JBCS



14:56, sáb out 25

Acesso Aberto/TP



Nota Técnica


Validação de um método analítico para determinação de marcadores orgânicos geoquímicos em amostras de sedimentos marinhos
Validation of an analytical method for geochemical organic markers determination in marine sediments

Edna Wisnieski#; Liziane M. M. Ceschim; César C. Martins*

Centro de Estudos do Mar, Universidade Federal do Paraná, Caixa Postal 61, 83255-976 Pontal do Paraná - PR, Brasil

Recebido em 15/01/2016
Aceito em 01/04/2016
Publicado na web em 06/06/2016

Endereço para correspondência

*e-mail: ccmart@ufpr.br

RESUMO

This paper describes the validation of an alternative method for determination of n-alkanes, sterols (OLs) and n-alkanols (ALCs) in marine sediments, through adaptation of clean up. The method reduced the material consumption, the discards produced and working time. The recovery percentages were 60-129% for n-alkanes, 52-67% for OLs and 43-141% for ALCs, acceptable values compared to other studies. The application in Antarctic marine sediments presented satisfactory results indicating contribution of planktonic organisms, higher animals and a little contribution from vegetation.

Palavras-chave: organic markers; sediments; gas chromatography; Antarctica.

INTRODUÇAO

Marcadores orgânicos geoquímicos sao compostos com características como estabilidade química e resistência à degradaçao, e por isso podem ser utilizados como indicadores de eventos e processos ao longo do tempo.1 Entre os principais marcadores utilizados atualmente podemos citar os esteróis, n-alcanos, ácidos graxos, n-alcanóis, alquenonas, entre outros. Sao amplamente empregados na avaliaçao de origem e distribuiçao de matéria orgânica marinha, de alteraçoes ambientais, assim como na identificaçao de contaminaçao ambiental associada às atividades antrópicas.2-5

O principal destino de marcadores orgânicos após serem introduzidos em ecossistemas aquáticos sao os sedimentos de fundo, constituindo um importante compartimento de acumulaçao destes compostos em níveis mais elevados que aqueles observados na coluna d'água adjacente.6 Para estudos de transformaçoes ambientais em diferentes escalas de tempo, sao empregadas colunas sedimentares (ou testemunhos de sedimentos), que permitem obter registros históricos relacionados aos processos deposicionais.6 As informaçoes que podem ser geradas remetem a períodos remotos onde as características naturais do ambiente nao foram modificadas pela atividade antrópica até períodos recentes, fornecendo um panorama evolutivo de uma série de alteraçoes ambientais.7-9

Os diferentes métodos de determinaçao de marcadores orgânicos utilizados em estudos de geoquímica marinha adotam os seguintes passos: (i) extraçao, (ii) purificaçao e fracionamento por cromatografia de adsorçao em coluna, (iii) derivaçao, que é a conversao de compostos que apresentam grupos hidroxila e carboxila, como é o caso dos esteróis, n-alcanóis e ácidos graxos, em formas químicas mais apropriadas para resoluçao cromatográfica e, por fim; (iv) a análise instrumental que é, geralmente, baseada em cromatografia em fase gasosa e detectores específicos com a finalidade de separaçao, identificaçao e quantificaçao de cada composto.10-12

O fracionamento e a purificaçao do extrato orgânico sao passos fundamentais na determinaçao de compostos provenientes de matrizes sólidas, como os sedimentos marinhos, pois é responsável pela "limpeza" e separaçao dos constituintes presentes nas amostras.13 Geralmente é utilizada uma coluna cromatográfica com adsorventes específicos (sílica e alumina, por exemplo), bem como solventes de diferentes polaridades na eluiçao dos respectivos compostos.

A eficiência do solvente em selecionar os compostos de interesse adsorvidos na coluna cromatográfica, após eluiçao do extrato orgânico concentrado, depende da afinidade química com as diversas classes de marcadores orgânicos, do ajuste na quantidade de adsorventes e nos volumes de solventes utilizados para eluiçao de cada fraçao. Esses fatores sao cruciais para uma separaçao precisa das diferentes classes de marcadores orgânicos, necessários para uma caracterizaçao ambiental.

Existem diferentes métodos de obtençao da fraçao lipídica dos sedimentos marinhos, cada qual com especificidades quanto a quantidade de adsorventes e solventes;11,14,15 quanto às classes de compostos que se pode obter;16-19 e ainda entre as quantidades de amostra necessária e de material de laboratório e o tempo dispensado no processo laboratorial.11,12,14,16,20,21

O método rotineiramente aplicado no Laboratório de Geoquímica e Poluiçao Marinha (LaGPoM) do Centro de Estudos do Mar da Universidade Federal do Paraná (CEM/UFPR) apresenta algumas especificidades que acabam limitando-o em alguns pontos, e com o intuito de minimizar essas limitaçoes, o objetivo desse trabalho foi validar um método analítico para a determinaçao de marcadores orgânicos geoquímicos em sedimentos marinhos para obter diferentes classes de marcadores (por exemplo, n-alcanos, esteróis - OLs e n-alcanóis - ALCs) em uma única extraçao, e assim diminuir tempo de trabalho laboratorial, massa necessária de amostras, consumo de material de laboratório e descartes gerados.

 

PARTE EXPERIMENTAL

Reagentes

Para todos os testes foram tomados cuidados prévios antes e durante as análises, tais como alto grau de pureza de solventes, a citar: etanol (EtOH) (99,9% pureza mínima), hexano (95% n-hexano) e diclorometano (DCM) (ambos com 99,9% pureza mínima), todos fornecidos pela J.T. Baker e Mallinckrodt Chemicals; e dos reagentes inorgânicos utilizados como adsorventes, a citar: alumina (Al2O3 - óxido de alumínio 90 ativo, 0,063-0,200 mm, Merck), sílica gel (SiO2 - sílica gel 60, 0,063 - 0,200 mm, Merck) e sulfato de sódio (Na2SO4, 98% pureza mínima, J.T. Baker).

