JBCS



23:20, sáb out 25

Acesso Aberto/TP



Artigo


Determinação de metais por técnicas de espectrometria atômica em amostras de carvão mineral e cinzas utilizando metodologia de superfície de resposta
Metals determination by atomic spectrometry techniques in coal and ash samples using response surface methodology

Camila M. Oliz; Emanoelli R. Lopes; Aline L. Medina; Anderson S. Ribeiro; Adriane M. Nunes*

Centro de Ciências Químicas, Farmacêuticas e de Alimentos, Universidade Federal de Pelotas, Campus Capão do Leão, 96160-000 Capão do Leão - RS, Brasil

Recebido em 21/12/2015
Aceito em 10/05/2016
Publicado na web em 13/07/2016

Endereço para correspondência

*e-mail: adriane.mn@hotmail.com

RESUMO

This paper describes the method optimization using response surface methodology for Cu, Fe, Zn and Na determinations in coal and ash samples by spectrometry techniques. The sample preparation was performed using a recirculation system adapted in the digestion tubes. This system allowed increase of temperature in the digester block above the boiling point of the reaction medium, avoiding acid evaporation during the heating. The digestions were realized with HNO3 and H2O2 for 1 h in a digester block at 145 °C. The limits of detection for determination of Cu, Fe, Zn and Na in both samples were satisfactory. The RSD for the analytes were lower than 6.0%. Statistical tests showed that results for all analytes do not vary significantly with official method (ASTM), considering a confidence limit of 95%. Besides, the accuracy was verified by recovery tests, whose values ranged from 92.7 to 104.7% in coal, and 98.7 to 115.3% in ash.

Palavras-chave: coal; ash; metals; atomic spectrometry; validation.

INTRODUÇAO

O carvao mineral está entre os principais combustíveis fósseis utilizados mundialmente, ocupando a primeira colocaçao em abundância, o que representa 67% das reservas dos recursos energéticos do Brasil. Na composiçao da matriz energética global, o carvao fica abaixo apenas do petróleo, sendo que especificamente na geraçao de eletricidade passa à condiçao de principal recurso mundial.1 Deste modo, a produçao de energia térmica tem se apresentado como uma alternativa técnica e economicamente viável ao sistema elétrico nacional, tendo em vista que os recursos hídricos disponíveis estao cada vez mais escassos e outros meios competitivos ainda nao sao suficientes para suprir esta demanda.2

No entanto, para a geraçao de energia elétrica através deste combustível fóssil sao necessárias grandes quantidades, o que resulta na produçao de elevadas porçoes de resíduos, como as cinzas. Consequentemente, muitos problemas ambientais podem ser atribuídos à combustao do carvao, principalmente os que estao relacionados à mobilizaçao de constituintes orgânicos e inorgânicos potencialmente tóxicos decorrentes destes subprodutos, podendo causar sérios impactos ambientais, resultando na contaminaçao do solo, da água e do ar.3

O carvao é constituído por uma mistura complexa de alto teor orgânico, associado a componentes inorgânicos (minerais), como os silicatos, sulfetos, carbonatos, óxidos, entre outros.4 Esta matriz associa vários elementos traço em sua composiçao e o conhecimento deste conteúdo pode fornecer informaçoes para avaliar o risco ambiental embutido.5,6 As propriedades das cinzas estao diretamente relacionadas às características dos carvoes que lhe dao origem, tornando de suma relevância a determinaçao de metais. Tendo em vista que as cinzas sao consideradas resíduos e sua devida classificaçao se faz necessária, os limites máximos de alguns metais como Al, Ba, Cu, Fe, Mn, Na, Zn, devem atender a normativa vigente.7

A transformaçao de uma amostra sólida em uma soluçao, já que a maioria das técnicas analíticas requer a dissoluçao completa, pode ser realizada por diferentes formas de decomposiçao, sendo que os processos mais conhecidos sao a decomposiçao por via úmida, por via seca e por fusao.8,9 Além dessas possibilidades na decomposiçao de amostras sólidas (como carvao e cinzas), existem alternativas que também apresentam bons resultados, entre elas estao as extraçoes ácidas assistidas por ultrassom ou micro-ondas,10,11 obtençao de suspensoes,12-15 ou determinaçao direta em amostragem sólida.16,17 Porém, na maioria dos casos, com o uso das suspensoes e amostragem sólida se faz necessário uma instrumentaçao apropriada para a introduçao da amostra, com detectores e sistemas de correçao de fundo de alta resoluçao, a fim de corrigir possíveis erros provocados por interferências associados à presença da matriz da amostra durante a análise.

