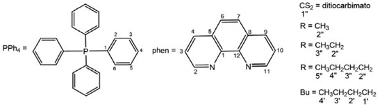
JBCS



15:08, sáb out 25

Acesso Aberto/TP



Artigo


Sais de tetrafenilfosfônio e tris(1,10-fenantrolina)ferro(II) de complexos aniônicos de dibutilestanho(IV) com ditiocarbimatos: síntese, caracterização e atividade antifúngica
Tetraphenylphosphonium and tris (1.10-phenanthroline) iron(II) salts of anionic complexes of dibutyltin(IV) with dithiocarbimates: synthesis, characterization and antifungal activity

Fernanda C. BottegaI; Marcelo R. L. OliveiraI,*; Mayura M. M. RubingerI; Carlos R. BellatoI; José D. ArdissonII; Laercio ZambolimIII

IDepartamento de Química, Universidade Federal de Viçosa, 36570-000 Viçosa - MG, Brasil
IILaboratório de Física Aplicada, Centro de Desenvolvimento de Tecnologia Nuclear, CDTN-CNEN, 31270-901 Belo Horizonte - MG, Brasil
IIIDepartamento de Fitopatologia, Universidade Federal de Viçosa, 36570-000 Viçosa - MG, Brasil

Recebido em 09/10/2015
Aceito em 11/02/2016
Publicado na web em 15/04/2016

Endereço para correspondência

*e-mail: marcelor@ufv.br

RESUMO

Six new salts of organometallic complexes of tin(IV) with the general formulae: (Ph4P)2[Sn(Bu)2(RSO2N=CS2)2] and [Fe(phen)3][Sn(Bu)2(RSO2N=CS2)2] [Ph4P = tetraphenylphosphonium, R = CH3 (1), C2H5 (2) and C4H9 (3); Fe(phen)3 = tris(1,10-phenanthroline)iron(II), R = CH3 (4), C2H5 (5) and C4H9 (6)] were synthetized from potassium dithiocarbimates (RSO2N=CS2K2.H2O) in reaction with dichlorobis-n-butyltin(IV) and tetraphenylphosphonium chloride (1-3) in N,N-dimethylformamide or tris(1,10-phenanthroline)iron(II) (4-6) in methanol. The new compounds were characterized by elemental analysis of Fe and Sn, and by vibrational, Mössbauer and nuclear magnetic resonance of 1H, 13C and 119Sn spectroscopies. High-resolution mass spectra in the negative and positive modes were also obtained. The elemental analyses and the exact masses obtained for the cations and the complex anions were consistent with the proposed formulae. The Mössbauer spectroscopic data were consistent with the presence of tin(IV) with coordination numbers between 4 and 5 (compounds 1-6), and of hexacoordinated iron(II) (compounds 4-6). The 1H and 13C NMR spectra presented all the expected signals for the cations and anions, and the signals observed in the 119Sn NMR spectra indicated an equilibrium between tetra- and pentacoordination around the tin atoms in solution. The in vitro activity of the new compounds was evaluated against Botrytis cinerea and Colletotrichum acutatum.

Palavras-chave: dithiocarbimates; organotin; antifungal activity.

INTRODUÇÃO

Os ditiocarbamatos (DTC) formam uma importante classe de ligantes aniônicos cujos complexos metálicos apresentam diversas aplicações, tais como fungicidas, aceleradores da vulcanização da borracha e como precursores sintéticos para a deposição de nanopartículas de sulfetos metálicos.1

Ditiocarbimatos são estruturalmente semelhantes aos ditiocarbamatos (Figura 1). Apesar disso, os ditiocarbimatos são pouco estudados do ponto de vista biológico. Na literatura encontram-se trabalhos de síntese e caracterização de ditiocarbimatos desde 1965.2 Em especial, ditiocarbimatos derivados de sulfonamidas são estudados desde a década de 1980.3 Entretanto, o primeiro relato de atividade biológica desta classe de substâncias é de 2009, em trabalho que reporta a atividade de complexos de níquel e zinco com esses ligantes contra Colletotrichum gloeosporioides.4 Complexos de estanho com ditiocarbimatos derivados de sulfonamidas aromáticas do tipo [Sn(C4H9)2(4-R-C6H4SO2N=CS2)2]2-, sendo R= F, Cl, Br, I e H; também foram ativos contra o mesmo fungo.5

 


Figura 1. Estruturas genéricas dos ânions ditiocarbamato (a) e ditiocarbimato (b)

 

Devido à dupla carga negativa dos ânions ditiocarbimato, frequentemente seus complexos são aniônicos. Isso permite uma grande versatilidade desses compostos porque o contraíon também pode ser importante para a atividade. Esse fato tem sido explorado em alguns trabalhos ficando demonstrado que a presença dos contraíons tetrafenilfosfônio e tris(1,10-fenantrolina)ferro(II) foi importante para a atividade de sais de complexos de zinco com ditiocarbimatos.6,7

O gênero de fungos Botrytis, agente causal do mofo cinzento, é responsável por diversas doenças em plantas ornamentais, frutíferas e oleráceas. A espécie Botrytis cinerea é responsável pela podridão em culturas de importância econômica como morango, uva e tomate.8Colletotrichum acutatum é o agente causal da podridão floral dos citrus, que afeta flores e frutos de quase todas as variedades de interesse comercial. Em morangueiros, C. acutatum é responsável pela doença conhecida como flor preta, em decorrência da secagem e escurecimento das flores nas plantas afetadas. Além das flores, lesões também atingem frutos e, ocasionalmente, o rizoma, causando murcha e morte das plantas. A podridão amarga, doença de maior importância na cultura da macieira, também é resultado da infecção por C. acutatum.9-11

