato que originou a hipótese dos AGEs/ALEs de origem dietética, então denominados "glicotoxinas", como fatores de risco à saúde humana, e tem estimulado o desenvolvimento de um número crescente de investigações e debates nessa área.13,66 Considerando-se o consumo médio de alimentos termicamente processados, tais como o leite, seus derivados e o café, estimou-se um consumo de 1.500 a 4.000 µmol/dia de produtos de Amadori, calculado como frutosilisina (FL), e de 100-300 µmol/dia de AGEs, como a pirralina e a CML, baseando-se em métodos cromatográficos.66 Já a média geral de exposição aos AGEs dietéticos baseada em método de ELISA foi estimada em 16.000 kU AGE/dia em adultos norte americanos, alcançando a média de 20.000 kU/dia quando a dieta era rica em alimentos termicamente processados, grelhados e/ou fritos, especialmente os concentrados em açúcares.3,67 Em outro estudo, a exposição ao MG e à 3-DG foi estimada, respectivamente, entre 5 e 20 mg/dia e entre 20 e 160 mg/dia, através da mensuração por cromatografia líquida de alta eficiência (CLAE) em fase reversa desses compostos em 173 itens alimentares.68 É importante destacar que as estimativas de ingestão de AGEs são normalmente baseadas em um único marcador ou, em raros casos, alguns poucos marcadores por estudo, embora haja uma considerável variação nos conteúdos de diferentes AGEs dentre os alimentos. Assim sendo, os valores reportados são sempre estimativas do total de AGEs/ALEs em exposição.

 

 

O interesse em identificar e quantificar o conteúdo em AGEs/ALEs nos alimentos pode ser evidenciado através do vasto número de estudos publicados com esse objetivo. Pesquisadores da Escola de Medicina Mount Sinai (EUA), por exemplo, investigaram o conteúdo em MG e CML utilizando método imunoenzimático competitivo (ELISA) em 549 itens alimentares comumente consumidos pela população norte americana.63,69 No geral, esses estudos verificaram que os conteúdos em CML reportados correlacionavam-se com níveis correspondentes de MG e que altos conteúdos em AGEs estavam presentes em carnes processadas, bem como em alimentos ricos em gorduras e proteínas. Verificou-se também que os alimentos pertecentes ao grupo dos cereais, como pães, bolos e biscoitos, apresentavam, surpreendentemente, menores conteúdos em AGEs quando comparados aos alimentos fontes de gorduras e de proteínas, como os óleos, manteigas, queijos e carnes, sugerindo uma importante influência das reações de oxidação lipídica sobre o conteúdo final de AGEs encontrados. Esses autores observaram também que fatores relativos ao processamento, como altas temperaturas e baixa umidade foram associados a maiores conteúdos em AGEs, enquanto tempo reduzido, alta umidade, baixas temperaturas e exposição ao meio ácido previamente ao processamento associaram-se com menores conteúdos em AGEs nas amostras analisadas.

Outro estudo conduzido por Assar et al., que utilizou cromatografia líquida acoplada à espectrometria de massas tandem (LC-MS/MS, do inglês liquid chromatography with tandem mass spectrometry) para investigar o conteúdo de CML em uma variedade de alimentos, como pães, carnes, queijos, leite, manteiga e óleos, encontrou, por sua vez, maiores níveis de CML nos itens que apresentavam maior conteúdo em carboidratos, em prejuízo àqueles fontes de proteínas e/ou gorduras, conforme as expectativas associadas à via clássica da reação de Maillard, suscitando novos debates e investigações sobre a mensuração confiável de AGEs em alimentos.70

Recentemente, dois outros estudos determinaram o conteúdo em AGEs/ALEs de uma diversidade de alimentos por meio de ELISA ou de cromatografia líquida de alta pressão acoplada à espectrometria de massas tandem (UPLC-MS/MS, do inglês ultra performance liquid chromatography with tandem mass spectrometry) e sugerem que seus resultados sejam utilizados como bases referenciais para inquéritos alimentares sobre o consumo humano desses produtos.71,72 A literatura apresenta ainda diversos outros estudos que reportam o conteúdo em AGEs/ALEs em uma variedade de alimentos, com destaque para os produtos lácteos (Tabela 2).

São reportadas taxas de modificação da lisina que variam entre 10 e 20%, em média, mas que podem alcançar até 70% durante o processamento do leite. Deve-se destacar, porém, que essas modificações compreendem, majoritariamente, a formação de produtos iniciais e intermediários da reação de Maillard, enquanto produtos avançados, como a CML, representam cerca de de 3 a 10% das modificações encontradas em leite e outros alimentos.13

Outro fato importante compreende a escassez de informações acerca de AGEs derivados da arginina em alimentos. Sabe-se, por exemplo, que o composto ornitinaimidazolinona, derivado da arginina, é encontrado em pequenas proporções em produtos lácteos, mas em maiores concentrações no café, já que até 30% da arginina é modificada à imidazolinona durante a sua torragem, podendo representar um marcador de AGEs mais útil nesse alimento do que a CML. Já outro derivado da arginina, a pentosidina, foi encontrada em baixa concentração no café torrado (5-10 mg/kg de proteína), mas em importante concentração (35 mg/kg de proteína) em cereais.13,66

A pirralina tem sido quantificada em diversos alimentos, como leite e cereais, em concentrações que vão de 150 mg/kg de proteína em leite esterelizado a 3700 mg/kg de proteína em crosta de pão, indicando que a pirralina deve representar quantitativamente um dos principais AGEs em alimentos.13,62

Dados sobre o conteúdo em AGEs formadores de ligações cruzadas em alimentos são limitados devido aos desafios inerentes à hidrólise das proteínas modificadas e à preservação desses compostos para a mensuração. De qualquer forma, dímeros de lisina resultantes da reação entre duas lisinas em cadeias laterais e duas moléculas de GO, MG e 3-DG, os denominados GOLD, MOLD ou DOLD, respectivamente, foram encontrados em hidrolisados de cereais, juntamente com produtos da interação das mesmas moléculas envolvendo arginina e lisina (GODIC - condensação cruzada entre lisina-arginina-glioxal, MODIC - condensação cruzada entre lisina-arginina-metilglioxal, DODIC - condensação cruzada entre lisina-arginina-3-desoxiglicosona). MODIC foi encontrado em concentrações de cerca de 150 mg/kg de proteína, enquanto GODIC e DODIC representaram concentrações entre 10 e 50 mg/kg de proteína em produtos derivados de cereais, como pães e bolos. As concentrações de MODIC e GODIC foram geralmente de 5 a 10 vezes maiores que os compostos MOLD e GOLD, sugerindo que os primeiros representam os principais compostos formadores de ligações cruzadas derivados de MG e GO, respectivamente, em proteínas alimentares.13,73 O composto 1,4-bis (5-amino-5-carboxi-1-pentil)pirazinio, denominado CROSSPY, foi encontrado em pães, cacau em pó e grãos de café, mas a sua estimativa de ingestão alimentar não foi ainda sugerida.82