De acordo com a American Society for Testing e Materials (ASTM), para a caracterizaçao das amostras de carvao por técnicas de espectrometria atômica recomenda-se inicialmente uma etapa de calcinaçao seguida por digestao das cinzas resultantes com uma mistura de água régia e posterior dissoluçao em ácido nítrico ou o ácido fluorídrico. Em alguns casos, a amostra também pode ser dissolvida com ácido nítrico ou com uma mistura de ácido clorídrico/fluorídrico seguido do uso do ácido bórico.18-20

A decomposiçao assistida por micro-ondas em sistemas fechados tem sido amplamente utilizada para a mineralizaçao de amostras de carvao. Isto se deve pelo o método apresentar alta eficiência de decomposiçao para diferentes tipos de amostras, aliada com o baixo consumo de reagentes, bem como a reduçao de riscos de perdas de analitos e contaminaçao em comparaçao com procedimentos de digestao convencionais.21-23 Entretanto, estes instrumentos ainda sao de difícil acesso para muitos laboratórios, o que está associado ao seu alto valor aquisitivo. Além disso, por questao de segurança, apresentam a limitaçao do uso de pequenas massas de amostras, o que em alguns casos é um fator limitante para muitas análises.

Recentemente vem se utilizando para a decomposiçao ácida de diversas matrizes o uso de um sistema de refluxo (com dedo frio).24-26 Esse sistema apresenta-se como uma alternativa promissora na substituiçao dos métodos convencionais, já que reduz quantidade de reagentes e evita o risco de contaminaçao e perdas por volatilizaçao, além de possuir menor custo.

A metodologia de planejamento fatorial associada à analise de superfícies de respostas é uma ferramenta fundamentada na teoria estatística, que fornece informaçoes seguras sobre o processo, minimizando o empirismo que envolve técnicas de tentativa e erro.27 Como vantagens, avalia a influência das variáveis sobre as respostas desejadas, permitindo a otimizaçao de processos e metodologias analíticas, que, através de uma condiçao otimizada, reduz custos e tempo, possibilita menor uso de reagentes e amostra, melhorando a eficiência dos processos. Diferentes metolodologias de planejamentos fatoriais podem ser utilizados, como Plackett & Burman, Box Hunter, Doehlert, sendo que o DCCR (delineamento composto central rotacional) permite a avaliaçao das variáveis com um menor número de ensaios, além da construçao de gráficos de superfícies de resposta.

Dentro deste contexto, fica evidente a necessidade do desenvolvimento e da validaçao de novas metodologias analíticas, alternativas aos métodos já existentes, para a determinaçao de metais em amostras de carvao e cinzas, focadas principalmente a etapa de preparo de amostras. Sendo assim, o objetivo deste trabalho foi desenvolver um método simples, rápido e de baixo custo de preparo das amostras de carvao mineral e cinzas, utilizando decomposiçao ácida em sistema de refluxo para a determinaçao de Cu, Fe, Na e Zn por técnicas de Espectrometria Atômica (F AAS e F AES). Para este estudo foi utilizado planejamento estatístico visando a otimizaçao das variáveis relacionadas ao método proposto objetivando uma condiçao compromisso para os respectivos analitos.

 

PARTE EXPERIMENTAL

Equipamentos e parâmetros instrumentais

As determinaçoes foram feitas em um Espectrômetro de Absorçao Atômica com chama (Annalyst 200, Perkin Elmer). Foram utilizadas lâmpadas de catodo oco de Cu, Fe e Zn, operando nas condiçoes fixadas pelo fabricante, nos comprimentos de onda: 324,75; 248,33; 213,86 nm; respectivamente, e uma lâmpada de arco de deutério como corretor de fundo. Para a determinaçao do Na foi empregado o modo emissao, sendo utilizado o comprimento de onda de 589 nm. Ar e acetileno 99,7% (Linde, Sao Paulo, Brasil) foram utilizados na chama.