Tendo em vista essas considerações, este trabalho descreve a síntese de seis novos sais com ânions complexos de dibutilestanho(IV) com ditiocarbimatos e os cátions: tetrafenilfôsfonio e tris(1,10-fenantrolina)ferro(II), de fórmulas gerais: (Ph4P)2[Sn(Bu)2(RSO2N=CS2)2] e [Fe(phen)3][Sn(Bu)2(RSO2N=CS2)2] [Ph4P = cátion tetrafenil fosfônio, R = CH3 (1), C2H5 (2) e C4H9 (3); Fe(phen)3 = cátion tris(1,10-fenantrolina)ferro(II), R = CH3 (4), C2H5 (5) e C4H9 (6)]. Descreve, ainda estudos sobre a atividade antifúngica dos novos compostos frente Botrytis cinerea e Colletotrichum acutatum.

 

PARTE EXPERIMENTAL

Materiais e métodos

Os espectros no IV foram registrados em pastilhas de CsI em espectrofotômetro Perkin Elmer FT-IR 1000. Os espectros de RMN de 1H (300 MHz) e de 13C (75 MHz) foram obtidos em espectrômetro Varian (Mercury 300) em CDCl3 (compostos 1-3) e DMSO-D6 (compostos 4-6) com TMS como padrão interno e os espectros de 119Sn (75 MHz) (compostos 1-3) em aparelho Bruker Avance DPX 200, em CDCl3. Os dados de espectroscopia Mössbauer foram coletados a 78 K em um espectrômetro de aceleração constante convencional com fonte de CaSnO3 mantido à temperatura ambiente. A massa exata foi determinada a partir da solução dos compostos em acetonitrila utilizando um espectrômetro de massa micrOTOF Q-II. Estanho e ferro foram analisados por absorção atômica em espectrofotômetro de absorção atômica Agilent Techologies 200 series AA (240 FS AA). As temperaturas de fusão foram medidas, sem correção, com aparelho Microquímica MQAPF-302. Os solventes, dissulfeto de carbono, solução aquosa de amônia concentrada, hidróxido de potássio, sulfato ferroso amoniacal hexa-hidratado e 1,10-fenantrolina mono-hidratada foram adquiridos de Vetec e o perclorato de magnésio da Química Moderna. Os cloretos de sulfonila CH3SO2Cl, C2H5SO2Cl, C4H9SO2Cl e bis(dimetilditiocarbamato)zinco foram adquiridos da Aldrich e o diclorobis-n-butilestanho(IV) e o cloreto de tetrafenilfosfônio, da Alfa Aesar. As sulfonamidas CH3SO2NH2, C2H5SO2NH2 e C4H9SO2NH2 foram sintetizadas pela reação do cloreto de sulfonila apropriado em solução de amônia concentrada, sob refluxo, de acordo com procedimentos descritos na literatura para compostos semelhantes.12 Os sais N-R-sulfonilditiocarbimatos de potássio di-hidratados foram preparados em dimetilformamida utilizando a sulfonamida, dissulfeto de carbono e hidróxido de potássio, de acordo com metodologia descrita para a síntese de compostos semelhantes. A obtenção desses compostos foi confirmada pela comparação dos espectros no IV com os dados publicados.13 Perclorato de tris(1,10-fenantrolina)ferro(II) foi precipitado a partir de uma solução aquosa de sulfato ferroso amoniacal hexa-hidratado e 1,10-fenantrolina mono-hidratada (proporção molar de 1:3) após a adição de perclorato de magnésio. Para certificação da obtenção do composto fez-se a comparação do espectro vibracional com dados da literatura.14

Para os testes biológicos, Colletotrichum acutatum e Botrytis cinerea foram isolados a partir de frutos de morangos infectados. C. acutatum foi incubado durante 7 dias a 25 ºC e B. cinerea durante 3 dias a 22 ºC. Cloranfenicol foi obtido de Neo Química e o meio de cultura BDA (Batata Dextrose Agar) foi adquirido da Sigma-Aldrich e esterilizado em autoclave durante 25 min a 121 ºC.

Procedimento geral para a síntese dos compostos

As sínteses dos sais complexos foram realizadas de acordo com a Figura 2.

 


Figura 2. Esquema para a síntese dos novos sais de diorganoestanho

 

Os compostos dibutilbis(N-R-sulfonilditiocarbimato)estanato(IV) de tetrafenilfosfônio (1-3) foram obtidos adicionando-se 2 mmol do N-R-sulfonilditiocarbimato de potássio apropriado a 1 mmol de diclorobis-n-dibutilestanho(IV) em 15 mL de dimetilformamida (solução 1). A mistura ficou sob agitação por 1 hora e 30 minutos a temperatura ambiente. Adicionou-se cloreto de tetrafenilfosfônio (2 mmol) solubilizado em 10 mL de água destilada e manteve-se agitação por 15 minutos. O sólido branco obtido foi filtrado, lavado com água destilada e secado a pressão reduzida. Os rendimentos foram entre 65-75% em relação ao dicloreto de dibutilestanho. Os compostos dibutilbis(N-R-sulfonilditiocarbimato)estanato(IV) de tris(1,10-fenantrolina)ferro(II) (4-6) foram preparados a partir da mistura da solução 1 e do produto da reação de 1,0 mmol de sulfato ferroso amoniacal hexa-hidratado e 3,0 mmol de 1,10-fenantrolina mono-hidratada em 10 mL de água destilada após 3 horas de reação. O sólido vermelho obtido foi filtrado, lavado com água destilada e secado a pressão reduzida. Os rendimentos foram entre 61-81% em relação ao dicloreto de dibutilestanho. As atribuições dos sinais de RMN seguem a numeração mostrada na Figura 3