Os adsorventes foram calcinados (em forno mufla por 4 horas a 400 ºC) e armazenados adequadamente em dessecador sob vácuo até o uso. Para eliminaçao de possíveis interferências causadas por enxofre, foram utilizados fios de cobre, tratados por 30 minutos em soluçao de ácido clorídrico (HCl 2 mol L-1, preparado de uma soluçao 37% P.A. - ACS, F.Maia), enxaguados com água destilada, emersos em EtOH e por fim em mistura de 50% n-hexano:DCM, utilizada na extraçao.

Todo material utilizado nas extraçoes foi devidamente lavado antes de sua utilizaçao, ficando emerso por aproximadamente 12 horas em soluçao contendo detergente alcalino Extran® (Merck) e, após seco em estufa a aproximadamente 150 °C, o material foi calcinado a 400 ºC por 4 horas. O material volumétrico foi seco a temperatura ambiente, e no momento da utilizaçao, lavado 3 vezes com os solventes utilizados no processo, de forma a minimizar a possibilidade de contaminaçao orgânica do material.

Os padroes de 5α-androstan-3β-ol (98% de pureza), 5α-colestano (99% de pureza), 5β-colestan-3β-ol (> 98% de pureza), 5β-colestan-3α-ol (> 95% de pureza), colest-5-en-3β-ol (94% de pureza), 5α-colestan-3β-ol (95% de pureza), 24-etilcolest-5,22E-dien-3β-ol (> 95% de pureza), 24-metilcolest-5-en-3β-ol (ca. 65% de pureza) e 24-etilcolest-5-en-3β-ol (> 95% de pureza) foram obtidos da Sigma Aldrich. Os padroes subrogados 1-eicoseno e 1-hexadeceno e o padrao interno 1-tetradeceno foram obtidos da Supelco (99,7 - 99,9% de pureza). Os n-alcanos e isoprenóides (C10-C40 + pristano +fitano) - DRH-008S-R2, foram obtidos da AccuStandard (98.7 - 100% de pureza). Os n-alcanóis n-C12OH a n-C18OH foram obtidos da Fluka e os n-C19OH a n-C30OH da Sigma-Aldrich, todos com pureza entre 95,7 e 99,9%.

Otimizaçao do método analítico

O método utilizado para determinar n-alcanos e esteróis (OLs) empregado no LaGPoM do CEM/UFPR, assim como verificado em trabalhos anteriores, a citar,22-25 tem sido executado através da realizaçao de duas extraçoes independentes, uma para obter os n-alcanos e hidrocarbonetos policíclicos aromáticos (HPAs)21,26,27 e outra para OLs.16

Cada extraçao parte da massa de 20 g de amostra seca, sendo necessárias entao, no mínimo, 40 g por amostra para a obtençao dos compostos listados anteriormente, quantidade esta nem sempre alcançada dependendo do método de amostragem. A utilizaçao de solventes e adsorventes, bem como a quantidade de descartes resultantes, também é maior, pois o procedimento de extraçao e clean up é repetido para cada extraçao realizada de forma independente.

Para validaçao do método otimizado, optou-se por incluir mais uma etapa de eluiçao durante o fracionamento em cromatografia de adsorçao em coluna no método inicialmente utilizado apenas para a obtençao dos n-alcanos e HPAs.21

Em colunas cromatográficas de vidro, com dimensoes de 0,5 cm diâmetro interno (d.i.) e 37 cm de altura, contendo 3,2 g de sílica 5% desativada com água isenta de compostos orgânicos, 1,8 g de alumina 5% desativada e sulfato de sódio, foram adicionadas uma mistura de padroes externos (analitos listados anteriormente, que se deseja quantificar nas amostras ambientais) de n-alcanos, OLs e ALCs, bem como padroes subrogados (1-eicoseno e 1-hexadeceno - F1, e 5α-androstanol - F3).

As etapas de eluiçao das fraçoes F1 e F2 (HPAs - nao avaliados neste trabalho) foram semelhantes ao método usualmente empregado no LaGPoM, utilizando 10 mL de n-hexano para F1 e 15 mL de mistura 30% DCM/n-hexano para F2.21 Para F3, a eluiçao com 5 mL de uma mistura EtOH:DCM (1:9), seguido de 20 mL de EtOH foi escolhida para compor o novo método, após a avaliaçao qualitativa entre testes com volumes e solventes diferentes utilizados na eluiçao desta fraçao.

Método final estabelecido

Uma vez estabelecida a melhor maneira de se realizar a etapa de fracionamento de múltiplos marcadores orgânicos, o método analítico completo (Figura 1) foi validado e empregado na determinaçao de marcadores orgânicos em sedimentos marinhos da regiao Antártica. A seguir, sao descritos os detalhes do método analítico utilizado.

 


Figura 1. Procedimento analítico validado neste trabalho

 

Extraçao

A extraçao dos compostos foi feita com base no protocolo estabelecido por UNEP21 e consiste na extraçao em sistema Soxhlet, por 8 horas, em 80 mL de soluçao n-hexano/DCM (1:1), partindo de aproximadamente 10 g de sedimento seco, adicionado dos padroes subrogados para n-alcanos, OLs, ALCs e de fios de cobre. Em seguida, as amostras foram concentradas em rotavapor a vácuo até aproximadamente 2 mL, e levadas para etapa de purificaçao e fracionamento.