As amostras foram trituradas em um gral de porcelana e peneiradas utilizando um agitador de peneiras AG-G1712 (Bronzinox, Sao Paulo, Brasil) e peneira de malha 270, 53µ m (Bronzinox, Sao Paulo, Brasil). Após esta etapa, as amostras foram pesadas utilizando uma balança analítica com resoluçao de 0,1 mg e tara máxima de 210 g (Modelo AR 2140, Ohaus Adventurer, EUA). Para o processo de decomposiçao ácida das amostras foi utilizado um bloco digestor convencional (modelo MA-4025, Marconi, Brasil). Em cada um dos tubos digestor foi introduzido um sistema de refluxo (Figura 1, cold finger) com circulaçao de água. O sistema consiste de um tubo de vidro fechado, o qual contém em seu interior um tubo de vidro pequeno no qual a água é continuamente circulada com temperatura controlada através de um banho termostatizado, propiciando o resfriamento da parte superior do tubo digestor, a fim de propiciar a recirculaçao dos ácidos dentro do tubo maior.

 


Figura 1. A) Diagrama esquemático do sistema de refluxo acoplado ao tubo digestor de vidro. 1: entrada água; 2: saída de água; 3: Tampa de Teflonr; 4: saída para gás; 5: tubo de reaçao. B) Imagem real do sistema de dedo frio. (adaptado de Orestes et al. 2013)24

 

Reagentes e soluçoes

Todos os reagentes utilizados foram de grau analítico. A água utilizada no preparo das amostras e das soluçoes foi obtida por um sistema de purificaçao de água Direct-Q 3 (Millipore Corporation, Bedford, E.U.A.), com resistividade de 18,3 MΩ cm-1. Acido nítrico 65% (m/m) (Synth, Brasil) foi purificado por destilaçao em um sistema de sub-ebuliçao de quartzo MA-075 (Marconi, Piracicaba, Brasil). Antes de usar, todos os materiais de vidro foram lavados e imersos em um banho de 10% (v/v) de HNO3 durante pelo menos 48 horas e, em seguida, enxaguados com água deionizada. Foram diariamente preparadas soluçoes padroes de Cu, Fe, Na e Zn a partir da diluiçao de uma soluçao estoque contendo 1000 mg L-1 (Fluka, Buchs, Alemanha) de todos os analitos em água deionizada a fim de realizar a calibraçao do instrumento.

Preparo das amostras

As amostras de carvao e cinzas utilizadas neste estudo foram cedidas pela Companhia Riograndense de Mineraçao (CRM), as quais foram adquiridas diretamente das minas a céu aberto de carvao mineral, que estao localizadas no município de Candiota/RS.

Para verificar a influência de cada parâmetro referente à etapa de preparo das amostras em relaçao ao sinal analítico de cada elemento foi realizado um planejamento estatístico utilizando o software Statistica 7.0 (StatSoft, Inc., Tulsa, OK, EUA), o qual possibilita a otimizaçao das condiçoes de trabalho, buscando uma condiçao compromisso para as variáveis em estudo: Volume de ácido nítrico (Vac), volume de peróxido de hidrogênio (Vp), temperatura (T) e tempo de decomposiçao no bloco digestor (td). Foi realizado um delineamento composto central rotacional (DCCR), 24 com 3 pontos centrais e 8 pontos axiais, totalizando 27 ensaios realizados de forma aleatória de acordo com a ordem das análises arranjadas pelo software Statistica 7.0. As respostas selecionadas (variáveis dependentes) foram os sinais analíticos obtidos para cada elemento em estudo (Cu, Fe, Na e Zn). Em todos os ensaios, a adiçao do volume de H2O2 (mL) foi realizada faltando ¼ do tempo total de digestao, a fim de padronizar o procedimento.

Procedimento 1: Método proposto com o sistema de refluxo

Após a análise dos dados gerados pelos gráficos de superfície de resposta obtidos para cada analito, foi possível fixar as melhores condiçoes de trabalho. Tendo em vista que as amostras em estudo apresentam características similares, as mesmas condiçoes otimizadas para as amostras de carvao foram aplicadas as amostras de cinzas. Assim, cerca de 50,0 mg de amostras foram pesadas diretamente nos tubos digestores, a eles foram adicionados 6,0 mL de HNO3 e, posteriormente, foram levados ao aquecimento à 145 ºC em bloco digestor, com o sistema de refluxo acoplado aos tubos digestores, utilizando uma recirculaçao de água a 15 °C. Depois de passados 45 min, os tubos foram resfriados e adicionados 2,5 mL de H2O2, retornando ao aquecimento por mais 15 min, totalizando um tempo de digestao final de 1 hora. A soluçao resultante foi transferida para frasco de PP (polipropileno) previamente calibrado e aferido a 14 mL com água deionizada. Todas as análises foram feitas em triplicata e, para verificar a exatidao do método proposto, testes de adiçao e recuperaçao de analitos foram realizados na presença das duas amostras em estudo.