Informações acerca de compostos dicarbonílicos reativos em alimentos são ainda mais escassas, devido à alta reatividade desses compostos e da possível polimerização ou formação de adutos com outros componentes da amostra durante as análises.32 Pequenas quantidades de MG e GO já foram encontradas em produtos fermentados, como iogurte, vinho e cerveja, enquanto mais altas concentrações de GO, MG e 3-DG foram descritas para bebidas carbonatadas adoçadas com xarope de frutose, sugerindo que o uso rotineiro desse aditivo alimentar na alimentação poderia contribuir de modo relevante para a ingestão de compostos dicarbonílicos precursores de AGEs.83,84 Adicionalmente, foram descritos os conteúdos de MG e 3-DG mensurados via cromatografia líquida de fase reversa em uma variedade de alimentos.68

Pesquisas com o objetivo de reconhecer e descrever a biodisponibilidade, o metabolismo e a excreção de CML e de outros AGEs têm sido desenvolvidas utilizando-se diferentes modelos animais e em humanos. Sabe-se que os produtos de alta massa molecular apresentam taxas de absorção mais lentas e menos eficientes e que necessitam ser degradados por proteases intestinais, estando a biodisponibilidade desses produtos dependente dos seus peptídeos associados, do tipo da dieta ingerida, do ambiente intestinal e do tempo de permanência desses produtos no intestino. As alterações causadas pelo aquecimento às proteínas podem diminuir a susceptibilidade dessas à digestão enzimática gastrointestinal, podendo também afetar a liberação dos AGEs/ALEs das proteínas termicamente desnaturadas.85,86

Um estudo que utilizou um método de ELISA para investigar a absorção de AGEs dietéticos em humanos estimou que cerca de 10% dos AGEs ingeridos com a dieta são absorvidos e que, da fração absorvida, cerca de 2/3 ficam retidos no organismo e apenas 1/3 é excretado pela urina, dentro de 48 horas, por indivíduos com função renal normal.87 Outra investigação que utilizou métodos cromatográficos para mensurar o conteúdo em CML como marcador de AGEs em refeições consumidas, sangue, urina e fezes de adolescentes confirmou que a absorção e a excreção fecal da CML são altamente influenciadas pela dieta, mas apontou a necessidade de investigações adicionais a fim de esclarecer mais detalhadamente os mecanismos de absorção, órgãos ou tecidos-alvo de acúmulo da CML, bem como o real impacto à saúde dessas glicotoxinas dietéticas.88

Sugere-se que a CML seja absorvida no epitélio intestinal através de difusão simples, mas verificou-se que CML, CEL e MG-H1 (imidazolona derivada de MG) em dipeptídeos são carreados por transportadores de peptídeos, em especial pelo PEPT1 (peptide transporter 1), sendo esse também o sistema de absorção da pirralina.89-92

Havendo absorção intestinal, a distribuição e o destino metabólico dos AGEs são também amplamente desconhecidos. Devido às propriedades anfotéricas e de solubilidade em água, infere-se que os AGEs de baixo peso molecular possam ser mais prontamente distribuídos aos compartimentos extra e intracelulares do que aqueles que apresentam alto peso molecular. A distribuição in vivo de CML e CEL após a injeção intravenosa em ratos demonstrou um acúmulo temporário no fígado dos animais, indicando a existência de uma provável afinidade desses produtos a algumas proteínas hepáticas específicas.93

Em um estudo que empregou carbono marcado (14C) e envolveu ratos foi possível verificar que 60% dos AGEs absorvidos encontravam-se no fígado e nos rins após 72 horas, embora radioatividade tenha sido detectada nos pulmões, coração e baço, indicando uma distribuição generalizada dos AGEs dietéticos em alguma extensão. A interação dos AGEs com os tecidos pareceu afetar de maneira mais importante as proteínas, desde que o soro dos animais tratados com AGEs foi capaz de interagir com peptídeos e proteínas testadas, levando à formação de agregados de alto peso molecular, indicando que apenas uma fração minoritária dos AGEs absorvidos estaria disponível para excreção, enquanto a maior fração desses produtos deveria interagir com proteínas orgânicas, em especial no fígado e rins. Porém, a natureza da provável afinidade dos AGEs a certas proteínas, bem como o turnover desses adutos não foram reportados.94 De qualquer forma, pode-se concluir que as informações disponíveis atualmente a respeito da absorção, distribuição, metabolismo e excreção de AGEs dietéticos são ainda limitadas, exigindo o especial esforço dos investigadores no sentido de desenvolver estudos com protocolo experimental adequado para a elucidação das inúmeras questões em aberto.

Aplicação de diferentes técnicas para a determinação de AGEs/ALEs em matrizes biológicas e alimentares

Devido às evidências da implicação do acúmulo de AGEs/ALEs, seja por vias de formação endógena ou por absorção de fontes exógenas, no desenvolvimento de complicações vasculares, renais, neurais e oculares, bem como no desencadeamento de doenças de base inflamatória ou neurodegenerativas, a disponibilidade de técnicas analíticas confiáveis de detecção, quantificação e, em alguns casos, de avaliação da extensão da glicação das biomoléculas em diferentes matrizes representa um fator de primordial interesse para a ciência.