 


Figura 3. Numeração para RMN

 

Dibutilbis(N-metilsulfonilditiocarbimato)estanato(IV) de tetrafenilfosfônio (1)

T.F. (ºC): 124,0-125,6. IV (cm-1): 3060 ν(C-H); 1320 ν(C=N); 1284 ν(SO2ass); 1124 ν(SO2sim); 964 ν(CS2). 1H RMN (300 MHz, CDCl3) (δ): 7,90-7,85 (m, 8H, H4); 7,79-7,73 (m, 16H, H3 e H5); 7,64-7,57 (m, 16H, H2 e H6); 3,06 (s, 6H, H2"); 1,84-1,61 (m, 8H, H1', H2'); 1,15-1,12 (m, 4H, H3'); 0,65 (t, J = 7,5 Hz, 6H, H4'). 13C RMN (75 MHz, CDCl3) (δ): 209,13 (C1"); 135,83 (δ, J= 3,0 Hz, C4); 134,39 (δ, J= 10,0 Hz, C3, C5); 130,85 (δ, J= 12,7 Hz, C2, C6); 117,41 (δ, J= 89,4 Hz, C1); 38,08 (C2"); 28,27 (C1'); 27,09 (C2'); 26,65 (C3'); 13,90 (C4'); 119Sn{1H} (CDCl3, ppm) (δ): 129,48; -215,77. 119Sn Mössbauer (mm s-1): δ = 1,47, Δ = 2,53. Análise de estanho calculada para C60H64N2O4P2S6Sn (%): Sn: 9,49; Encontrado: Sn: 9,67. EM (modo aniônico) m/z: Calculado para C12H24N2O4S6Sn-2/2: 285,9541; Encontrado: 285,9534. EM (modo catiônico) m/z: Calculado para C24H20P+: 339,1302; Encontrado: 339,1319.

Dibutilbis(N-etilsulfonilditiocarbimato)estanato(IV) de tetrafenilfosfônio (2)

T.F. (ºC): 127,8-129,7. IV (cm-1): 3058 ν(C-H); 1322 ν(C=N); 1258 ν(SO2ass); 1118 ν(SO2sim); 964 ν(CS2). 1H RMN (300 MHz, CDCl3) (δ): 7,91-7,86 (m, 8H, H4); 7,80-7,74 (m, 16H, H3 e H5); 7,64-7,57 (m, 16H, H2 e H6); 3,44 (q, J = 7,5 Hz, 4H, H2"); 1,84-1,61 (m, 8H, H1', H2'); 1,19 (t, J = 7,5 Hz, 6H, H3"); 1,13-1,09 (m, 4H, H3'); 0,63 (t, J = 7,5 Hz, 6H, H4'). 13C RMN (300 MHz, CDCl3) (δ): 209,07 (C1"); 136,09 (δ, J = 2,9 Hz, C4); 134,64 (d, J = 10,3 Hz, C3, C5); 131,10 (d, J = 12,8 Hz, C2, C6); 117,62 (d, J= 89,5 Hz, C1); 44,42 (C2"); 28,53 (C1'); 27,53 (C2'); 26,94 (C3'); 14,15 (C4'); 8,50 (C3"); 119Sn{1H} RMN (CDCl3, ppm) (δ): 128,37, -219,34. 119Sn Mössbauer (mm s-1): δ = 1,49, Δ = 2,55. Análise de estanho calculada para C62H68N2O4P2S6Sn: Sn: 9,28; Encontrado: Sn: 9,83. EM (modo aniônico) m/z (%): Calculado para C14H28N2O4S6Sn-2/2: 299,9697; Encontrado: 299,9708. EM (modo catiônico) m/z: Calculado para C24H20P+: 339,1302; Encontrado: 339,1278

Dibutilbis(N-butilsulfonilditiocarbimato)estanato(IV) de tetrafenilfosfônio (3)