Procedimento 2: Método recomentado pela ASTM via calcinaçao18

Para este procedimento, também realizado em triplicata, foi utilizado aproximadamente 1,0 g da amostra de carvao em cadinhos de porcelana, os quais foram calcinados por 2 h a 500 °C em uma mufla. Após, transferiu-se as cinzas resultantes do processo de calcinaçao para tubos de PTFE (Teflon) e estas foram dissolvidas na presença de 20 mL de água régia e 20 mL HF concentrado, sendo a soluçao mantida sob aquecimento a uma temperatura de 150 °C em bloco digestor até a secura. Em seguida, adicionou-se 1,0 mL HNO3 e 20 mL de água deionizada e levou-se ao aquecimento novamente por mais 1 h. Ao final, a soluçao resultante foi transferida para o frasco de PP previamente calibrado e aferida à 50 mL com água deionizada.

Estudos preliminares aplicados em amostra de carvao mineral

Neste trabalho, primeiramente foi realizado um estudo sobre a perda de massa pela umidade característica da amostra, tendo em vista que esta é uma variável importante, pois a quantidade de energia absorvida pela amostra está diretamente relacionada ao seu teor de umidade. Em amostras desidratadas o aquecimento nao é eficiente, o que pode vir a dificultar a interaçao com a mistura ácida durante o processo de mineralizaçao.28

Para este estudo, cerca de 1,0 g de amostra de carvao mineral foi pesado em um vidro de relógio, em triplicata, e levado até uma estufa, na qual foi seco a uma temperatura de aproximadamente 105 ºC por 90 min e permaneceu em um dessecador até a pesagem à temperatura ambiente. Este processo foi realizado até as amostras adquirirem peso constante, eliminando assim a umidade, conforme é descrito pela NBR 8293 da ABNT.29 Posteriormente, foi realizado o estudo das cinzas resultantes, o qual elimina a matéria orgânica das amostras de carvao. Este procedimento foi realizado baseando-se na NBR 8289 da ABNT.30

 

RESULTADOS E DISCUSSOES

Umidade e teor de cinzas das amostras de carvao

Os resultados obtidos tanto com relaçao ao teor de umidade quanto para o teor de cinzas na amostra de carvao analisada foram condizentes com os valores citados na literatura para esta matriz. De acordo com Pires e colaboradores,31 que realizaram um estudo de caracterizaçao de amostras de carvao e cinzas oriundas das minas de Candiota, foram encontrados teores de aproximadamente 50% e 16% m/m, para o teor de cinzas e umidade, respectivamente. Ao comparar com os valores obtidos neste trabalho, pode-se observar a semelhança nos resultados, os quais foram de aproximadamente 54% e 15% m/m, para as cinzas e umidade, respectivamente.

Otimizaçao do método proposto

A otimizaçao das melhores condiçoes de trabalho para realizar a decomposiçao ácida das amostras de carvao no sistema de refluxo foi realizada através de um delineamento estatístico experimental considerando as seguintes variáveis independentes: volume de HNO3, volume de H2O2, tempo de decomposiçao e temperatura do bloco, de acordo com a Tabela 1, cujos valores dos níveis foram determinados através de testes preliminares e também por investigaçao na literatura.

 

 

A matriz do DCCR (Tabela 2) contem os ensaios com as combinaçoes das variáveis e os resultados obtidos para os quatro analitos quantificados em amostras de carvao mineral após o processo de decomposiçao ácida.