Acredita-se, por exemplo, que a análise de modificações específicas na prática clínica poderá estabelecer marcadores mais sensíveis em predizer o risco do desenvolvimento ou progressão das complicações do diabetes do que as concentrações séricas de glicose pós-prandial ou a HbA1c, conforme evidenciado no estudo epidemiológico DCCT/EDIC (Diabetes Control and Complications Trial/Epidemiology of Diabetes Interventions and Complications), em que a CML foi considerada fator preditivo independente de risco para o desenvolvimento da retinopatia (p < 0,0001) e da nefropatia (p = 0,0001) em portadores de diabetes.95 Nesse contexto, tem sido crescente o investimento em metodologias capazes de mensurar a glicação de proteínas em amostras clínicas, com destaque para as análises proteômicas baseadas em espectrometria de massas, que poderão favorecer a prevenção ou o tratamento dos portadores de diabetes e das demais patologias associadas ao acúmulo de AGEs/ALEs.23

Em alimentos, uma característica primária da reação de Maillard compreende a formação de cor associada a alguns dos produtos finais. Assim, uma das formas mais simples utilizada para avaliar o progresso da reação é através da mensuração da absorvância, transmissão ou reflectância da luz na região visível. In vivo, a formação da cor não representa uma característica ou sintoma importante, sendo uma alternativa a mensuração da fluorescência, que se desenvolve em estágio anterior ao desenvolvimento da cor. Diversos AGEs formadores de ligações cruzadas, como a pentosidina, a pirralina, dímeros de lisina-GO, dímeros de lisina-MG, os crosslines e a versperlisina são fluorescentes.23 Todavia, embora a espectrofotometria de absorção e de fluorescência possam ser utilizadas para avaliar o curso da reação de Maillard (absorvância a 280 nm, λex = 247 nm e λem = 440 nm), elas não especificam quais os produtos estão sendo formados.96,97 O acoplamento de métodos cromatográficos (cromatografia líquida - LC - ou gasosa - GC) a detectores relativamente não-específicos (fluorescência, no caso do LC e ionização por chama - DIC, no caso do GC) auxiliam na quantificação mais acurada de alguns compostos, como a frutosilisina (FL), quando padrões autênticos são empregados. Já o acoplamento das técnicas cromatográficas à espectrometria de massas (MS), somada à utilização de padrões isotópicos, permite que os compostos sejam quantificados com um alto grau de especificidade e sensibilidade.23

A grande variedade de polaridades e de propriedades físicas dos AGEs torna os processos de purificação anterior às análises das amostras, bem como a retenção e a separação através da cromatografia, especialmente desafiadores. O ideal seria quantificar diversos, senão todos, os AGEs em corrida única, mas a maioria dos métodos já desenvolvidos focam em um único marcador.13

A CML representa atualmente o produto majoritariamente investigado em protocolos que envolvam AGEs/ALEs, sendo utilizada como marcador do total de AGEs dos sistemas (Tabela 2), por ser formada a partir de diferentes substratos, por estar presente em matrizes biológicas (tecidos ou fluidos) e em alimentos, além de ser estável em meio ácido necessário a protocolos que utilizam HCl para a hidrólise proteica.32,98

Os métodos de quantificação de AGEs/ALEs são basicamente caracterizados em instrumentais ou imunoquímicos. Os métodos instrumentais incluem a cromatografia líquida acoplada a diferentes detectores e os imunoquímicos compreendem primordialmente os ensaios de imunoadsorção enzimática (ELISA), não havendo ainda um único método confiável, que possibilite a mensuração de estruturas nos fluidos ou tecidos corporais e nos alimentos, de maneira sensível, específica, rápida e não muito dispendiosa. No geral, os métodos imunoquímicos são mais práticos e baratos, porém menos específicos e mais susceptíveis à interferência da matriz quando comparados aos métodos instrumentais, que por sua vez exigem uma maior soma de recursos materiais, além de recursos humanos altamente especializados.32,98

Os resultados reportados na literatura são principalmente provenientes de estudos que utilizaram ELISA ou LC-MS/MS para a mensuração de AGEs/ALEs, mas esses são dificilmente comparáveis por serem expressos em diferentes unidades de medida. Além disso, quando comparáveis, esses resultados têm sido conflitantes entre si, fato que sugere uma interferência dos métodos utilizados sobre os resultados observados, gerando questionamentos e debates entre os pesquisadores e comprometendo, inclusive, a confiabilidade dos achados.

Com os avanços dos conhecimentos e das tecnologias analíticas, considera-se atualmente que a cromatografia líquida acoplada à espectrometria de massas (LC-MS/MS) com a adição de padrão interno isótopo seja o método analítico de maior confiabilidade para a mensuração de AGEs/ALEs nas diversas matrizes. Em modo de monitoramento por múltiplas reações (MRM), cada analito é detectado por monitoramento seletivo de íons, sendo caracterizado por pelo seu tempo de retenção e pela razão massa/carga (m/z) do seu íon precursor e dos seus íons fragmentos (Tabela 3). A resposta do detector é normalizada em relação à resposta à adição do padrão interno isótopo e estável, apresentando tempo de retenção semelhante ao analito, mas diferentes valores m/z para o íon precursor e para os íons fragmentos. O conteúdo do analito é então determinado a partir da razão entre as áreas dos picos obtidos para analito e para o padrão interno, tendo como referência curvas de calibração obtidas sob condições analíticas semelhantes.99

 

 

No entanto, importantes questões envolvendo o preparo pré-analítico das amostras devem ser devidamente consideradas, a fim de que os resultados obtidos por meio dessa técnica sejam efetivamente confiáveis. Para fins de detecção de AGEs/ALEs em matrizes biológicas ou alimentares, é necessária a hidrólise dos componentes proteicos das amostras, para "liberar" os adutos de glicação/lipoxidação formados, além da remoção de componentes que possam suprimir os sinais gerados pelo MS, em etapas anteriores à injeção no LC-MS/MS. Assim, para que haja a preservação dos analitos sob investigação, todos os procedimentos empregados nessas etapas devem ser cautelosamente avaliados e executados. São considerados pontos críticos do processamento pré-analítico:

(1) Purificação das amostras: a remoção de substâncias interferentes capazes de prejudicar os sensíveis mecanismos de análises do LC-MS/MS (açúcares, lipídeos, sais, etc.,) e o isolamento dos compostos alvos das análises constituem fatores de primordial importância para a conservação e confiabilidade do sistema, mas podem também representar uma importante fonte de perdas dos analitos. Procedimentos tais como a diálise e a filtração (membranas com cut off < 10 kDa) são comumente utilizados, porém levam à perda total dos AGEs/ALEs livres ou ligados a peptídeos presentes nas amostras originais. Uma alternativa capaz de corrigir essa limitação metodológica é a extração em fase sólida dos analitos, na qual utilizam-se cartuchos com propriedades de adsorção do analito de interesse e sua subsequente eluição, podendo essa técnica ser empregada após a hidrólise proteica e a liberação dos seus adutos de glicação/lipoxidação. No entanto, deve ser criteriosamente otimizada por meio de testes de recuperação para cada composto de interesse.