T.F. (ºC): 129,3-130,5. IV (cm-1): 3054 ν(C-H); 1334 ν(C=N); 1270 ν(SO2ass); 1124 ν(SO2sim); 958 ν(CS2), 338 ν(Sn-S). 1H RMN (300 MHz, CDCl3) (δ): 7,94-7,89 (m, 8H, H4); 7,83-7,77 (m, 16H, H3, H5); 7,68-7,61 (m, 16H, H2 e H6); 3,49-3,44 (m, 4H, H2"); 1,75-1,60 (m, 12H, H3", H1', H2'); 1,41-1,28 (m, 4H, H3'); 1,17-1,10 (m, 4H, H4"); 0,85 (t, J = 7,5 Hz, 6H, H5"); 0,68 (t, J = 7,5 Hz, 6H, H4'). 13C RMN (300 MHz, CDCl3) (δ): 208,92 (C1"); 136,09 (d, J = 2,9 Hz, C4); 134,62 (d, J = 10,3 Hz, C3, C5); 131,09 (d, J = 12,8 Hz, C2, C6); 117,60 (d, J = 89,5 Hz, C1); 50,03 (C2"); 28,53 (C1'); 27,36 (C2'); 26,96 (C3'); 25,83 (C3"); 22,23 (C4"); 14,14 (C5") 14,08 (C4'). 119Sn{1H} RMN (CDCl3, ppm) (δ): 128,34, -222,24. 119Sn Mössbauer (mm s-1): δ = 1,50, Δ = 2,57. Análise de estanho calculada para C66H76N2P2O4S6Sn: Sn: 8,89; Encontrado: Sn: 9,29. EM (modo aniônico) m/z (%): Calculado para C18H36N2O4S6Sn-2/2: 328,0010; Encontrado: 328,0098. EM (modo catiônico) m/z (%): Calculado para C24H20P+: 339,1302; Encontrado: 339,1386

Dibutilbis(N-metilsulfonilditiocarbimato)estanato(IV) de tris(1,10-fenantrolina)ferro(II) (4)

T.D. (ºC): 129,5. IV (cm-1): 3058 ν(C-H); 1331 (C=N); 1289 ν(SO2ass); 1123 ν(SO2sim); 965 (CS2). 1H RMN (300 MHz, DMSO) (δ): 8,80 (dd, J = 7,9 Hz, 6H, H4, H9); 8,36 (s, 6H, H6, H7); 7,77-7,69 (m, 12H, H2, H11, H3, H10); 2,92 (s, 6H, H2"); 1,69-1,58 (m, 8H, H1', H2'); 1,29-1,17 (m, 4H, H3'); 0,73 (t, J = 7,5 Hz, 6H, H4'). 13C RMN (300 MHz, DMSO) (δ): 156,28 (C2, C11); 149,46 (C1, C12); 137,82 (C4, C9); 130,36 (C5, C8); 128,49 (C6, C7); 126,73 (C3, C10); 38,28 (C2"); 28,20 (C1'); 26,51 (C2', C3'); 14,13 (C4'). 119Sn Mössbauer (mm s-1): δ = 1,46; Δ = 2,55. Análise de estanho e ferro calculada para C48H48FeN8O4S6Sn: Fe: 4,78; Sn: 10,16; Encontrado: Fe: 4,65; Sn: 9,92. EM (modo aniônico) m/z (%): Calculado para C12H24N2O4S6Sn-2/2: 285,9541; Encontrado: 285,9533. EM (modo catiônico) m/z (%): Calculado para C36H24FeN62+/2: 298,0705; Encontrado: 298,0752

Dibutilbis(N-etilsulfonilditiocarbimato)estanato(IV) de tris(1,10-fenantrolina)ferro(II) (5)

T.D. (ºC): 130,6. IV (cm-1): 3052 ν(C-H); 1312(C=N); 1271 ν(SO2ass); 1109 ν(SO2sim); 938(CS2). 1H RMN (300 MHz, DMSO) (δ): 8,81-8,78 (m, 6H, H4 e H9); 8,39 (s, 6H, H6 e H7); 7,76-7,70 (m, 12H, H2, H11, H3, H10); 3,31-3,25 (m, 4H, H2"); 1,67-1,56 (m, 8H, H1', H2'); 1,25-1,18 (m, 4H, H3'); 1,04 (t, J = 7,5 Hz, 6H, H3"); 0,72 (t, J = 7,5 Hz, 6H, H4'). 13C RMN (300 MHz, DMSO) (δ): 156,57 (C2, C11); 149,46 (C1, C12); 137,81 (C4, C9); 130,36 (C5, C8); 128,48 (C6, C7); 126,72 (C3, C10); 44,06 (C2"); 28,24 (C1'); 26,56 (C2', C3'); 14,11 (C4'); 8,42 (C3"). 119Sn Mössbauer (mm s-1): δ = 1,33; Δ = 2,40. Análise de estanho e ferro calculada para C50H52FeN8O4S6Sn: Fe: 4,67; Sn: 9,93; Encontrado: Fe: 5,05; Sn: 10,07. EM (modo aniônico) m/z (%): Calculado para C14H28N2O4S6Sn-2/2: 299,9697; Encontrado: 299,9594. EM (modo catiônico) m/z (%): Calculado para C36H24FeN62+/2: 298,0705; Encontrado: 298,0768.

Dibutilbis(N-butilsulfonilditiocarbimato)estanato(IV) de tris(1,10-fenantrolina)ferro(II) (6)