Fracionamento e purificaçao (clean up)

O clean up foi realizado pela passagem do extrato através de uma coluna cromatográfica de vidro (com dimensoes de 0,5 cm d.i. e 37 cm de altura), preenchida com 3,2 g de sílica 5% desativada com água destilada isenta de compostos orgânicos, 1,8 g de alumina 5% desativada e sulfato de sódio. A eluiçao foi realizada utilizando 10 mL de n-hexano na F1 (n-alcanos); 15 mL de 30% DCM/n-hexano para a F2 (HPAs - nao avaliados neste trabalho); e 5 mL EtOH:DCM (1:9) seguidos de 20 mL de EtOH para a F3 (OLs e ALCs).

As fraçoes 1 e 2 foram concentradas em rotavapor a vácuo até aproximadamente 0,5 mL, transferidas para ampolas adicionadas dos padroes internos (tetradeceno - F1 e benzo(b)fluoranteno-d12 - F2), com concentraçao final de 5 ng µL-1 em F1 e 0,5 ng µL-1 em F2, e aferidas para o volume final de 1 mL com n-hexano.

Derivaçao (Fraçao 3)

A F3 foi evaporada até secagem total do extrato, sendo, em seguida, submetida ao processo de derivaçao, através da adiçao de 40 µL do reagente N,O-bis (trimetil-silil-triflúor-acetamida)/trimetil-cloro-silano (BSTFA/TMCS - 99:1), durante 90 minutos à temperatura aproximada de 70 ºC, em banho-maria. O excesso de reagente foi evaporado com N2 e o sólido resultante foi dissolvido em cerca de 0,5 mL de n-hexano, sendo transferido para ampolas, adicionada de padrao interno (5α-colestano), com concentraçao final de 2 ng µL-1, sendo aferido o volume final de 1 mL com n-hexano.

As alteraçoes propostas aos métodos utilizados previamente no LaGPoM16,21 tornaram viável a obtençao de mais de uma classe de marcadores com uma única extraçao, reduzindo em 50% o tempo de trabalho em laboratório. Com isso, os custos envolvidos nas análises acabam sendo menores, pois o consumo de materiais e produtos químicos nas extraçoes diminui. A ausência do uso de metanol, empregado em outros métodos3,14 representa menor probabilidade de prejuízos à saúde, pois o etanol é menos tóxico. Outra vantagem é tempo de extraçao, estabelecido em 8 horas, enquanto em outros métodos, pode-se chegar até 24 horas.2,12

Análise instrumental

Para a fraçao F1, foram injetados 1 µL da amostra em um cromatógrafo a gás (Agilent GC System 7890A Series), equipado com um detector de ionizaçao em chama (DIC), em modo sem divisao da amostra, utilizando H2 como gás de arraste. A coluna cromatográfica utilizada foi HP-5 Agilent 19091J-413, com dimensoes de 30,0 m x 0,32 mm x 0,25 µm d.i. As temperaturas do injetor e detector foram de 300 e 325 °C, respectivamente. A temperatura de programaçao teve início a 40 °C aumentando para 60 °C a uma taxa de 20 °C min-1, em seguida para 290 °C a uma taxa de 5 °C min-1, permanecendo por 5 minutos e, finalmente, para 300 °C a 5 °C min-1, permanecendo nessa temperatura por 11 minutos. O fluxo dos gases do detector foi de 30 mL min-1 para o H2, 350 mL min-1 para o ar sintético e 30 mL min-1 para o N2 (complementar).

A análise de F3 (OLs e ALCs) também foi realizada através de um cromatógrafo a gás (Agilent GC System 7890A Series), equipado com um DIC e uma coluna cromatográfica HP-5 Agilent 19091J-015 com dimensoes de 50 m x 0,32 mm x 0,17 µm d.i. O programa de aquecimento teve início a 40 °C aumentando para 240 °C a uma taxa de 10 °C min-1, em seguida para 245 °C a uma taxa de 0,25 °C min-1, permanecendo nessa temperatura por 5 minutos, e finalmente, para 300 °C a 10 °C min-1, permanecendo nessa temperatura por 5 minutos. As temperaturas do injetor e detector, o fluxo de gases e demais condiçoes de injeçao foram semelhantes àquelas utilizadas na determinaçao dos n-alcanos.

A título de confirmaçao, foram injetadas amostras de sedimento, contendo compostos que seriam analisados e nao dispunham de padroes (n-C26OH, 24-metilcolest-5,22E-dien-3β-ol, 4α,23,24-trimetil-5α-colesta-22E-en-3β-ol e fitol) sendo previamente identificados através da injeçao de extratos em um cromatógrafo a gás (Agilent GC System 7890A Series), equipado com um espectrômetro de massas (Agilent 5975C inert MSD with Triple-Axis Detector), seguida da análise dos TICs (Total Ion Chromatograms) e pela razao m/z (faixa de massas de 40 a 550 u.m.a.) característicos dos compostos de interesse.

Para a quantificaçao, foram construídas curvas analíticas dos compostos, com concentraçoes da soluçao de padroes externos de n-alcanos e isoprenóides, variando de 0,25 a 10,0 ng µL-1 e de OLs e ALCs entre 0,25 a 20,0 ng µL-1. Todos os compostos apresentaram índice de correlaçao linear de Pearson igual ou superior a 99,5% (r2 = 0,995), critério este utilizado para aceitaçao das mesmas.

A integraçao dos picos dos compostos foi feita a partir do software ChemStation 3365, da Agilent Technologies, determinando o fator de resposta de cada composto em relaçao aos padroes subrogados (1-eicoseno, 1-hexadeceno e 5α-androstanol) adicionados no início da extraçao de cada amostra. A coincidência entre os tempos de retençao dos compostos presentes nas amostras e nas soluçoes de padroes externos foi considerada como fator de identificaçao dos compostos nas amostras.