(2) Hidrólise proteica: a hidrólise ácida (HCl a 6 mol L-1, 24 h, 110 ºC) representa uma forma eficiente de clivar completamente as ligações peptídicas e liberar os adutos de glicação/lipoxidação para as análises, mas pode promover a formação de artefatos e a superestimativa dos resultados obtidos devido à decomposição de intermediários da reação de Maillard a seus produtos finais. Exemplos são representados pela conversão dos intermediários FL e lactosilisina a CML em condições acídicas. Alguns estudos relatam a utilização de boroidreto de sódio (NaBH4) como agente redutor da FL e, consequentemente, preventivo da superprodução de CML, mas tal procedimento é amplamente questionado entre os investigadores, havendo diversas evidências de sua ineficácia.13,57,77 Uma alternativa à hidrólise ácida compreende a hidrólise enzimática adaptada por Delatour et al., que utilizam uma combinação de endo e exopeptidases em condições menos drásticas (pepsina, pronase E e aminopeptidase), mas que pode ser ineficiente para proteínas altamente modificadas por AGEs/ALEs.77

(3) Liofilização: diversos protocolos utilizam etapas de liofilização das amostras a fim de remover solventes e concentrar os analitos a serem analisados, mas sabe-se que esse procedimento favorece reações de glico/lipoxidação, concorrendo para a superestimativa dos resultados.101 Sugere-se assim que etapas de liofilização das amostras sejam evitadas sempre que possível.

(4) Espectrometria de massas por ionização: a ionização por spray de elétrons (ESI, do inglês Electron Spray Ionization) em modo positivo proporciona uma tranferência mais eficiente dos AGEs/ALEs a partir das soluções para a fase em vapor no espectrômetro de massas. Normalmente, a fonte de ionização da amostra é mantida a 120 ºC com jato de nitrogênio a 350 ºC para que haja a dispersão do solvente proveniente da cromatografia à pressão atmosférica.57 Nessas condições, reações de oxidação e desidratação são favorecidas e podem converter precursores em produtos finais, causando interferências na quantificação de AGEs/ALEs, as quais podem ser evitadas através da completa resolução dos analitos por meio da cromatografia líquida anterior à ionização do MS.

É digno de nota que, apesar dos esforços empregados e dos diversos procedimentos internamente avaliados e recomendados, nenhum método completamente validado para a análise de AGEs e ALEs em matrizes alimentares está disponível até o presente. Elementos essenciais para a validação de métodos analíticos, como a certificação de materiais de referência e o desenvolvimento de ensaios interlaboratoriais inexistem na atual prática de análise de AGEs/ALEs em alimentos, o que não invalida os achados dos diferentes estudos, mas exige dos investigadores criteriosa descrição dos procedimentos empregados para a validação interna (acurácia, precisão, limite de quantificação, limite de detecção, entre outros).32,99 Os diferentes métodos disponíveis para a determinação de AGEs/ALEs apresentam suas vantagens e desvantagens (Tabela 4), estando suas aplicações dependentes de diversos fatores que incluem recursos laboratoriais e financeiros disponíveis, recursos humanos treinados e o objetivo do estudo (composição química da matriz, número de amostras, composto a ser analisado, etc.).

 

 

CONCLUSÕES E PERSPECTIVAS

O conhecimento sobre a presença dos AGEs/ALEs em alimentos e em sistemas biológicos, bem como sua relação com a saúde humana progrediu consideravelmente nas últimas duas décadas, mas ainda apresenta importantes obstáculos a serem superados. Dentre eles estão o estabelecimento de uma definição mais clara para este grupo de compostos, a avaliação do real impacto de AGEs/ALEs específicos sobre a saúde humana e o aperfeiçoamento de técnicas de análise desses compostos que possam ser aplicadas em maior escala, preferencialmente de maneira mais prática e confiável.

Pode-se afirmar que os processos que levam à formação dos AGEs/ALEs são complexos e ainda não conhecidos totalmente. Essa complexidade e a diversidade das reações implica, similarmente, na formação de uma diversa gama de produtos apresentando propriedades variadas.

O uso da CML como um marcador confiáv, el de AGEs/ALEs tem motivado o desenvolvimento de um banco de dados sobre o seu conteúdo em diversas matrizes, no entanto os resultados conflitantes gerados pelos diferentes grupos aponta claramente a necessidade de um maior investimento no aperfeiçoamento da metodologia analítica relativa a esta área, exigindo dos pesquisadores cautela e esforço para que os avanços nos conhecimentos sejam alcançados de maneira mais segura.

Espera-se que o alcance de um nível de conhecimento mais aprofundado e confiável nesse campo de pesquisa, que envolve áreas como a Química, a Farmácia, a Nutrição, a Engenharia de Alimentos e a Medicina, possa proporcionar novas possibilidades de diagnóstico, monitoramento, prevenção e tratamento de patologias responsáveis por altos custos sociais e financeiros em todo o mundo, levando, em última instância, a uma melhora na qualidade de vida dos indivíduos acometidos ou predispostos a elas.

 

AGRADECIMENTOS

Os autores agradecem aos órgãos de fomento CNPq (processos 4840044/2011-3, 407963/2013-8, 458114/2014-6), CAPES/PROCAD (processo 3004-2014), CAPES/DAAD (processo 12372/12-9), PRONEX/FAPEAL/CNPq (processo 2009-09-006).