 

 

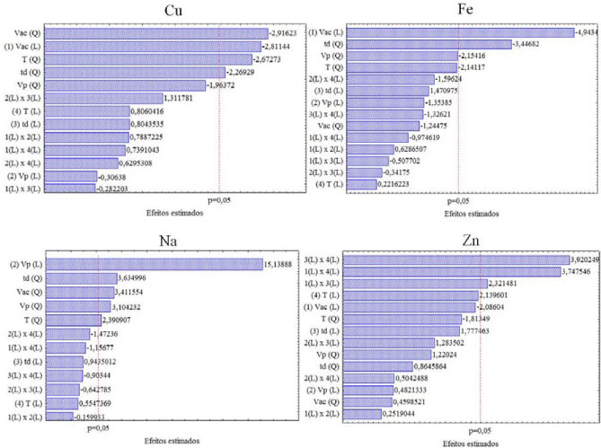
De acordo com a análise estatística dos dados, representada pelos Diagramas de Pareto (Figura 2), pode-se verificar que as variáveis estatisticamente significativas para o Cu foram: volume de ácido nítrico, tempo e temperatura. Já para o Fe, apenas o volume de ácido nítrico e o tempo foram estatisticamente significativos. Para o Zn, as variáveis estatisticamente significativas foram as interaçoes entre volume de ácido, tempo e temperatura. Para o Na todas as variáveis foram estatisticamente significativas. As equaçoes 1, 2, 3 e 4 correspondem aos modelos referentes à determinaçao para Cu, Fe, Na e Zn.

 


Figura 2. Gráficos de Pareto para Cu, Fe, Na e Zn

 

Através da tabela ANOVA (Tabela 3) foi possível calcular estatisticamente alguns parâmetros importantes como, por exemplo, o valor de F. Os valores de F obtidos para todos os elementos estudados foram maiores que o valor de F tabelado. Com este requisito (Fcal>Ftab) foi possível gerar os gráficos de superfícies de respostas e avaliar uma possível condiçao compromisso, levando em consideraçao as melhores condiçoes de análise para cada elemento.

 

 

Desta forma, avaliando os gráficos de superfície de respostas obtidos para Cu e Fe, exemplificados pelas Figuras 3 e 4, verifica-se que as melhores condiçoes tendem aos pontos centrais. No entanto, cabe salientar que os ensaios apresentaram pouca variaçao entre as respostas (sinal de absorçao), variando de 0,1778 a 0,2294 para o Cu e de 1,0167 a 1,0741 para o Fe, indicando que qualquer condiçao utilizada para estes elementos resultam em uma eficiente quantificaçao.

 


Figura 3. Gráfico de superfície de resposta em funçao do sinal analítico do Cu (Txtd)

 

 


Figura 4. Gráfico de superfície de resposta em funçao do sinal analítico do Fe (Txtd)

 

Os melhores resultados para o Zn foram obtidos quando foram utilizados os valores das extremidades das variáveis Vac, td e T (entre os pontos -1 e -2; +1 e +2), conforme exemplificada na Figura 5.

 


Figura 5. Gráfico de superfície de resposta em funçao do sinal analítico do Zn (TxVac)

 

Pode-se observar na Figura 6, como em todos os gráficos de superfície de resposta gerados para o Na, que as melhores condiçoes tendem aos pontos extremos estudados. Os melhores resultados para o Na foram obtidos quando utilizados os níveis -2 ou +2 para o Vac, td e T. Para o Vp a melhor condiçao foi no nível +2. Entretanto, pode-se observar que nao houve grande variaçao no sinal de emissao obtido nos ensaios. Portanto, as condiçoes para validaçao foram baseadas nos resultados dos outros elementos.

 


Figura 6. Gráfico de superfície de resposta em funçao do sinal analítico do Na (Txtd)

 

Após a avaliaçao dos gráficos de superfície gerados para os elementos em estudo, pode-se buscar uma condiçao compromisso para uma tentativa de determinaçao dos quatro analitos em um único preparo de amostras. Assim, foi fixado um volume maior de H2O2 (2,5 mL), visto que foi uma condiçao fundamental para a determinaçao de Na e para os demais foi verificado que nao alteraria significativamente na determinaçao dos mesmos. As outras condiçoes (temperatura, tempo e volume de HNO3) foram estabelecidas levando em consideraçao os resultados para a determinaçao de Zn, as quais foram fixadas em 6,0 mL HNO3, a uma temperatura de 145 °C por 60 min. É importante salientar que, mesmo nao sendo as condiçoes ótimas observadas para os demais elementos, como Cu e Fe, que apontavam para os pontos centrais, estas condiçoes ainda demonstraram estar dentro de uma faixa de boa resposta, permitindo assim o uso destas condiçoes de trabalho.