T.D. (ºC): 132. IV (cm-1): 3058 ν(C-H), 1313, ν(C=N), 1289 ν(SO2ass), 1123 ν(SO2sim), 942 (CS2), 368 ν(Sn-S). 1H RMN (300 MHz, DMSO) (δ): 8,81-8,80 (m, 6H, H4, H9); 8,39 (s, 6H, H6, H7); 7,72 (m, 12H, H2, H11 e H3, H10); 3,4-3,2 (m, 4H, H2" sobreposto ao sinal de DMSO); (1,65-1,15 (m, 20H, H1', H2', H3', H3", H4"); 0,85-0,70 (m, 12H, H4', H5"). 13C RMN (300 MHz, DMSO) (δ): 156,28 (C2, C11); 149,46 (C1, C12); 137,83 (C4, C9); 130,37 (C5, C8); 128,49 (C6, C7); 126,73 (C3, C10); 49,54 (C2"); 28,26 (C1'); 26,61 (C2', C3'); 25,83 (C3"); 21,73 (C4"); 14,10 (C5", C4'). 119Sn Mössbauer (mm s-1): δ = 1,46; Δ = 2,22. Análise de estanho e ferro calculada para C50H52FeN8O4S6Sn: Fe: 4,46; Sn: 9,48; Encontrado: Fe: 4,39 Sn: 9,51. EM (modo aniônico) m/z (%): Calculado para C18H36N2O4S6Sn-2/2: 328,0010; Encontrado: 328,0098. EM (modo catiônico) m/z (%): Calculado para C36H24FeN62+/2: 298,0705; Encontrado: 298,0783.

Ensaios biológicos

A atividade antifúngica dos novos compostos foi avaliada pela técnica Poison food15 frente às espécies Colletotrichum acutatum e Botrytis cinerea. Os meios de cultura consistiram de BDA contendo Tween (1 mL/100 mL) e as substâncias a serem testadas dissolvidas em DMSO (1 mL/100mL) de modo a obterem-se cinco concentrações diferentes. O meio de cultura foi distribuído em placas de Petri (15 mL) e, depois de solidificado foi adicionado um disco de micélios de cada um dos fungos (6 mm de diâmetro) no centro de cada placa. Para cada concentração, fizeram-se quatro repetições e as placas foram mantidas em incubadora a 22 ºC (B. cinerea) ou 25 ºC (C. acutatum). Mediram-se os halos de crescimento fúngico a cada 24 horas por um período de 7 dias para C. acutatum e 3 dias para B. cinerea. Os resultados foram analisados por regressão não linear, utilizando a concentração versus o percentual de inibição. Também foram investigadas as atividades de cloreto de tetrafenilfosfônio, perclorato de tris(1,10-fenantrolina)ferro(II) e perclorato de magnésio. O controle negativo foi preparado com BDA, Tween e DMSO. Como controle positivo foi utilizado o bis(dimetilditiocarbamato)zinco(II) (DTC), princípio ativo do fungicida comercial Ziram.

 

RESULTADOS E DISCUSSÃO

Química

Os compostos 1, 2 e 3 são sólidos brancos insolúveis em água, éter dietílico, hexano, etanol e solúveis na maioria dos demais solventes orgânicos. Fundem-se, sem decomposição, em torno de 127 ºC. Os compostos 4, 5 e 6 são sólidos vermelhos pouco solúveis em dimetilsulfóxido e dimetilformamida e insolúveis nos demais solventes. Decompõem-se em torno de 130 ºC. As análises por espectrometria de massas de alta resolução, tanto no modo negativo quanto no modo positivo apresentaram os picos dos íons moleculares dos ânions e cátions em valores de massas exatas consistentes com as fórmulas propostas.

Os espectros no IV dos seis compostos apresentaram bandas na região de 3060-3050 cm-1 que foram atribuídas aos estiramentos das ligações Csp2-H e bandas na faixa de 1678-1426 cm-1 e 845-526 cm-1 atribuídas aos estiramentos das ligações de C=C e C=N, para os cátions, tetrafenilfosfônio e tris(1,10-fenantrolina)ferro(II)14,16. A banda forte observada entre 1343 e 1320 cm-1 foi atribuída ao estiramento da ligação C=N do grupo ditiocarbimato.5 Esta banda é deslocada para números de onda mais elevados, quando comparada aos espectros dos ditiocarbimatos de potássio precursores (1266-1260 cm-1). Esse deslocamento também é observado em espectros de compostos onde os dois átomos de enxofre do ditiocarbimato se ligam a metais como níquel e zinco.17-19 Porém, no caso dos compostos estudados, o deslocamento desta banda foi bem menor e semelhante ao observado para organometálicos de fórmula (Ph4P)2[Sn(Bu)2(ArSO2N=CS2)2] em que Ar representa diversos grupos aromáticos. Para esses compostos a coordenação se dá por um átomo de enxofre e um átomo de nitrogênio do grupo ditiocarbimato.5 Além disso, se a coordenação do ditiocarbimato ao estanho fosse feita por dois átomos de enxofre, esperar-se-ia um considerável deslocamento para menores números de onda da banda correspondente ao estiramento ligação CS2 devido ao enfraquecimento das duas ligações C-S.17-19 No entanto, nos espectros de 1 a 6, esta banda foi observada na região de 964-958 cm-1, apenas ligeiramente abaixo do que é observado para os ligantes livres (970-968 cm-1). Esses dados indicam que a coordenação do ditiocarbimato ao estanho ocorreu por um átomo de enxofre e um átomo de nitrogênio do grupo ditiocarbimato.

A banda correspondente ao estiramento Sn-S geralmente é observada na região de 400-300 cm-1 no IV.20 Essa observação foi nítida no caso dos compostos 2, 3 e 5, mas foi dificultada nos demais casos devido à presença de numerosas bandas nessa região. Pelo mesmo motivo, a banda esperada na região de 470 e 400 cm-1, correspondente a uma possível ligação Sn-N, e as bandas de estiramento assimétrico (610-500 cm-1) e simétrico (530-450 cm-1) da ligação Sn-C,5 não puderam ser atribuídas.