 

REFERÊNCIAS

1. Maillard, L. C.; C. R. Chim. 1912, 154, 66.

2. Hellwig, M.; Henle, T.; Angew Chem. Int. Ed. 2014, 53, 10316. DOI: http://dx.doi.org/10.1002/anie.201308808

3. Uribarri, J.; Cai, W.; Peppa, M.; Goodman, S.; Ferruci, L.; J. Gerontol., Ser. A 2007, 62, 427. DOI: http://dx.doi.org/10.1093/gerona/62.4.427

4. Vlassara, H.; Uribarri, J.; Curr. Diabetes Rep. 2014, 14, 453. DOI: http://dx.doi.org/10.1007/s11892-013-0453-1

5. Vistoli, G.; Maddis, D.; Cipak, A.; Zarkovic, N.; Carini, M.; Aldini, G.; Free Radical Res. 2013, 47, 3. DOI: http://dx.doi.org/10.3109/10715762.2013.815348

6. Lo Pachin, R. M.; Gavin, T.; Caprio, A.; Barber, D. S.; Chem. Res. Toxicol. 2012, 25, 239. DOI: http://dx.doi.org/10.1021/tx2003257

7. Brownlee M.; Nature 2001, 414, 813. DOI: http://dx.doi.org/10.1038/414813a PMID: 11742414

8. Bierhaus, A.; Hofmann, M. A.; Ziegler, R.; Nawroth, P. P.; Cardiovasc. Res. 1998, 37, 586. DOI: http://dx.doi.org/10.1016/S0008-6363(97)00233-2 PMID: 9659442

9. Brownlee, M.; Diabetes 2005, 54, 1615. DOI: http://dx.doi.org/10.2337/diabetes.54.6.1615 PMID: 15919781

10. Hidalgo, F.J.; Zamora, R.; Ann. N. Y. Acad. Sci. 2005, 1043, 319. DOI: http://dx.doi.org/10.1196/annals.1333.039 PMID: 16037254

11. Fan, X.; Reneker, L. W.; Obrenovich, M. E; Strauch, C.; Cheng, R.; Jarvis, S. M.; Ortwerth, B. J.; Monnier, V. M.; Proc. Natl. Acad. Sci. U. S. A. 2006, 103, 16912. DOI: http://dx.doi.org/10.1073/pnas.0605101103 PMID: 17075057

12. Ledl, F.; Schleicher, E.; Angew. Chem. Int. Ed. 1990, 29, 565 DOI: http://dx.doi.org/10.1002/anie.199005653

13. Poulsen, M. W.; Hedegaard, R. V.; Andersen, J. M.; Courten, B.; Bugel, S.; Nielsen, J.; Skibsted, L. H.; Dragsted, L. O.; Food Chem. Toxicol. 2013, 60, 10. DOI: http://dx.doi.org/10.1016/j.fct.2013.06.052 PMID: 23867544

14. Hofmann, T., Schieberle, P.; J. Agric. Food Chem. 2002, 50, 319. DOI: http://dx.doi.org/10.1021/jf010823n PMID: 11782201

15. Laroque, D.; Inisan, C.; Berger, C.; Vouland, E.; Dufossé, L.; Guérard, F.; Food Chem. 2008, 111, 1032. DOI: http://dx.doi.org/10.1016/j.foodchem.2008.05.033

16. Monnier, V. M.; Arch. Biochem. Biophys. 2003, 419, 1. DOI: http://dx.doi.org/10.1016/j.abb.2003.08.011 PMID: 14568003

17. Domingues, R. M.; Domingues, P.; Melo, I.; Pérez-Sala, D.; Reis, A.; Spickett, C. M.; J. Proteomics 2013, 92, 110. DOI: http://dx.doi.org/10.1016/j.jprot.2013.06.004 PMID: 23770299

18. Pamplona, R.; Chem. Biol. Interact. 2011, 192, 14. DOI: http://dx.doi.org/10.1016/j.cbi.2011.01.007 PMID: 21238437

19. Hoff, H. F.; O' Neil, J.; Wu, Z.P.; Hoppe, G.; Salomon, R. L.; Arterioscler., Thromb., Vasc. Biol. 2003, 23, 275. DOI: http://dx.doi.org/10.1161/01.ATV.0000051407.42536.73

20. Silva, A. M. N.; Borralho, A. C.; Pinho, S. A.; Domingues, M. R. M.; Domingues, P.; Rapid Commun. Mass Spectrom. 2011, 25, 1413. DOI: http://dx.doi.org/10.1002/rcm.5006 PMID: 21504007

21. Rabbani, N.; Thornalley, P. J.; Biochem. Biophys. Res. Commun. 2015, 458, 221. DOI: http://dx.doi.org/10.1016/j.bbrc.2015.01.140 PMID: 25666945

22. Huebschmann, A. G.; Regensteiner, J. G.; Vlassara, H.; Reusch, J. E. B.; Diabetes Care 2006, 29, 1420. DOI: http://dx.doi.org/10.2337/dc05-2096 PMID: 16732039

23. Zhang, Q.; Ames, J. M.; Smith, R. D.; Baynes, J. W.; Metz, T. O.; J. Proteome Res. 2009, 8, 754. DOI: http://dx.doi.org/10.1021/pr800858h PMID: 19093874

24. Wa, C.; Cerny, R. L.; Clarke, W. A.; Hage, D. C.; Clin. Chim. Acta 2007, 385, 48. DOI: http://dx.doi.org/10.1016/j.cca.2007.06.011 PMID: 17707360

25. Thornalley, P. J.; Pediatr. Nephrol. 2005, 20, 1515. DOI: http://dx.doi.org/10.1007/s00467-005-2011-9 PMID: 16133053

26. Thornalley, P. J.; Biochem. Soc. Trans. 2003, 31, 1343. DOI: http://dx.doi.org/10.1042/bst0311343 PMID: 14641060

27. Kellow, N. J.; Coughlan, M. T.; Savige, G. S.; Reid, C. M.; BMC Endocr. Disord. 2014, 14, 55. DOI: http://dx.doi.org/10.1186/1472-6823-14-55 PMID: 25011647

28. Ott, C.; Jacobs, K.; Haucke, E.; Santos, A. N.; Grune, T.; Simm, A.; Redox Biol. 2014, 2, 411. DOI: http://dx.doi.org/10.1016/j.redox.2013.12.016 PMID: 24624331

29. Tessier, F. J.; Pathol. Biol. 2010, 58, 214. DOI: http://dx.doi.org/10.1016/j.patbio.2009.09.014 PMID: 19896783

30. Delpierre, G.; Rider, M.H.; Collard, F.; Stroobant, V.; Vanstapel, F.; Santos, H.; Schaftingen, E.; Diabetes 2000, 49, 1627. DOI: http://dx.doi.org/10.2337/diabetes.49.10.1627 PMID: 11016445