A quantificaçao foi feita a partir das áreas obtidas para cada composto analisado nas amostras, multiplicadas pelo fator de resposta da curva de calibraçao, em relaçao à razao massa/área do padrao subrogado adicionado em cada amostra. Todas as concentraçoes sao expressas em µg g-1 de sedimento seco.

 

RESULTADOS E DISCUSSAO

Validaçao do método otimizado

Repetibilidade das Colunas

Após definida a mistura de solvente para o clean up da F3, um teste de repetibilidade foi feito, para testar a precisao e eficiência do método. Para tal, foi realizada a extraçao de 5 réplicas de sedimento, de uma amostra de sedimento coletada na regiao do Canal da Cotinga, Baía de Paranaguá, PR, (25°30'47"S; 48°29'47"O), caracterizada por 94,9% de areia, 5,1% de silte e 3,6% de teor de matéria orgânica. Essa amostra foi escolhida por já ter sido analisada anteriormente, e ter suas concentraçoes conhecidas para OLs.

Em amostras de sedimento (10 g), foram adicionados os padroes subrogados para determinaçao de n-alcanos, OLs e ALCs e submetidas ao método estabelecido.

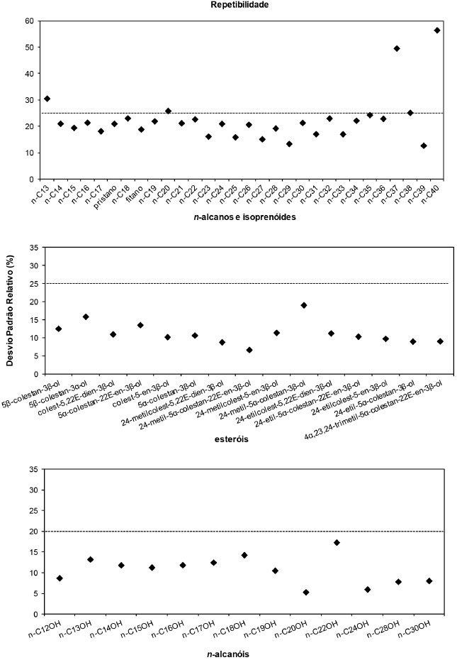
Dos compostos analisados em F1, 83,3% apresentaram variabilidade menor do que 25% (Tabela 1S), enquanto em F3, tanto OLs quanto ALCs apresentaram variabilidade inferior a 20% para todos compostos avaliados (Tabelas 2S e 3S). De acordo com Denoux et al.,28 é considerado confiável o método que obtenha no mínimo 75% dos compostos analisados dentro da faixa de valores aceitáveis, com um desvio padrao inferior a 25%.

A Figura 2 mostra a variabilidade individual de cada um dos compostos avaliados considerando as réplicas avaliadas. Segundo Wade & Cantillo,29 um mínimo de três réplicas é necessário para validaçao do método, de modo que a avaliaçao de quatro réplicas satisfaz esta condiçao analítica.

 


Figura 2. Gráfico da porcentagem de variabilidade média de cada composto avaliado através do teste de repetibilidade

 

Uma vez que a principal mudança no método analítico previamente estabelecido se deu na obtençao da F3, os resultados encontrados para os esteróis no teste de variabilidade foram comparados com os obtidos pelo método proposto por Kawakami & Montone.16

Os resultados mostram que o desvio padrao relativo para a mesma amostra analisada por dois métodos diferentes ficou abaixo de 20% para 92,3% dos compostos analisados (Tabela 4S), indicando que nao houve diferença significativa (R2 = 0.93) entre os dois métodos de análise para a maioria dos OLs. Portanto, os dados obtidos com o método testado fornecem resultados semelhantes a um método específico, empregado na análise de OLs.16

Material de Referência e Exercício de Intercalibraçao

Foi realizada a análise de uma amostra de material de referência certificado para os n-alcanos (IAEA-417)30 preparado pelo Marine Environment Laboratory (MEL), International Atomic Energy Agency (IAEA).

Ao material de referência IAEA 417 (2 g), foram adicionados os padroes subrogados para determinaçao de n-alcanos, OLs e n-alcanóis e submetidas ao método estabelecido anteriormente.

Comparando os valores obtidos para o material certificado IAEA-417 com seus valores de referência, todos os resultados dos compostos analisados nesse trabalho encontram-se dentro da faixa aceitável estabelecida no relatório de avaliaçao deste sedimento (Tabela 5S), indicando que o método testado pode ser empregado na determinaçao de n-alcanos.

Para os OLs, nao há um material de referência reconhecido, porém existe um exercício de intercalibraçao (IAEA-408), também preparado pela Marine Environment Laboratory (MEL), International Atomic Energy Agency (IAEA). Por nao ser certificado para OLs, o método é considerado confiável se 80% dos compostos analisados estiverem dentro da faixa apresentada no relatório do exercício, acrescido de ± 30%.28 A avaliaçao geral dos resultados mostra que 80% dos compostos encontraram-se dentro da faixa de valores aceitável (Tabela 6S).

Matriz Fortificada

Com o objetivo de avaliar o comportamento dos compostos a serem analisados, durante o processo de extraçao, clean-up e cromatografia, um teste com uma matriz fortificada, ou seja, amostras adicionadas de analítos de interesse, foi realizado.

Para a análise da matriz fortificada (a mesma amostra utilizada para o teste de repetibilidade), os sedimentos foram calcinados em forno mufla a 400 ºC, por 5 horas, para remoçao de componentes orgânicos. Uma mistura contendo padroes externos, com concentraçao conhecida, de n-alcanos, pristano, fitano, OLs e ALCs foi adicionada a estes sedimentos calcinados, sendo que a concentraçao final dos compostos deve corresponder a essa adicionada no início do processo.