De acordo com a literatura, de maneira geral, o carvao e as cinzas apresentam normalmente os metais na forma de sulfetos, podendo apresentar também carbonatos, sulfatos, entre outros, os quais sao facilmente extraídos em condiçoes ácidas. Em funçao disso, a temperatura de 145 ºC por 60 minutos foi suficiente para romper a ligaçao dos metais com os grupamentos e liberá-los em soluçao, os quais foram certificados pelos testes de recuperaçao. O volume de 2,5 mL de H2O2 foi necessário devido a amostra possuir alta carga orgânica, auxiliando o processo de decomposiçao iniciado pelo HNO3.

O uso do DCCR como ferramenta estatística possibilitou a determinaçao da condiçao otimizada do processo de decomposiçao. A análise dos dados permitiu a seleçao de uma condiçao com um menor consumo de reagentes, menor tempo, bem como uma boa qualidade nos resultados. Além disso, foi possível realizar um menor número de ensaios quando comparado ao método de tentativa e erro ou a combinaçao de todos os fatores. Cabe salientar que todas as respostas foram avaliadas simultaneamente, o que possibilitou a determinaçao da mesma condiçao para todos os analitos estudados.

Parâmetros de mérito

Os parâmetros de mérito obtidos para a determinaçao de Cu, Fe, Na e Zn em amostras de carvao e cinzas por F AAS a partir da metodologia proposta estao apresentados na Tabela 4. Como pode ser observado, as curvas de calibraçao para todos os analitos estudados apresentaram bons coeficientes de correlaçao linear, com R > 0,99, bem como mostraram LDs, LQs e sensibilidades adequadas para atender ao objetivo que o trabalho se propoe.

 

 

Aplicaçao das condiçoes otimizadas e validaçao da metodologia proposta

Com o objetivo de avaliar a exatidao da metodologia proposta do preparo das amostras estudadas foram utilizadas amostras de carvao e cinzas fortificadas e nao fortificadas. A Tabela 5 apresenta os resultados dos testes de adiçao e recuperaçao para Cu, Fe, Na e Zn em ambas as amostras, bem como as concentraçoes encontradas para estes elementos nas amostras em estudo.

 

 

Tendo como base os percentuais obtidos nos testes de adiçao e recuperaçao para o carvao, apresentados na Tabela 5, os quais variam entre 92,7 a 104,7%, foi possível verificar que a metodologia proposta apresenta exatidao para análise. Além disso, foram encontrados baixos valores de desvio padrao relativos (RSD), sendo estes inferiores a 6%, o que evidencia uma boa precisao dos resultados.

Conforme citado anteriormente, as mesmas condiçoes otimizadas para decomposiçao das amostras de carvao também foram aplicadas para análise de cinzas, apresentando exatidao e precisao adequada para determinaçao dos respectivos analitos, o que pode ser visto a partir dos resultados apresentados na Tabela 5, na qual os percentuais de recuperaçao variaram entre 98,7 e 115,3% e RSDs menores que 4%.

Através da análise dos resultados apresentados na Tabela 5 também pode-se verificar que a amostra de cinzas em estudo encontra-se dentro dos limites máximos permitidos para Cu, Zn e Na de acordo com a normativa vigente,7 a qual classifica esta matriz em resíduos sólidos classe II A - Nao inerte. Porém, o valor obtido para o Fe (23,79 mg L-1) encontra-se bem acima do valor estipulado pela normativa, sendo que o máximo permitido é de 0,3 mg L-1, salientando a importância de controlar a concentraçao de metais nestas amostras, a fim de prevenir maiores problemas ambientais pelo descarte indevido destes resíduos.

Além disso, foi aplicada uma metodologia oficial recomendada pela ASTM para análise de carvao mineral, a fim de comprovar a exatidao do método proposto, através da comparaçao das duas metodologias. Na Tabela 6, pode-se observar que os valores obtidos através dos dois métodos de preparo das amostras estao de acordo para os analitos em estudo, indicando a exatidao dos resultados, uma vez que nao houve diferenças significativas entre os resultados a um nível de confiança de 95%, atestado pela aplicaçao do teste t-student pareado, com valores de t calculados (1,98; 1,62; 1,56 e 0,33 para Cu, Fe, Na e Zn, respectivamente) < t crítico (4,30).