As Figuras 4 e 5 apresentam, como exemplo, os espectros de RMN de 1H e 13C para o composto 1. Os espectros dos demais compostos podem ser encontrados no material suplementar.

 


Figura 4. Espectro de RMN 1H do composto 1

 

 


Figura 5. Espectro de RMN 13C do composto 1

 

Os espectros de RMN de 13C apresentaram os quatro dupletos devidos aos acoplamentos carbono-fósforo do cátion tetrafenilfosfônio (compostos 1-3) e os seis sinais correspondentes ao cátion tris(1,10-fenantrolina)ferro(II) (compostos 4-6) nos valores de deslocamentos químicos reportados na literatura.6,18 Além disso, nos espectros de todos os seis compostos foram observados todos os sinais esperados para os grupos butila ligados ao átomo de estanho.5 Como esperado, devido à formação dos complexos, o sinal do átomo de carbono do grupo ditiocarbimato (C=N) foi observado nos espectros de 1 a 3 em menor deslocamento químico (δ 209) quando comparado ao valor nos espectros dos ligantes (δ 220).5 Como este é normalmente um sinal de muito pequena intensidade, não foi possível observá-lo nos espectros dos compostos menos solúveis 4 a 6. Os espectros de RMN de 1H dos seis compostos mostraram todos os sinais esperados para os átomos de hidrogênio alifáticos e aromáticos. As curvas de integração estão consistentes com a proporção 2:1 cátion tetrafenilfosfônio:ânion complexo, para 1-3 e 1:1 cátion tris(1,10-fenantrolina)ferro(II): ânion complexo para 4-6.

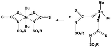
Nos espectros de RMN de 119Sn dos compostos 1 a 3 observaram-se dois sinais, um mais intenso na faixa de δ 128 a 129 e outro de menor intensidade entre δ -215 e -225, indicando números de coordenação, quatro e cinco, respectivamente.21 Porém, um sinal na faixa δ -215 e -225 também pode indicar uma hexacoordenação em que dois ligantes estão mais fracamente ligados (os átomos de nitrogênio) como já foi observado em compostos semelhantes.5,22 Em solução essas interações podem ser quebradas resultando em um equilíbrio entre espécies hexa e tetracoordenadas (Figura 6). Não foi possível a obtenção de espectros de de RMN de 119Sn para os compostos 4 a 6 por causa de sua baixa solubilidade.

 


Figura 6. Equilíbrio entre espécies tetra e quase hexacoordenadas, em solução

 

Os dados espectroscópicos de Mössbauer estão apresentados na Tabela 1. A presença de apenas um centro metálico é indicada pelo único dupleto no espectro e também pelos valores de área (100%). Os seis compostos mostraram valores de desvio isomérico (δ) (1,44-1,50) compatíveis com o átomo de estanho no estado de oxidação IV.5 Esses valores são menores que aqueles encontrados para o sal de estanho precursor, indicando a complexação com um aumento de ligantes na esfera de coordenação. Os valores de desdobramento quadrupolar (Δ), na faixa de 2,22 a 2,57 mms-1 sugerem que a geometria em torno do estanho está entre tetraédrica e octaédrica, possivelmente com duas ligações Sn-C com os grupos butila, duas ligações covalentes Sn-S com o grupo ditiocarbimato e duas interações mais fracas Sn---N com o grupo ditiocarbimato. Esse tipo de coordenação já foi observado para compostos semelhantes com ligantes ditiocarbimatos, ditiocarbamatos e tiadiozóis.5,23 Os espectros de Mössbauer de ferro (compostos 4-6), estão consistentes com dados relatados na literatura para o cátion tris(1,10-fenantrolina)ferro(II).22

 

 

Ensaios biológicos

Os seis novos compostos inibiram o crescimento de B. cinerea e C. acutatum in vitro no teste poison food. O bis(dimetilditiocarbamato)zinco(II), princípio ativo do fungicida comercial Ziram, o cloreto de tetrafenilfosfônio, o dicloreto de dibutilestanho, o perclorato de tris(1,10-fenatrolina)ferro(II) e o perclorato de magnésio também foram testados. Desses compostos, apenas o perclorato de magnésio não foi ativo nas doses testadas, pelo menos até a concentração de 0,6 mM. As tabelas 2 e 3 resumem os resultados obtidos, em termos das percentagens de inibição no último dia de experimento com cada espécie, além dos valores de IC50 calculados a partir das equações obtidas das curvas dose-resposta.

 

 

 

 

Em uma análise geral, nota-se que os complexos foram mais ativos contra B. cinerea que contra C. acutatum. Comparando os compostos com diferentes grupos alquila, observa-se que os compostos contendo o grupo etila (2 e 5) apresentaram menores valores de IC50 e, na maioria dos casos, também apresentaram maiores percentagens de inibição nas maiores concentrações testadas, dentro de cada grupo, sendo que 5 inibiu 100% do crescimento de B. cinerea a 0,3 mmol L-1. O cloreto de dibutil estanho foi apreciavelmente menos ativo que os complexos para ambos os fungos.