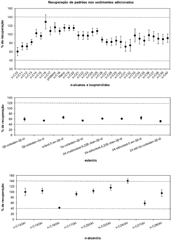
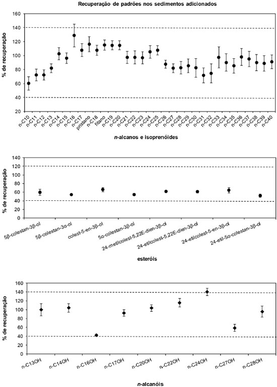
Das sete amostras de sedimento fortificadas, todas apresentaram recuperaçoes satisfatórias para os n-alcanos e isoprenóides (Tabela 7S), com valores entre 60,6 (n-C10) a 129,1% (n-C16) com média de 94,2 ± 15,4% (Figura 3).

 


Figura 3. Gráfico da recuperaçao de padroes externos nos sedimentos adicionados, para n-alcanos, esteróis e n-alcanóis

 

Já os OLs avaliados em seis réplicas da F3 apresentaram valores entre 52,3 (24-etil-5α-colestan-3β-ol) a 66,7% (colest-5-en-3β-ol), com média de 53,1 ± 5,2% (Figura 3) (Tabela 8S), enquanto ALCs avaliados em cinco réplicas encontraram-se dentro da faixa aceitável, com valores entre 42,9 (n-C16OH) e 140,8% (n-C24OH) e média de 95,2 ± 29,5% (Figura 3) (Tabela 9S). Desta maneira, todas as fraçoes apresentaram valores dentro da faixa aceitável sugerida por Qian & Jackson,31 onde 80% dos compostos analisados devem apresentar recuperaçao entre 40 e 140%.

Os valores de recuperaçao encontrados sao compatíveis com aqueles reportados por outros trabalhos. Damas et al.12 verificou valores de 65,1 a 105,6% para n-alcanos. Em Freitas32, a recuperaçao foi de 67,6 a 139,0% para n-alcanos. Martins et al.25 apresentou recuperaçoes de 45 a 120% para n-alcanos e de 41 a 125% para OLs. Para esteróis foram verificados valores de 50 a 120% em Kawakami & Montone16 enquanto que Carreira et al.33 apresentou o valor médio de 80,1 ± 13,2%. Ainda, Carreira et al.34 apresentou valores médios de recuperaçao de 99 ± 18% para OLs e 76 ± 15% para ALCs.

Limite de detecçao do método

O limite de detecçao do método (LDM) consiste na concentraçao mínima de uma substância que pode ser determinada pelo método com 99% de confiança em uma matriz.29 Uma das maneiras de calcular o limite de detecçao é através do desvio padrao (DP) de, no mínimo, cinco replicatas da mesma amostra (LDM = 3x DP).

O cálculo do LDM levou em conta as amostras adicionadas de padroes externos, utilizadas no teste de matrizes fortificadas. Para os compostos que sao analisados, mas que nao se dispoem de padroes foi considerado o LDM de um composto com estrutura química semelhante (por exemplo, número de carbonos), e presente na amostra.

A partir destes cálculos, o LDM para os n-alcanos e isoprenóides presentes na F1 foi estabelecido entre 0,004 µg g-1 (n-C26) e 0,012 µg g-1 (n-C16), com valor médio de 0,007 ± 0,002 µg g-1 (Tabela 10S).

Para os OLs (F3), o valor do limite de detecçao variou de 0,002 µg g-1 (5β-colestan-3α-ol e 24-metilcolest-5,22E-dien-3β-ol) até 0,006 µg g-1 (5β-colestan-3β-ol, colest-5-en-3β-ol e 24-etilcolest-5-en-3β-ol), sendo a média de 0,005 ± 0,002 µg g-1 (Tabela 11S), enquanto para os ALC (F3), os valores ficaram entre 0,011 µg g-1 (n-C14OH, n-C17OH, n-C20OH e n-C24OH) e 0,020 µg g-1 (n-C16OH), com média de 0,018 ± 0,007 µg g-1 (Tabela 12S).

Os valores de LDM obtidos nesse trabalho sao compatíveis com aqueles reportados por outros trabalhos. Damas et al.12 encontrou valores variando entre 0,019 a 0,036 µg g-1 para n-alcanos; enquanto que Freitas32 verificou valores entre 0,001 a 0,006 µg g-1 para n-alcanos. Já Martins et al.25 apresentou o valor médio de 0,001 µg g-1 para n-alcanos e 0,01 µg g-1 para OLs.

Brancos de Extraçao

Para análise de possíveis interferências externas nos procedimentos de laboratório, foi feito um branco de extraçao para cada grupo de aproximadamente nove amostras extraídas, utilizando 20 g de sulfato de sódio, que foi analisado da mesma maneira que as amostras.

Em nenhuma das fraçoes extraídas, foram observados compostos com concentraçao maior que três vezes o valor do limite de detecçao, enquadrando-se no critério estabelecido (Figura 1S). Entretanto, no branco de ALCs, o n-C22OH apresentou valores fora da faixa aceitável, sendo identificada uma contaminaçao por ftalato. Assim, apenas o n-C22OH foi excluído dos resultados e nao considerado nas discussoes desse trabalho.

Análises de amostras de sedimentos marinhos

Uma vez que o método analítico foi validado, o procedimento foi entao aplicado em sedimentos marinhos, oriundos da regiao Antártica. Como a principal alteraçao do método ocorreu na obtençao da F3, esta seçao apresentará apenas os resultados de OLs e ALCs.

As amostras de sedimento foram obtidas de um testemunho (tubos de alumínio com 25 mm de diâmetro) coletado em Ponta Barrel (62º10,274'S; 58º35,504'W), em uma profundidade aproximada de 20 a 30 metros, localizado na porçao mais interior da Enseada Ezcurra (Baía do Almirantado, Península Antártica) (Figura 2S), local distante das principais atividades antrópicas desenvolvidas na regiao. A coluna sedimentar coletada possui 17 cm de profundidade, sendo subdividida em seçoes de 1 cm.