31. Collard, F.; Delpierre, G.; Stroobant, V.; Matthijs, G.; Schaftingen, E.; Diabetes 2003, 52, 2888. DOI: http://dx.doi.org/10.2337/diabetes.52.12.2888 PMID: 14633848

32. Uribarri, J.; Castillo, M. D.; Maza, M. P.; Filip, R.; Gugliucci, A.; Luevano-Contreras, C.; Macías-Cervantes, M. H.; Bastos, D. H.; Medrano, A.; Menini, T.; Portero-Otin, M.; Rojas, A.; Sampaio, G. R.; Wrobel, K.; Wrobel, K.; Garay-Sevilla, M. E.; Adv. Nutr. 2015, 6, 461. DOI: http://dx.doi.org/10.3945/an.115.008433 PMID: 26178030

33. Trnková, L.; Dršata, J.; Boušová, I.; J. Biosci. 2015, 40, 419. DOI: http://dx.doi.org/10.1007/s12038-015-9523-7 PMID: 25963268

34. Dunn, J. A.; McCance, D. R.; Thorpe, S. R.; Lyons, T. J.; Baynes, J. W.; Biochemistry 1991, 30, 1205. DOI: http://dx.doi.org/10.1021/bi00219a007 PMID: 1899338

35. Cerami, A.; J. Am. Geriatr. Soc. 1985, 33, 626. DOI: http://dx.doi.org/10.1111/j.1532-5415.1985.tb06319.x PMID: 3897348

36. Chong, S. A.; Lee, W.; Arora, P. D.; Laschinger, C.; Young, E. W.; Simmons, C. A.; Manolson, M.; Sodek, J.; McCulloch, C. A.; J. Biol. Chem. 2007, 282, 8510. DOI: http://dx.doi.org/10.1074/jbc.M609859200 PMID: 17229729

37. Litwinoff, E.; Hurtado Del Pozo, C.; Ramasamy, R.; Schmidt, A. M.; Clin. Pharmacol. Ther. 2015, 98, 135. DOI: http://dx.doi.org/10.1002/cpt.148 PMID: 25974754

38. Boyer, F.; Vidot, J. B.; Dubourg, A. G.; Rondeau, P.; Essop, M. F.; Bourdon, E.; Oxid. Med. Cell. Longevity (2015), doi: 10.1155/2015/534873. DOI: http://dx.doi.org/10.1155/2015/534873

39. Oczypok, E. A.; Milutinovic, P. S.; Alcorn, J. F.; Khare, A.; Crum, L. T.; Manni, M. L.; Epperly, M. W.; Pawluk, A. M.; Anuradha Ray, A.; Oury, T. D.; J. Allergy Clin. Immunol. 2015, 136, 747. DOI: http://dx.doi.org/10.1016/j.jaci.2015.03.011 PMID: 25930197

40. Yamagishi, S.; Exp. Gerontol. 2011, 46, 217. DOI: http://dx.doi.org/10.1016/j.exger.2010.11.007 PMID: 21111800

41. Shaw, S. S.; Schmidt, A. M.; Banes, A. K.; Wang, X.; Stern, D. M.; Marrero, M. B.; Diabetes 2003, 52, 2381. DOI: http://dx.doi.org/10.2337/diabetes.52.9.2381 PMID: 12941779

42. Ryan, B. J.; Nissim, A.; Winyard, P. G.; Redox Biol. 2014, 2, 715. DOI: http://dx.doi.org/10.1016/j.redox.2014.05.004 PMID: 24955328

43. Semba, R. D.; Bandinelli, S.; Sun, K.; Guralnik, J. M.; Ferrucci, L.; Eur. J. Appl. Physiol. 2010, 108, 191. DOI: http://dx.doi.org/10.1007/s00421-009-1192-5 PMID: 19756703

44. Hein, G. E.; Clin. Chim. Acta 2006, 371, 32. DOI: http://dx.doi.org/10.1016/j.cca.2006.03.017 PMID: 16777084

45. Li, J.; Liu, D.; Sun, L.; Lu, Y.; Zhang, Z.; J. Neurol. Sci. 2012, 317, 1. DOI: http://dx.doi.org/10.1016/j.jns.2012.02.018 PMID: 22410257

46. Carrano, A.; Hoozemans, J. J.; Van der Vies, S. M.; Rozemuller, A. J.; Van Horssen, J.; De Vries, H. J.; Antioxid. Redox Signal 2011, 15, 1167. DOI: http://dx.doi.org/10.1089/ars.2011.3895 PMID: 21294650

47. Srikanth, V.; Maczurek, A.; Phan, T.; Steele, M.; Westcott, B.; Juskiw, D.; Munch, G.; Neurobiol. Aging 2011, 32, 763. DOI: http://dx.doi.org/10.1016/j.neurobiolaging.2009.04.016 PMID: 19464758

48. Kirkham, P. A.; Barnes, P. J.; Chest 2013, 144, 266. DOI: http://dx.doi.org/10.1378/chest.12-2664 PMID: 23880677

49. Fukami, K.; Taguchi, K.; Yamagishi, S.; Okuda, S.; Curr. Opin. Nephrol. Hypertens. 2015, 24, 54. DOI: http://dx.doi.org/10.1097/MNH.0000000000000091 PMID: 25470016

50. Riehl, A.; Nemeth, J.; Angel, P.; Hess, J.; Cell. Commun. Signal 2009, 7, 12. DOI: http://dx.doi.org/10.1186/1478-811X-7-S1-A12 PMID: 19426472

51. Takino, J.; Yamagishi, S.; Takeuchi, M.; World J. Gastroenterol. 2012, 18, 1781. DOI: http://dx.doi.org/10.3748/wjg.v18.i15.1781 PMID: 22553402

52. Gebhardt, C.; Riehl, A.; Durchdewald, M.; Németh, J.; Fürstenberger, G.; Müller-Decker, K.; Enk, A.; Arnold, B.; Bierhaus, A.; Nawroth, P. P.; Hess, J.; Angel, P.; J. Exp. Med. 2008, 205, 275. DOI: http://dx.doi.org/10.1084/jem.20070679 PMID: 18208974