 

 

Neste trabalho foi possível verificar a eficiência do uso da decomposiçao ácida com sistema de refluxo nas amostras de carvao e cinzas. Essa eficiência no processo pode ser atribuída à zona de baixa temperatura no dedo frio, proporcionando a condensaçao dos vapores gerados, aumentando a capacidade de decomposiçao sem a necessidade de reposiçao dos ácidos. Provavelmente, na superfície do dedo frio, é gerada uma película fina de nitratos (pela decomposiçao com o ácido nítrico), permitindo a absorçao dos analitos. Além disso, o sistema também apresenta uma ranhura para alivio de pressao, diminuindo ou anulando qualquer risco de explosao, tornando-se um método mais seguro ao analista. O método, quando comparado à metodologia oficial, reduz em 80% o tempo de análise e 70% do consumo de reagentes, permitindo que sejam avaliados elementos sem o risco de contaminaçao e perdas.

 

CONCLUSAO

A metodologia apresentada para a decomposiçao ácida de amostras de carvao e cinzas, baseada no uso de um sistema de refluxo para determinaçao de Cu, Fe, Na e Zn por técnicas de Espectrometria Atômica (F AAS e F AES), demonstrou ser um método simples, eficiente, rápido e seguro, utilizando poucas quantidades de amostras e reagentes quando comparada a outras metodologias convencionais já utilizadas. O uso do planejamento estatístico possibilitou a otimizaçao do processo de decomposiçao das amostras com um numero de ensaios menor do que com outras metodologias de avaliaçao das variáveis, além de maior informaçao com relaçao aos fatores estudados. A eficiência do método proposto também pôde ser avaliada, apresentando boas taxas de recuperaçao dos analitos em estudo, tanto para amostras de carvao quanto para amostras de cinzas, atestando uma boa exatidao da metodologia. Além disso, a exatidao também foi verificada através da comparaçao dos resultados com a metodologia oficial recomendada para carvao.

 

AGRADECIMENTOS

Os autores agradecem ao financiamento proporcionado pelo Projeto Casadinho nº. 552197/2011-4) e pelas bolsas concedidas pelos órgaos de fomento CNPq (Conselho Nacional de Pesquisa e Desenvolvimento Tecnológico) e a CAPES (Coordenaçao de Aperfeiçoamento de Pessoal de Nível Superior).

 

REFERENCIAS

1. http://www.carvaomineral.com.br/arquivos/assembleia_RS.pdf, acessada em Janeiro/2015.

2. Baird, C.; Química Ambiental, 2ª ed., Bookman: Porto Alegre, 2002.

3. Sager, M.; Toxicol. Environ. Chem. 1999, 71, 159. DOI: http://dx.doi.org/10.1080/02772249909358790

4. Finkelman, R. B.; Gross, P. M. K.; Int. J. Coal Geol. 1999, 40, 91. DOI: http://dx.doi.org/10.1016/S0166-5162(98)00061-5

5. Swaine, D. J.; Goodarzi, F.; Environmental aspects of trace elements in coal, Kluwer Academia Publishers: Dordrecht, 1995.

6. Valkovic, V.; Trace elements in coal, CRC Press: Boca Raton, 1983.

7. ABNT (Associaçao Brasileira de Normas Técnicas) - NBR 10004 - Resíduos Sólidos: Classificaçao; Rio de Janeiro, 2004.

8. Krug, F. J.; Em Métodos de Preparo de Amostras: Fundamentos sobre preparo de amostras orgânicas e inorgânicas para análise elementar, 1ª ed., Piracicaba: Ediçao do autor, Sao Paulo, 2010, cap. 5.