Esteróis, n-alcanóis e fitol

A recuperaçao para a F3 (OLs e ALCs) foi de 101,1 ± 29,6%. Foram identificados 15 esteróis (5β-colestan-3β-ol, 5β-colestan-3α-ol, colest-5,22E-dien-3β-ol, 5α-colesta-22E-en-3β-ol, colest-5-en-3β-ol, 5α-colestan-3β-ol, 24-metil-colest-5,22E-dien-3β-ol, 24-metil-5α-colesta-22E-en-3β-ol, 24-metilcolest-5-en-3β-ol, 24-metil-5α-colestan-3β-ol, 24-etilcolest-5,22E-dien-3β-ol, 24-etil-5α-colesta-22E-en-3β-ol, 24-etil-colest-5-en-3β-ol, 24-etil-5α-colestan-3β-ol e 4α,23,24-trimetil-5α-colesta-22E-en-3β-ol), e como observado no cromatograma (Figura 3S), todos os compostos foram bem resolvidos, e apresentam distribuiçao e abundância já observadas em amostras de sedimentos marinhos dessa regiao.22,35

A concentraçao máxima dos OLs totais foi de 14,65 µg g-1, com média de 1,47 ± 0,40 µg g-1 (Tabela 13S). Colest-5-en-3β-ol foi o esterol mais abundante neste testemunho, resultado verificado em outros estudos na regiao antártica,22,36-38 uma vez que esse composto é abundante em sistemas marinhos devido à sua distribuiçao no plâncton marinho.39,40 Além dessa fonte, animais superiores como aves e mamíferos marinhos também sao uma importante fonte desse composto para os sedimentos na regiao antártica.41

A distribuiçao dos esteróis ressalta a contribuiçao de organismos do fito e do zooplâncton, com predomínio do colest-5-en-3β-ol, e com a presença de 24-etilcolest-5-en-3β-ol, 24-etilcolest-5,22E-dien-3β-ol, 24-metilcolest-5,22E-dien-3β-ol e 4α,23,24-trimetil-5α-colesta-22E-en-3β-ol indicando que cianobactérias, diatomáceas, algas primnesiófitas e dinoflagelados compoem os principais contribuintes da matéria orgânica na regiao.

O cromatograma dos ALCs (Figura 4S) também apresenta os compostos bem resolvidos, sendo identificados 15 compostos (n-C12OH, n-C13OH, n-C14OH, n-C15OH, n-C16OH, n-C17OH, n-C18OH, n-C19OH, n-C20OH, n-C24OH, n-C26OH, n-C27OH, n-C28OH e n-C30OH).

A concentraçao dos n-alcanóis totais foi de 2,79 µg g-1, com média de 0,31 ± 0,11 µg g-1 (Tabela 14S). A distribuiçao observada é tipicamente marinha, com predomínio dos ALCs leves (n-C12OH a n-C22OH), enquanto as concentraçoes dos ALCs pesados (n-C24OH a n-C30OH) estiveram próximas ou abaixo do LDM. Essa distribuiçao é esperada para a regiao antártica, onde a ausência de plantas superiores limita a contribuiçao de compostos oriundos de plantas, a liquens e musgos.42

Fitol, composto formado a partir da degradaçao da clorofila-a,3 esteve presente em todas as seçoes do testemunho. Esse composto geralmente aparece como o principal álcool no ambiente Antártico, e uma vez que é encontrado de maneira ubíqua em plantas, tem sido empregado como um marcador de vegetaçao.43 Especificamente neste caso, reflete contribuiçoes de plantas da regiao, como musgos, algas e plantas vasculares, embora em quantidades nao significativas.

Os perfis verticais tanto de ALCs como de OLs totais sao similares, com exceçao dos ALCs pesados que apresentaram concentraçoes próximas ou abaixo do LDM. De maneira geral, houve variaçoes nas concentraçoes dos ALCs leves e OLs totais com a profundidade (Tabelas 13S e 14S), sendo possível verificar as concentraçoes mais elevadas entre as profundidades de 10-11 cm, possivelmente associadas a um evento natural que favoreceu a produçao de matéria orgânica pelos organismos anteriormente citados, ou ainda, condiçoes físico-químicas favoráveis a preservaçao da matéria orgânica sedimentar. 38

O fitol apresentou um perfil mais regular (Tabela 14S), com variaçoes pouco significativas ao longo do tempo, sugerindo um aporte constante desse composto ao longo do período deposicional. As concentraçoes do fitol com a profundidade também pode ser reflexo de processos de degradaçao da matéria orgânica, sendo observadas maiores concentraçoes nos sedimentos mais recentes, próximos a superfície, diminuindo a concentraçao em direçao aos sedimentos mais antigos, localizados na base do testemunho.38,44

 

CONCLUSAO

O método analítico testado pode ser considerado satisfatório para análise de múltiplos marcadores orgânicos geoquímicos (n-alcanos, esteróis e n-alcanóis) em sedimentos marinhos. O processo de clean up mostrou-se eficiente na separaçao de todas as fraçoes e classes de marcadores, inclusive na fraçao 3, nova etapa incluída no processo. Com as alteraçoes realizadas é possível obter em uma única extraçao, as principais classes de compostos utilizados em trabalhos de geoquímica orgânica marinha, colaborando com os estudos da matéria orgânica e contaminaçao ambiental. A otimizaçao e avaliaçao de métodos analíticos sao essenciais para proporcionar bons resultados analíticos e reduzir consumo de material, especialmente em estudos de monitoramento ambiental, que envolvem grande número de amostras.