53. Goldin, A.; Beckman, J. A.; Schmidt, A. M.; Creager, M. A.; Circulation 2006, 114, 597. DOI: http://dx.doi.org/10.1161/CIRCULATIONAHA.106.638403 PMID: 16894049

54. Barbosa, J. H. P.; Oliveira, S. L.; Tojal e Seara, L.; Arq. Bras. Endocrinol. Metab. 2008, 52, 940. DOI: http://dx.doi.org/10.1590/S0004-27302008000600005

55. Vlassara, H.; Striker, G. E.; Nat. Rev. Endocrinol. 2001, 7, 526. DOI: http://dx.doi.org/10.1038/nrendo.2011.74 PMID: 21610689

56. Engström, G.; Smith, J. G.; Persson, M.; Nilsson, P. M.; Melander, O.; Hedblad, B.; J. Intern. Med. 2014, 276, 174. DOI: http://dx.doi.org/10.1111/joim.12219 PMID: 24471821

57. Thornalley, P. J.; Rabbani, N.; Biochim. Biophys. Acta 2014, 1840, 818. DOI: http://dx.doi.org/10.1016/j.bbagen.2013.03.025 PMID: 23558060

58. Barbosa, J. H. P.; Oliveira, S. L.; Tojal e Seara, L.; Rev. Nutr. 2009, 22, 113. DOI: http://dx.doi.org/10.1111/j.1753-4887.1964.tb04852.x

59. Leslie, R. D.; Beyan, H.; Sawtell, P.; Boehm, B. O.; Spector, T. D.; Snieder, H.; Diabetes 2003, 52, 2441. DOI: http://dx.doi.org/10.2337/diabetes.52.9.2441 PMID: 12941787

60. Calder, P. C.; Ahluwalia, N.; Brouns, F.; Buetler, T.; Clement, K.; Cunningham, K.; Esposito, K.; Jönsson, L. S.; Kolb, H.; Lansink, M.; Marcos, A.; Margioris, A.; Matusheski, N.; Nordmann, H.; O'Brien, J.; Pugliese, G.; Rizkalla, S.; Schalkwijk, C.; Tuomilehto, J.; Wärnberg, J.; Watzl, B.; Winklhofer-Roob, B. M.; Br. J. Nutr. 2011, 106, S5. DOI: http://dx.doi.org/10.1017/S0007114511005460 PMID: 22133051

61. Stirban, A.; Tschöpe, D.; Int. J. Endocrinol. (2015), doi: 10.1155/2015/836498. DOI: http://dx.doi.org/10.1155/2015/836498

62. Henle, T.; Amino Acids 2005, 29, 313. DOI: http://dx.doi.org/10.1007/s00726-005-0200-2 PMID: 15997413

63. Goldberg, T.; Cai, W.; Peppa, M.; Dardaine, V.; Baliga, B. S.; Uribarri, J.; Vlassara, H.; J. Am. Diet. Assoc. 2004, 104, 1287. DOI: http://dx.doi.org/10.1016/j.jada.2004.05.214 PMID: 15281050

64. O'Brien, J.; Morrisey, P. A.; Crit. Rev. Food Sci. Nutr. 1989, 28, 211. DOI: http://dx.doi.org/10.1080/10408398909527499 PMID: 2669832

65. Nursten, H.; The Maillard reaction: chemistry, biochemistry, and implications, The Royal Society of Chemistry: Cambridge, 2005.

66. Henle, T.; Mol. Nutr. Food Res. 2007, 51, 1075. DOI: http://dx.doi.org/10.1002/mnfr.200700067 PMID: 17854002

67. Uribarri, J..; Cai, W.; Sandu, O.; Peppa, M.; Goldberg, T.; Vlassara, H.; Ann. N. Y. Acad. Sci. 2005, 1043, 461. DOI: http://dx.doi.org/10.1196/annals.1333.052 PMID: 16037267

68. Degen, J.; Hellwig, M.; Henle, T.; J. Agric. Food Chem. 2012, 60, 7071. DOI: http://dx.doi.org/10.1021/jf301306g PMID: 22724891

69. Uribarri, J.; Woodruff, S.; Goodman, S.; Cai, W.; Chen, X.; Pyzik, R.; Yong, A.; Striker, G. E.; Vlassara, H.; J. Am. Diet. Assoc. 2010, 110, 911. DOI: http://dx.doi.org/10.1016/j.jada.2010.03.018 PMID: 20497781

70. Assar, S. H.; Moloney, C.; Lima, M.; Magee, R.; Ames, J. M.; Amino Acids 2009, 36, 317. DOI: http://dx.doi.org/10.1007/s00726-008-0071-4 PMID: 18389168

71. Takeuchi, M.; Takino, J.; Furuno, S.; Shirai, H.; Kawakami, M.; Muramatsu, M.; Kobayashi, Y.; Yamagishi, S.; PLoS One (2015), doi: 10.1371/journal.pone.0118652. DOI: http://dx.doi.org/10.1371/journal.pone.0118652

72. Scheijen, J. L.; Clevers, E.; Engelen, L.; Dagnelie, P. C.; Brouns, F.; Stehouwer, C. D.; Schalkwijk, C. G.; Food Chem. 2016, 190, 1145. DOI: http://dx.doi.org/10.1016/j.foodchem.2015.06.049 PMID: 26213088

73. Henle, T.; Kidney Int. 2003, 63, S145. DOI: http://dx.doi.org/10.1046/j.1523-1755.63.s84.16.x

74. Drusch, S.; Faist, V.; Erbersdobler, H. F.; Food Chem. 1999, 65, 547. DOI: http://dx.doi.org/10.1016/S0308-8146(98)00244-1

75. Charissou, A.; Ait-Ameur, L.; Birlouez-Aragon, I.; J. Chromatography A 2007, 1140, 189. DOI: http://dx.doi.org/10.1016/j.chroma.2006.11.066

76. Fenaille, F.; Parisod, V.; Visani, P.; Populaire, S.; Tabet, J. C.; Guy, P. A.; Int. Dairy J. 2006, 16, 728. DOI: http://dx.doi.org/10.1016/j.idairyj.2005.08.003

77. Delatour, T.; Hegele, J.; Parisod, V.; Richoz, J.; Maurer, S.; Steven, M.; Buetler, T.; J. Chromatogr. A 2009, 1216, 2371. DOI: http://dx.doi.org/10.1016/j.chroma.2009.01.011 PMID: 19181321