9. Oliveira, E.; J. Braz. Chem. Soc. 2003, 14, 174. DOI: http://dx.doi.org/10.1590/S0103-50532003000200004

10. Mujuru, M.; Moyo, S.; McCrindle, R. I.; Mokgalaka-Matlala, N.; Spectrochim. Acta, Part B 2012, 76, 147. DOI: http://dx.doi.org/10.1016/j.sab.2012.06.007

11. Meeravali, N. N.; Madhavi, K.; Kumar, S. J.; Talanta 2013, 104, 180. DOI: http://dx.doi.org/10.1016/j.talanta.2012.11.002 PMID: 23597907

12. Maia, S.M.; Pozebon, D.; Curtius, A. J.; J. Anal. At. Spectrom. 2003, 18, 330. DOI: http://dx.doi.org/10.1039/b212125e

13. Borges, D. L. G.; Welz, B.; Curtius, A. J.; Microchim. Acta 2007, 159, 19. DOI: http://dx.doi.org/10.1007/s00604-006-0730-7

14. Martins. P.; Pozebon. D.; Dressler, V. L.; Kemieciki G. A.; Anal. Chim. Acta 2002, 470, 195. DOI: http://dx.doi.org/10.1016/S0003-2670(02)00767-5

15. Ghisi, M.; Ribeiro, A. S.; Vieira, M. A.; Curtius, A. J.; Revista Analytica 2007, 28, 58.

16. Damin, I. C. F.; Silva, M. M.; Vale, M. G. R.; Welz, B.; Spectrochim. Acta Part B 2007, 62, 1037. DOI: http://dx.doi.org/10.1016/j.sab.2007.05.007

17. Mior, R.; Morés, S.; Welz, B.; Carasek, E.; Andrade, J. B.; Talanta 2013, 104, 368. DOI: http://dx.doi.org/10.1016/j.talanta.2013.01.004

18. Annual Book of ASTM Standards, D 6357-00a, 2000.

19. Annual Book of ASTM Standards, D 6349-01, 2001.

20. Annual Book of ASTM Standards, D 3683-94, 2000.

21. Bettinelli, M.; Baroni, U.; Pastorelli, N.J.; Anal. At. Spectrom. 1988, 3, 1005. DOI: http://dx.doi.org/10.1039/ja9880301005

22. Wang, J.; Nakazato, T.; Kinya, S.; Yamada, O.; Tao, H.; Saito, I.; Anal. Chim. Acta 2004, 514, 115. DOI: http://dx.doi.org/10.1016/j.aca.2004.03.040

23. Antes, F. G.; Duarte, F. A.; Mesko, M. F.; Nunes, M. A. G.; Pereira, V. A.; Müller, E. I.; Dressler, V. L.; Flores, E. M. M.; Talanta 2010, 83, 364. DOI: http://dx.doi.org/10.1016/j.talanta.2010.09.030 PMID: 21111147

24. Oreste, E. Q.; Jesus, A.; Oliveira, R. M.; Silva, M. M.; Vieira, M. A.; Ribeiro, A. S.; Microchem. J. 2013, 109, 5. DOI: http://dx.doi.org/10.1016/j.microc.2012.05.034

25. Oreste, E. Q.; Souza, A. O.; Pereira, C. C.; Lisboa, M. T.; Cidade, M. J. A.; Vieira, M. A.; Cadore. S.; Ribeiro, A. S.; Food Anal. Methods 2015, 9, 777. DOI: http://dx.doi.org/10.1007/s12161-015-0252-1

26. Oliveira, R. de M.; Antunes, A. C. N.; Vieira, M. A.; Medina, A. L.; Ribeiro, A. S.; Microchem. J. 2016, 124, 402. DOI: http://dx.doi.org/10.1016/j.microc.2015.09.018

27. Box, G. E. P.; Hunter, W. G.; Hunter, J. S.; Statistics for experimenters: An introduction to designs, data analysis and model building, Wiley: New York, 1978.

28. Casada, M. E.; Walton, L. R.; Swetnam, L. D.; Casada, J. H.; Trans. ASAE 1983, 907. DOI: http://dx.doi.org/10.13031/2013.34046

29. ABNT (Associaçao Brasileira de Normas Técnicas) - Carvao Mineral: Determinaçao de umidade. NBR 8293 (MB1893), 1983.

30. ABNT (Associaçao Brasileira de Normas Técnicas) - Carvao Mineral: Determinaçao do teor de cinzas. NBR 8289 (MB1891), 1983.

31. Pires, M.; Querol, X.; Teixeira, E. C.; Geochim. Bras. 2001, 15, 113.

On-line version ISSN 1678-7064 Printed version ISSN 0100-4042
Qu�mica Nova
Publica��es da Sociedade Brasileira de Qu�mica
Caixa Postal: 26037 05513-970 S�o Paulo - SP
Tel/Fax: +55.11.3032.2299/+55.11.3814.3602
Free access

GN1