A aplicaçao em amostras de sedimentos marinhos trouxe resultados similares aos obtidos em outros trabalhos, indicando a alta contribuiçao dos organismos marinhos, principalmente do fito- e zooplâncton, e a contribuiçao pouco significativa de plantas, indicando, portanto, que o método analítico empregado resolve de maneira adequada os componentes de amostras ambientais.

 

MATERIAL SUPLEMENTAR

As tabelas com os resultados detalhados bem como figuras e cromatogramas estao disponíveis em http://quimicanova.sbq.org.br, na forma de arquivo PDF, com acesso livre.

 

AGRADECIMENTOS

Ao CNPq (Conselho Nacional de Desenvolvimento Científico e Tecnológico) pelo auxílio financeiro (564316/2008-3 e 550014/2007-1), e pela Bolsa de Produtividade em Pesquisa (307110/2008-7) de C.C. Martins. A CAPES (Coordenaçao de Aperfeiçoamento de Pessoal de Nível Superior) pela Bolsa de Mestrado de E. Wisnieski. Aos doutores R. S. Carreira, do Departamento de Química da Pontifícia Universidade Católica do Rio de Janeiro (PUC-RJ) e M. C. Bernardes, do Departamento de Geoquímica da Universidade Federal Fluminense (UFF) pela contribuiçao na avaliaçao preliminar deste trabalho.

 

REFERENCIAS

1. Colombo, J. C.; Pelletier, E.; Brochu, C.; Khalil, M.; Catoggio, J. A.; Environ. Sci. Technol. 1989, 23, 888. DOI: http://dx.doi.org/10.1021/es00065a019

2. Carreira, R. S.; Wagener, A. L. R.; Readman, J. W.; Estuarine, Coastal Shelf Sci. 2004, 60, 587. DOI: http://dx.doi.org/10.1016/j.ecss.2004.02.014

3. Volkman, J. K.; Revill, A. T.; Holdsworth, D. G.; Fredericks, D.; Org. Geochem. 2008, 39, 689. DOI: http://dx.doi.org/10.1016/j.orggeochem.2008.02.014

4. Garcia, M. R.; Mirlean, N.; Baisch, P. R.; Camarao, E. B.; Environ. Monit. Assess. 2010, 168, 269. DOI: http://dx.doi.org/10.1007/s10661-009-1110-7 PMID: 19672685

5. Amorri, J.; Rodier, C. G.; Boufahja, F.; Mahmoudi, E.; Aïssa, P.; Ksibi, M.; Amblès, A.; Environ. Sci. Pollut. Res. 2011, 18, 1606. DOI: http://dx.doi.org/10.1007/s11356-011-0522-4

6. Laureillard, J.; Saliot, A.; Mar. Chem. 1993, 43, 247. DOI: http://dx.doi.org/10.1016/0304-4203(93)90230-L

7. Belicka, L. L.; Macdonald, R. W.; Harvey, H. R.; Mar. Chem. 2009, 115, 72. DOI: http://dx.doi.org/10.1016/j.marchem.2009.06.007

8. Pancost, R. D.; Boot, C. S.; Aloisi, G.; Maslim, M.; Bickers, C.; Ettwein, V.; Bale, N.; Handley, L.; Palaeogeogr., Palaeoclimatol., Palaeoecol. 2009, 280, 119. DOI: http://dx.doi.org/10.1016/j.palaeo.2009.06.006

9. Faux, J. F.; Belicka, L. L.; Harvey, H. R.; Cont. Shelf Res. 2011, 31, 1169. DOI: http://dx.doi.org/10.1016/j.csr.2011.04.001

10. Mzoughi, N.; Hellal, F.; Dachraoui, M.; Villeneuve, J-P.; Cattini, C.; Mora, S. J.; Abed, A.; C. R. Geosci. 2002, 334, 893. DOI: http://dx.doi.org/10.1016/S1631-0713(02)01827-8

11. Helaleh, M. I. H.; Al-Omair, A.; Nisar, A.; Gevao, B.; J. Chromatogr. A 2005, 1083, 153. DOI: http://dx.doi.org/10.1016/j.chroma.2005.05.085 PMID: 16078702

12. Damas, E. Y. C.; Medina, M. O. C.; Clemente, A. C. N.; Díaz, M. A.; Bravo, L. G.; Ramada, R. M.; Porto, R. M. O.; Quim. Nova 2009, 32, 855. DOI: http://dx.doi.org/10.1590/S0100-40422009000400006

13. Cavalcante; R. M.; Lima, D. M.; Correia, L. M.; Nascimento, R. F.; Silveira, E. R.; Freire, G. S. S.; Viana, R. B.; Quim. Nova 2008, 31, 1371. DOI: http://dx.doi.org/10.1590/S0100-40422008000600019

14. Readman, J. W.; Preston, M. R.; Mantoura, R. F. C.; Mar. Pollut. Bull. 1986, 17, 298. DOI: http://dx.doi.org/10.1016/0025-326X(86)90215-8

15. Hawthorne, S. B.; Grabanski, C. B.; Martin, E.; Miller, D. J.; J. Chromatogr. A 2000, 892: 421. DOI: http://dx.doi.org/10.1016/S0021-9673(00)00091-1 PMID: 11045502

16. Kawakami, S. K.; Montone, R. C.; J. Braz. Chem. Soc. 2002, 13, 226. DOI: http://dx.doi.org/10.1590/S0103-50532002000200014

17. Burns, K. A.; Codi, S.; Pratt, C.; Duke, N. C.; Org. Geochem. 1999, 30, 1273. DOI: http://dx.doi.org/10.1016/S0146-6380(99)00101-1

18. Ramos, L.; Vreuls, J. J.; Brinkman, U. A. T.; J. Chromatogr. A 2000, 891, 275. DOI: http://dx.doi.org/10.1016/S0021-9673(00)00652-X PMID: 11043788

19. Basheer, C.; Obbard, J. P.; Lee, H. K.; J. Chromatogr. A 2005, 1068, 221. DOI: http://dx.doi.org/10.1016/j.chroma.2005.01.099 PMID: 15830927

20. Grimalti, J. O.; Fernàndez, P.; Bayona, J. M.; Albalgés, J.; Environ. Sci. Technol. 1990, 24, 357. DOI: http://dx.doi.org/10.1021/es00073a011

21. UNEP (United Nations Environment Programme); Determination of petroleum hydrocarbons in sediments. Reference methods for marine pollution studies, UNEP, Nairobi, Kenya. 1992, 97.