78. Hegele, J.; Buetler, T.; Delatour, T.; Anal. Chim. Acta 2008, 617, 85. DOI: http://dx.doi.org/10.1016/j.aca.2007.12.027 PMID: 18486644

79. Niquet-Léridon, C.; Tessier, F. J.; Food Chem. 2011, 126, 655. DOI: http://dx.doi.org/10.1016/j.foodchem.2010.10.111

80. Chao, P.; Hsu, C.; Yin, M.; Food Chem. 2009, 113, 262. DOI: http://dx.doi.org/10.1016/j.foodchem.2008.06.076

81. Tareke, E.; Forslund, A.; Lindh, C. H.; Fahlgren, C.; Östman, E.; Food Chem. 2013, 141, 4253. DOI: http://dx.doi.org/10.1016/j.foodchem.2013.07.003 PMID: 23993613

82. Liedke, R.; Eichner, K.; Free Radicals in food - ACS Symposium Series, vol. 807, cap. American Chemical Society, 2002, cap. 5.

83. Marceau, E.; Yaylayan, V. A.; J. Agric. Food Chem. 2009, 57, 10837. DOI: http://dx.doi.org/10.1021/jf903341t PMID: 19874027

84. Weigel, K. U.; Opitz, T.; Henle, T.; Eur. Food Res. Technol. 2004, 218, 147. DOI: http://dx.doi.org/10.1007/s00217-003-0814-0

85. Delgado-Andrade, C.; Food Funct. (2015), doi: 10.1039/c5fo00918a. DOI: http://dx.doi.org/10.1039/c5fo00918a

86. Romero-Ramos, I.; Delgado-Andrade, C.; Haro, A.; Ruiz-Roca, B.; Morales, F. J.; Navarro, M. P.; Amino Acids 2013, 44, 1409. DOI: http://dx.doi.org/10.1007/s00726-011-1160-3

87. Koschinsky, T.; He, C.; Mitsuhashi, T.; Bucala, R.; Liu, C.; Buenting, C.; Heitmann, K.; Vlassara, H.; Proc. Natl. Acad. Sci. U. S. A. 1997, 94, 6474. DOI: http://dx.doi.org/10.1073/pnas.94.12.6474 PMID: 9177242

88. Delgado-Andrade, C.; Tessier, F.; Niquet-Leridon, C.; Seiquer, I.; Navarro, M. P.; Amino Acids 2012, 43, 595. DOI: http://dx.doi.org/10.1007/s00726-011-1107-8 PMID: 21984382

89. Grunwald, S.; Krause, R.; Bruch, M.; Henle, T.; Brandsch, M.; Br. J. Nutr. 2006, 95, 1221. DOI: http://dx.doi.org/10.1079/BJN20061793 PMID: 16768847

90. Hellwig, M.; Matthes, R.; Peto, A.; Löbner, J.; Henle, T.; Amino Acids, 2014, 46, 289. DOI: http://dx.doi.org/10.1007/s00726-013-1501-5 PMID: 23609106

91. Hellwig, M.; Geissler, S.; Matthes, R.; Peto, A.; Silow, C.; Brandsch, M.; Henle, T.; ChemBioChem 2011, 12, 1270. DOI: http://dx.doi.org/10.1002/cbic.201000759 PMID: 21538757

92. Geissler, S.; Hellwig, M.; Zwarg, M.; Markwardt, F.; Henle, T.; Brandsch, M.; J. Agric. Food Chem. 2010, 58, 2543. DOI: http://dx.doi.org/10.1021/jf903791u PMID: 20104847

93. Bergmann, R.; Helling, R.; Heichert, C.; Scheunemam, M.; Mäding, P.; Wittrisch, H.; Johannsen, B.; Henle, T.; Nahrung 2001, 45, 182. DOI: http://dx.doi.org/10.1002/1521-3803(20010601)45:3<182::AID-FOOD182>3.0.CO;2-Q PMID: 11455785

94. He, C. J.; Sabol, J.; Mitsuhashi, T.; Vlassara, H.; Diabetes 1999, 48, 1308. DOI: http://dx.doi.org/10.2337/diabetes.48.6.1308 PMID: 10342821

95. Genuth, S.; Sun, W.; Cleary, P.; Sell, D. R.; Dahms, W.; Malone, J.; Sivitz, W.; Monnier V. M.; Diabetes 2005, 54, 3103. DOI: http://dx.doi.org/10.2337/diabetes.54.11.3103 PMID: 16249432

96. Wróbel, K.; Garay-Sevilla, M. E.; Nava, L. E.; Malacara, J. M.; Clin. Chem. 1997, 43, 1563. PMID: 9299934

97. Garay-Sevilla, M. E.; Regalado, J. C.; Malacara, J. M.; Nava, L. E.; Wrobel, K.; Castro-Rivas, A.; J. Endocrinol. Invest. 2005, 28, 223. DOI: http://dx.doi.org/10.1007/BF03345377 PMID: 15952406

98. Ames, J.; Ann. N. Y. Acad. Sci. 2008, 1126, 20. DOI: http://dx.doi.org/10.1196/annals.1433.030 PMID: 18448791

99. Ribani, M.; Quim. Nova 2004, 27, 771. DOI: http://dx.doi.org/10.1590/S0100-40422004000500017

100. Thornalley, P. J.; Battah, S.; Ahmed, N.; Karachalias, N.; Agalou, S.; Babaei-jadidi, R.; Dawnay, A.; Biochem. J. 2003, 375, 581. DOI: http://dx.doi.org/10.1042/bj20030763 PMID: 12885296

101. Lo, T. W. C.; Westwood, M. E.; McLellan, A. C.; Selwood, T.; Thornalley, P. J.; J. Biol. Chem. 1994, 269, 32299. PMID: 7798230

102. Nguyen, H. T.; Fels-Klerx, H. J.; Boekel, M. A. J. S.; Food Rev. Int. 2014, 30, 36. DOI: http://dx.doi.org/10.1080/87559129.2013.853774

On-line version ISSN 1678-7064 Printed version ISSN 0100-4042
Qu�mica Nova
Publica��es da Sociedade Brasileira de Qu�mica
Caixa Postal: 26037 05513-970 S�o Paulo - SP
Tel/Fax: +55.11.3032.2299/+55.11.3814.3602
Free access

GN1