Embora os valores de IC50 para os compostos 1 a 3 tenham se apresentado menores que para os compostos 4 a 6, as inclinações das curvas de dose-resposta nas faixas de maiores concentrações foram maiores para estes últimos, de forma que houve uma tendência geral de se alcançar a percentagem máxima de inibição com uma dose menor dos compostos 4 a 6. De fato, essa inibição foi igual ou próxima a 100% contra B. cinerea com os compostos 4 e 5 a 0,15 mmol L-1, enquanto os compostos análogos 1 e 2 alcançaram inibições na casa dos 70% nessa concentração. Assim, pode-se dizer que a troca do contraion tetrafenilfosfônio pelo cátion complexo tris(1,10-fenatrolina)ferro(II) surtiu efeito no que concerne a obtenção de um controle de 100% do crescimento fúngico com menor dose em concentração molar dos compostos em estudo.

O cloreto de tetrafenilfosfônio foi pouco ativo contra C. acutatum, inibindo o crescimento fúngico em apenas 14% a 0,6 mM. Isto indicou que a atividade apresentada pelos compostos 1 a 3 contra este fungo foi em grande parte devida ao ânion complexo. Já contra B. cinerea a atividade do cloreto de tetrafenilfosfônio foi apreciável, permitindo inclusive a determinação de seu IC50 dentro da faixa de concentrações em estudo (Tabela 2). Assim, pode ter havido maior contribuição do cátion tetrafenilfosfônio para a atividade dos compostos 1 a 3 contra esta espécie de fungo.

No teste com B. cinerea (Tabela 2), observa-se que os compostos 2, 3 e 5 apresentaram os menores valores de IC50, inclusive sendo menores que o IC50 do fungicida de referência: bis(dimetilditiocarbamato)zinco(II), princípio ativo do Ziram. Além disso, enquanto os compostos 4 a 6 já tinham atingido inibições próximas a 100% a 0,15 mM, a inibição do crescimento fúngico sob tratamento com o bis(dimetilditiocarbamato)zinco(II) não passava dos 72% nessa concentração. Assim, esses novos complexos, em especial os compostos 4 e 5 são promissores agentes de controle para as doenças causadas por B. cinerea.

Nos testes contra C. acutatum (Tabela 3), a influência do cátion complexo tris(1,10-fenatrolina)ferro(II) na atividade dos ditiocarbimatos de dibutilestanho foi bem menor, sendo os compostos 4 a 6 até ligeiramente menos ativos que o perclorato de tris(1,10-fenatrolina)ferro(II). Pode ser que a baixa solubilidade tanto em meio aquoso como também em meios menos polares dos compostos 4 a 6 tenha sido mais importante em relação a esta espécie de fungo. Porém, também neste caso, os novos compostos foram mais ativos que o princípio ativo do Ziram.

 

CONCLUSÃO

Seis novos sais complexos contendo o ânion bis(N-R-sulfonilditiocarbimato)estanato(IV) e os cátions tetrafenisfosfônio e tris(1,10-fenantrolina)ferro(II) foram sintetizados. Os compostos foram caracterizados por espectroscopias no IV, de RMN de 1H, 13C e 119Sn, Mossbauer de 119Sn e por espectrometria de massas de alta resolução. As curvas de integração dos espectros de RMN de 1H foram consistentes com as proporções entre cátions e ânions iguais a 2:1 para os compostos 1 a 3 e 1:1 para os compostos 4 a 6. Os espectros de RMN de 13C apresentaram os sinais esperados para os cátions e ânions. Os dados de RMN de 119Sn indicaram que, em solução, ocorre um processo dinâmico entre espécies tetra e hexacoordenadas, devido coordenação unidentada dos ligantes ditiocarbimatos via átomo de enxofre e uma ligação mais fraca do estanho com os átomos de nitrogênio. Esta proposta foi corroborada pelos resultados das análises de Mössbauer de 119Sn. Além disso, o fato de não ter ocorrido um deslocamento considerável da banda no IV correspondente ao grupo CS2, quando comparada aos espectros dos ligantes precursores, indicou que o ditiocarbimato se ligou ao estanho provavelmente por um átomo de enxofre e um átomo de nitrogênio. Todos os compostos apresentaram atividade antifúngica, sendo mais ativos contra B. cinerea que contra C. acutatum. O cátion complexo tris(1,10-fenantrolina)ferro(II) contribuiu mais para a atividade dos sais de ditiocarbimatos de dibutilestanho que o cátion tetrafenilfosfônio. De um modo geral, os compostos foram mais ativos que o bis(dimetilditiocarbamato)zinco(II), princípio ativo do fungicida Ziram, especialmente os compostos 4 e 5 contra B. cinerea. Assim, pode-se concluir que o aprofundamento do estudo de sua atividade antifúngica dessa classe de compostos é importante uma vez que apresentam grande potencial agroquímico.

 

MATERIAL SUPLEMENTAR

O material suplementar inclui espectros no infravermelho, de RMN de 1H, 13C e 119Sn e Mössbauer de 119Sn e 57Fe. Podem ser obtidos em: http://quimicanova.sbq.org.br, na forma de arquivo PDF, com acesso livre.

 

AGRADECIMENTOS

Este trabalho foi financiado pela CAPES, CNPq e FAPEMIG (Brasil).