22. Martins, C. C.; Venkatesan, M. I.; Montone, R. C.; Antarct. Sci. 2002, 14, 244.

23. Martins, C. C.; Bícego, M. C.; Taniguchi, S.; Montone, R. C.; Antarct. Sci. 2004, 16, 117. DOI: http://dx.doi.org/10.1017/S0954102004001932

24. Muniz, P.; Pires-Vanin, A. M. S.; Martins, C. C.; Mar. Pollut. Bull. 2006, 52, 1090. DOI: http://dx.doi.org/10.1016/j.marpolbul.2006.05.002

25. Martins, C. C.; Bícego, M. C.; Figueira, R. C. L.; Angelli, J. L. F.; Combi, T.; Gallice, W. C.; Mansur, A. V.; Nardes, E.; Rocha, M. L.; Wisnieski, E.; Ceschim, L. M. M.; Ribeiro, A. P.; Sci. Total Environ. 2012, 417-418, 158. DOI: http://dx.doi.org/10.1016/j.scitotenv.2011.11.086 PMID: 22244354

26. USEPA; Method 3540, Soxhlet Extraction, Revision 3, 1996, 1-8.

27. USEPA; Method 3640, Gel-Permeation Clean up, Revision 1, 1994, 2-24.

28. Denoux, G. J.; Gardinali, P.; Wade, T. L.; NOAA Technical Memorandum NOS ORCA, Rockville, 1998, 130, 129.

29. Wade, T. L.; Cantillo, A. Y.; IGOSS Plan and Implementation Programme 1996-2003. IOC Technical Series 43, 1996, UNESCO.

30. Villeneuve J. -P.; Mora S. J.; Cattini C.; IAEA, Monaco, 2002.

31. Qian, Y.; Jackson, T.; RSOP-9725. 1997, 1.

32. Freitas, F. S.; Dissertaçao de Mestrado, Universidade de Sao Paulo, Brasil, 2011.

33. Carreira, R. S.; Ribeiro, P. V.; Silva, C. E. M.; Farias. C. O.; Quim. Nova 2009, 32, 1805. DOI: http://dx.doi.org/10.1590/S0100-40422009000700023

34. Carreira, R. S.; Araújo, M. P.; Costa, T .L. F.; Spörl, G.; Knoppers, B. A.; Mar. Chem. 2011, 127, 1. DOI: http://dx.doi.org/10.1016/j.marchem.2011.07.002

35. Huang, J.; Liguang, S.; Wang, X.; Wang, Y.; Huang, T.; J. Environ. Sci. 2011, 23, 1431. DOI: http://dx.doi.org/10.1016/S1001-0742(10)60601-8

36. Green, G., Nichols, P.D.. Antarct. Sci. 1995, 7, 137.

37. Martins, C. C.; Montone, R. C.; Gamba, R. C.; Pellizari, V. H.; Braz J. Oceanogr. 2005, 53, 1. DOI: http://dx.doi.org/10.1590/S1679-87592005000100001

38. Wisnieski, E.; Bícego, M. C.; Montone, R. C.; Figueira, R. C. L.; Ceschim, L. M. M.; Mahiques, M. M.; Martins, C. C.; Polar Biol. 2014, 37, 483. DOI: http://dx.doi.org/10.1007/s00300-014-1445-6

39. Volkman, J. K.; Org. Geochem. 2005, 36, 139. DOI: http://dx.doi.org/10.1016/j.orggeochem.2004.06.013

40. Martins, C. C.; Montone, R. C.; Fillmann, G.; J. Braz. Chem. Soc. 2007, 18, 106. DOI: http://dx.doi.org/10.1590/S0103-50532007000100012

41. Venkatesan, M. I.; Santiago, C. A.; Mar. Biol. 1989, 102, 431. DOI: http://dx.doi.org/10.1007/BF00438343

42. Wang, J.; Wang, Y.; Wang, X.; Sun, L.; Polar Biol. 2007, 30, 1475. DOI: http://dx.doi.org/10.1007/s00300-007-0308-9

43. Huang, J.; Sun, L.; Huang, W.; Wang, X.; Wang, Y.; Polar Biol. 2010, 33, 1399. DOI: http://dx.doi.org/10.1007/s00300-010-0832-x

44. Rontani, J. F.; Volkman, J. K.; Org. Geochem. 2003, 34, 1. DOI: http://dx.doi.org/10.1016/S0146-6380(02)00185-7

45. Volkman, J. K.; Holdworth, D. G.; Neill, G. P.; Bavor Jr., H. J.; Sci. Total Environ. 1992, 112, 203.

 

#Programa de Pós-Graduaçao em Sistemas Costeiros e Oceânicos (PGSISCO), Universidade Federal do Paraná, Caixa Postal 61, 83255-976 Pontal do Paraná - PR, Brasil

On-line version ISSN 1678-7064 Printed version ISSN 0100-4042
Qu�mica Nova
Publica��es da Sociedade Brasileira de Qu�mica
Caixa Postal: 26037 05513-970 S�o Paulo - SP
Tel/Fax: +55.11.3032.2299/+55.11.3814.3602
Free access

GN1