 

REFERÊNCIAS

1. Hogarth, D.; Prog. Inorg. Chem. 2005, 53, 71.

2. Fackler, J. P.; Coucouvanis, D.; Chem. Commun. 1965, 21, 556.

3. Hummel, H. U.; Korn, U.; Z. Naturforsch. 1989, 44B, 24.

4. Alves, L. C.; Rubinger, M. M. M.; Lindemann, R. H.; Perpétuo, G. J.; Janczak, J.; Miranda, L. D. L.; Zambolim, L.; Oliveira, M. R. L.; J. Inorg. Biochem. 2009, 103, 1045. DOI: http://dx.doi.org/10.1016/j.jinorgbio.2009.04.018 PMID: 19505726

5. Dias, L. C.; Rubinger, M. M. M.; Barolli, J. P.; Ardisson, J. D.; Mendes, I. C.; Lima, G. M.; Zambolim, L.; Oliveira, M. R. L.; Polyhedron 2012, 47, 30. DOI: http://dx.doi.org/10.1016/j.poly.2012.08.037

6. Bottega, F. C.; Oliveira, M. R. L; Garcia, C. V.; Rubinger. M. M. M.; Menezes, D. C.; Zambolim, L.; Quim. Nova 2013, 36, 803. DOI: http://dx.doi.org/10.1590/S0100-40422013000600011

7. Oliveira, A. A.; Oliveira, M. R. L; Rubinger, M. M. M.; Piló, E. L.; Menezes, D. C.; Zambolim, L.; Quim Nova 2015, 38, 757.

8. Elad, Y.; Williamson, B.; Tudzynski, P.; Delen, N. Botrytis: Biology, Pathology and Control, 1 ed., Springer: Netherlands, 2007.

9. Peres, N. A.; Timmer, L. W.; Adaskaveg, J. E.; Correll, J. C.; Plant Dis. 2005, 89, 784. DOI: http://dx.doi.org/10.1094/PD-89-0784

10. Kupper, K. C.; Bellotte, J. A. M.; Goes, A.; Rev. Bras. Frutic. 2009, 31, 1004. DOI: http://dx.doi.org/10.1590/S0100-29452009000400013

11. Almeida, T. F.; Camargo, M.; Panizzi, R. C.; Summa. Phytopathol. 2009, 35, 196. DOI: http://dx.doi.org/10.1590/S0100-54052009000300006

12. Vogel, A.I. A Textbook of Practical Organic Chemistry Including Qualitative Organic Analysis, 3 ed., Longmans: London, 1956

13. Franca, E. F.; Oliveira, M. R. L.; Guilardi, S.; Andrade, R. P.; Lindemann, R. H.; Amim, J.; Ellena, J.; De Bellis, V. M.; Rubinger, M. M. M.; Polyhedron 2006, 25, 2119. DOI: http://dx.doi.org/10.1016/j.poly.2005.11.035

14. Yoshioka, M. N.; Inoue, H.; Trans. Met. Chem. 1999, 24, 210. DOI: http://dx.doi.org/10.1023/A:1006906208569

15. Sridhar, S. R.; Rajagopal, R. V.; Rajavel, R.; Masilamani, S.; Narasimhan, S.; Agric. Food Chem. 2003, 51, 7596. DOI: http://dx.doi.org/10.1021/jf0344082

16. Román, P.; Beitia, J. I.; Luque, A, Miralles, C. G.; Polyhedron 1995, 14, 1091. DOI: http://dx.doi.org/10.1016/0277-5387(94)00332-9

17. Oliveira, M. R. L; Diniz, R.; De Bellis, V. M.; Fernandes, N. G.; Polyhedron 2003, 22, 1561. DOI: http://dx.doi.org/10.1016/S0277-5387(03)00265-1

18. Perpetuo, G. J.; Oliveira, M. R. L.; Janczak, J.; Vieira, H. P.; Amaral, F. F.; De Bellis, V. M.; Polyhedron 2003, 22, 3355. DOI: http://dx.doi.org/10.1016/j.poly.2003.08.003

19. Cunha, L. M. G.; Rubinger, M. M. M.; Oliveira, M. R. L.; Tavares, E. C.; Sabino, J. R.; Pacheco, E. B. A. V.; Visconte, L. L. Y.; Inorg. Chim. Acta 2012, 383, 194 DOI: http://dx.doi.org/10.1016/j.ica.2011.11.002

20. Bonati, F.; Ugo, R. J.; J. Organomet. Chem 1967, 10, 257. DOI: http://dx.doi.org/10.1016/S0022-328X(00)93085-7

21. Dakternieks, D.; Zhu, H.; Masi, D.; Mealli, C.; Inorg. Chem. 1992, 31, 3601. DOI: http://dx.doi.org/10.1021/ic00043a021

22. Nath, M.; Sulaxna; Song, X.; Eng, G.; J. Organomet. Chem. 2006, 691, 1649.

23. Nath, M.; Sulaxna; Song, X.; Eng. G.; Spectrochim. Acta Part A 2006, 64, 148. DOI: http://dx.doi.org/10.1016/j.saa.2005.07.009

24. Brooks, J. S.; Clarkson, R. W.; Allen, D. W. A.; J. Organomet. Chem. 1983, 243, 411. DOI: http://dx.doi.org/10.1016/S0022-328X(00)98574-7

On-line version ISSN 1678-7064 Printed version ISSN 0100-4042
Qu�mica Nova
Publica��es da Sociedade Brasileira de Qu�mica
Caixa Postal: 26037 05513-970 S�o Paulo - SP
Tel/Fax: +55.11.3032.2299/+55.11.3814.3602
Free access

GN1